Polysiloxane-Based Composite Coatings with Bactericidal Additives
Abstract
1. Introduction
2. Materials and Methods
2.1. Materials
- Turmeric powder (Curcuma longa) from Agnex Company (Bialystok, Poland), produced in India. It contains 3% curcumin and no added additives.
- black cumin powder (Nigella sativa), 100%, without any added additives, from PPH Astron company (Henrykow, Poland), produced in India.
- Clove powder (Syzygium aromaticum) with no added additives, from Naturalne Zdrowie company (Wiązowna, Poland), produced in Comoros.
- Graphene powder produced by the Laboratory of Application of Flake Graphene and 2D Materials, Department of Structural Research, Faculty of Physics, Warsaw University of Technology (Warsaw, Poland).
- Silver metallic powder of the consistency ultrafine silver conductive particles, purchased from MB” Wide range metals” company (Rumsiskes, Lithuania).
2.2. Preparation of Samples
2.2.1. Bulk Samples
2.2.2. Coatings
2.3. Measurement Techniques—Bulk Samples
2.3.1. Contact Angle Measurements and Surface Free Energy Determination (SFE)
2.3.2. Bactericidal Activity Assay
2.3.3. Surface Roughness Tests
2.3.4. Hardness Tests
2.4. Measurement Techniques—Coatings
2.4.1. Characterization of Selected Antibacterial Additives Used in Coatings
- Analysis of filler particle size and morphology
- Measurement of contact angle and determination of SFE
- Analysis of specific surface area of the fillers used—BET adsorption isotherm.
- Chemical structure analysis of selected additives
2.4.2. Surface Morphology and Degree of Dispersion of Additives: Analysis of Coating Samples
- Optical Microscopy, Scanning Electron Microscopy (SEM), and Energy-Dispersive Spectroscopy (EDS)
- Chemical structure—Fourier-transform infrared spectroscopy (FTIR)
- Chemical structure—Raman spectroscopy
2.4.3. Adhesion Tests
3. Results
3.1. Bulk Samples
3.1.1. Contact Angle Measurements SFE Determinations
3.1.2. Bactericidal Assay
3.1.3. Surface Roughness Analysis
3.1.4. Hardness Tests
3.2. Characterization of Selected Antibacterial Aadditives Used in Coatings
3.2.1. Particle Size Assessment of Bactericidal Additives and Their Surface Morphology
3.2.2. Measurement of Contact Angle and Determination of Surface Free Energy (SFE)
3.2.3. Specific Surface Area of the Fillers Used—Figure Adsorption Isotherm
3.2.4. Chemical Structure Analysis of Additives
- FTIR spectroscopy
- Chemical structure—Raman spectroscopy
3.3. Coating Samples
3.3.1. Analysis of Surface Morphology and Degree of Dispersion of Additives in Coatings
- Evaluation of the degree of graphene dispersion in a polysiloxane matrix—Raman spectroscopy
- Evaluation of the dispersion degree of silver in the polysiloxane matrix—EDS
3.3.2. Bactericidal Assay
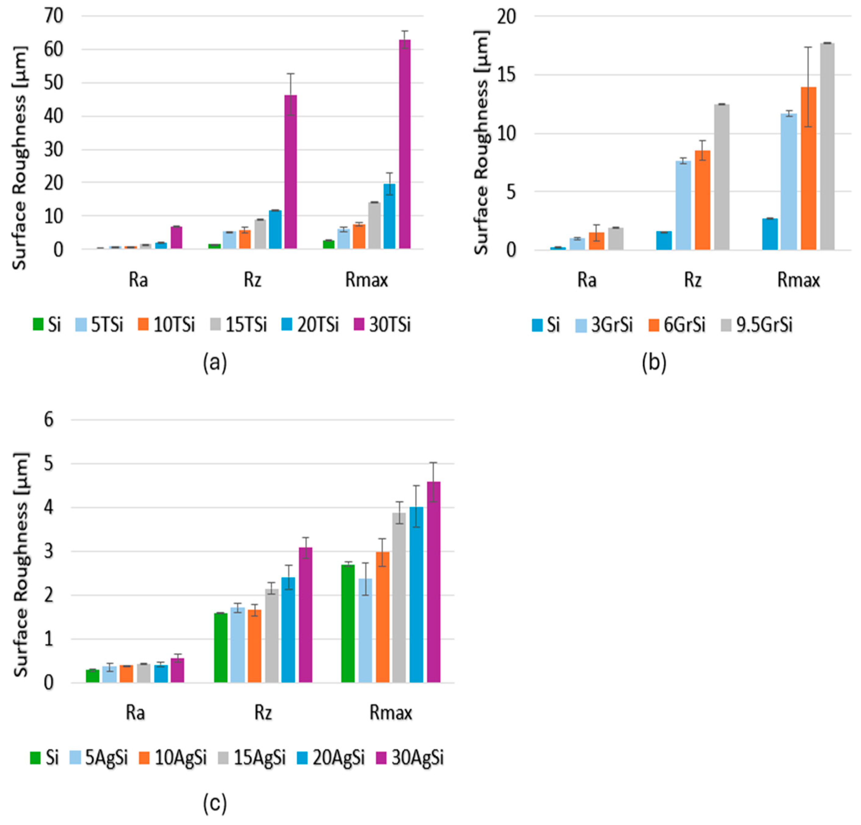
3.3.3. Surface Roughness Analysis
3.3.4. Surface Adhesion Analysis
4. Discussion
5. Conclusions
Supplementary Materials
Author Contributions
Funding
Institutional Review Board Statement
Informed Consent Statement
Data Availability Statement
Acknowledgments
Conflicts of Interest
References
- Tian, Y.; Huang, H.; Wang, W.; Ma, Y.; He, X.; Zhang, L.; Sheng, X.; Zhang, X. Corrosion resistant nanoscale polymer-based coatings. In Polymer-Based Nanoscale Materials for Surface Coatings; Elsevier: Amsterdam, The Netherlands, 2023; pp. 547–584. [Google Scholar] [CrossRef]
- Ganguly, S.; Margel, S. Introduction to coatings and surface preparation. In Polymer-Based Nanoscale Materials for Surface Coatings; Elsevier: Amsterdam, The Netherlands, 2023; pp. 1–18. [Google Scholar] [CrossRef]
- Yoda, R. Elastomers for biomedical applications. J. Biomater. Sci. Polym. Ed. 1998, 9, 561–626. [Google Scholar] [CrossRef] [PubMed]
- Gent, A.N. Rubber Elasticity: Basic Concepts and Behavior. In Science and Technology of Rubber; Academic Press: Cambridge, MA, USA, 2005. [Google Scholar]
- Mai, H.N.; Hyun, D.C.; Park, J.H.; Kim, D.Y.; Lee, S.M.; Lee, D.H. Antibacterial drug-release polydimethylsiloxane coating for 3d-printing dental polymer: Surface alterations and antimicrobial effects. Pharmaceuticals 2020, 13, 304. [Google Scholar] [CrossRef] [PubMed]
- Tiwari, A.; Sharma, P.; Vishwamitra, B.; Singh, G. Review on Surface Treatment for Implant Infection via Gentamicin and Antibiotic Releasing Coatings. Coatings 2021, 11, 1006. [Google Scholar] [CrossRef]
- Chen, X.; Zhou, J.; Qian, Y.; Zhao, L. Antibacterial coatings on orthopedic implants. Mater. Today Bio. 2023, 19, 100586. [Google Scholar] [CrossRef]
- Bai, J.; Li, J.; Chen, Z.; Bai, X.; Yang, Z.; Wang, Z.; Yang, Y. Antibacterial activity and mechanism of clove essential oil against foodborne pathogens. LWT-Food Sci. Technol. 2023, 173, 114249. [Google Scholar] [CrossRef]
- Halawani, E. Antibacterial Activity of Thymoquinone and Thymohydroquinone of Nigella sativa L. and Their Interaction with Some Antibiotics. Adv. Biol. Res. 2009, 3, 148–152. [Google Scholar]
- Nair, M.K.M.; Vasudevan, P.; Venkitanarayanan, K. Antibacterial effect of black seed oil on Listeria monocytogenes. Food Control. 2005, 16, 395–398. [Google Scholar] [CrossRef]
- Liao, C.; Li, Y.; Tjong, S.C. Bactericidal and Cytotoxic Properties of Silver Nanoparticles. Int. J. Mol. Sci. 2019, 20, 449. [Google Scholar] [CrossRef]
- Yin, I.X.; Zhang, J.; Zhao, I.S.; Mei, M.L.; Li, Q.; Chu, C.H. The Antibacterial Mechanism of Silver Nanoparticles and Its Application in Dentistry. Int. J. Nanomed. 2020, 15, 2555–2562. [Google Scholar] [CrossRef]
- Janzadeh, A.; Hamblin, M.R.; Janzadeh, N.; Arzani, H.; MahsaTashakori-Miyanroudi; Yousefifard, M.; Ramezani, F. The Toxic Effect of Silver Nanoparticles on Nerve Cells: A Systematic Review and Meta-Analysis. Rev. Environ. Contam. Toxicol. 2021, 257, 93–119. [Google Scholar] [CrossRef]
- Matisons, J.G. Silanes and Siloxanes as Coupling Agents to Glass: A Perspective. In Silicone Surface Science; Springer: Berlin/Heidelberg, Germany, 2012. [Google Scholar]
- Pape, P.G. Adhesion Promoters. In Applied Plastics Engineering Handbook; Elsevier: Amsterdam, The Netherlands, 2011; pp. 503–517. [Google Scholar]
- Yasuda, H. Interface engineering. In Luminous Chemical Vapor Deposition and Interface Engineering; Marcel Dekker: Boca Raton, FL, USA, 2005. [Google Scholar]
- Rudawska, A.; Jacniacka, E. Analysis for determining surface free energy uncertainty by the Owen–Wendt method. Int. J. Adhes. Adhes. 2009, 29, 451–457. [Google Scholar] [CrossRef]
- Landim Neves, M.I.; Strieder, M.M.; Vardanega, R.; Silva, E.K.; Meireles, M.A.A. Biorefinery of turmeric (Curcuma longa L.) using non-thermal and clean emerging technologies: An update on the curcumin recovery step. RSC Adv. 2019, 10, 112–121. [Google Scholar] [CrossRef] [PubMed]
- Dai, L.; Zhang, J.; Cheng, F. Effects of starches from different botanical sources and modification methods on physicochemical properties of starch-based edible films. Int. J. Biol. Macromol. 2019, 132, 897–905. [Google Scholar] [CrossRef]
- Sharma, S.; Dhalsamant, K.; Tripathy, P.P.; Manepally, R.K. Quality analysis and drying characteristics of turmeric (Curcuma longa L.) dried by hot air and direct solar dryers. LWT 2021, 138, 110687. [Google Scholar] [CrossRef]
- Bich, V.T.; Thuy, N.T.; Binh, N.T.; Huong, N.T.M.; Yen, P.N.D.; Luong, T.T. Structural and Spectral Properties of Curcumin and Metal-Curcumin Complex Derived from Turmeric (Curcuma longa). In Physics and Engineering of New Materials; Springer: Berlin/Heidelberg, Germany, 2009; pp. 271–278. [Google Scholar]
- Muzyka, R.; Drewniak, S.; Pustelny, T.; Chrubasik, M.; Gryglewicz, G. Characterization of Graphite Oxide and Reduced Graphene Oxide Obtained from Different Graphite Precursors and Oxidized by Different Methods Using Raman Spectroscopy. Materials 2018, 11, 1050. [Google Scholar] [CrossRef] [PubMed]
- Aliyev, E.; Filiz, V.; Khan, M.M.; Lee, Y.J.; Abetz, C.; Abetz, V. Structural Characterization of Graphene Oxide: Surface Functional Groups and Fractionated Oxidative Debris. Nanomaterials 2019, 9, 1180. [Google Scholar] [CrossRef]
- Claramunt, S.; Varea, A.; López-Díaz, D.; Velázquez, M.M.; Cornet, A.; Cirera, A. The Importance of Interbands on the Interpretation of the Raman Spectrum of Graphene Oxide. J. Phys. Chem. C 2015, 119, 10123–10129. [Google Scholar] [CrossRef]
- Morales-Acosta, D.; Flores-Oyervides, J.D.; Rodríguez-González, J.A.; Sánchez-Padilla, N.M.; Benavides, R.; Fernández-Tavizón, S.; Mercado-Silva, J.A. Comparative methods for reduction and sulfonation of graphene oxide for fuel cell electrode applications. Int. J. Hydrogen Energy 2019, 44, 12356–12364. [Google Scholar] [CrossRef]
- Lebioda, M.; Pawlak, R.; Szymański, W.; Kaczorowski, W.; Jeziorna, A. Laser Patterning a Graphene Layer on a Ceramic Substrate for Sensor Applications. Sensors 2020, 20, 2134. [Google Scholar] [CrossRef]
- Jastrzębski, K.; Cłapa, M.; Kaczmarek, Ł.; Kaczorowski, W.; Sobczyk-Guzenda, A.; Szymanowski, H.; Zawadzki, P.; Kula, P. Spatial Graphene Structures with Potential for Hydrogen Storage. Energies 2024, 17, 2240. [Google Scholar] [CrossRef]
- Hong, J.; Park, M.K.; Lee, E.J.; Lee, D.; Hwang, D.S.; Ryu, S. Origin of New Broad Raman D and G Peaks in Annealed Graphene. Sci. Rep. 2013, 3, 2700. [Google Scholar] [CrossRef]
- Li, Z.; Zhou, K.; Meng, P.; Yuan, H.; Wang, Z.; Chen, Y.; Li, Y.; Zhu, G. Morphology evolution and breakdown mechanism of cross-linked polyethylene (XLPE)–silicone rubber (SiR) interface induced by silicone grease diffusion. High. Volt. 2022, 7, 802–811. [Google Scholar] [CrossRef]
- Chen, C.; Jia, Z.; Wang, X.; Lu, H.; Guan, Z.; Yang, C. Micro characterization and degradation mechanism of liquid silicone rubber used for external insulation. IEEE Trans. Dielectr. Electr. Insul. 2015, 22, 313–321. [Google Scholar] [CrossRef]
- Cruz-Félix, A.S.; Santiago-Alvarado, A.; Márquez-García, J.; González-García, J. PDMS samples characterization with variations of synthesis parameters for tunable optics applications. Heliyon 2019, 5, e03064. [Google Scholar] [CrossRef] [PubMed]
- Hamrouni-Sellami, I.; Kchouk, M.E.; Marzouk, B. Lipid and aroma composition of black cumin (Nigella sativa L.) Seeds from tunisia. J. Food Biochem. 2008, 32, 335–352. [Google Scholar] [CrossRef]
- Elbandy, M.; Kang, O.H.; Kwon, D.Y.; Rho, J.R. Two New Antiinflammatory Triterpene Saponins from the Egyptian edicinal Food Black Cumin (Seeds of Nigella sativa). Bull. Korean Chem. Soc. 2009, 30, 1811–1816. [Google Scholar] [CrossRef][Green Version]
- Oh, J.K.; Yegin, Y.; Yang, F.; Zhang, M.; Li, J.; Huang, S.; Verkhoturov, S.V.; Schweikert, E.A.; Perez-Lewis, K.; Scholar, E.A.; et al. The influence of surface chemistry on the kinetics and thermodynamics of bacterial adhesion. Sci. Rep. 2018, 8, 17247. [Google Scholar] [CrossRef] [PubMed]
- Di Ciccio, P.; Vergara, A.; Festino, A.R.; Paludi, D.; Zanardi, E.; Ghidini, S.; Ianieri, A. Biofilm formation by Staphylococcus aureus on food contact surfaces: Relationship with temperature and cell surface hydrophobicity. Food Control. 2015, 50, 930–936. [Google Scholar] [CrossRef]
- Faglioni, F.; Blanco, M.; Goddard, W.A.; Saunders, D. Heterogeneous Inhibition of Homogeneous Reactions: Karstedt Catalyzed Hydrosilylation. J. Phys. Chem. B 2002, 106, 1714–1721. [Google Scholar] [CrossRef]
- Pan, Z.; Liu, M.; Zheng, C.; Gao, D.; Huang, W. Study of Karstedt’s Catalyst for Hydrosilylation of a Wide Variety of Functionalized Alkenes with Triethoxysilane and Trimethoxysilane. Chin. J. Chem. 2017, 35, 1227–1230. [Google Scholar] [CrossRef]
- Motoyama, Y.; Ohnishi, K.; Shibuya, H.; Joshi, P.; Yoshimura, M. Platinum-Catalyzed Facile Arene Hydrogenation: Dramatic Effect of Activated Carbon and Vinylsiloxane Derivatives on the Catalyst Efficiency. Asian J. Org. Chem. 2023, 12, e202200666. [Google Scholar] [CrossRef]
- Yang, H.; Zhou, Z.; Tang, C.; Chen, F. Recent advances in heterogeneous hydrosilylation of unsaturated carbon-carbon bonds. Chin. Chem. Lett. 2024, 35, 109257. [Google Scholar] [CrossRef]
- Scheuerman, T.R.; Camper, A.K.; Hamilton, M.A. Effects of Substratum Topography on Bacterial Adhesion. J. Colloid Interface Sci. 1998, 208, 23–33. [Google Scholar] [CrossRef] [PubMed]
- Teughels, W.; Van Assche, N.; Sliepen, I.; Quirynen, M. Effect of material characteristics and/or surface topography on biofilm development. Clin. Oral Implant. Res. 2006, 17, 68–81. [Google Scholar] [CrossRef] [PubMed]
- Liao, C.; Li, Y.; Tjong, S.C. Graphene Nanomaterials: Synthesis, Biocompatibility, and Cytotoxicity. Int. J. Mol. Sci. 2018, 19, 3564. [Google Scholar] [CrossRef] [PubMed]
- Liu, S.; Hu, M.; Zeng, T.H.; Wu, R.; Jiang, R.; Wei, J.; Wang, L.; Kong, J.; Chen, Y. Lateral Dimension-Dependent Antibacterial Activity of Graphene Oxide Sheets. Langmuir 2012, 28, 12364–12372. [Google Scholar] [CrossRef]
- Yaragalla, S.; Bhavitha, K.B.; Athanassiou, A. A Review on Graphene Based Materials and Their Antimicrobial Properties. Coatings 2021, 11, 1197. [Google Scholar] [CrossRef]
- Hu, D.; Chen, J.; Sun, S.; Liu, T.; Zhao, L. Solubility and Diffusivity of CO2 in Isotactic Polypropylene/Nanomontmorillonite Composites in Melt and Solid States. Ind. Eng. Chem. Res. 2014, 53, 2673–2683. [Google Scholar] [CrossRef]
- Wang, J.; Song, F.; Ding, Y.; Shao, M. The incorporation of graphene to enhance mechanical properties of polypropylene self-reinforced polymer composites. Mater. Des. 2020, 195, 109073. [Google Scholar] [CrossRef]




















| Additive | Sample Name | Additive Concentration w.t [%] |
|---|---|---|
| - | Si | 0 |
| Turmeric | 5TSi | 5 |
| 10TSi | 10 | |
| 15TSi | 15 | |
| 20TSi | 20 | |
| 30TSi | 30 | |
| 5BcSi | 5 | |
| Blackcumin | 10BcSi | 10 |
| 20BcSi | 20 | |
| 30BcSi | 30 | |
| Cloves | 5CvSi | 5 |
| 25CvSi | 25 | |
| 30CvSi | 30 | |
| Graphene | 3GrSi | 3 |
| 6GrSi | 6 | |
| 9.5GrSi | 9.5 | |
| Silver | 5AgSi | 5 |
| 10AgSi | 10 | |
| 15AgSi | 15 | |
| 20AgSi | 20 | |
| 30AgSi | 30 |
| Additive | Sample Name | Additive Concentration wt. [%] |
|---|---|---|
| - | Si.c | 0 |
| Turmeric | 20TSi.c | 20 |
| Graphene | 3GrSi.c | 3 |
| Silver | 15AgSi.c | 15 |
| Sample Name | Polar Component [mJ/] | Dispersive Component [mJ/] | Surface Free Energy [mJ/] |
|---|---|---|---|
| Turmeric | 6.0 | 20.4 | 26.4 |
| Gr | 1.5 | 20.9 | 22.4 |
| Ag | 20.6 | 20.1 | 40.7 |
| D Band | G Band | D′ Band | D+D″ Band | 2D Band | D+D′ Band | ID/IG | I2D/IG |
|---|---|---|---|---|---|---|---|
| Position of the Band/FWHM/ [cm−1] | |||||||
| 1351/89 | 1577/29 | 1609/56 | 2450/61 | 2698/78 | 2955/102 | 1.04 | 0.63 |
Disclaimer/Publisher’s Note: The statements, opinions and data contained in all publications are solely those of the individual author(s) and contributor(s) and not of MDPI and/or the editor(s). MDPI and/or the editor(s) disclaim responsibility for any injury to people or property resulting from any ideas, methods, instructions or products referred to in the content. |
© 2024 by the authors. Licensee MDPI, Basel, Switzerland. This article is an open access article distributed under the terms and conditions of the Creative Commons Attribution (CC BY) license (https://creativecommons.org/licenses/by/4.0/).
Share and Cite
Chihota, R.; Szymanowski, H.; Kaczorowski, W.; Grabarczyk, J.; Jastrzębska, A.; Niedzielski, P.; Los, K.; Sobczyk-Guzenda, A. Polysiloxane-Based Composite Coatings with Bactericidal Additives. Coatings 2024, 14, 1540. https://doi.org/10.3390/coatings14121540
Chihota R, Szymanowski H, Kaczorowski W, Grabarczyk J, Jastrzębska A, Niedzielski P, Los K, Sobczyk-Guzenda A. Polysiloxane-Based Composite Coatings with Bactericidal Additives. Coatings. 2024; 14(12):1540. https://doi.org/10.3390/coatings14121540
Chicago/Turabian StyleChihota, Rukudzo, Hieronim Szymanowski, Witold Kaczorowski, Jacek Grabarczyk, Aleksandra Jastrzębska, Piotr Niedzielski, Katerina Los, and Anna Sobczyk-Guzenda. 2024. "Polysiloxane-Based Composite Coatings with Bactericidal Additives" Coatings 14, no. 12: 1540. https://doi.org/10.3390/coatings14121540
APA StyleChihota, R., Szymanowski, H., Kaczorowski, W., Grabarczyk, J., Jastrzębska, A., Niedzielski, P., Los, K., & Sobczyk-Guzenda, A. (2024). Polysiloxane-Based Composite Coatings with Bactericidal Additives. Coatings, 14(12), 1540. https://doi.org/10.3390/coatings14121540

