Next Article in Journal
Polysiloxane-Based Composite Coatings with Bactericidal Additives
Previous Article in Journal
Study on the Surface Properties of Lavender Microcapsule Fragrance-Releasing Flooring
Previous Article in Special Issue
Terahertz Non-Destructive Testing of Porosity in Multi-Layer Thermal Barrier Coatings Based on Small-Sample Data
 
 
Font Type:
Arial Georgia Verdana
Font Size:
Aa Aa Aa
Line Spacing:
Column Width:
Background:
Article

Machine Learning-Driven Optimization of Micro-Textured Surfaces for Enhanced Tribological Performance: A Comparative Analysis of Predictive Models

by
Zhenghui Ge
1,
Qifan Hu
1,
Rui Wang
1,
Haolin Fei
2,*,
Yongwei Zhu
1 and
Ziwei Wang
2
1
College of Mechanical Engineering, Yangzhou University, Yangzhou 225009, China
2
Department of Engineering, Engineering Building, Lancaster University, Lancaster LA1 4YW, UK
*
Author to whom correspondence should be addressed.
Coatings 2024, 14(12), 1539; https://doi.org/10.3390/coatings14121539
Submission received: 8 November 2024 / Revised: 4 December 2024 / Accepted: 6 December 2024 / Published: 8 December 2024

Abstract

Micro-textured surfaces show promise in improving tribological properties, but predicting their performance remains challenging due to complex relationships between surface features and frictional behavior. This study evaluates five algorithms—linear regression, decision tree, gradient boosting, support vector machine, and neural network—for their ability to predict load-carrying capacity and friction force based on texture parameters including depth, side length, surface ratio, and shape. The neural network model demonstrated superior performance, achieving the lowest MAE (24.01) and highest R-squared value (0.99) for friction force prediction. The results highlight the potential of machine learning techniques to enhance the understanding and prediction of friction-reducing micro-textures, contributing to the development of more efficient and durable tribological systems in industrial applications.

1. Introduction

In industrial fields such as transportation, energy, aerospace, etc., wear and friction are unavoidable due to the surface interactions between moving parts of machines. Wear and friction not only bring energy and economic consumption, but also increase the maintenance cost of mechanical equipment and even reduce the service life of mechanical equipment. With the development of modern industry, the demand for improving the service life and performance of mechanical equipment by reducing wear is becoming increasingly strong [1,2,3]. Improving the friction performance of moving parts in mechanical equipment has also gradually become the focus of attention and research.
It is generally believed that a smoother surface will bring better tribological properties. However, many studies have shown that uneven surfaces with micro-texture may have better tribological properties [4,5]. Liu et al. [6] found that micro-textured surfaces have better friction performance. Compared to polished surfaces, the average friction coefficient of micro-pit surfaces can be reduced by as much as 33.1% in the stable stage. Wan et al. [7] found that the friction coefficient of texture surfaces was more stable than smooth surfaces, and the minimum friction coefficient of lubricating texture surfaces was 0.25 of non-lubricated surfaces. Tong et al. [8] found that the micro-textured surface can reduce the maximum fatigue and friction wear of the smooth surface by 38.4%, with the same friction conditions and selected test parameters. Feng et al. [9] prepared micro-textures on the coating surface, and the results showed that micro-textured surfaces have lower friction coefficients and wear rates than untextured surfaces, and the wear performance also increases with the increase of micro-textured density. Xu et al. [10] prepared a bionic microstructure similar to shark skin on the metal surface. The experimental results showed that the average friction coefficient and wear depth of the biomimetic microstructure were reduced by 41.52% and 79.07%, respectively, at 25 N, and by 50.77% and 80%, respectively, at 35 N.
Currently, the development of micro-textured surfaces with different characteristic parameters has become one of the favorite topics of researchers. He et al. [11] analyzed the tribological properties of different micro-textured surfaces such as circular pits, square pits, and ring grooves by simulation methods. The research results indicated that micro-textured circular pits have a better friction reduction effect. Zhao et al. [12] found that an appropriate increase in the diameter and depth of micro-textures can increase the average oil film thickness between the surfaces of friction pairs, and effectively improve lubrication characteristics. Yang et al. [13] designed orthogonal experiments of the cutting process and micro-texture parameters, which proved that micro-texture has anti-wear and friction-reducing effects. Moreover, they also found that the evaluation index can be improved by changing the distribution state of the micro-texture, and the optimum results were obtained when the micro-pit diameter was 62.3429 μm and the micro-pit spacing was 235.6443 μm in their research. Yin et al. [14] analyzed the influence of surface micro-texture with different shapes and densities on the disassembly damage and load-carrying capacity of the surplus fit axis from the aspects of micromorphology, microstructure, and material properties. The results showed that the surface of a circular microstructure with an area density of 20% can effectively reduce the disassembly and assembly damage and improve the load-carrying capacity. Xie et al. [15] discussed the effects of texture density and depth parameters on friction performance and the results showed that as the surface texture density and depth increased, the surface friction coefficient decreased first and then increased later. Zheng et al. [16] studied the effect of micro-textured distribution density on tool wear and obtained micro-textured tools with variable density distribution. Chen et al. [17] conducted a study on the friction properties of a diamond-like carbon (DLC) film on the textured surface of high-pressure dry gas seals. In the absence of lubrication, it was observed that the friction coefficient of DLC films with micro-textures was lower than that of untextured sealing surfaces. Furthermore, the coefficient of friction exhibited a decreasing trend as the diameter of the micro-texture increased, while an inverse relationship was observed between the coefficient of friction and the density of the micro-texture area. These studies indicate that better friction performances can be obtained by optimizing micro-texture morphology and parameters. However, due to the diverse morphology and variable parameters of micro-textures, it is difficult to fully explore the potential of improving friction performances through simple simulation or experimental parameter studies. Therefore, how to obtain optimized micro-texture morphology and parameters is the key and difficulty in further improving friction performances.
Machine learning has emerged as a powerful tool for optimization in various fields, including tribology [18]. In the context of surface texture optimization, machine learning algorithms have been successfully applied to improve wear resistance and reduce friction force. For example, Gachot et al. [19] employed a genetic algorithm to optimize the surface texture of a steel-steel friction pair, resulting in a significant reduction in friction coefficient. Zhu et al. [20] systematically studied the optimal patterns of surface textures generated by machine learning under different conditions, and compared with the reported optimal textures, the friction coefficient of machine-generated texture was reduced to 27.3%~49.7%. However, the application of diverse machine learning algorithms to comprehensively predict and optimize micro-texture parameters for friction reduction remains largely unexplored. For instance, decision trees are more effective for classification tasks, while neural networks are well-suited to complex, nonlinear problems [21]. In the case of surface texture prediction and optimization, the complex morphology and numerous parameters associated with friction-reducing micro-textures make it challenging to obtain the optimal configuration. This complexity arises from the wide variety of texture morphologies and the interdependence of texture parameters, which can significantly influence the tribological performance of the friction pair.
To address the challenges associated with optimizing friction-reducing micro-textures, this study analyzed the available data and evaluated the performance of five representative machine learning techniques including linear regression (LR), decision tree (DT), gradient boosting (GB), support vector machine (SVM), and neural network (NN). The selection of these algorithms was based on the specific features of the dataset, ensuring that the most effective approach was employed for predicting the performance of different micro-texture configurations. By leveraging the predictive capabilities of machine learning, this study aimed to streamline the optimization process and identify the optimal texture parameters that yielded the desired tribological performance. The results demonstrate that neural networks, in particular, can provide accurate predictions of the effects of surface texture and parameters on friction performance, enabling the exploration of a wider range of design possibilities and the development of more effective friction-reducing micro-textures.

2. Data Acquisition

2.1. The Friction Sub-Model and Texture Parameter Setting

The typical feature size of a micro-texture is in the range of tens to hundreds of microns, the oil film thickness is between a few microns and a dozen microns, and the diameter of the friction vice is between tens and hundreds of millimeters. Additionally, the curvature radius of the surface is significantly larger than the film thickness, which allows for the effect of surface curvature to be ignored and the study to be simplified to a planar problem. The micro-texture model, comprising four shapes of square (a), rectangle (b), circle (c), and aperture (d), is presented in Figure 1.
A total of 1305 micro-textured watershed models were developed using 3D modeling software. These models were created to represent a range of shapes, edge lengths, area rates, and depths. The configuration of the parameters for each group of micro-textured watersheds is presented in Table 1. The four types of micro-texture possessed the same total area, and therefore the size of other micro-textures could be calculated via Equation (1) based on the size of square micro-texture b.
16 b 2 = 24 c 2 = 16 π r 2 = 4 b l = S a 2
where b denotes the length of the square micro-texture, c refers to the short length of the rectangular micro-texture, r indicates the radius of the circular micro-texture, l is the long length of the slit micro-texture, and a represents the length of the substrate. The micro-textures are uniformly distributed on the substrate, and the area ratio S is calculated by the area proportion of micro-textures and the substrate.

2.2. Governing Equations and Boundary Conditions

The micro-texture surfaces were coated with lubricants, resulting in sliding friction occurring in the horizontal direction with a friction pair. A lubrication model was established based on the Navier–Stokes (N-S) equation in order to solve the fluid domain. The following assumptions were considered:
  • The friction pair is rigid and has no deformation;
  • The fluid is incompressible with constant viscosity and density, and the volumetric forces are ignored;
  • The fluid is in laminar and constant mode;
  • Other basic assumptions of the N-S equations [22].
Therefore, the N-S equations and the continuity equation can be expressed as follows:
X direction:
ρ u u x + v u y + w u z = P x + η 2 u x 2 + 2 u y 2 + 2 u z 2
Y direction:
ρ u v x + v v y + w v z = P x + η 2 v x 2 + 2 v y 2 + 2 v z 2
Z direction:
ρ u w x + v w y + w w z = P x + η 2 w x 2 + 2 w y 2 + 2 w z 2
u x + v y + w z = 0
where u, v, and w represent the velocity of the fluid along the x, y, and z directions, respectively. ρ represents the density of the lubricant and η represents the dynamic viscosity of the lubricant. P represents the oil film pressure.
The objective of importing the constructed model into Discovery of ANSYS Fluent and setting periodic boundary conditions on its corresponding blocks was to simulate a scenario in which the micro-texture is distributed periodically along the x-axis. The fluid enters the computational domain from the pressure inlet, passes through the domain and exits through the pressure outlet, and then re-enters the pressure inlet boundary of the next computational domain from the pressure outlet in the same way. The boundary conditions of the micro-textured fluid domain are illustrated in Figure 2a. The upper wall was designated as a moving wall with a velocity of U = 5 m/s, the lower wall was designated as a stationary wall, the left wall was designated as a pressure inlet, and the right wall was designated as a pressure outlet. The configuration of the primary parameters of the solution process is illustrated in Figure 2b. The texture models were established in Solidworks and then imported to Ansys Fluent. The automatic meshing function was employed in Fluent with a mesh type of tetrahedral and a mesh growth rate of 1.2. The computational model employed the laminar flow model, which is a standard approach in fluid dynamics. The fluid selected was water, with a density set at 895 kg/m3 and a dynamic viscosity set at 0.0135145 Pa·s. The pressure with the second order and the momentum with the quick difference were coupled via the SIMPLEC method.

2.3. Simulation Experiment Verification

Texture-free surfaces with lengths of 632.5 µm, 1897.4 µm, and 5060 µm were selected for model validation. The length was calculated based on the square micro-texture model with an area ratio of 10%, and texture lengths of 50, 150, and 400 µm. The validation methodology was employed based on the work conducted by Liu et al. [23], comparing the simulated and theoretical shear stresses of the texture-free surface. The corresponding theoretical equation is shown as Equation (6) and the comparison results are shown in Table 2. The theoretical shear stresses for the three surfaces were all 8446.56 Pa, while the simulation results were 8630.994, 8512.820, and 8480.757 Pa, respectively. The corresponding deviations were 2.18%, 0.78%, and 0.41%. Since the maximum deviation of 2.18% was within the allowable range, this proved that the simulation model was accurate.
τ = η d u d z = η U h 0
where τ was the shear stress and du/dz was the velocity gradient.

2.4. Preliminary Analysis of Simulation Data

The load-carrying capacity of the lubricant film on the micro-texture surface was calculated by an area-weighted integral of the positive pressure on the upper film surface, while the friction force was determined by an area-weighted integral of the shear stress on the moving surface along the x-direction of the lubricating film. The corresponding equations can be expressed as follows:
F z = P d x d y
F x = τ d x d y
μ = F x F z
where the load-carrying capacity of the oil film on the surface of the micro-texture Fz can be obtained by integrating the area-weighted positive pressure of the moving wall, the friction force Fx can be obtained by integrating the area-weighted shear stress in the x-direction of the lubricating film, τ is the fluid shear stress and µ is the friction coefficient.
A cloud plot of the pressure (top) and shear stress (bottom) distribution of the oil film for each shape texture at a depth of 5 μm, an area ratio of 40%, and a side length of 500 μm is presented in Figure 3. The pressure distribution cloud diagram indicates that the maximum positive pressure value was typically higher than the minimum negative pressure value. Additionally, the inlet pressure of the weaving structure is observed to be smaller than the outlet pressure. This phenomenon can be attributed to the formation of a dispersion wedge gap as a result of the increased distance between the friction surfaces, which occurs as the lubricant flows into the micro-pits. This gap creates a negative pressure in the dispersion region. As the lubricant flows out of the micro-pit, the distance between the surfaces decreases, creating a converging wedge gap that results in a sudden rise in positive pressure in the converging region. This results in an asymmetric pressure direction at the leading and trailing edges of the micro-pit vertically, which in turn generates additional load-bearing effects. The shear stress cloud indicates that the maximum shear stress was observed in the aperture texture configuration, while the minimum was observed in the square texture configuration. Figure 3 demonstrates that the texture has the potential for enhanced friction reduction in the aperture shape.
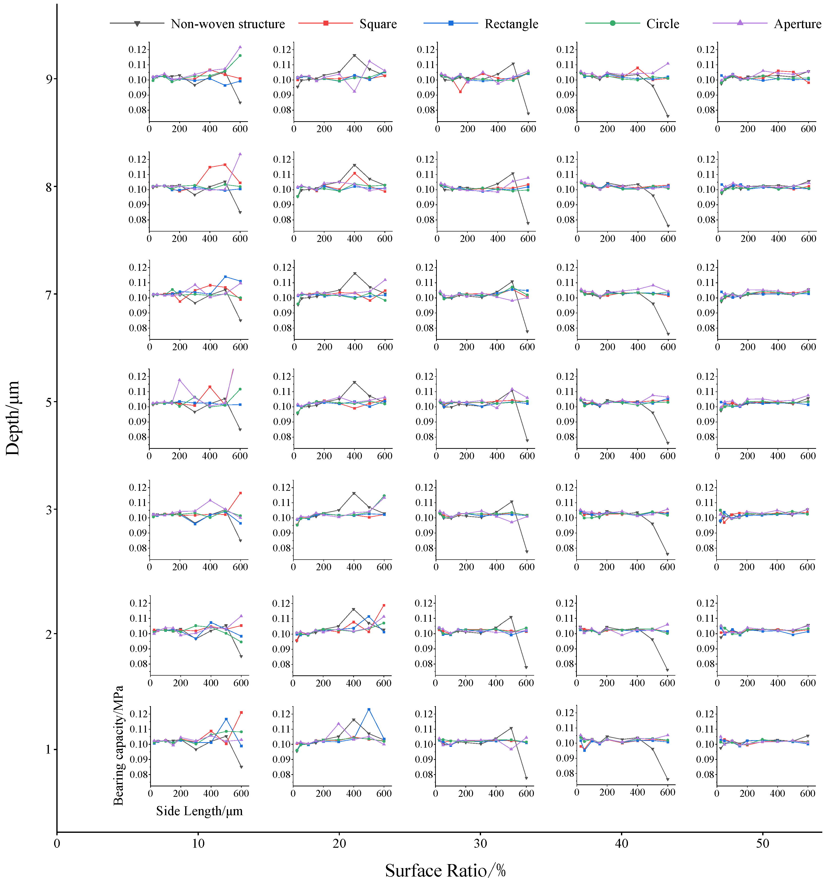
Figure 4 and Figure 5 illustrate the variation of each parameter of the texture as a function of load-carrying capacity and friction coefficient. From Figure 4, it can be observed that the micro-texture structure, when subjected to appropriate parameter selection, exhibited a greater load-carrying capacity than the no-texture structure. However, due to the extensive data exploration conducted in this paper, the multitude of input parameters, and the lack of discernible regularity between the input parameters and the output parameter, it is challenging to draw definitive conclusions.
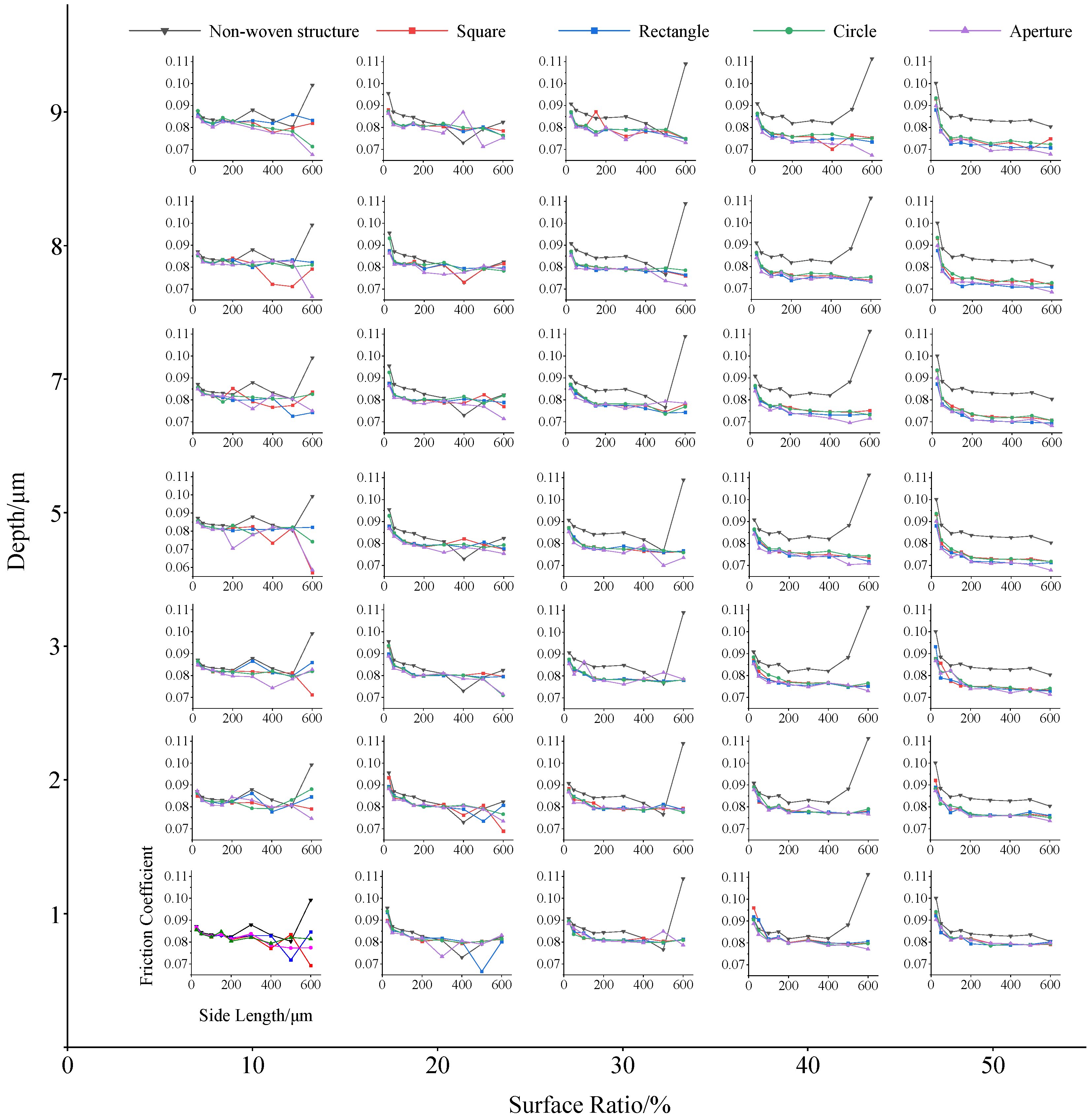
Figure 5 shows that the friction coefficients of most woven surfaces were smaller than those of their corresponding unwoven surface. Furthermore, the friction coefficients generally exhibited a decreasing trend with the increase in fabric size. However, the influence of individual shape, area ratio, and depth parameters on friction coefficients was not clearly discernible. In conclusion, it was challenging to fully harness the potential of friction performance through the use of basic simulation or experimental parametric studies. This is because it was difficult to study the extent to which micro-texture parameters affected load-carrying capacity and friction coefficients by manual methods, and it was also difficult to predict the optimum texture parameters. Consequently, in this paper, a range of machine learning algorithms was employed to evaluate and predict the friction reduction performance of surface micro-texture parameters.

3. Preliminary Analyses of Simulation Results

3.1. Dataset Construction

This paper focuses on examining the mechanical properties of friction pair parts, emphasizing their responsiveness to various structural characteristics. To construct a comprehensive dataset for subsequent analysis and data-driven model training, simulations were conducted involving parts with diverse parameters such as depth, side length, surface ratio, and shape. The associated key performance metrics, encompassing load-carrying capacity, friction force, friction coefficient, and friction reduction rate, were systematically acquired through simulations involving a range of part configurations. Afterwards, a thorough reorganization was undertaken, accompanied by a discerning data reduction strategy aimed at preserving essential features while mitigating redundancy. This pivotal step in data preparation is essential in optimizing the performance of data-driven models by reducing dataset dimensionality. Parameters exhibiting linear correlations were systematically identified and excluded, resulting in a refined dataset comprising non-linearly correlated input and output pairs. The resulting dataset, characterized by a reduction in input parameters (depth, side length, surface ratio, and shape) and corresponding output parameters (load-carrying capacity and friction force), laid the groundwork for subsequent analyses. The shape feature was encoded for algorithmic processing and analysis, categorically represented as “no texture”, “squares”, “rectangles”, “circles”, and “crevices”, with numerical values ranging from 0 to 4.

3.2. Exploratory Data Analysis (EDA) Insights

To gain deeper insights into the dataset prior to algorithmic design, exploratory data analysis (EDA) was employed in this study. EDA serves as a commonplace tool for revealing intricacies within datasets. In the context of this study, EDA was utilized to elucidate the nuanced relationships between structural features and critical mechanical behaviors, specifically load-carrying capacity and friction-related properties. This analytical approach enhanced our understanding of the dataset’s underlying structure, distributions, and patterns, providing a solid foundation for more informed algorithmic design and the interpretation of results.
We first provide a comprehensive view of the collected data with numerical features summary in Table 3, which includes key statistical measures such as mean, standard deviation, minimum, 25th percentile, median, 75th percentile, and maximum values. Subsequently, we conduct an in-depth analysis of the correlation coefficients existing between each variable within the dataset. The confusion matrix presented in Figure 6 provides insights into the correlations and relationships among the variables D (depth), SL (side length), SR (surface ratio), S (shape), LC (load-carrying capacity), and FF (friction force). The heat map visualizes the pairwise correlations between variables, with darker shades indicating stronger positive (blue) or negative (red) correlations, while lighter shades signify weaker correlations. The matrix reveals several notable patterns and findings that shed light on the intricate interplay between these parameters in the context of the studied system. Each cell within the matrix denotes the correlation strength between two variables, with values ranging from −1 to 1. A value of 1 signifies a robust positive correlation, −1 indicates a pronounced negative correlation, and 0 signifies an absence of correlation.
Regarding the load-carrying capacity, the results show the main positive contribution of SL, with a correlation coefficient of 0.2, indicating an increase in SL was generally associated with an improvement in LC. This relationship is intuitively logical, as a larger contact area resulting from increased SL can distribute applied loads more effectively, thereby enhancing load-bearing performance. The secondary factors were SR and S, with correlation coefficients of −0.09 and 0.09, respectively, indicating they possessed the same ability to influence LC in opposite directions. The weakest factor was D, as evidenced by near-zero correlation coefficients (−0.03). Therefore, the main effect of the micro-texture features on the LC can be sequenced as SL (0.2) > SR (−0.09) = S (0.09) > D (−0.03). Similarly, the results show the main negative correlation between SL and FF, with a correlation coefficient of −0.51, indicating that an increase in SL was generally accompanied by a reduction in FF. Other correlation coefficients include a D of −0.23, SR of −0.41, and S of −0.11, indicating that increasing depth, surface ratio, or altering shape potentially led to reductions in friction force. Therefore, the main effect of the micro-texture features on the FF can be sequenced as SL (−0.51) > SR (−0.41) > D (−0.23) > S (−0.11).
The confusion matrix also revealed that D, SL, SR, and S had minimal correlations with each other, and the correlation between LC and FF was weak, as evidenced by the near-zero values in their respective cells. This suggests a level of independence among these variables, and they could potentially be tuned independently to optimize the desired performance characteristics. Therefore, the SL and S can be employed as the main optimization parameters in future studies since they can enhance the LC and reduce the FF simultaneously. Moreover, the lack of a dominant correlation in the matrix indicates that no single input feature significantly dominated or influenced specific mechanical properties over others. Given this relationship, employing methods that consider the combined impact of multiple features, such as multivariate regression or machine learning algorithms could be advantageous. These approaches can effectively capture the intricate interplay between various structural characteristics and mechanical properties, providing a more comprehensive understanding of the system.

3.3. Performance Metrics Visualization

In Figure 7, a pair plot is provided offering a comprehensive visual representation of the relationships and distributions among various design parameters and performance metrics for different textile structures. The plot encompasses five distinct shapes: non-woven structure (NWS), square (S), rectangle (R), circle (C), and aperture (A). The analysis reveals clear separations and clustering of data points based on shape, with non-woven structure and aperture exhibiting unique distributions compared to the more regular geometric shapes. This finding highlights the significant impact of structural arrangement and manufacturing process on the behavior and characteristics of these textile structures. One notable observation is the clear separation and clustering of data points based on the shape parameter. The non-woven structure exhibited a distinct distribution compared to the other shapes, indicating its unique properties and performance characteristics. This separation suggests that the manufacturing process and structural arrangement of woven structures have a significant impact on their behavior, setting them apart from the traditional non-woven structure shapes. Within the woven structures, the square, rectangle, and circle structures displayed similar trends and clustering patterns, implying a level of commonality in their performance. However, the aperture shape stood out with its distinct distribution, particularly in terms of load-carrying capacity and friction force. This suggests that the presence of apertures introduces additional complexity and variability in the mechanical properties of the structure.
Examining the relationships between design parameters and performance metrics reveals interesting patterns. Both depth and side length showed a positive correlation with load-carrying capacity, indicating that increasing the depth and the side length of the structure generally enhanced its load-bearing capabilities. However, the relationship between depth and friction force was less pronounced, suggesting that depth alone may not be a strong predictor of frictional behavior. Conversely, the surface ratio parameter showed a negative correlation with load-carrying capacity, suggesting that higher surface ratios may compromise the structure’s ability to support loads effectively. Interestingly, the friction force metric displayed a wide range of values across different shapes and design parameters. The geometric shapes tended to have lower friction force values compared to the non-woven structure, indicating its inherent suitability to sliding and potential for decreased surface interactions. Among the geometric shapes, the aperture structure exhibited the highest variability in friction force, highlighting the complex interplay between aperture design and frictional properties. The pair plot also reveals the presence of outliers and extreme values, particularly in the load-carrying capacity and friction force metrics. These outliers suggest the existence of specific design configurations or manufacturing conditions that result in exceptional performance characteristics. Further investigation into these outliers could yield valuable insights into optimizing the design and production process for enhanced mechanical properties.
The violin plots presented in Figure 8 provide a comprehensive visualization of the distribution and statistical properties of both friction force and load-carrying capacity across various textile structure shapes. The region of the Y-axis corresponding to the black line segment indicates that 75% of the values fell within that region. The Y-axis value corresponding to the white dot field indicates the mean value of load-carrying capacity and friction for each shape parameter. It can be observed from Figure 8a that the woven structure shapes (square, rectangle, circle, and aperture) generally exhibited lower friction force values compared to the non-woven structure, which displayed a compact and dense distribution with a higher median friction force value. In contrast, the woven structure shapes demonstrated broader distributions of friction force values, generally shifted towards lower magnitudes. This suggests that the woven structures, particularly the geometric shapes, possessed inherent characteristics that contributed to reduced frictional properties. The observation of a wider range of frictional behaviors within each category of woven shapes indicates the potential for further optimization of these structures in order to minimize friction forces. These findings highlight the advantageous tribological properties of woven textures, particularly their ability to reduce surface interactions and promote easier sliding, which is desirable in many applications requiring low friction. The aperture and rectangle shape demonstrated the most pronounced lower tail, implying its potential for achieving reduced frictional properties. On the other hand, the load-carrying capacity violin plot revealed distinct differences in the load-bearing capabilities of the various shapes, as shown in Figure 8b. The non-woven structure exhibited the lowest median load-carrying capacity and a relatively narrow distribution, suggesting limited load-bearing performance compared to the woven structures. Among the woven structures, the square and rectangle shapes exhibited similar distributions and the highest median load capacities, which suggests a higher propensity for load-bearing performance, likely due to their structural stability and efficient load distribution. The circle and aperture shapes also showed relatively high load capacities, with slightly lower median values compared to the square and rectangle shapes. Interestingly, the aperture and square shape exhibited a more extended upper tail in the load-carrying capacity distribution, indicating the presence of samples with exceptionally high load-bearing capabilities. This finding highlights the potential of aperture and square designs in achieving enhanced load-carrying capacity, possibly due to their ability to distribute loads effectively through the aperture structure.

4. Simulation Data Analysis and Insights

4.1. Machine Learning Algorithms

The complex relationships between input and output parameters in modern manufacturing present challenges for traditional fixed-formula methods, which often fail to capture these interactions fully. This limitation has led to the development of data-driven approaches that utilize statistical techniques to learn directly from data, providing more robust solutions for process optimization and prediction. Recently, machine learning (ML) algorithms have become essential in data-driven manufacturing analysis, effectively addressing tasks such as parameter optimization and accurate prediction. The objective of this study was to develop an optimal model capable of accurately characterizing mechanical properties, including force friction and load-carrying capacity, based on limited surface or shape features, without the need for extensive modeling or experiments. Therefore, a regression model was required to predict these properties based on constrained input features.
ML encompasses various algorithms, broadly classified into categories such as linear models, decision trees, ensemble models, kernelized models, and neural networks. The selection of an algorithm depends on data characteristics, interpretability, and specific task requirements. This study selected one representative algorithm from each category based on applicability and successful implementations. For linear models, LR stood out as a pragmatic choice due to its simplicity, interpretability, and effectiveness in capturing linear relationships between features and target variables [24]. DT algorithms are favored for decision-based methods, offering intuitive decision rules and the ability to handle both numerical and categorical data effectively [25]. Ensemble methods, exemplified by the gradient boosting algorithm (XGBoost), are preferred for their capacity to combine multiple weak learners to produce a strong predictor, thereby enhancing overall performance and generalization [26]. Kernelized methods, such as SVMs, excel in capturing complex nonlinear relationships in data by mapping them into a higher-dimensional feature space [27]. Finally, we chose a feedforward neural network for neural network-based methods. Other architectures such as recurrent neural networks (RNN), commonly applied to tasks involving temporal data [28], and convolutional neural networks (CNN), better suited for spatial data [29], possess intricate structures that often demand a large number of parameters. However, given the dataset’s limited size, such complexity may not have been optimal. Despite techniques like fine-tuning [30] that can alleviate the need for extensive data, the absence of pre-trained models tailored to the specific dataset rendered overly complex network architectures unsuitable for the task.
This research specifically investigated the applicability of five prominent ML algorithms: LR, DT, GB, SVM, and NN. Each algorithm brings unique strengths and weaknesses to the table, offering varying degrees of effectiveness in addressing the specific regression problem [31]. The implementation details for each algorithm were as follows: the LR model used ordinary least squares regression with a learning rate of 0.01. The DT model was configured with a maximum depth of 10 and a minimum sample per leaf of 5. The GB implementation utilized 100 estimators with a learning rate of 0.1 and a maximum tree depth of 6. The SVM employed a radial basis function kernel with C = 1.0 and epsilon = 0.1. The NN architecture consisted of four layers, including input layer (4 Neurons), hidden layer 1 (64 Neurons), hidden layer 2 (32 Neurons) and output layer (1 Neurons), using ReLU activation functions and Adam optimizer with a learning rate of 0.001, trained for 200 epochs with batch size 32. Therefore, this study aimed to comprehensively evaluate the performance of these algorithms and identify the model that exhibited the highest degree of accuracy in capturing the intricate interplay between the chosen input features and the target outputs.

4.2. Data Preprocessing

In preparing the data for analysis, we addressed the challenge posed by the substantial variance in the dimensions of the input and output features. Given the diverse preprocessing needs of each algorithm under consideration, the approach was tailored to align with these requirements, ensuring optimal model performance. For linear models, sensitivity to feature scale is a notable concern sensitivity. To ensure that all input features contributed equally to the models’ learning processes, especially critical for models sensitive to the scale of input variables like linear regression, feature scaling was applied, which is given as:
Scaled   Feature i = X i μ σ
where Xi represents the original value of the feature being scaled, σ and μ represent the standard deviation and the mean of the feature across all samples, respectively. By applying this transformation, each feature is centered around zero with a unit standard deviation, allowing for a harmonized scale across all inputs. In addition, for categorical variables, one-hot encoding transforms these variables into a binary vector representation, which is crucial when including categorical data in machine learning models without implying any ordinal relationship between categories. This process is encapsulated by:
One-Hot i n = 1 , i f n = i 0 , o t h e r w i s e
where n represents the index within the binary vector corresponding to the specific category present in an observation, and i denotes the actual category of the observation from the original dataset. In the one-hot encoded vector, a ‘1’ is placed at position n to indicate the presence of category i, with all other positions set to ‘0’. This binary vector effectively communicates the presence or absence of categorical features to the model without introducing numeric biases associated with ordinal encoding, ensuring that the model accurately interprets these as distinct, non-ordered categories. Contrastingly, DT inherently manages categorical data without necessitating one-hot encoding. This capability stems from their method of node splitting, which effectively handles both continuous and categorical variables by evaluating whether a feature surpasses a specific threshold. GB models display an indifference to the scale of input features, thus obviating the need for feature scaling or one-hot encoding for categorical variables. However, recognizing the distinct nature of the output targets, we opted to construct two separate models for their prediction, thereby enhancing model specificity and accuracy. For SVMs, both feature and target scaling, alongside one-hot encoding for categorical variables, are essential preprocessing steps. These adjustments are crucial for SVMs due to their sensitivity to the scale of input data, which significantly influences their prediction accuracy. Regarding NN, we experimented with two approaches to model architecture: a dual-output head configuration and separate models for each output target. This experimentation aimed to ascertain the most effective strategy for the prediction tasks, taking into consideration the unique characteristics of neural network models and their flexibility in handling complex data relationships.

5. Results and Discussion

In this study, three evaluation criteria were employed: the mean absolute error (MAE), root mean square error (RMSE), and R-squared (R2) were employed as evaluation criteria. These metrics are commonly employed for the evaluation of regression models. The mean absolute error (MAE) is a measure of the average magnitude of errors, calculated as the mean of the absolute differences between predicted and true values. This makes the MAE resistant to outliers. In contrast, RMSE penalizes larger errors more heavily, rendering it sensitive to outliers and thus suitable for scenarios where larger errors are more critical. R2 quantifies the proportion of variance in the dependent variable explained by the independent variables, with higher values indicating a superior model fit. These three metrics were selected for their robustness and interpretability in evaluating regression model performance [32].
The results presented in Table 4 and Table 5 present a comparative analysis of the performance of LR, DT, GB, SVM, and NN) in predicting a target variable. The optimal values of the corresponding evaluation indicators under different methods are presented in the table in black. In order to facilitate a more intuitive comparison and analysis of the performance of the predictor variables, this paper plotted (Figure 9) them corresponding to Table 4 and Table 5. This allowed the prediction of the load-carrying capacity using different machine learning methods to be observed. The normalized mean absolute error (MAE) under the NN method and the normalized root mean square error (RMSE) under the SVM method had the smallest values, with values of 0.50 and 0.94, respectively. In contrast, the decision tree method had the largest values. The normalized MAE and normalized RMSE under the decision tree method exhibited the greatest values, with respective values of 0.71 and 1.46. The value of R-square was not close to 1 in any of the five methods, which may be attributed to the fact that the load-carrying capacity of the liquid oil film was primarily influenced by the viscosity of the lubricant, the film thickness, the rate of formation of the lubricant film, and the surface roughness, and was less correlated with the various parameters of the input texture. A quantitative comparison of the principal assessment metrics for predicting friction utilizing the contrasting methodologies revealed that the neural network model exhibited the most optimal overall performance among the algorithms subjected to this analysis. It achieved the lowest MAE (24.01) and the lowest normalized MAE (0.06), indicating its superior accuracy in predicting the target variable. Moreover, the NN model also attained the lowest normalized RMSE (0.11), which can be attributed to the NN’s ability to capture complex nonlinear relationships through its multilayer architecture and effective feature learning capabilities. In terms of the R-square metric, which measures the proportion of variance in the target variable explained by the model, the NN model achieved an impressive value of 0.99. This suggests that the NN model captured almost all the variability in the target variable, providing a highly accurate and reliable prediction. The GB model also demonstrated strong performance, with the second-lowest normalized MAE (0.11), as well as the second-lowest normalized RMSE (0.15). The DT model showed moderate performance and its R-square value of 0.89 suggests that the DT model captured a substantial amount of the variability in the target variable, although not as effectively as the NN and GB models. On the other hand, the LR and SVM models exhibited relatively poor performance compared to the other algorithms, with RMSE of 0.71 and 0.98, indicating a higher level of prediction errors and limited effectiveness in capturing the underlying patterns in the data. The superior performance of the neural network model in this study highlights its capability of modeling complex, nonlinear relationships between input parameters and output performance metrics. This prediction model allows further identification of the optimal combination of texture morphology and parameters that yield the most significant improvements in wear resistance and friction reduction. In conclusion, the NN method was selected for a more precise evaluation of the prediction of load-carrying capacity and friction.
This paper further validated the performance and reliability of NN by presenting residual plots in Figure 10. These plots visualize the differences between the true values and the predicted values, enabling an assessment of the model’s predictive accuracy and potential biases. In the study of the frictional properties of the surface of the friction partner, the friction force is typically the most important factor. This is because micro-textiles are designed to improve the frictional properties, reduce the friction force, increase the lubrication effect of the surface, and thus reduce the energy consumption and wear. It can be seen from the friction force scatter plot (Figure 10b) that the predicted values and true values are evenly distributed around the y = x line. This indicates that the NN model did not exhibit systematic bias in its predictions, as it did not consistently overestimate or underestimate the friction force. The absence of any discernible pattern in the friction force prediction residuals suggests that the model effectively captured the underlying relationship between the input features and friction force. Furthermore, the magnitude of the residuals remained relatively small compared to the range of friction force values, as shown in Figure 10d. This indicates that the neural network model was capable of providing accurate predictions with minimal error, thereby offering some guidance on the selection of micro-texture parameters for engineering applications. The tight clustering of residuals near zero indicates a high level of precision in the model’s predictions, instilling confidence in its ability to estimate load-carrying capacity accurately. However, it is worth noting that the scatter plot of load-carrying capacity. Figure 10a does not demonstrate an even distribution along diagnosis and their residuals shown in Figure 10c exhibit a wider spread compared to the friction force residuals. This suggests that the NN model’s predictions of load-carrying capacity had higher variability or uncertainty compared to its predictions of friction force. Nevertheless, the overall magnitude of the load-carrying capacity residuals remained small, with the majority falling within the range of −2–2, indicating that the model still provided reliable and accurate predictions. The normalized residuals plot provides further validation of the NN model’s performance.
In short, the computational cost and accuracy of the ML models varied significantly, influencing their suitability for real-world applications. NN achieved the highest accuracy, capturing complex nonlinear relationships with R2 = 0.99 for friction force, while it incurred higher computational costs. In contrast, models like DT and GB struck a balance between accuracy and computational efficiency, making them viable for scenarios where real-time processing is prioritized. LR serves as a baseline but lacks predictive power for load-carrying capacity and friction force, while computationally inexpensive.

6. Conclusions and Perspective

In this study, we proposed a machine learning-based approach to predict and analyze the tribological performance of micro-textured surfaces, with a focus on load-carrying capacity and friction force. Five different ML models were employed to systematically investigate the influence of texture parameters, including depth, side length, surface ratio, and shape, on performance metrics. Among these models, the NN exhibited superior predictive performance, achieving exceptional accuracy in capturing the complex and nonlinear relationships between texture parameters and tribological performance. Specifically, the NN attained an R2 value of 0.99 and the lowest MAE of 24.01 for friction force prediction, significantly outperforming the other ML models. This approach facilitates rapid exploration of a broad design space, enabling efficient evaluation of texture configurations without relying on extensive physical experimentation. The findings underscore the potential of machine learning, particularly neural networks, as a powerful tool for optimizing tribological performance, providing actionable insights that may be overlooked by conventional analysis methods.
Despite its achievements, this study has several limitations that must be acknowledged. First, it relied entirely on simulation data, which may not fully capture the complexity of real-world conditions. Second, the dataset used was limited in scope, omitting critical factors such as viscosity, temperature, and others that could significantly impact the accurate modeling of tribological systems. Additionally, the computational cost of the neural network model poses a significant barrier to broader industrial adoption, particularly in real-time processing environments. Future research should aim to expand the dataset by including additional relevant features, integrate predictive models with automated design optimization algorithms, and develop lightweight or hybrid machine learning models to mitigate computational challenges. Crucially, experimental validation is necessary to confirm the model’s predictions and ensure their reliability in practical applications. Addressing these challenges will help evolve this approach into a comprehensive framework for tackling complex tribological problems, thereby contributing to more efficient and sustainable surface engineering solutions.

Author Contributions

Z.G. (investigation, writing—review and editing), Q.H. (simulation, writing—original draft), R.W. (data processing, writing—original draft), H.F. (methodology, writing—original draft), Y.Z. (conceptualization, review and editing), Z.W. (supervision, review and editing). All authors have read and agreed to the published version of the manuscript.

Funding

This work was financially supported by the Jiangsu Agricultural Science and Technology Innovation Fund (CX(21)3154) and the National Natural Science Foundation of China (52175438).

Institutional Review Board Statement

Not applicable.

Informed Consent Statement

Not applicable.

Data Availability Statement

Data will be made available on request.

Conflicts of Interest

The authors declare no conflict of interest.

References

  1. Du, C.; Yu, T.; Zhang, L.; Shen, R.; Wu, Z.; Li, X.; He, X.; Feng, Y.; Wang, D. Robust and universal macroscale superlubricity with natural phytic acid solutions. Tribol. Int. 2023, 183, 108387. [Google Scholar] [CrossRef]
  2. Huang, J.; Guan, Y.; Ramakrishna, S. Tribological behavior of femtosecond laser-textured leaded brass. Tribol. Int. 2021, 162, 107115. [Google Scholar] [CrossRef]
  3. Li, S.; Yang, X.; Kang, Y.; Li, Z.; Li, H. Progress on Current-Carry Friction and Wear: An Overview from Measurements to Mechanism. Coatings 2022, 12, 1345. [Google Scholar] [CrossRef]
  4. Zhang, H.; Dai, S.; Liu, Y.; Zhu, Y.; Xu, Y.; Li, B.; Dong, G. Fishbone-like micro-textured surface for unidirectional spreading of droplets and lubricity improvement. Tribol. Int. 2024, 198, 109932. [Google Scholar] [CrossRef]
  5. Wang, P.; Liang, H.; Jiang, L.; Qian, L. Effect of nanoscale surface roughness on sliding friction and wear in mixed lubrication. Wear 2023, 530–531, 204995. [Google Scholar] [CrossRef]
  6. Liu, X.; Zhang, J.; Li, L. Surface Integrity and Friction Performance of Brass H62 Textured by One-Dimensional Ultrasonic Vibration-Assisted Turning. Micromachines 2021, 12, 1398. [Google Scholar] [CrossRef]
  7. Wan, Q.; Gao, P.; Zhang, Z. Friction and wear performance of lubricated micro-textured surface formed by laser processing. Surf. Eng. 2021, 37, 1523–1531. [Google Scholar] [CrossRef]
  8. Tong, X.; Shen, J.; Su, S. Properties of variable distribution density of micro-textures on a cemented carbide surface. J. Mater. Res. Technol. 2021, 15, 1547–1561. [Google Scholar] [CrossRef]
  9. Feng, X.; Wang, R.; Wei, G.; Zheng, Y.; Hu, H.; Yang, L.; Zhang, K.; Zhou, H. Effect of a micro-textured surface with deposited MoS2-Ti film on long-term wear performance in vacuum. Surf. Coat. Technol. 2022, 445, 128722. [Google Scholar] [CrossRef]
  10. Xu, L.; Shi, X.; Xue, Y.; Zhang, K.; Huang, Q.; Wu, C.; Ma, J.; Shu, J. Improving Tribological Performance of 42CrMo under Dry Sliding Conditions by Combining Rhombic-Textured Surfaces with Sn–Ag–Cu Solid Lubricant and MXene-Ti3C2TX. J. Mater. Eng. Perform. 2023, 32, 1275–1291. [Google Scholar] [CrossRef]
  11. He, C.; Yang, S.; Zheng, M. Analysis of synergistic friction reduction effect on micro-textured cemented carbide surface by laser processing. Opt. Laser Technol. 2022, 155, 108343. [Google Scholar] [CrossRef]
  12. Zhao, J.; Li, Z.; Zhang, H.; Zhu, R. Prediction of Contact and Lubrication Characteristics of Micro-textured Surface Under Thermal Line Contact EHL. Front. Mech. Eng. 2021, 7, 672588. [Google Scholar] [CrossRef]
  13. Yang, H.; Yang, S.; Tong, X. Study on the Matching of Surface Texture Parameters and Processing Parameters of Coated Cemented Carbide Tools. Coatings 2023, 13, 681. [Google Scholar] [CrossRef]
  14. Yin, C.; Huang, H.; Dan, Z.; Liu, Z. Disassembly damage and load-carrying capacity of shaft with surface micro-texture. Surf. Eng. 2022, 38, 562–570. [Google Scholar] [CrossRef]
  15. Xie, X.; Hua, X.; Li, J.; Cao, X.; Tian, Z.; Peng, R.; Yin, B.; Zhang, P. Synergistic effect of micro-textures and MoS2 on the tribological properties of PTFE film against GCr15 bearing steel. J. Mater. Res. Technol. 2021, 35, 2151–2160. [Google Scholar] [CrossRef]
  16. Zheng, M.; He, C.; Yang, S. Optimization of Texture Density Distribution of Carbide Alloy Micro-Textured Ball-End Milling Cutter Based on Stress Field. Appl. Sci. 2020, 10, 818. [Google Scholar] [CrossRef]
  17. Chen, D.; Ding, X.; Yu, S.; Zhang, W. Friction performance of DLC film textured surface of high pressure dry gas sealing ring. J. Braz. Soc. Mech. Sci. 2019, 41, 161. [Google Scholar] [CrossRef]
  18. Wu, H.; Wei, P.; Hu, R.; Lin, H.; Du, X.; Zhou, P.; Zhu, C. Study on the relationship between machining errors and transmission accuracy of planetary roller screw mechanism using analytical calculations and machine-learning model. J. Comput. Des. Eng. 2023, 10, 398–413. [Google Scholar] [CrossRef]
  19. Gachot, C.; Rosenkranz, A.; Hsu, S.M.; Costa, H.L. A critical assessment of surface texturing for friction and wear improvement. Wear 2017, 372–373, 21–41. [Google Scholar] [CrossRef]
  20. Zhu, B.; Zhang, W.; Zhang, W.; Li, H. Generative design of texture for sliding surface based on machine learning. Tribol. Int. 2023, 179, 108139. [Google Scholar] [CrossRef]
  21. Kotsiantis, S.B.; Zaharakis, I.D.; Pintelas, P.E. Machine learning: A review of classification and combining techniques. Artif. Intell. Rev. 2006, 26, 159–190. [Google Scholar] [CrossRef]
  22. Jia, J.; Hao, Y.; Ma, B.; Xu, T.; Li, S.; Xu, J.; Zhong, L. Gas–liquid two-phase flow field analysis of two processing teeth spiral incremental cathode for the deep special-shaped hole in ECM. Int. J. Adv. Manuf. Technol. 2023, 127, 5831–5846. [Google Scholar] [CrossRef]
  23. Liu, W.; Ni, H.; Chen, H.; Wang, P. Numerical simulation and experimental investigation on tribological performance of micro-dimples textured surface under hydrodynamic lubrication. Int. J. Mech. Sci. 2019, 163, 105095. [Google Scholar] [CrossRef]
  24. Weisberg, S. Applied Linear Regression; John Wiley & Sons: Hoboken, NJ, USA, 2005. [Google Scholar] [CrossRef]
  25. Song, Y.; Lu, Y. Decision tree methods: Applications for classification and prediction. Shanghai Arch. Psychiatry 2015, 27, 130–135. [Google Scholar] [CrossRef] [PubMed]
  26. Chen, T.; Guestrin, C. XGBoost. In Proceedings of the 22nd ACM SIGKDD International Conference on Knowledge Discovery and Data Mining, San Francisco, CA, USA, 13–17 August 2016; ACM: New York, NY, USA, 2016; pp. 785–794. [Google Scholar] [CrossRef]
  27. Suthaharan, S. Support Vector Machine. In Machine Learning Models and Algorithms for Big Data Classification; Springer: Boston, MA, USA, 2016; pp. 207–235. [Google Scholar] [CrossRef]
  28. Sherstinsky, A. Fundamentals of Recurrent Neural Network (RNN) and Long Short-Term Memory (LSTM) network. Physica D 2020, 404, 132306. [Google Scholar] [CrossRef]
  29. Gu, J.; Wang, Z.; Kuen, J.; Ma, L.; Shahroudy, A.; Shuai, B.; Liu, T.; Wang, X.; Wang, G.; Cai, J.; et al. Recent advances in convolutional neural networks. Pattern Recognit. 2018, 77, 354–377. [Google Scholar] [CrossRef]
  30. Church, K.W.; Chen, Z.; Ma, Y. Emerging trends: A gentle introduction to fine-tuning. Nat. Lang. Eng. 2021, 27, 763–778. [Google Scholar] [CrossRef]
  31. Huang, J.-C.; Ko, K.-M.; Shu, M.-H.; Hsu, B.-M. Application and comparison of several machine learning algorithms and their integration models in regression problems. Neural Comput. Appl. 2020, 32, 5461–5469. [Google Scholar] [CrossRef]
  32. Carvalho, D.V.; Pereira, E.M.; Cardoso, J.S. Machine Learning Interpretability: A Survey on Methods and Metrics. Electronics 2019, 8, 832. [Google Scholar] [CrossRef]
Figure 1. A 2D geometric model with different surface micro-textures: (a) square micro-texture; (b) rectangular micro-texture; (c) circular micro-texture; and (d) aperture micro-texture.
Figure 1. A 2D geometric model with different surface micro-textures: (a) square micro-texture; (b) rectangular micro-texture; (c) circular micro-texture; and (d) aperture micro-texture.
Coatings 14 01539 g001
Figure 2. Emulation settings: (a) boundary condition settings of the micro-textured watershed; (b) key parameter settings for solving mode.
Figure 2. Emulation settings: (a) boundary condition settings of the micro-textured watershed; (b) key parameter settings for solving mode.
Coatings 14 01539 g002
Figure 3. Contour of pressure (top) and shear stress (bottom) for different texture shapes.
Figure 3. Contour of pressure (top) and shear stress (bottom) for different texture shapes.
Coatings 14 01539 g003
Figure 4. Changes in load-carrying capacity under different texture parameters.
Figure 4. Changes in load-carrying capacity under different texture parameters.
Coatings 14 01539 g004
Figure 5. Changes in friction coefficient under different texture parameters.
Figure 5. Changes in friction coefficient under different texture parameters.
Coatings 14 01539 g005
Figure 6. Correlation matrix heat map of the input and output variables.
Figure 6. Correlation matrix heat map of the input and output variables.
Coatings 14 01539 g006
Figure 7. Pair plots depicting the distinct characteristics and performance variations across different textile structure shapes: non-woven structure (NWS), square (S), rectangle (R), circle (C), and aperture (A).
Figure 7. Pair plots depicting the distinct characteristics and performance variations across different textile structure shapes: non-woven structure (NWS), square (S), rectangle (R), circle (C), and aperture (A).
Coatings 14 01539 g007
Figure 8. Violin plot of (a) friction force and (b) load-carrying capacity by shape.
Figure 8. Violin plot of (a) friction force and (b) load-carrying capacity by shape.
Coatings 14 01539 g008
Figure 9. Comparison of normalized MAE regression results across decision trees, gradient boost, linear, NN, and SVM.
Figure 9. Comparison of normalized MAE regression results across decision trees, gradient boost, linear, NN, and SVM.
Coatings 14 01539 g009
Figure 10. Scatter plots contrasting predicted: (a) load-carrying capacity values; and (b) friction force values with true values. Residual plots: (c) load-carrying capacity values; and (d) friction force values.
Figure 10. Scatter plots contrasting predicted: (a) load-carrying capacity values; and (b) friction force values with true values. Residual plots: (c) load-carrying capacity values; and (d) friction force values.
Coatings 14 01539 g010
Table 1. Parameter values used in the simulation model.
Table 1. Parameter values used in the simulation model.
GeometrySize/μmArea Ratio S/%Depth hp/μm
Texture-freea × a10%, 20%, 30%, 40%, 50%1, 2, 3, 5, 7, 8, 9
Square micro-texture b25, 50, 100, 150, 200, 300, 400, 500, 600
Rectangular micro-texturec × 1.5c
Circular micro-texturer
Slit micro-textureb × l
Table 2. Comparison of theoretical and simulated values and errors of shear stress.
Table 2. Comparison of theoretical and simulated values and errors of shear stress.
Length/μmTheoretical τ 1 /PaSimulation τ 2 /PaDeviation δ /%
632.58446.568630.9942.18%
1897.48512.8200.78%
50608480.7570.41%
Table 3. Numerical features summary of the data collected.
Table 3. Numerical features summary of the data collected.
DepthSide LengthSurface RatioShapeLoad-Carrying CapacityFriction ForceFriction Coefficient
Mean5.25258.330.382.37102,143.308070.260.08
Std2.83193.050.111.232643.22486.820.01
Min1.0025.000.100.0076,146.627104.280.07
25%2.00100.000.301.00100,955.907733.940.08
50%5.00200.000.402.00102,322.108020.860.08
75%8.00400.000.503.00103,121.608297.020.08
Max9.00600.000.504.00123,444.909762.900.11
Table 4. Evaluation metrics comparison for load-carrying capacity prediction with different methods including normalized MAE, RMSE, and R-square.
Table 4. Evaluation metrics comparison for load-carrying capacity prediction with different methods including normalized MAE, RMSE, and R-square.
MAENormalized MAERMSENormalized RMSER-Square
LR1626.060.552819.510.950.10
DT2097.430.714243.131.46−1.14
GB1568.700.533031.531.02−0.04
SVM1563.310.532803.570.940.11
NN1495.610.502986.951.01−0.01
Table 5. Evaluation metrics comparison for friction force prediction with different methods including normalized MAE, RMSE, and R-square.
Table 5. Evaluation metrics comparison for friction force prediction with different methods including normalized MAE, RMSE, and R-square.
MAENormalized MAERMSENormalized RMSER-Square
LR209.080.53282.810.710.49
DT77.970.20131.900.330.89
GB41.830.1159.160.150.98
SVM248.050.62390.050.980.04
NN24.010.0647.580.110.99
Disclaimer/Publisher’s Note: The statements, opinions and data contained in all publications are solely those of the individual author(s) and contributor(s) and not of MDPI and/or the editor(s). MDPI and/or the editor(s) disclaim responsibility for any injury to people or property resulting from any ideas, methods, instructions or products referred to in the content.

Share and Cite

MDPI and ACS Style

Ge, Z.; Hu, Q.; Wang, R.; Fei, H.; Zhu, Y.; Wang, Z. Machine Learning-Driven Optimization of Micro-Textured Surfaces for Enhanced Tribological Performance: A Comparative Analysis of Predictive Models. Coatings 2024, 14, 1539. https://doi.org/10.3390/coatings14121539

AMA Style

Ge Z, Hu Q, Wang R, Fei H, Zhu Y, Wang Z. Machine Learning-Driven Optimization of Micro-Textured Surfaces for Enhanced Tribological Performance: A Comparative Analysis of Predictive Models. Coatings. 2024; 14(12):1539. https://doi.org/10.3390/coatings14121539

Chicago/Turabian Style

Ge, Zhenghui, Qifan Hu, Rui Wang, Haolin Fei, Yongwei Zhu, and Ziwei Wang. 2024. "Machine Learning-Driven Optimization of Micro-Textured Surfaces for Enhanced Tribological Performance: A Comparative Analysis of Predictive Models" Coatings 14, no. 12: 1539. https://doi.org/10.3390/coatings14121539

APA Style

Ge, Z., Hu, Q., Wang, R., Fei, H., Zhu, Y., & Wang, Z. (2024). Machine Learning-Driven Optimization of Micro-Textured Surfaces for Enhanced Tribological Performance: A Comparative Analysis of Predictive Models. Coatings, 14(12), 1539. https://doi.org/10.3390/coatings14121539

Note that from the first issue of 2016, this journal uses article numbers instead of page numbers. See further details here.

Article Metrics

Back to TopTop