Abstract
This work reports the development of a functional photocatalytic coating based on a combination of polymeric electrospun fibres and nanoparticles that is intended to be activated in the visible light range. In this sense, the resulting fibres can act as an effective matrix for the incorporation of titanium dioxide (TiO2) particles, which are covered by gold nanoparticles (AuNPs), in the outer surface of the metal oxide precursor. In the first step of the process, the optical properties of the nanoparticles were determined by UV-Vis spectroscopy. The extension of the visible absorption can be associated to the localized surface plasmon resonance (LSPR) of the metallic AuNPs. In addition, the resultant particle size distribution and average particle diameter was evaluated by dynamic light scattering (DLS) measurements. Furthermore, the phase composition and porosity of the functional particle powder were analysed by an XRD and N2 adsorption test. In the second step, these synthesized particles have been successfully immobilized into a PAA + β-CD electrospun fibre matrix by using the two different deposition methods of dip-coating and solution-casting, respectively. The morphological characterization of the samples was implemented by means of scanning electron microscopy (SEM), showing uniform and homogeneous, free-beaded fibres with a random distribution of the synthesized particles deposited onto the electrospun fibres. Then, the functional coatings were removed from the substrate, and a thermogravimetric (TGA) analysis was carried out for each sample in order to obtain the precursor mass immobilized in the coating. Once the overall mass of precursor was obtained, the percentage of TiO2 particles and AuNPs in the precursor was calculated by using inductively coupled plasma atomic emission spectrometry (ICP-AES). Finally, the photocatalytic activity of both functional solution and electrospun coatings were evaluated in terms of a gradual degradation of rhodamine B (RhB) dye after continuous exposition to a visible-light lamp.
1. Introduction
Nowadays, several industrial sectors have to deal with hazardous wastes, which are thrown into the wastewaters without further treatment. This problem can be addressed by means of photocatalytic strategies. Photocatalysis is a photochemical process in which light-activated catalysts facilitate chemical reactions without being consumed themselves [1]. Its impact on the environment and human society is vital to reduce the amount of harmful components. In environmental terms, photocatalysis plays a key role in mitigating pollution by breaking down harmful organic compounds and pathogens in air and water. It is used in applications that assist the purification of both industrial and natural environments, contributing to improving air and water quality. Additionally, photocatalytic coatings can reduce the need for chemical cleaning agents, thus minimizing the release of harmful pollutants into the environment [2,3]. Photocatalysis has applications in the renewable energy sector too, such as solar hydrogen production, promising a sustainable and clean energy future. Its potential to revolutionize various industries, coupled with its eco-friendly attributes, positions photocatalysis as a key player in advancing both environmental sustainability and human wellbeing [4,5].
The most common compound to produce this phenomenon isTiO2, which has been widely used since the late 1960s. TiO2 has excellent behaviour in terms of breaking down harmful organic compounds from wastewaters. Additionally, this photoactive particle is chemically and biologically inert, photocatalytically stable, easy to produce and use, effective under the solar light spectrum, capable of efficiently triggering photocatalytic reactions, economical, and safe for both the environment and humans, meaning that it does not exhibit toxic behaviour [6,7]. The range of practical applications can include the decontamination of environment, as well as biocide applications and energy production operations, among others [8]. Actually, TiO2 is photocatalytically activated under ultraviolet light irradiation. This range of light wavelengths is adequate to provide the electrons in the valence band enough energy to reach the conduction band and form reactive oxidizing species (ROS), which are in charge of removing undesirable organic compounds [9]. However, researchers all over the world are trying to achieve great photocatalytic responses in the visible light wavelengths. In order to do so, the main photocatalytic element–in this case TiO2–has to be doped with other chemical elements so that its band structure has to be modified. The visible light activation can be reached by different techniques such as dye sensitization, noble metal loading, the addition of transition metals or the incorporation of non-metal doping [10]. This work combines the main photocatalytic element TiO2 with a noble metal such as gold nanoparticles (AuNPs).
Noble metals, which present plasmonic behaviours (i.e., Au, Ag, Pt, Pd, and Rh), can act as dopant elements to the TiO2 particle, being able to produce photocatalytic phenomenon by the irradiation of visible light wavelength [11]. These metals produce the phenomenon known as localized surface plasmon resonance (LSPR) under visible light irradiation with a certain wavelength [10]. Thus, this phenomenon enables the generation of electrons in the metal nanoparticle, and these electrons go from the metal nanoparticle to the conduction band of the semiconductor (TiO2). Then, holes remaining in metal nanoparticles have a physical separation with the electrons present in the conduction band of TiO2, reducing the recombination rate of charges and, therefore, increasing the photocatalytic efficiency. Both semiconductor and metal nanoparticles must be in direct contact within each other in order to favour the transfer charge [12,13].
Dawson et al. [12] achieved a great photocatalytic enhancement by combining TiO2 with AuNPs. This type of photocatalytic precursor was synthesized by chemically reducing HAuCl4− on the surface of preformed TiO2 nanoparticles, enhancing a 40% photocatalytic response under visible light irradiation [12]. This work is based on that methodology in order to achieve a great photocatalytic response under visible light by immobilizing those particles combination in a functional coating. First, a polymeric fibre matrix base was deposited via an electrospinning technique on a substrate. Then, the AuNPs embedded in TiO2 surface were deposited by two different deposition techniques, including the dip-coating and solution-casting methods, into the electrospun matrix. In this case, the polymer used as matrix was PAA, which has a negative electrostatic charge in the presence of an aqueous media. The TiO2 particles in acidic mediums have positive electrostatic behaviour. Thus, the TiO2 particles along with AuNPs are electrostatically immobilized in the PAA matrix by both immobilization methods [14,15].
Dip-coating is a simple and economical deposition technique which is based on the immersion of a sample in an aqueous solution of the component to be deposited. Once the substrate is removed from the solution, the deposited layer is dried, and the desired coating is obtained. Some parameters should be taken into account, like the withdrawal speed of the sample from the solution [16]. This deposition technique gives rise to a functional coating with great adhesion properties and the deposition of the particles presented in the solution without any shape modifications [17,18]. Solution-casting consists of pouring the solution with the functional particles into a petri dish where the sample is presented. Then, a drying process is conducted at a certain temperature so that the solvent vanishes and the functional particles are immobilized in the sample [19]. This deposition method is also a simple and economical way of depositing the photocatalytic particles into the sample [20,21]. In order to evaluate the photocatalytic effects of the functional coatings, an optical fibre setup was implemented [22,23]. An organic dye, such as rhodamine B (RhB) was deposited onto the samples and then irradiated by a visible light source. With the help of a spectroscopy software, the in situ degradation of the organic dye can be perfectly monitored. Finally, photocatalytic essays in aqueous media were also carried out in order to compare the photocatalytic response between the functional photocatalytic solution and the electrospun coatings [24].
Thus, the main objective of this work is to elaborate a functional photocatalytic coating which is capable of activating in the visible range of light due to the interaction of gold nanoparticles with TiO2 particle precursors.
2. Materials and Methods
2.1. Materials
The electrospinning base matrix is made of a poly (acrylic acid) (PAA; Mw ≈ 450,000) and β-cyclodextrin (β-CD, purity 98%) polymeric solutions. Both components are mixed in an ethanol (99%) solution. The aqueous solution containing the photocatalytic particles is composed of titanium (IV) oxide (TiO2; pure anatase nanopowder < 25 nm), diluted in ultrapure water. Then, a solution of gold (III) chloride trihydrate (HAuCl4·3H2O, >99.9% trace metals basis) is introduced into the photocatalytic solution. Dimethylamine borane complex (DMAB) is used for the reduction of the metal ions to AuNPs. As an organic dye for the photocatalytic tests, a xanthene dye such as rhodamine B (RhB; purity 95%) has been employed. All the chemicals were obtained from Sigma-Aldrich (St. Louis, MO, USA). All reagents were used without any further purification, and ultrapure water with a resistivity of 18.2 MΩ·cm was employed. Finally, the functional coatings were implemented onto standard glass slides (75 mm × 50 mm) in order to analyse the morphological surfaces and photocatalytic tests.
2.2. Deposition Techniques
The electrospinning technique has been used in order to build the host matrix for the further immobilization of the AuNPs embedded in TiO2 precursor, by dip-coating or solution-casting techniques. Afterwards, the photocatalytic precursors will be adhering to the host matrix by electrostatic attractions.
In order to immobilize the photocatalytic precursors into the electrospinning host matrix, an optimal dispersion of the photocatalytic embedded nanoparticles must be obtained. An aqueous solution of 10 mM of TiO2 is vigorously stirred for 2 h at room temperature with a further ultrasonication step in order to avoid nanoparticle agglomerations. The pH of the aqueous solution is adjusted at 2.0 so that the dispersed TiO2 nanoparticles have a positive electrostatic charge because of the positive charge behaviour of TiO2 in acidic aqueous media [25]. Another aqueous solution of 10 mM of HAuCl4·3H2O is stirred at room temperature until there is a complete dilution of the gold salt. Once the TiO2 precursor is well dispersed, 2 mL of an HAuCl4− aqueous solution is introduced into the TiO2 solution. Thus, this anion is electrostatically attracted by the positive charge of the TiO2 nanoparticles, as represented in Figure 1 [12]. A stirring of 15 min is enough to favour the interaction of both components in the solution. Then, 1 mL of DMAB is poured into the solution in order to reduce the AuNPs in the outer surface of the TiO2 nanoparticles, and the solution acquires a purple colour which is typical of the synthesis of AuNPs [26,27,28]. This direct contact between the TiO2 and AuNPs leads to a better photocatalytic efficiency of the precursors and can be activated in the visible light wavelength [10]. The enhanced photocatalytic nanoparticles, which are dispersed in the solution, are employed in the dip-coating and solution-casting deposition techniques.
Figure 1.
Schematic representation of the photocatalytic TiO2 particles along with the AuNPs in the outer surface of the metal oxide precursor.
2.2.1. Electrospinning
Electrospinning is employed in order to create an electrospun fibre mat, which serves as a polymeric framework for immobilizing the synthesized nanoparticles. In this technique, it is necessary to control several key parameters (i.e., polymer concentration, molecular weight, surface tension, conductivity, viscosity) in order to obtained a desired homogeneous fibre matrix [29]. Specifically, a solution is prepared by mixing 0.8 g of PAA and 0.128 g of β-CD in 11.6 mL of ethanol, which is employed as the solvent. Subsequently, the solution is loaded into a syringe fitted with a 20-gauge needle possessing an inner diameter of 0.6 mm and is delivered at a flow rate of 1.3 mL/h. A voltage of 15 kV is applied between the syringe tip and the sample base, with a distance of 20 cm separating the two elements [22]. Finally, the resultant samples undergo a thermal treatment at 180 °C for 40 min to promote the polymeric crosslinking to the substrate and thus enhance the adhesion of the coating to the substrate. A schematic representation of the electrospinning technique and the appearance of this host matrix is given in Figure 2.
Figure 2.
Electrospinning deposition process: (a) a schematic representation of the electrospinning process; (b) the appearance of the sample (75 × 50 mm) obtained by using the electrospinning deposition technique.
2.2.2. Immobilization of Photocatalytic Nanoparticles
Two different particle immobilization techniques were carried out in this work. On the one hand, dip-coating was employed in order to deposit the photocatalytic precursors into the host matrix. In this process, the sample with the polymeric fibre mat is introduced in the solution where the particles are dispersed during a period time of 15 min. The immersion speed is 500 mm/min, whereas the withdrawal speed is 200 mm/min. The dip-coating process was carried out by using an ND-R Rotatory Dip-Coater (Nadetech Innovations, Pamplona, Spain) [30]. During the immersion step, the positively charged and doped TiO2 particles (with AuNPs embedded in their surfaces) are electrostatically adhered to the PAA host matrix. This happens due to the electrostatic negative charges of PAA when this element is introduced into an aqueous medium [25,28].
On the other hand, the solution-casting method was also employed in order to immobilize the photocatalytic particles. The sample within the electrospinning base was immobilized in a petri dish. Then, the solution was thrown inside the petri dish, and a total waiting period of two days was performed until a complete evaporation of the solvent was achieved. In this way, the solute present in the solvent was deposited in the host matrix [20]. Thus, the number of nanoparticles embedded in the TiO2 deposited inside the matrix was greater than the one obtained by the dip-coating technique. However, a greater quantity of photocatalytic precursors can also lead to a greater charge recombination rate [31].
2.3. Characterization Techniques
The surface morphology of the samples was studied using field emission-scanning electron microscopy (FE-SEM Hitachi S3800, Tokyo, Japan), and the presence of the chemical elements in the calcinated samples was observed and distinguished by the SEM/EDX technique. Dynamic light scattering (DLS) measurements were carried out in this study so that the particles’ size distribution and the average particle diameter of the TiO2 and the AuNPs embedded in the TiO2 particles solutions could be measured. A Zetasizer analyser system (Brookhaven Instruments Corporation, Holtsville, NY, USA) was employed in order to obtain the specific nanometric values of the studied particles. Then, Mastersizer S Laser equipment (Malvern Instruments, Malvern, UK) was used in order to represent graphically the size distributions of the particles dispersed in both solutions. A UV-VIS analysis of the solution was performed by using a Jasco V-730 (Agilent, Santa Clara, CA, USA, EEUU) spectrophotometer. In order to analyse the phase composition of the precursor, an XRD analysis was carried out with a Bruker XRD D8 DISCOVER (Billerica, MA, USA) working in Bragg-Brentano mode. The nitrogen adsorption isotherms at −196 °C were measured with a Gemini V (Micromeritics). The sample was degassed at 200 °C for 2 h in a nitrogen atmosphere so that the porosity of the functional particles could be measured. In addition, a thermogravimetric analysis (TGA) was performed by the TGA/DSC 3+ (METTLER-TOLEDO, Columbus, OH, USA) in order to determine the amount of functional precursors immobilized in the electrospun samples. Two different process conditions could be distinguished during the thermal process. First, it was measured in the temperature range from 35 °C to 800 °C with a nitrogen flow rate of 50 mL/min and a heating rate of 10 °C/min. Second, from 800 °C to 950 °C, an air flow rate of 50 mL/min was employed in order to eliminate the pyrolysis residues of the blend structure while maintaining the same heating rate. With the aim of measuring the percentage of the TiO2 and AuNPs in the overall mass of precursor, an ICP-AES analysis was performed. Thus, 4 mL of a mixture of nitric acid and hydrochloric acid (aqua regia) was added to each sample powder in order to dissolve the gold nanoparticles. Then, that mixture was carefully heated until the nitrous gases vanished from the sample (20–25 min). Once the sample was cooled, distilled water was added to an overall volume of 10 mL. Finally, the instrument was calibrated with a gold pattern sample in order to obtain the real values of the amount of AuNPs presented in each sample powder. The employed instrument was a Vista MPX ICP-AES (Agilent).
2.4. Photocatalytic Test
2.4.1. Photocatalytic Aqueous Test
With the aim of measuring the photocatalytic response of the nanoparticle dispersion, a photocatalytic essay was developed based on the ISO 10678:2010 standardization, which is shown in Figure 3 [24]. The functional nanoparticles aqueous dispersion was poured into a petri dish so that the area exposed to the essay is greater, and then a 20 mL solution was inked by a concentration of 6.25 mM of RhB. The nanoparticle dispersion was irradiated by employing a 10 W white cold LED lamp, with the aim of resembling the irradiance used in the photocatalytic dry test as much as possible. With a certain periodicity, an aliquot RhB solution was analysed in the spectrophotometer in order to visualize the absorption spectrum evolution of the organic dye. The absorption peaks drop of the RhB spectrum were appreciated for a long time due to the photocatalytic behaviour of the nanoparticles dispersion solution.
Figure 3.
Schematic representation of the setup employed for the evaluation of the visible photocatalytic response of the synthesized nanoparticle dispersion.
2.4.2. Photocatalytic Dry Test
The photocatalytic response of the different deposited samples were analysed by an optical fibre setup, which has been employed in previous studies [22,23,32]. The scheme of this experimental setup is shown in Figure 4: a visible light source (Takhi-HP, Pyroistech, Navarra, Spain) was used to perform the photocatalytic activity onto the functional coatings. The light beam of the lamp (wavelength range of the lamp is situated between 400 and 800 nm), activated the plasmon resonance of the gold nanoparticles [10]. Furthermore, this visible light lamp provided enough light for the Rhodamine B spectra to be be displayed in the spectroscopy software and, thus, the typical peaks of this dye can be observed in situ in the software, located at 525 and 560 nm [33]. The light source was connected to an optical fibre, which was in charge of guiding the light beam to the holder where the inked sample (after RhB immersion) was collocated. The beam that was transmitted through the sample traveled through another optical fibre until a UV-VIS Spectrometer (Ocean Optics USB2000, Ocean Insight, Orlando, FL, USA) that was also connected to a computer with the corresponding spectroscopy software yielded reliable spectrum data between 200 and 800 nm. This essay was performed for a total of 20 h to an incident-coloured area of the samples of 12.5 mm2. The photocatalytic evaluation setup employed in previous works used a UV light source, which had the capacity to degrade certain amount of the dye without using the photocatalytic phenomenon as it was able to break molecular bonds by itself. In this work, the visible light source itself did not have that capacity to do so, so the degradation of the dye was due to the photocatalytic response [13,32]. In order to ink the samples, they were introduced into a 6.25 mM solution of rhodamine B during a 10 s period, which achieved similar absorbance values for the RhB peaks in all the samples [32].
Figure 4.
Schematic representation of the setup employed for the evaluation of the visible photocatalytic response of the dry samples.
3. Results
The experimental results section is divided in three main subsections. On one hand, a characterization related to the precursor functional solution is presented. On the other hand, a morphological characterization related to the fabricated functional coatings performed by the combination of the electrospinning technique with the dip-coating or solution casting methods is discussed. Finally, the resultant photocatalytic activities of the aqueous solution media and the different samples are evaluated.
3.1. Characterization of the Functional Solution
In order to understand the photocatalytic behaviour of the functional solution, the size of the functional particles along with the optical response of the particles were characterized.
3.1.1. DLS Analysis
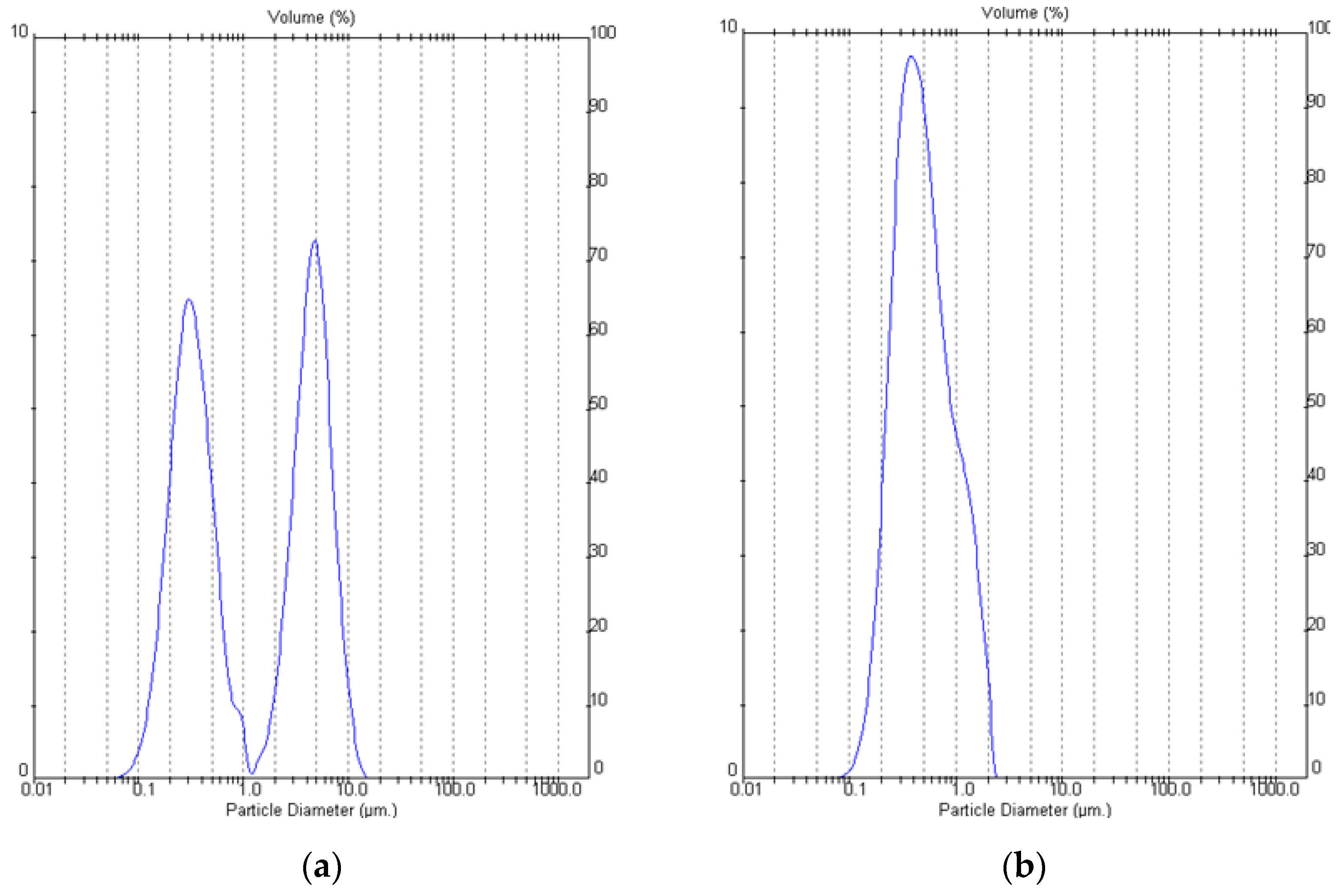
As has been previously mentioned, the particle size distribution was measured by two pieces of DLS equipment. First of all, the particle size distributions were measured in a nanometric range of values in order to obtain more detailed data. The experimental data is collected in Table 1 within their corresponding polydispersity. According to the obtained values, the TiO2 solution has a greater presence of clusters as compared to the solution of AuNPs embedded in the TiO2 surface. The TiO2 solution is constantly forming clusters among them. However, as soon as AuNPs are immobilized in TiO2 surface, these nanoparticles prevent cluster formation among TiO2 particles. Thus, the nanoparticle size of the TiO2 + AuNPs are obtained in this aqueous dispersion in a size range of 800 nm with a polydispersity near to unit values [34,35].
Table 1.
Mean particle diameter and mean polydispersity of both studied solutions.
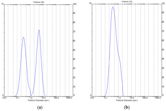
Once the specific size data was collected with the nanometric Zetasizer equipment, another DLS measurement was carried out in order to represent the graphic distribution of particles size (see Figure 5). In Figure 5a,b, the size distribution diagram of both studied particle dispersions in aqueous media is shown. The dispersion of only TiO2 particles in the solution (Figure 5a) presents two main particle diameter peaks. One peak is associated to the cluster formation, and it is centred at 2.6 μm. The other peak shows the TiO2 particles, which are not significantly agglomerated, and it is centred at 210 nm. Thus, this diagram gives information about the dispersion size of the TiO2 particles, from which it can be concluded that these particles tend to agglomerate and form clusters over time. In Figure 5b, the graph corresponding to the embedded nanoparticles is shown. This diagram shows a unique main peak centred at 470 nm. This fact means that the addition of the AuNPs to TiO2 particles avoids, at a certain point, the formation of clusters in the aqueous media. Some TiO2 particles in Figure 5a show lower size distributions than the ones in Figure 5b. However, the TiO2 particles, without the presence of AuNPs, tend to aggregate and reach greater size distributions [36]. Furthermore, the mean size distribution of the AuNPs can be estimated by the size distribution difference between the non-agglomerated TiO2 particles (lower peak of Figure 5a) and the TiO2 along with AuNPs particles (main peak of Figure 5b), which is 260 nm.
Figure 5.
Size distribution analysis of the functional solutions by DLS: (a) the solution where only the TiO2 particles are dispersed in an aqueous media; (b) the solution where the TiO2 particles are dispersed after doping with the AuNPs.
3.1.2. XRD and N2 Adsorption Test
With the aim of measuring the phase composition and porosity of the synthesized functional precursors, XRD and N2 adsorption tests were carried out. Thus, the solvent was evaporated from the particle solution until a dried powder was achieved.
The diffractogram (Figure 6) clearly shows the presence of TiO2 (anatase structure) and Au in the sample powder. In order to obtain the diffractogram, the functional powder was irradiated with X-Rays coming from a copper source (λKα = 1.5406 Å).
Figure 6.
Phase composition of the functional powder after an XRD analysis.
Then, the porosity of the functional powder was measured, obtaining a surface area (BET) value of 68 m2/g. The porosity of the main particle, which is the TiO2 anatase provided by the fabricant, is in the range of 45–55 m2/g. This means that the porosity of the synthesized particles is in the same range as the one of the main precursor, TiO2, and the small deviation of this parameter may be due to the presence of AuNPs embedded in the surface of the main photocatalytic particle [37].
3.1.3. UV-VIS Analysis
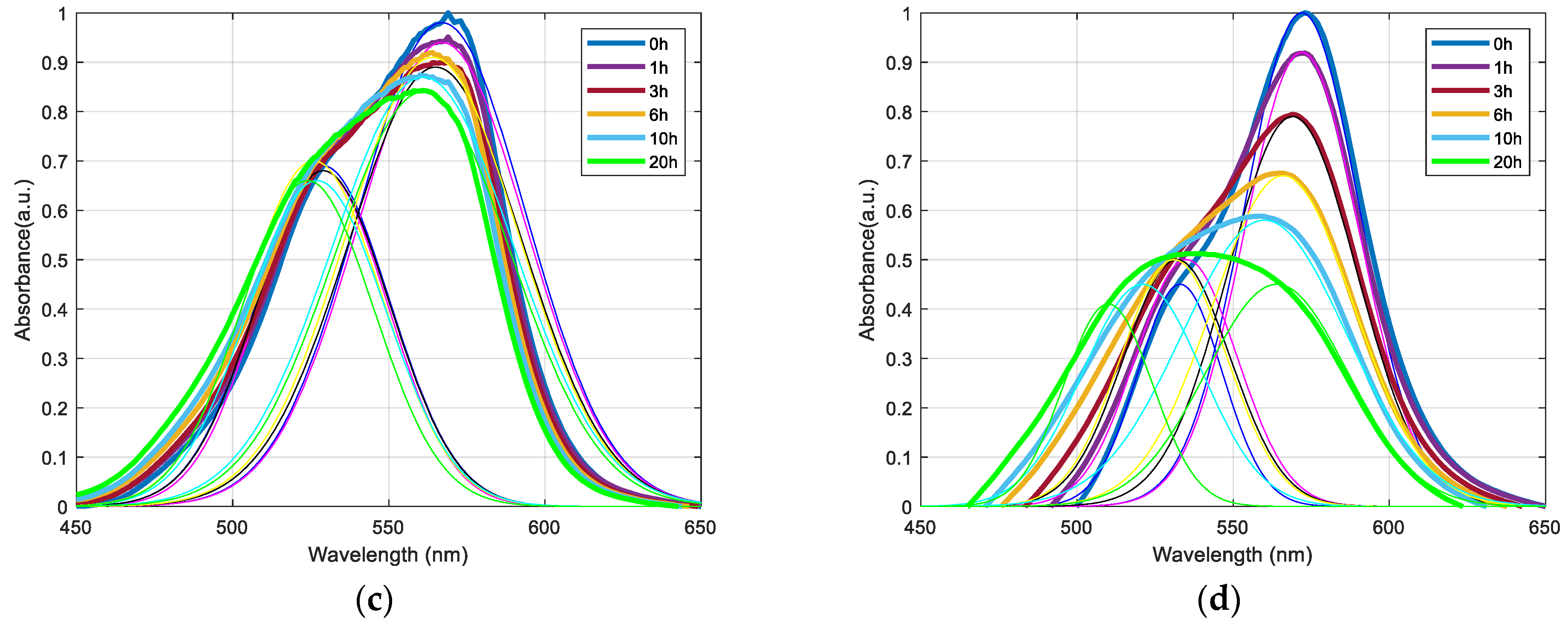
With the aim of demonstrating the optical presence of the TiO2 and AuNPs in the employed solution, a UV-VIS analysis was carried out by using a spectrophotometer. The results of this characterization are shown in Figure 7. The graph in Figure 7a shows the corresponding spectra of the solution with only the TiO2 particle dispersion and the AuNPs embedded in the TiO2 dispersion. The solution where only the TiO2 particles are dispersed shows a homogeneous spectrum, and when wavelengths lower than 400 nm irradiate the solution, the absorbance parameter increase because of the absorption capability of the anatase particles in these ranges of wavelengths [38]. In the case of the solution with the TiO2 and AuNPs, a notorious peak centred at around 550 nm can be visualized, which corresponds to the LSPR peak of the gold nanoparticles. Depending on the size and morphology of the AuNPs, this plasmonic peak is located at a variable wavelength position. The AuNPs dispersed in acid aqueous solutions tend to form certain aggregates among others; therefore, an alteration in size and morphology might be present in the TiO2’s surface due to the AuNPs. As the pH value increases, the size of AuNPs decreases. Thus, even if the ideal morphology of the AuNPs is a spherical one, clusters are formatted and obtain different size and morphology distributions [39]. Then, according to the UV-VIS spectrum, the AuNPs size may be in the range of 200–300 nm in the surface of the TiO2 precursor, which matches the AuNPs size value extrapolated in the previous subsection (260 nm) [40,41,42]. However, this is not a certain value because different size distributions along the matrix were obtained. Additionally, the absorbance values of this spectrum in the UV range tend to equalize the absorbance values of the solution where only the TiO2 precursors are presented. This absorption increase corresponds to the presence of the TiO2 precursors in the solution [43]. Figure 7b shows that the functional solution has a characteristic white-purple colour due to the precursors’ presence (TiO2 and AuNPs, respectively).
Figure 7.
(a) The resulting spectra corresponding to the solutions in which only the TiO2 particles are dispersed (blue plot) and the TiO2 along with AuNPs (red plot); (b) the appearance of the synthesized functional solution.
3.2. Characterization of the Functional Coatings
Once the synthesized solution features were analysed, the characterization of the functional coating was studied in this subsection after immobilizing the functional precursor onto the electrospun membrane by using dip-coating and solution-casting techniques.
3.2.1. SEM-EDX Analysis
The SEM images of both functional coatings deposited via electrospinning, combined with dip-coating and solution-casting techniques, are shown in Figure 8. Figure 7b and Figure 8a represent the morphology of the electrospun polymeric fibres along with the functional photocatalytic precursors in the case of depositing the photocatalytic precursors via the dip-coating technique. These pictures show the deposition of the AuNPs embedded into the TiO2 particles’ surfaces along the surfaces of the PAA polymeric fibres. Even though few precursors were deposited in the surface of the fibres, a good dispersion of the photoactive particles can be observed along the matrix. The sample obtained by the dip-coating technique showed a certain agglomeration of these particles in some points of the polymeric matrix due to a poor electrostatic interaction between the nanoparticles and the electrospun matrix (see Figure 8b). Furthermore, in Figure 8b, the distribution of the TiO2 and AuNPs along the matrix can be observed due to the brightness difference of the particles in the picture. In Figure 8c,d, a notorious presence of the functional nanoparticles can be observed along the electrospun polymeric matrix. This figure demonstrates that the size and morphology of the nanoparticles were maintained without any further formation of agglomeration in the electrospun matrix. However, in this case, the nanoparticles are close to each other, which can favour a greater charge recombination rate in this sample and lead to lower photocatalytic responses [7].
Figure 8.
SEM images of the samples in two different magnifications: (a) the fibre morphology of the dip-coating (DC) sample; (b) the particle morphology along the fibres of the dip-coating (DC) sample; (c) the fibre morphology of the solution-casting (SC) sample; (d) the particle morphology along the fibres of the solution-casting (SC) sample.
3.2.2. TGA and ICP-AES Analysis
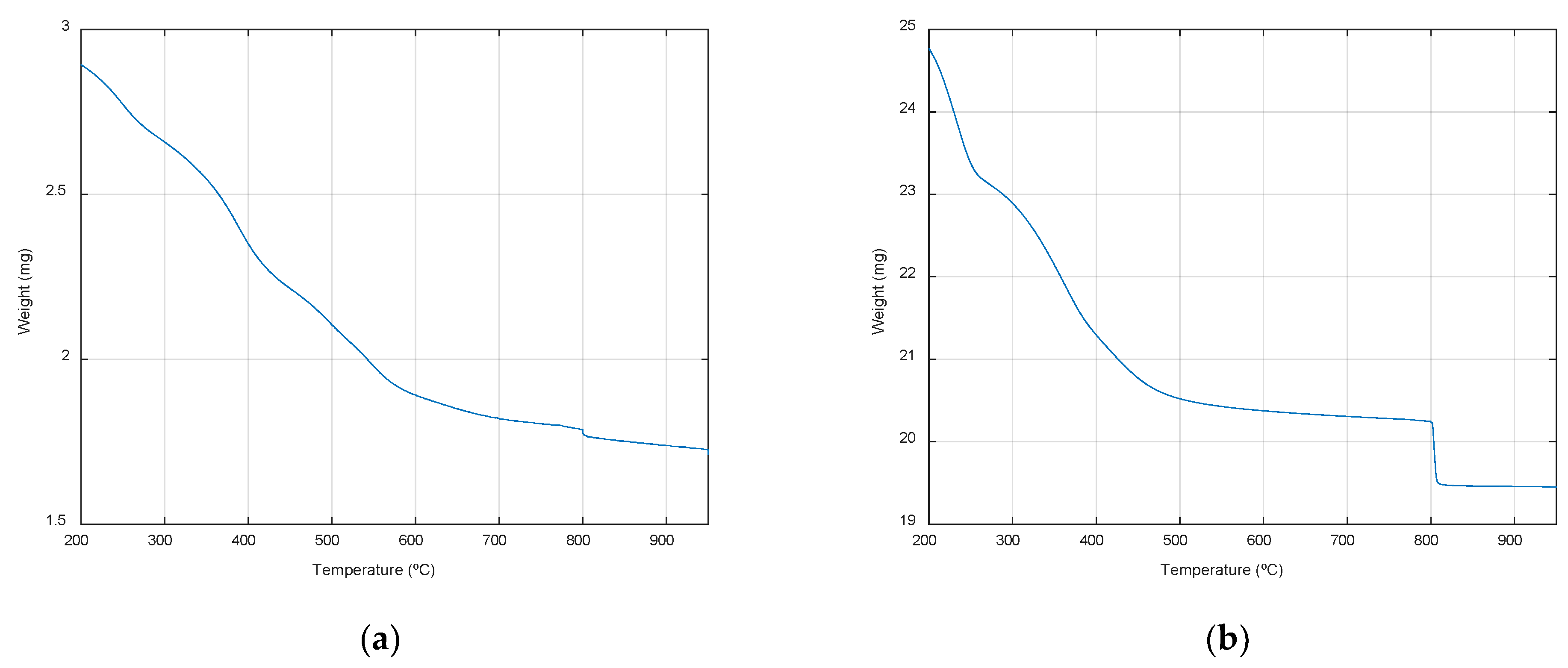
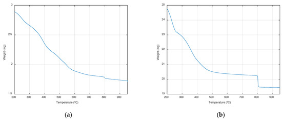
Once the morphological characterization of the functional coatings was performed, the functional surfaces were removed from the surface in order to perform the TGA analysis. Figure 9 shows the thermogravimetric curves of the analysed coatings. In both cases, the curves started from 200 °C because the data obtained in lower temperatures corresponded to the solvent evaporation and did not provide any extra information. As seen in Figure 9a, the sample corresponding to the coating obtained by dip-coating at a temperature range spanning from 200 °C to 425 °C, the PAA polymer completely evaporateed in an N2 atmosphere and left residues of polymeric materials. These results align with the literature, which determined that said polymer begins to degrade starting at 200 °C, and, furthermore, the graph’s shape is similar. However, the literature also established that the polymer completely evaporates around 650 °C, which does not occur in this sample; this is possibly due to the potential heterogeneities during the coating deposition [44]. At 800 °C, air is introduced to eliminate these residues, leaving only precursor particles in the analysis crucible. As visualized in the graph, there was a 45% reduction in mass in the analysed dip-coating sample.
Figure 9.
Curves obtained by the thermogravimetric analysis of both samples: (a) the TGA curve of the sample obtained by the dip-coating technique; (b) the TGA curve of the sample obtained by the solution-casting technique.
For the sample obtained through solution-casting (Figure 9b), the PAA polymer started to diminish as the temperature increased to 200 °C, which is similar to the dip-coating sample, and the graph again displays a similar shape to that found in the literature. In this case, the polymer was completely eliminated at 650 °C, in accordance with the literature [44]. At 800 °C, a reduction in weight could be observed due to the elimination of polymer residues caused by the change in atmosphere within the equipment. Figure 9b shows a 22% reduction in mass for the sample obtained through solution-casting. Therefore, the results align with the previously characterized information; specifically, the sample obtained through solution-casting contained a higher presence of precursors as compared to the dip-coating sample. The dip-coating sample contained 55% of precursors in the polymeric matrix, whereas the solution-casting sample presented 78% of precursors in its matrix.
The calcinated samples obtained after the thermogravimetric analysis were analysed in order to visualize the precursors’ disposition in the sample. Figure 10a,c show SEM images of the appearance of the photocatalytic precursors present in the dip-coating and the solution-casting calcinated samples. In Figure 10a, the presence of the spherical TiO2 anatase nanoparticles are visualized where the AuNPs are immobilized in them (the bright nanoparticles in the picture). This picture demonstrates the direct contact between both types of particles, which leads to the conclusion that the photocatalytic doping of the TiO2 nanoparticles was achieved. However, these agglomerations did not increase the size of the combined nanoparticle in an excessive way (see Figure 5). Figure 10b shows the EDX analysis of the calcinated samples. This graph corroborates the presence of the Au and Ti components in the functional coating, showing their specific peaks. Figure 10c shows the calcinated coating of the sample that was elaborated via the solution-casting technique. In this case, the presence of TiO2 and AuNPs due to the difference of brightness can be observed. The data in Figure 10c and the element peaks in Figure 10d verify that there is a higher presence of AuNPs nanoparticles along the matrix as compared to the sample obtained by the dip-coating technique. Even if the TiO2 nanoparticles had a less constant size and morphology along the matrix, the AuNPs could generate some agglomeration among them due to the acidic values of the functional solution. As it has been previously commented, the acidic aqueous values can lead to certain agglomerations of this type of novel metal [39]. It should be taken into account that the sample in the solution-casting technique spent a greater time in contact with the functional solution and, thus, the AuNPs had more time to agglomerate among the others.
Figure 10.
SEM images and EDX graphs of the calcinated functional coatings: (a) the precursor morphology of the calcinated dip-coating (DC) sample; (b) the Au and Ti elements peaks in the EDX graph of the calcinated dip-coating (DC) sample; (c) the precursor morphology of the calcinated solution-casting (SC) sample; (d) the Au and Ti element peaks in an EDX graph of the calcinated solution-casting (SC) sample.
The obtained powder, which mainly contained the TiO2 and AuNPs, was then introduced in ICP-AES equipment as was described in previous sections. Table 2 represents the gold percentage in each sample powder. Thus, the amount of gold nanoparticles deposited in the solution-casting sample was higher than that of the dip-coating sample, as is also visualized in Figure 10.
Table 2.
AuNPs percentage obtained by an ICP-AES analysis.
3.3. Photocatalytic Activity of the Functional Solution
Before studying the photocatalytic response of the functional coatings, the synthesized nanoparticles response was previously analysed. Thus, the photocatalytic response of the nanoparticle dispersion was checked for the degradation of RhB dye in an aqueous solution. Figure 11a represents the degradation rate of the organic dye when only the TiO2 particles were dispersed in the RhB organic dye solution. The low degradation rate of the dye was visualized in 200 min of essay, and that absorbance decrease may be due to the ink capacity of the TiO2 particles in the organic dye in their surface. Then, Figure 11b shows the degradation rate of the RhB solution in the presence of embedded photocatalytic nanoparticles. As can be visualized in Figure 11b, the absorbance peaks of the RhB solution are unusual due to degradation because the peak, which usually is centred at 525 nm, has a different shape as the typical one (as can be visualized by the lower Gaussian peak of RhB in 40 min of photocatalytic essay). This could have been produced due to the presence of AuNPs, which have the LSPR peak located at 520 nm, and may differ from the RhB lower peak. After performing the photocatalytic aqueous test, RhB dye was almost totally removed from the water in only 200 min of essay. The main reason for this result, as compared to the ones obtained by the following functional coatings, is that the embedded nanoparticles are well-dispersed along the aqueous media, reducing the effect of charge recombination, and the functional area is much greater than that of the coated samples. Thus, this fact favours the charge carrier transfer between the photocatalytic particles and the resultant dye [12,45]. Furthermore, the photocatalysis in aqueous media generally leads to greater efficiency tendencies as compared to the dried media, and this is also mostly due to the need of H2O in the photocatalytic reaction [46,47].
Figure 11.
Photocatalytic assay to the RhB organic dye under VIS light irradiation in aqueous solution media: (a) the presence of TiO2 particles in the aqueous media; (b) the presence of TiO2 particles doped by AuNPs in the aqueous media.
3.4. Photocatalytic Activity of the Functional Coatings
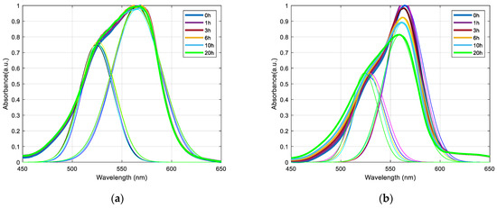
An optical fibre assay was employed in order to analyse the photocatalytic response of the samples. Figure 12 shows the absorption peaks of the rhodamine B xanthene dye as the assay was carried out along 20 h of exposition. Figure 12a represents the test performed by the electrospinning base mat without the presence of any photocatalytic particle. As expected, there was no absorbance variation of the dye peaks because the light beam did not interact with any of the photocatalytic precursors and, thus, there was no dye degradation. Also, as has been discussed, even if the UV light beam had the capacity to break molecular bonds, the visible light beam would not present that behaviour [30]. Figure 12b visualizes the dye degradation behaviour when only the TiO2 particles are immobilized in the electrospinning host matrix by dip-coating, without the presence of AuNPs doping elements. Theoretically, the TiO2 particles induce a photocatalytic response when they are irradiated under UV light because the maximum absorbance of the TiO2 is situated in wavelengths under 400 nm and the employed lamp would not be capable of activating them [48]. However, Figure 12b shows a 20% degradation of the dye after the visible light irradiation into the dye. This can be explained by the dye sensitization phenomenon because the dye itself is able to generate electrons and, in the case of having a direct contact with the semiconductor [10], a charge transfer exists between them, which generates the photocatalytic phenomenon. In the case of the RhB dye, its maximum wavelength for performing this phenomenon is 551 nm, so that the lamp may induce this type of photocatalytic response. Nevertheless, the recombination rate of this phenomenon is high, and thus, the photocatalytic efficiency is low, as can be seen in the graph [10,49].

Figure 12.
Photocatalytic degradation of the RhB organic dye under VIS light irradiation after depositing it into the functional coatings by dip-coating: (a) the sample reference without the TiO2 and AuNPs; (b) the sample with the TiO2 and without the AuNPs (c) the sample with the AuNPs and without the TiO2; (d) the sample with the TiO2 and the AuNPs.
The case of depositing only the AuNPs into the electrospinning host matrix via dip-coating is documented in Figure 12c. This sample achieved a 15% dye degradation in the 20 h of photocatalytic essay. In this case, there was no semiconductor such as TiO2 to produce dye sensitization. According to the bibliography, an element such as DMAB is able to induce a certain photocatalytic response under visible light beam irradiation in the presence of AuNPs [50]. The DMAB was presented in the coating as the reduction agent to form gold nanoparticles. However, the photocatalytic influence of this component was almost negligible.
Finally, Figure 12d represents the immobilization of the AuNPs embedded into the TiO2 particles’ surfaces and deposited into the electrospinning base by the dip-coating deposition technique. This sample achieved a 55% dye degradation after the essay, as was visualized in the upper Gaussian peak of the RhB after 20 h of essay. Even if it was not an overall degradation of the dye, it can be concluded that the TiO2 and AuNPs induced an enhancement of the photocatalytic response of the sample. Thus, both types of particles were in direct contact within each other and produced visible light photocatalysis, as is demonstrated with the calcinated samples in Figure 10. Additionally, Figure 8b shows that the functional precursors were dispersed along the polymeric host matrix. The lower presence of AuNPs in the surface of the TiO2 could also lead to lower photocatalytic efficiencies (as can be seen in Figure 10a). Lower amounts of this noble metal can lead to a lower generation of electron-hole pairing and, thus, a lower charge transfer in the semiconductor. Thus, the amount of the AuNPs that adhered to the TiO2 surface should be optimal [10].
After checking the photocatalytic activity of the sample obtained by the dip-coating technique, the photocatalytic response of the sample obtained by the solution-casting deposition technique was analysed. Figure 13 shows the degradation tendency of the RhB dye after the photocatalytic essay was performed in this sample. A total discoloration of 80% was achieved in 20 h under visible light irradiation, as can be seen in the analysis of the Gaussian peak of the RhB at higher wavelengths. Thus, the photocatalytic response of the sample was enhanced by depositing the functional particles by this technique. As analysed in the SEM images (Figure 8), this sample’s photocatalytic precursors had a greater immobilization ability along the host matrix surface, maintaining their shapes and sizes. This fact could be the main reason for a better photocatalytic performance. Their functional areas in the surface of the sample is greater than the one obtained by the dip-coating technique because of the number of particles presented in the surface area and their morphology. Also, the number of AuNPs deposited in the TiO2 surface is higher as compared to the dip-coating sample. This fact leads to a greater electron-hole pair generation and a, greater charge transfer rate. However, the dispersion among the particles in the host matrix is not ideal, and this could lead to a greater recombination of the charge carriers [10,51].
Figure 13.
Photocatalytic degradation of the RhB organic dye under VIS light irradiation after depositing it into the functional coating with the TiO2 and AuNPs by solution-casting.
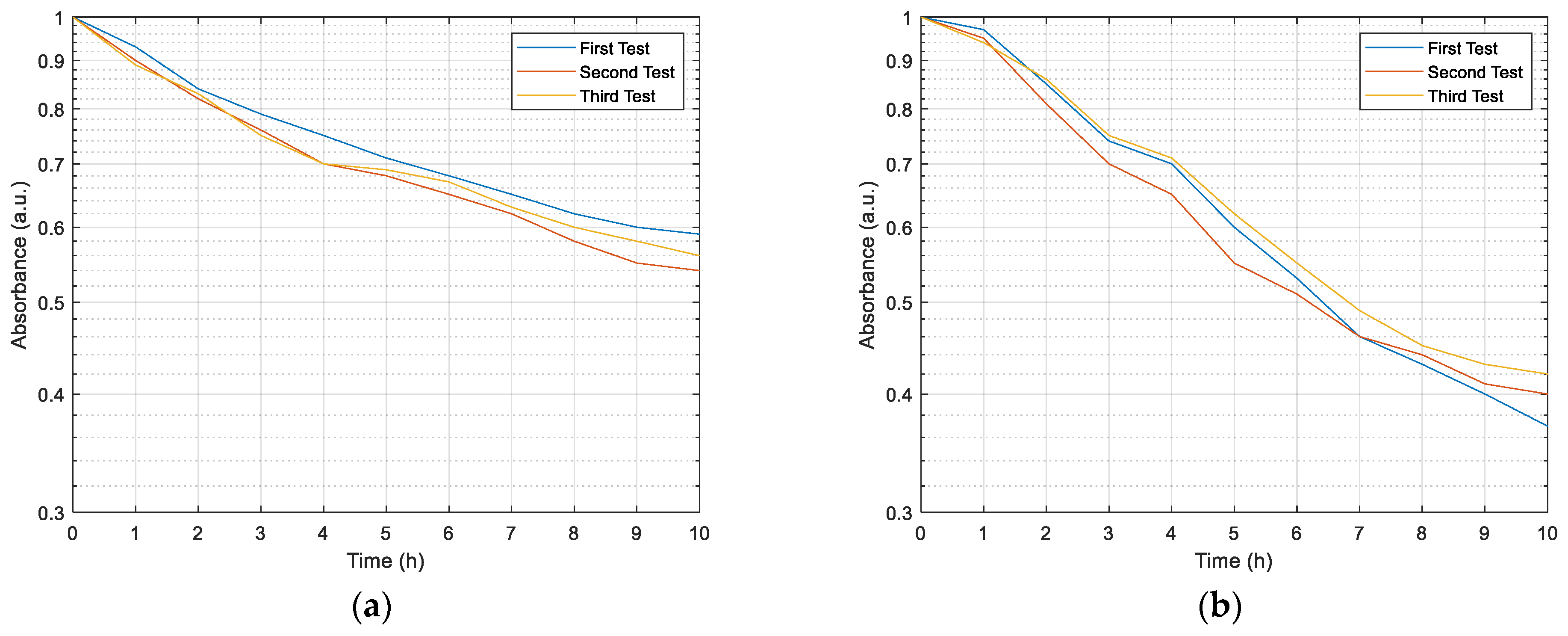
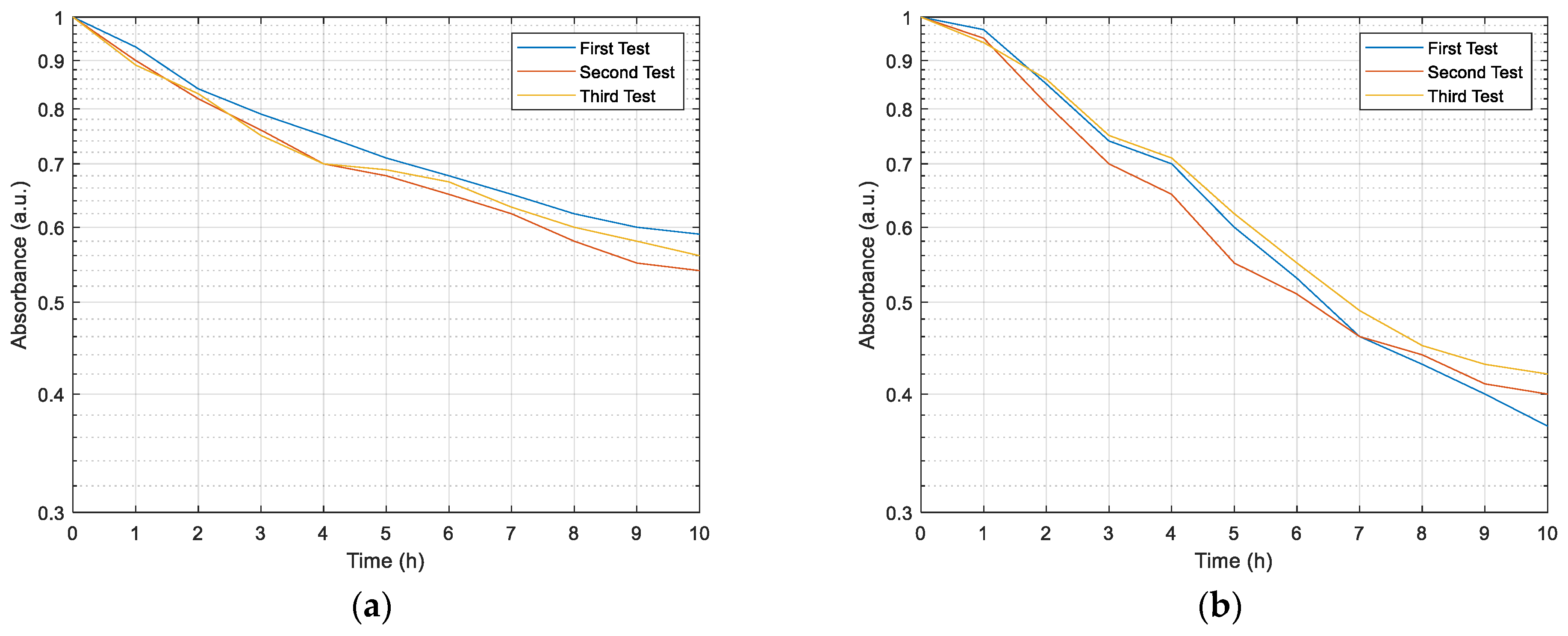
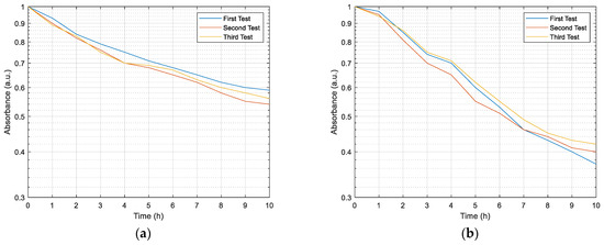
In order to analyse the stability of the functional coatings, photocatalytic essays were repeated in the same incident area. Thus, the irradiated area was inked again with the RhB dye, and the essay was repeated under the same conditions. Figure 14 shows the decrease of the maximum absorbance peak of the RhB in logarithmic scale after three photocatalytic essays were performed in the same incident area [52]. Both samples obtained similar absorbance values after the performance of the three essay repetitions (Figure 14). However, Figure 14b shows a decreasing tendency of photocatalytic performance of the sample obtained by solution-casting techniques that can be due to the loss of the precursors’ photocatalytic efficiency. However, the absorbance decrease is not too high.
Figure 14.
Photocatalytic essay repetitions intended to analyse the stability of the functional coatings: (a) the sample obtained by dip-coating; (b) the sample obtained by solution-casting.
Finally, Figure 15 shows a summary of the kinetic results of the evaluated photocatalytic samples in this study. The degradation rate in the case of the aqueous media essay was much greater than that of the ones carried out in dried media, reaching a total degradation of the dye in only 4 h of essay. However, in the case of the dried samples, both inked samples did not even reach a total degradation after 20 h of visible light exposition, although these results can be considered as a proof of concept for further implementation in a dry atmosphere.
Figure 15.
RhB maximum peak decrease along the photocatalytic essay for the reference sample (Ref): dip-coating (DC), solution-casting (SC), and nanoparticle dispersion in aqueous media (Aqueous).
4. Conclusions
Nanometric scale precursors were obtained by combining TiO2 and AuNPs, and the direct contact between both elements was achieved, which ensures the activation of the precursor in the visible light range. Their activation was proven by an aqueous photocatalytic activity test that degraded an organic dye in 4 h of essay. Then, the photocatalytic responses of the synthesized particles immobilized in a polymeric matrix were analysed. Visible-light photocatalytic responses were achieved in both functional coatings, reaching 80% of degradation in the case of the solution-casting sample. This means that an optimal visible photocatalytic response can be obtained by a surface operating in a dried media.
Author Contributions
Conceptualization, X.S., P.J.R. and R.R.; investigation, X.S. and J.F.P.; methodology, X.S., P.J.R., J.C., J.F.P. and R.R.; supervision, P.J.R. and R.R.; validation, P.J.R. and R.R.; writing—original draft, X.S.; writing—review and editing, P.J.R. and R.R. All authors have read and agreed to the published version of the manuscript.
Funding
This research was funded by the Government of Navarra—Department of Economic Development (PC080/081 GREEN-COPPER).
Institutional Review Board Statement
Not applicable.
Informed Consent Statement
Not applicable.
Data Availability Statement
Data are contained within the article.
Conflicts of Interest
The authors declare no conflicts of interest.
References
- Fujishima, A.; Zhang, X. Titanium Dioxide Photocatalysis: Present Situation and Future Approaches. Comptes Rendus Chim. 2006, 9, 750–760. [Google Scholar] [CrossRef]
- Daghrir, R.; Drogui, P.; Robert, D. Modified TiO2 for Environmental Photocatalytic Applications: A Review. Ind. Eng. Chem. Res. 2013, 52, 3581–3599. [Google Scholar] [CrossRef]
- Jiang, L.; Wang, Y.; Feng, C. Application of Photocatalytic Technology in Environmental Safety. Procedia Eng. 2012, 45, 993–997. [Google Scholar] [CrossRef]
- Saravanan, A.; Kumar, P.S.; Jeevanantham, S.; Anubha, M.; Jayashree, S. Degradation of Toxic Agrochemicals and Pharmaceutical Pollutants: Effective and Alternative Approaches toward Photocatalysis. Environ. Pollut. 2022, 298, 118844. [Google Scholar] [CrossRef] [PubMed]
- Tahir, M.B.; Ahmad, A.; Iqbal, T.; Ijaz, M.; Muhammad, S.; Siddeeg, S.M. Advances in Photo-Catalysis Approach for the Removal of Toxic Personal Care Product in Aqueous Environment. Environ. Dev. Sustain. 2020, 22, 6029–6052. [Google Scholar] [CrossRef]
- Fujishima, A.; Rao, T.N.; Tryk, D.A. Titanium Dioxide Photocatalysis. J. Photochem. Photobiol. C Photochem. Rev. 2000, 1, 1–21. [Google Scholar] [CrossRef]
- Coronado, J.M.; Hernández-Alonso, M.D. The Keys of Success: TiO2 as a Benchmark Photocatalyst; Springer: Berlin/Heidelberg, Germany, 2013; Volume 71, ISBN 9781447150602. [Google Scholar]
- Peiris, S.; de Silva, H.B.; Ranasinghe, K.N.; Bandara, S.V.; Perera, I.R. Recent Development and Future Prospects of TiO2 Photocatalysis. J. Chin. Chem. Soc. 2021, 68, 738–769. [Google Scholar] [CrossRef]
- Henderson, M.A. A Surface Science Perspective on TiO2 Photocatalysis. Surf. Sci. Rep. 2011, 66, 185–297. [Google Scholar] [CrossRef]
- Etacheri, V.; Di Valentin, C.; Schneider, J.; Bahnemann, D.; Pillai, S.C. Visible-Light Activation of TiO2 Photocatalysts: Advances in Theory and Experiments. J. Photochem. Photobiol. C Photochem. Rev. 2015, 25, 1–29. [Google Scholar] [CrossRef]
- Maicu, M.; Hidalgo, M.C.; Navı, J.A. Cu-Doped TiO2 Systems with Improved Photocatalytic Activity. Appl. Catal. B Environ. 2006, 67, 41–51. [Google Scholar] [CrossRef]
- Dawson, A.; Kamat, P.V. Semiconductor-Metal Nanocomposites. Photoinduced Fusion and Photocatalysis of gold-capped TiO2 (TiO2/gold) nanoparticles. J. Phys. Chem. B 2001, 105, 960–966. [Google Scholar] [CrossRef]
- Schneider, J.; Matsuoka, M.; Takeuchi, M.; Zhang, J.; Horiuchi, Y.; Anpo, M.; Bahnemann, D.W. Understanding TiO2 Photocatalysis: Mechanisms and Materials. Chem. Rev. 2014, 114, 9919–9986. [Google Scholar] [CrossRef] [PubMed]
- Hak, C.R.C.; Fatanah, D.N.E.; Abdullah, Y.; Sulaiman, M.Y.M. The Effect of Surfactants on the Stability of TiO2 Aqueous Suspension. Int. J. Curr. Res. Sci. Eng. Technol. 2018, 1, 172. [Google Scholar] [CrossRef]
- Kemmitt, T. Photocatalytic Titania Coatings. Curr. Appl. Phys. 2004, 4, 189–192. [Google Scholar] [CrossRef]
- Tang, X.; Yan, X. Dip-Coating for Fibrous Materials: Mechanism, Methods and Applications. J. Sol-Gel Sci. Technol. 2017, 81, 378–404. [Google Scholar] [CrossRef]
- Marouf, S.; Beniaiche, A.; Guessas, H.; Azizi, A. Morphological, Structural and Optical Properties of ZnO Thin Films Deposited by Dip Coating Method. Mater. Res. 2017, 20, 88–95. [Google Scholar] [CrossRef]
- Neacşu, I.A.; Nicoară, A.I.; Vasile, O.R.; Vasile, B.Ş. Inorganic Micro- and Nanostructured Implants for Tissue Engineering. Nanobiomater. Hard Tissue Eng. Appl. Nanobiomater. 2016, 4, 271–295. [Google Scholar] [CrossRef]
- Samal, S.; Svomova, B.; Spasovová, M.; Tyc, O.; Vokoun, D.; Stachiv, I. Physical, Thermal, and Mechanical Characterization of PMMA Foils Fabricated by Solution Casting. Appl. Sci. 2023, 13, 1016. [Google Scholar] [CrossRef]
- Abbasizadeh, S.; Keshtkar, A.R.; Mousavian, M.A. Sorption of Heavy Metal Ions from Aqueous Solution by a Novel Cast PVA/TiO2 Nanohybrid Adsorbent Functionalized with Amine Groups. J. Ind. Eng. Chem. 2014, 20, 1656–1664. [Google Scholar] [CrossRef]
- Xu, F.; Zhang, H.; Jin, L.; Li, Y.; Li, J.; Gan, G.; Wei, M.; Li, M.; Liao, Y. Controllably Degradable Transient Electronic Antennas Based on Water-Soluble PVA/TiO2 Films. J. Mater. Sci. 2018, 53, 2638–2647. [Google Scholar] [CrossRef]
- Albistur, A.; Rivero, P.J.; Esparza, J.; Rodríguez, R. Evaluation of the Photocatalytic Activity and Anticorrosion Performance of Electrospun Fibers Doped with Metallic Oxides. Polymers 2021, 13, 2011. [Google Scholar] [CrossRef] [PubMed]
- Sandua, X.; Rivero, P.J.; Esparza, J.; Fernández-Palacio, J.; Conde, A.; Rodríguez, R.J. Design of Photocatalytic Functional Coatings Based on the Immobilization of Metal Oxide Particles by the Combination of Electrospinning and Layer-by-Layer Deposition Techniques. Coatings 2022, 12, 862. [Google Scholar] [CrossRef]
- ISO:10678; Fine Ceramics (Advanced Ceramics, Advanced Technical Ceramics)–Determination of Photocatalytic Activity of Surfaces in an Aqueous Médium by Degradation of Methylene Blue. ISO Publishing: Geneve, Switzerland, 2010.
- Deb, H.; Xiao, S.; Morshed, M.N.; Al Azad, S. Immobilization of Cationic Titanium Dioxide (TiO2+) on Electrospun Nanofibrous Mat: Synthesis, Characterization, and Potential Environmental Application. Fibers Polym. 2018, 19, 1715–1725. [Google Scholar] [CrossRef]
- Martínez-Hernández, M.E.; Sandúa, X.; Rivero, P.J.; Goicoechea, J.; Arregui, F.J. Self-Referenced Optical Fiber Sensor Based on LSPR Generated by Gold and Silver Nanoparticles Embedded in Layer-by-Layer Nanostructured Coatings. Chemosensors 2022, 10, 77. [Google Scholar] [CrossRef]
- Zheng, F.; Martins, P.M.; Queirós, J.M.; Tavares, C.J.; Vilas-Vilela, J.L.; Lanceros-Méndez, S.; Reguera, J. Hybrid TiO2:Au Nanostars Based Polymeric Membranes for Photocatalytic Degradation of Ciprofloxacin in Water Samples. Chemosphere 2023, 313, 137630. [Google Scholar] [CrossRef]
- Goicoechea, J.; Rivero, P.J.; Sada, S. Self-Referenced Optical Fiber Sensor for Hydrogen Peroxide Detection Based on LSPR of Metallic Nanoparticles in Layer-by-Layer Films. Sensors 2019, 19, 3872. [Google Scholar] [CrossRef]
- Li, D.; Xia, Y. Electrospinning of Nanofibers: Reinventing the Wheel? Adv. Mater. 2004, 16, 1151–1170. [Google Scholar] [CrossRef]
- Sandua, X.; Rivero, P.J.; Conde, A.; Esparza, J.; Rodríguez, R. A Comparative Study in the Design of TiO2 Assisted Photocatalytic Coatings Monitored by Controlling Hydrophilic Behavior and Rhodamine B Degradation. Materials 2023, 16, 2589. [Google Scholar] [CrossRef]
- Fujishima, A.; Hashimoto, K.; Watanabe, T. TiO2 Photocatalysis Fundamentals and Applications; BKC Inc.: Tokyo, Japan, 1999. [Google Scholar]
- Sandua, X.; Rivero, P.J.; Palacio, J.F.; Esparza, J.; Rodríguez, R. An Alternative Methodology for the Evaluation of Photocatalytic Activity of Polymeric Coatings by Monitoring Dye Degradation. Coatings 2022, 12, 1529. [Google Scholar] [CrossRef]
- Zhuang, J.; Dai, W.; Tian, Q.; Li, Z.; Xie, L.; Wang, J.; Liu, P.; Shi, X.; Wang, D. Photocatalytic Degradation of RhB over TiO2 Bilayer Films: Effect of Defects and Their Location. Langmuir 2010, 26, 9686–9694. [Google Scholar] [CrossRef]
- Donovan, A.R.; Adams, C.D.; Ma, Y.; Stephan, C.; Eichholz, T.; Shi, H. Chemosphere Single Particle ICP-MS Characterization of Titanium Dioxide, Silver, and Gold Nanoparticles during Drinking Water Treatment. Langmuir 2016, 144, 148–153. [Google Scholar] [CrossRef]
- Gregory, J.W.; Gong, Y.; Han, Y.; Huband, S.; Walton, R.I.; Hessel, V.; Rebrov, E.V. Au/TiO2 Coatings for Photocatalytic Reduction of 4-Nitrophenol to 4-Ami Nophenol with Green Light. Catal. Today 2023, 418, 114145. [Google Scholar] [CrossRef]
- Shan, H.; Zhao, Q.; Guo, Y.; Gao, M.; Xu, X.; Mcclements, D.J.; Cao, C.; Yuan, B. Impact of PH on the Formation and Properties of Whey Protein Coronas around TiO2 Nanoparticles. J. Agric. Food Chem. 2023, 71, 5756–5769. [Google Scholar] [CrossRef] [PubMed]
- Uekawa, N.; Kajiwara, J.; Kakegawa, K.; Sasaki, Y. Low Temperature Synthesis and Characterization of Porous Anatase TiO2 Nanoparticles. J. Colloid Interface Sci. 2002, 250, 285–290. [Google Scholar] [CrossRef] [PubMed]
- Pettibone, J.M.; Cwiertny, D.M.; Scherer, M.; Grassian, V.H. Adsorption of Organic Acids on TiO2 Nanoparticles: Effects of PH, Nanoparticle Size, and Nanoparticle Aggregation; ACS: Washington, DC, USA, 2008; pp. 6659–6667. [Google Scholar]
- Annur, S.; Santosa, S.R.I.J.; Aprilita, N.H. PH Dependence of Size Control in Gold Nanoparticles Synthesized at Room Temperature. Orient. J. Chem. 2018, 34, 2305–2312. [Google Scholar] [CrossRef]
- Mustafa, D.E.; Yang, T.; Xuan, Z. Surface Plasmon Coupling Effect of Gold Nanoparticles with Different Shape and Size on Conventional Surface Plasmon Resonance Signal. Plasmonics 2010, 5, 221–231. [Google Scholar] [CrossRef]
- Nehl, C.L.; Hafner, J.H. Shape-Dependent Plasmon Resonances of Gold Nanoparticles. J. Mater. Chem. 2008, 18, 2415–2419. [Google Scholar] [CrossRef]
- Rai, V.N.; Srivastava, A.K. Correlation Between Optical and Morphological Properties of Nanostructured Gold Thin Film. JSM Nanotechnol. Nanomed. 2016, 4, 1039. [Google Scholar]
- Akherat, H.; Ghasedi, A.; Koushki, E. Electrical Effects of AuNPs and PVA Polymers on Optical Band Gap and Thermo-Optical Properties of TiO2 Nanoparticles. J. Mol. Liq. 2021, 323, 115074. [Google Scholar] [CrossRef]
- Moharram, M.A.; Allam, M.A. Study of the Interaction of Poly (Acrylic Acid) and Poly (Acrylic Acid-Poly Acrylamide) Complex with Bone Powders and Hydroxyapatite by Using TGA and DSC. J. Appl. Polym. Sci. 2007, 105, 3220–3227. [Google Scholar] [CrossRef]
- Hashimoto, K.; Irie, H.; Fujishima, A. TiO2 Photocatalysis: A Historical Overview and Future Prospects. Jpn. J. Appl. Phys. 2005, 44, 8269–8285. [Google Scholar] [CrossRef]
- Doh, S.J.; Kim, C.; Lee, S.G.; Lee, S.J.; Kim, H. Development of Photocatalytic TiO2 Nanofibers by Electrospinning and Its Application to Degradation of Dye Pollutants. J. Hazard. Mater. 2008, 154, 118–127. [Google Scholar] [CrossRef] [PubMed]
- Sanzone, G.; Zimbone, M.; Cacciato, G.; Ruffino, F.; Carles, R.; Privitera, V.; Grimaldi, M.G. Ag/TiO2 Nanocomposite for Visible Light-Driven Photocatalysis. Superlattices Microstruct. 2018, 123, 394–402. [Google Scholar] [CrossRef]
- Goodeve, C.F.; Kitchener, J.A. The Mechanism of Photosensititation by Solids. Trans. Faraday Soc. 1938, 34, 902–908. [Google Scholar] [CrossRef]
- Chatterjee, D.; Dasgupta, S. Visible Light Induced Photocatalytic Degradation of Organic Pollutants. J. Photochem. Photobiol. C Photochem. Rev. 2005, 6, 186–205. [Google Scholar] [CrossRef]
- Al-mahamad, L.L.G. Heliyon Analytical Study to Determine the Optical Properties of Gold Nanoparticles in the Visible Solar Spectrum. Heliyon 2022, 8, e09966. [Google Scholar] [CrossRef]
- Nakata, K.; Fujishima, A. TiO2 Photocatalysis: Design and Applications. J. Photochem. Photobiol. C Photochem. Rev. 2012, 13, 169–189. [Google Scholar] [CrossRef]
- Karipbayev, Z.T.; Lisitsyn, V.M.; Mussakhanov, D.A.; Alpyssova, G.K.; Popov, A.I.; Polisadova, E.F.; Elsts, E.; Akilbekov, A.T.; Kukenova, A.B.; Kemere, M.; et al. Time-Resolved Luminescence of YAG:Ce and YAGG:Ce Ceramics Prepared by Electron Beam Assisted Synthesis. Nucl. Instrum. Methods Phys. Res. Sect. B Beam Interact. Mater. At. 2020, 479, 222–228. [Google Scholar] [CrossRef]
Disclaimer/Publisher’s Note: The statements, opinions and data contained in all publications are solely those of the individual author(s) and contributor(s) and not of MDPI and/or the editor(s). MDPI and/or the editor(s) disclaim responsibility for any injury to people or property resulting from any ideas, methods, instructions or products referred to in the content. |
© 2024 by the authors. Licensee MDPI, Basel, Switzerland. This article is an open access article distributed under the terms and conditions of the Creative Commons Attribution (CC BY) license (https://creativecommons.org/licenses/by/4.0/).















