Unveiling Frequency-Dependent Electromechanical Dynamics in Ferroelectric BaTiO3 Nanofilm with a Core-Shell Structure
Abstract
1. Introduction
2. Theory and Model
3. Results and Discussion
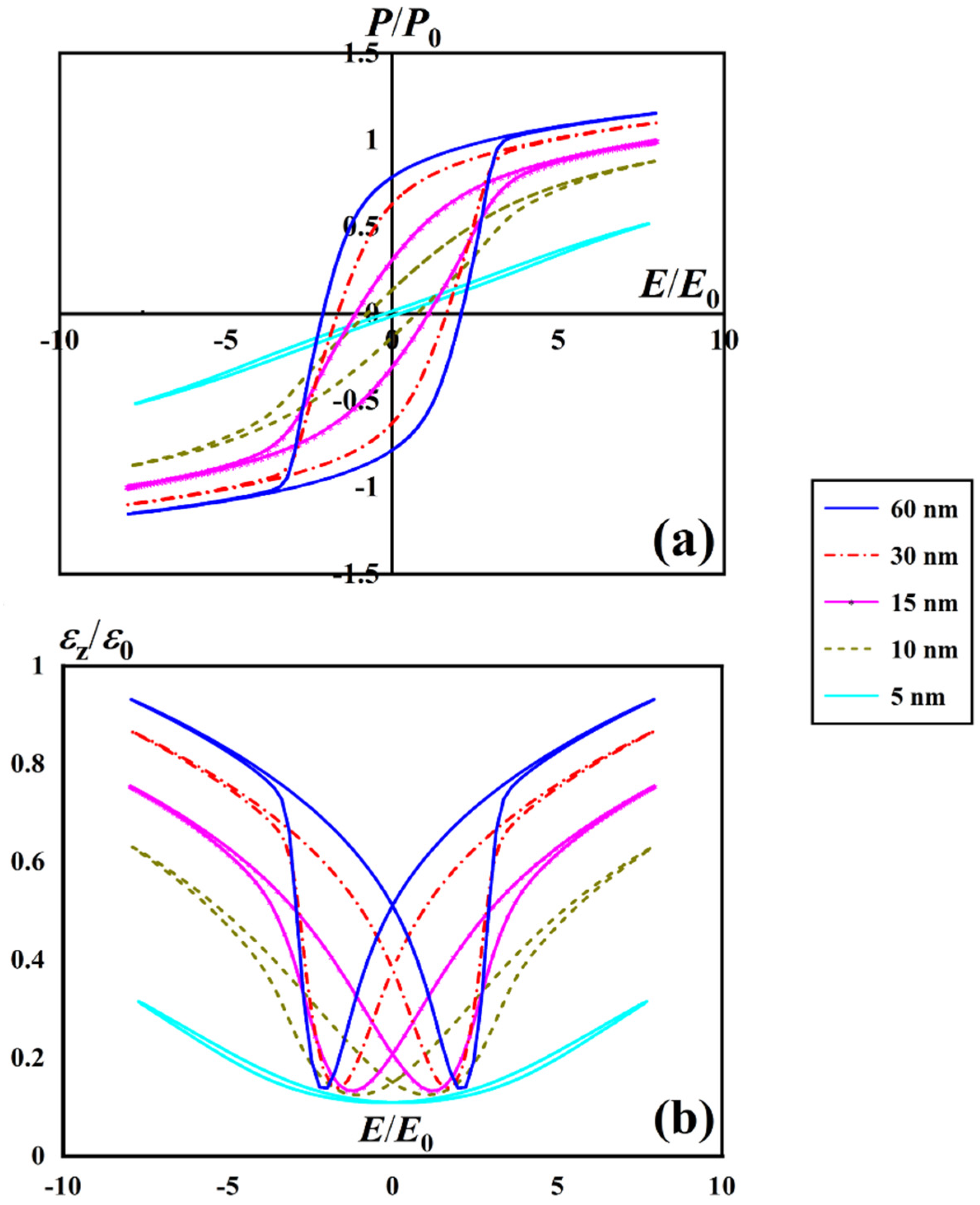
3.1. The Frequency-Dependent and Size Effect of Dynamic Hysteresis
3.2. Grain Size Effect of BaTiO3 Nano-Polycrystalline Film
3.3. Underlying Domain Dynamics
4. Conclusions
Author Contributions
Funding
Institutional Review Board Statement
Informed Consent Statement
Data Availability Statement
Conflicts of Interest
References
- Pan, H.; Ma, J.; Ma, J.; Zhang, Q.; Liu, X.; Guan, B.; Gu, L.; Zhang, X.; Zhang, Y.J.; Li, L.; et al. Giant energy density and high efficiency achieved in bismuth ferrite-based film capacitors via domain engineering. Nat. Commun. 2018, 9, 1813. [Google Scholar] [CrossRef] [PubMed]
- Das, A.K.; Raul, C.K.; Karmakar, R.; Meikap, A.K. Study of enhanced dielectric permittivity of functionalize multiwall carbon nanotube-based polyvinylidene fluoride free-standing film for flexible storage device. Phys. Lett. A 2021, 407, 127455. [Google Scholar] [CrossRef]
- Zhang, Q.N.; Xia, X.D.; Wang, J.; Su, Y. Effects of epitaxial strain, film thickness and electric-field frequency on the ferroelectric behavior of BaTiO3 nano films. Int. J. Solids Struct. 2018, 144–145, 32–45. [Google Scholar] [CrossRef]
- Nahas, Y.; Prokhorenko, S.; Fischer, J.; Xu, B.; Carretero, C.; Prosandeev, S.; Bibes, M.; Fusil, S.; Dkhil, B.; Garcia, V.; et al. Inverse transition of labyrinthine domain patterns in ferroelectric thin films. Nature 2020, 577, 47–51. [Google Scholar] [CrossRef]
- Shan, D.L.; Lei, C.H.; Cai, Y.C.; Pan, K.; Liu, Y.Y. Mechanical control of electrocaloric response in epitaxial ferroelectric thin films. Int. J. Solids Struct. 2021, 216, 59–67. [Google Scholar] [CrossRef]
- Tang, Y.L.; Zhu, Y.L.; Ma, X.L.; Borisevich, A.Y.; Morozovska, A.N.; Eliseev, E.A.; Wang, W.Y.; Wang, Y.J.; Xu, Y.B.; Zhang, Z.D.; et al. Observation of a periodic array of flux-closure quadrants in strained ferroelectric PbTiO3 films. Science 2015, 348, 547–551. [Google Scholar] [CrossRef]
- Yadav, A.K.; Nelson, C.T.; Hsu, S.L.; Hong, Z.; Clarkson, J.D.; Schleputz, C.M.; Damodaran, A.R.; Shafer, P.; Arenholz, E.; Dedon, L.R.; et al. Observation of polar vortices in oxide superlattices. Nature 2016, 530, 198–201. [Google Scholar] [CrossRef]
- Van Winkle, M.; Dowlatshahi, N.; Khaloo, N.; Iyer, M.; Craig, I.M.; Dhall, R.; Taniguchi, T.; Watanabe, K.; Bediako, D.K. Engineering interfacial polarization switching in van der Waals multilayers. Nat. Nanotechnol. 2024, 19, 751–757. [Google Scholar] [CrossRef]
- Bystrov, V.; Paramonova, E.; Meng, X.; Shen, H.; Wang, J.; Lin, T.; Fridkin, V. Ferroelectric thin films and composites based on polyvinylidene fluoride and graphene layers: Molecular dynamics study. Coatings 2024, 14, 356. [Google Scholar] [CrossRef]
- Liu, X.; Yao, Y.; Wang, X.; Zhao, L.; San, X. Energy Storage Performance of (Na0.5Bi0.5)TiO3 Relaxor Ferroelectric Film. Coatings 2024, 14, 801. [Google Scholar] [CrossRef]
- Zhang, Q.N.; Su, Y. The frequency dependence of electromechanical behaviors of columnar-grained BaTiO3 nanofilms. Phys. Lett. A 2020, 384, 126374. [Google Scholar] [CrossRef]
- Lente, M.H.; Picinin, A.; Rino, J.P.; Eiras, J.A. 90° domain wall relaxation and frequency dependence of the coercive field in the ferroelectric switching process. J. Appl. Phys. 2004, 95, 2646–2653. [Google Scholar] [CrossRef]
- Wang, L.; Wang, C.; Zhou, L.; Zhou, X.; Pan, Y.; Wu, X.; Ji, W. Optimal parameter-space for stabilizing the ferroelectric phase of Hf0.5Zr0.5O2 thin-films under strain and electric fields. Chin. Phys. B 2024, 33, 076803. [Google Scholar] [CrossRef]
- Bedoya-Hincapié, C.M.; Ortiz-Álvarez, H.H.; Restrepo-Parra, E.; Olaya-Flórez, J.J.; Alfonso, J.E. Hysteresis loop behaviors of ferroelectric thin films: A Monte Carlo simulation study*. Chin. Phys. B 2015, 24, 117701. [Google Scholar] [CrossRef]
- Kumar, M.; Shankar, S.; Brijmohan Kumar, S.; Thakur, O.P.; Ghosh, A.K. Impedance spectroscopy and conductivity analysis of multiferroic BFO–BT solid solutions. Phys. Lett. A 2017, 381, 379–386. [Google Scholar] [CrossRef]
- Yan, X.; Li, Y.; Zhao, J.; Li, Y.; Bai, G.; Zhu, S. Roles of grain boundary and oxygen vacancies in Ba0.6Sr0.4TiO3 films for resistive switching device application. Appl. Phys. Lett. 2016, 108, 033108. [Google Scholar] [CrossRef]
- Park, S.H.; Kim, J.Y.; Song, J.Y.; Jang, H.W. Overcoming size effects in ferroelectric thin films. Adv. Phys. Res. 2023, 2, 2200096. [Google Scholar] [CrossRef]
- Gao, P.; Zhang, Z.; Li, M.; Ishikawa, R.; Feng, B.; Liu, H.-J.; Huang, Y.-L.; Shibata, N.; Ma, X.; Chen, S.; et al. Possible absence of critical thickness and size effect in ultrathin perovskite ferroelectric films. Nat. Commun. 2017, 8, 15549. [Google Scholar] [CrossRef]
- Kawahala, N.M.; Matos, D.A.; Rappl PH, O.; Abramof, E.; Baydin, A.; Kono, J.; Hernandez, F.G.G. Thickness-dependent terahertz permittivity of epitaxially grown PbTe thin films. Coatings 2023, 13, 1855. [Google Scholar] [CrossRef]
- Zhu, J.; Liu, Z.; Zhong, B.; Wang, Y.; Xu, B. Domain size and charge defects affecting the polarization switching of antiferroelectric domains. Chin. Phys. B 2023, 32, 047701. [Google Scholar] [CrossRef]
- Wang, B.; Lu, H.; Bark, C.W.; Eom, C.B.; Gruverman, A.; Chen, L.Q. Mechanically induced ferroelectric switching in BaTiO3 thin films. Acta Mater. 2020, 193, 151–162. [Google Scholar] [CrossRef]
- Zhang, M.; Deng, C. Scaling behavior of dynamic hysteresis in epitaxial ferroelectric BaTiO3 thin films. J. Alloys Compd. 2021, 883, 160864. [Google Scholar] [CrossRef]
- Andreeva, N.V.; Ryndin, E.A.; Petukhov, A.E.; Vilkov, O.Y.; Al-Saman, A.A. Dynamics of analog switching behavior in thin polycrystalline Barium Titanate. Adv. Electron. Mater. 2024, 10, 2300806. [Google Scholar] [CrossRef]
- Mai, M.; Zhu, C.; Liu, G.; Ma, X. Effect of dielectric layer on ferroelectric responses of P(VDF-TrFE) thin films. Phys. Lett. A 2018, 382, 2372–2375. [Google Scholar] [CrossRef]
- Pečnik, T.; Glinšek, S.; Kmet, B.; Malič, B. Combined effects of thickness, grain size and residual stress on the dielectric properties of Ba0.5Sr0.5TiO3 thin films. J. Alloys Compd. 2015, 646, 766–772. [Google Scholar] [CrossRef]
- Wang, F.; Liu, T.; Xie, C.L.; Liu, Y.; Ma, N.S.; Duan, J.; He, J.R.; Li, B.; Ou, B.L.; Ou, Y.; et al. Temperature-electric field hysteresis loop of multicaloric effects in PbZr0.8Ti0.2O3 thin films. Phys. Lett. A 2019, 383, 2933–2937. [Google Scholar] [CrossRef]
- Van Lich, L.; Shimada, T.; Sepideh, S.; Wang, J.; Kitamura, T. Multilevel hysteresis loop engineered with ferroelectric nano-metamaterials. Acta Mater. 2017, 125, 202–209. [Google Scholar] [CrossRef]
- Renuka Balakrishna, A.; Huber, J.E.; Münch, I. Nanoscale periodic domain patterns in tetragonal ferroelectrics: A phase-field study. Phys. Rev. B 2016, 93, 174120. [Google Scholar] [CrossRef]
- Narita, F.; Kobayashi, T.; Shindo, Y. Evaluation of dielectric and piezoelectric behavior of unpoled and poled barium titanate polycrystals with oxygen vacancies using phase field method. Int. J. Smart Nano Mater. 2016, 7, 265–275. [Google Scholar] [CrossRef]
- Su, Y.; Liu, N.; Weng, G.J. A phase field study of frequency dependence and grain-size effects in nanocrystalline ferroelectric polycrystals. Acta Mater. 2015, 87, 293–308. [Google Scholar] [CrossRef]
- Wang, S.; Yi, M.; Xu, B.X. A phase-field model of relaxor ferroelectrics based on random field theory. Int. J. Solids Struct. 2016, 83, 142–153. [Google Scholar] [CrossRef]
- Su, Y.; Kang, H.; Wang, Y.; Li, J.; Weng, G.J. Intrinsic versus extrinsic effects of the grain boundary on the properties of ferroelectric nanoceramics. Phys. Rev. B 2017, 95, 054121. [Google Scholar] [CrossRef]
- Zhao, Z.P.; Zhang, X.M.; Zhang, H.J.; Tang, H.W.; Liang, Y. Numerical investigation into pressure-assisted sintering using fully coupled mechano-diffusional phase-field model. Int. J. Solids Struct. 2022, 234–235, 111253. [Google Scholar] [CrossRef]
- Lv, Z.; Zhang, X.; Zhang, H.; Zhou, Z.; Xu, D.; Pei, Y. Phase-field simulation of magnetic double-hole nanoring and its application in random storage. Int. J. Smart Nano Mater. 2021, 12, 157–184. [Google Scholar] [CrossRef]
- Su, Y.; Landis, C.M. Continuum thermodynamics of ferroelectric domain evolution: Theory, finite element implementation, and application to domain wall pinning. J. Mech. Phys. Solids 2007, 55, 280–305. [Google Scholar] [CrossRef]
- Cai, W.; Fu, C.; Gao, J.; Chen, H. Effects of grain size on domain structure and ferroelectric properties of barium zirconate titanate ceramics. J. Alloys Compd. 2009, 480, 870–873. [Google Scholar] [CrossRef]
- Schiøtz, J.; Di Tolla, F.D.; Jacobsen, K.W. Softening of nanocrystalline metals at very small grain sizes. Nature 1998, 391, 561–563. [Google Scholar] [CrossRef]
- Fridkin, V.M. Critical size in ferroelectric nanostructures. Phys. Usp. 2006, 49, 193–202. [Google Scholar] [CrossRef]
- Diéguez, O.; Rabe, K.M.; Vanderbilt, D. First-principles study of epitaxial strain in perovskites. Phys. Rev. B 2005, 72, 144101. [Google Scholar] [CrossRef]
- Liu, J.M.; Yu, L.C.; Yuan, G.L.; Yang, Y.; Chan HL, W.; Liu, Z.G. Dynamic hysteresis of ferroelectric Pb(Zr0.52Ti0.48)O3 thin films. Microelectron. Eng. 2003, 66, 798–805. [Google Scholar] [CrossRef]
- Richman, M.S.; Rulis, P.; Caruso, A.N. Ferroelectric system dynamics simulated by a second-order Landau model. J. Appl. Phys. 2017, 122, 094101. [Google Scholar] [CrossRef]
- Hou, Y.F.; Li, W.L.; Zhang, T.D.; Wang, W.; Cao, W.P.; Liu, X.L.; Fei, W.D. Large piezoelectric response of BiFeO3/BaTiO3 polycrystalline films induced by the low-symmetry phase. PCCP 2015, 17, 11593–11597. [Google Scholar] [CrossRef] [PubMed]
- Hossain, M.E.; Liu, S.Y.; O’Brien, S.; Li, J. Frequency-dependent ferroelectric behavior of BaMn3Ti4O14.25 at room temperature. Appl. Phys. Lett. 2015, 107, 032904. [Google Scholar] [CrossRef]
- Guo, Y.Y.; Wei, T.; He, Q.Y.; Liu, J.M. Dynamic hysteresis scaling of ferroelectric Pb0.9Ba0.1(Zr0.52Ti0.48)O3 thin films. J Phys Condens Matter 2009, 21, 485901. [Google Scholar] [CrossRef]
- Jin, L.W.; Su, Y. Effect of thermomechanical coupling on the scaling behavior of low-frequency hysteresis of PbZr0.52Ti0.48O3 ceramics. Electron. Mater. Lett. 2016, 12, 371–375. [Google Scholar] [CrossRef]
- Liu, J.M.; Pan, B.; Yu, H.; Zhang, S.T. Dynamic hysteresis dispersion scaling of ferroelectric Nd-substituted Bi4Ti3O12 thin films. J. Phys. Condens. Matter 2004, 16, 1189–1195. [Google Scholar] [CrossRef]
- Liu, J.M.; Chan, H.L.; Choy, C.L. Scaling behavior of dynamic hysteresis in multi-domain spin systems. Mater. Lett. 2002, 52, 213–219. [Google Scholar] [CrossRef]
- Huang, L.M.; Chen, Z.Y.; Wilson, J.D.; Banerjee, S.; Robinson, R.D.; Herman, I.P.; Laibowitz, R.; O’Brien, S. Barium titanate nanocrystals and nanocrystal thin films: Synthesis, ferroelectricity, and dielectric properties. J. Appl. Phys. 2006, 100, 034316. [Google Scholar] [CrossRef]
- Zhu, W.; Akbar, S.A.; Asiaie, R.; Dutta, P.K. Synthesis, microstructure and electrical properties of hydrothermally prepared ferroelectric BaTiO3 thin films. J. Electroceram. 1998, 2, 21–31. [Google Scholar] [CrossRef]
- Khan, S.; Humera, N.; Niaz, S.; Riaz, S.; Atiq, S.; Naseem, S. Simultaneous normal-anomalous dielectric dispersion and room temperature ferroelectricity in CBD perovskite BaTiO3 thin films. J. Mater. Res. Technol. 2020, 9, 11439–11452. [Google Scholar] [CrossRef]
- Silva JP, B.; Kamakshi, K.; Sekhar, K.C.; Moreira, J.A.; Almeida, A.; Pereira, M.; Gomes MJ, M. Ferroelectric polarization and resistive switching characteristics of ion beam assisted sputter deposited BaTiO3 thin films. J. Phys. Chem. Solids 2016, 92, 7–10. [Google Scholar] [CrossRef]











Disclaimer/Publisher’s Note: The statements, opinions and data contained in all publications are solely those of the individual author(s) and contributor(s) and not of MDPI and/or the editor(s). MDPI and/or the editor(s) disclaim responsibility for any injury to people or property resulting from any ideas, methods, instructions or products referred to in the content. |
© 2024 by the authors. Licensee MDPI, Basel, Switzerland. This article is an open access article distributed under the terms and conditions of the Creative Commons Attribution (CC BY) license (https://creativecommons.org/licenses/by/4.0/).
Share and Cite
Zhang, M.; Ma, R.; Zhou, J.; Zhang, Y.; Wang, J.; Weng, S. Unveiling Frequency-Dependent Electromechanical Dynamics in Ferroelectric BaTiO3 Nanofilm with a Core-Shell Structure. Coatings 2024, 14, 1437. https://doi.org/10.3390/coatings14111437
Zhang M, Ma R, Zhou J, Zhang Y, Wang J, Weng S. Unveiling Frequency-Dependent Electromechanical Dynamics in Ferroelectric BaTiO3 Nanofilm with a Core-Shell Structure. Coatings. 2024; 14(11):1437. https://doi.org/10.3390/coatings14111437
Chicago/Turabian StyleZhang, Mingran, Rui Ma, Jianqiang Zhou, Yuanxiang Zhang, Jie Wang, and Shengbin Weng. 2024. "Unveiling Frequency-Dependent Electromechanical Dynamics in Ferroelectric BaTiO3 Nanofilm with a Core-Shell Structure" Coatings 14, no. 11: 1437. https://doi.org/10.3390/coatings14111437
APA StyleZhang, M., Ma, R., Zhou, J., Zhang, Y., Wang, J., & Weng, S. (2024). Unveiling Frequency-Dependent Electromechanical Dynamics in Ferroelectric BaTiO3 Nanofilm with a Core-Shell Structure. Coatings, 14(11), 1437. https://doi.org/10.3390/coatings14111437

