Tribocorrosion Behaviour of SUS430 Stainless Steel in Aqueous Solutions with Different pH
Abstract
:1. Introduction
2. Experimental
3. Results and Discussion
3.1. Corrosion Behaviour
3.2. Wear or Tribocorrosion Behaviour in Air or Water
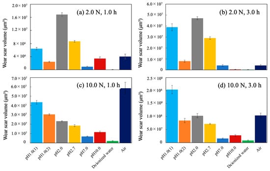
3.3. Tribocorrosion Behaviour in Solutions with Various pH
3.3.1. Tribocorrosion in Acid Solutions
3.3.2. Tribocorrosion in Neutral and Alkaline Solutions
3.4. Comparison of Wear and Tribocorrosion Volumes
3.5. Comparing Coefficients of Friction and Archard Wear Coefficients
3.6. Synergistic Influence for Corrosion and Wear
4. Conclusions
Author Contributions
Funding
Institutional Review Board Statement
Informed Consent Statement
Data Availability Statement
Conflicts of Interest
References
- Rajahram, S.S.; Harvey, T.J.; Wood, R.J.K. Erosion-corrosion resistance of engineering materials in various test conditions. Wear 2009, 267, 244–254. [Google Scholar] [CrossRef]
- Maher, M.; Iraola-Arregui, I.; Youcef, H.B.; Rhouta, B.; Trabadelo, V. The synergistic effect of wear-corrosion in stainless steels: A review. Mater. Today Proc. 2021, 51, 1975–1990. [Google Scholar] [CrossRef]
- Tan, L.; Wang, Z.; Ma, Y. Tribocorrosion behavior and degradation mechanism of 316L stainless steel in typical corrosive media. Acta Metal. Sin. 2021, 34, 813–824. [Google Scholar] [CrossRef]
- Tan, L.; Wang, Z.; Ma, Y.; Yan, Y.; Qiao, L. Tribocorrosion investigation of 316L stainless steel: The synergistic effect between chloride ion and sulfate ion. Mater. Res. Express 2021, 8, 086501. [Google Scholar] [CrossRef]
- Zou, J.; Wang, Z.; Ma, Y.; Tan, L. Tribocorrosion behavior and degradation mechanism of 316L stainless steel in alkaline solution: Effect of tribo-film. Acta Metal. Sin. 2022, 35, 1365–1375. [Google Scholar] [CrossRef]
- Dalbert, V.; Mary, N.; Normand, B.; Verdu, C.; Saedlou, S. In situ determinations of the wear surfaces, volumes and kinetics of repassivation: Contribution in the understanding of the tribocorrosion behaviour of a ferritic stainless steel in various pH. Tribol. Int. 2020, 150, 106374. [Google Scholar] [CrossRef]
- Wang, R.; Li, Y.; Xiao, T.; Cong, L.; Ling, Y.; Lu, Z.; Fukushima, C.; Tsuchitori, I.; Bazzaoui, M. Using atomic force microscopy to measure thickness of passive film on stainless steel immersed in aqueous solution. Sci. Rep. 2019, 9, 13094. [Google Scholar] [CrossRef]
- Sugimoto, K.; Matsuda, S. Passive and transpassive films on Fe-Cr alloys in acid and neutral solutions. Mater. Sci. Eng. 1980, 42, 181–189. [Google Scholar] [CrossRef]
- Sato, N. An overview on the passivity of metals. Corros. Sci. 1990, 31, 1–9. [Google Scholar] [CrossRef]
- Liu, C.; Wu, J. Influence of pH on the passivation behavior of 254SMO stainless steel in 3.5% NaCl solution. Corros. Sci. 2007, 49, 2198–2209. [Google Scholar] [CrossRef]
- Wang, R. Suppression effect of ultrasound on pitting corrosion of SUS304 stainless steel in various NaCl solutions. Sci. China Technol. Sci. 2019, 62, 551–558. [Google Scholar] [CrossRef]
- Okamoto, G. Passive film of 18-8 stainless steel structure and its function. Corros. Sci 1973, 13, 471–489. [Google Scholar] [CrossRef]
- Svistunova, T.V.; Shlyamnev, A.P. Development and use of corrosion-resistant steels and alloys. Met. Sci. Heat Treat 2010, 52, 300–308. [Google Scholar] [CrossRef]
- Cao, S.; Mischler, S. Modeling tribocorrosion of passive metals—A review. Curr. Opin. Solid State Mater. Sci 2018, 22, 127–141. [Google Scholar] [CrossRef]
- Jemmely, P.; Mischler, S.; Landolt, D. Tribocorrosion behaviour of Fe-17Cr stainless steel in acid and alkaline solutions. Tribol. Int. 1999, 32, 295–303. [Google Scholar] [CrossRef]
- Stemp, M.; Mischler, S.; Landolt, D. The effect of mechanical and electrochemical parameters on the tribocorrosion rate of stainless steel in sulphuric acid. Wear 2003, 255, 466–475. [Google Scholar] [CrossRef]
- Betova, I.; Bojinov, M.; Lilja, C. Influence of ionic strength on hydrogen generation during interaction of copper with deoxy-genated neutral solution. Corros. Sci. 2021, 188, 109552. [Google Scholar] [CrossRef]
- Fontana, M.G.; Staehle, R.W. Advances in Corrosion Science and Technology: Volume 6 (Advances in Corrosion Science & Technology); Springer: Berlin, Germany, 1976. [Google Scholar]
- JIS R1613-2010; Testing Method for Wear Resistance of Fine Ceramics by Ball-on-Disc Method. Japanese Industrial Standards Committee: Tokyo, Japan, 2010.
- Wang, R.; Imagawa, M.; Honda, M.; Fukuhara, H.; Hiramatsu, S. Influence of dissolved oxygen on DL-EPR behavior of SUS329J4L duplex stainless steel after convection cooling. J. Soc. Mater.Sci. Jpn. 2020, 70, 49–56. [Google Scholar] [CrossRef]
- Hara, N.; Sugimoto, K. In situ analysis of passive films by potential modulated uv-visible reflection spectroscopy. Corros. Sci. 1990, 31, 197–206. [Google Scholar] [CrossRef]
- Nagaoka, A.; Matsuhashi, R.; Nose, K.; Matsuoka, K.; Kajimura, H. The effect of chloride ion and dissolved oxygen concen-tration on passivation of SUS304 stainless steel. Zair.-Kankyo/Corros. Eng. Jpn. 2020, 69, 49–57. [Google Scholar]
- Ohtsuka, T.; Fushimi, K. Optical characterization of passive oxides on metals. Electrochemistry 2016, 84, 826–832. [Google Scholar] [CrossRef]
- Hashimoto, H. Kiso Kara Manabu; Morikita Publishing Co., Ltd.: Tokyo, Japan, 2006. (In Japanese) [Google Scholar]
- Sasaki, S.; Shima, M.; Noguchi, S.; Hirayama, T.; Jibiki, T.; Adachi, K.; Miyake, K. A 1st Course in Tribology; Kodansha: Tokyo, Japan, 2013. (In Japanese) [Google Scholar]
- Munoz, A.I.; Espallargas, N.; Mischler, S. Tribocorrosion; Springer Nature Switzerland AG: Cham, Switzerland, 2020. [Google Scholar]
- Endou, K. Hyoumen Kougaku; Yokendo Ltd. Publishers: Tokyo, Japan, 1976. (In Japanese) [Google Scholar]
- Favero, J.; Stadelmann, P.; Mischler, S. Effect of the applied potential of the near surface microstructure of a 316L steel submitted to tribocorrosion in sulfuric acid. J. Phys. D Appl. Phys. 2006, 39, 3175–3183. [Google Scholar] [CrossRef]
- Perret, J.; Boehm-Courjault, E.; Cantoni, M.; Mischler, S.; Beaudouin, A.; Chitty, W.; Vernot, J.P. EBSD, SEM and FIB charac-terisation of subsurface deformation during tribocorrosion of stainless steel in sulphuric acid. Wear 2010, 269, 383–393. [Google Scholar]
- Maldonado, S.G.; Mischler, S.; Cantoni, M.; Chitty, W.J.; Falcand, C.; Hertz, D. Mechanical and chemical mechanisms in the tribocorrosion of a Stellite type alloy. Wear 2013, 308, 213–221. [Google Scholar] [CrossRef]
- Tsuchiya, Y.; Saito, N. Electrochemical Noise Analysis for Localized Corrosion of Type 304 Stainless Steel in Neutralized Chloride Solution. Zairyo-to-Kanhyo 2001, 50, 323–329. [Google Scholar] [CrossRef]
- Inoue, H.; Ohnaka, N. Potential noise for stress corrosion cracking in corroding crevice-Report on the results of the cooperative experiment at the working group in Japan Society of Corrosion Engineering: “Detecting of the localized corrosions by the electro-chemical noise”. Zairo-to-Kankyo 2000, 49, 99–105. [Google Scholar] [CrossRef]
- Burstein, G.T.; Sasaki, K. Effect of impact angle on the slurry erosion–corrosion of 304L stainless steel. Wear 2000, 240, 80–94. [Google Scholar] [CrossRef]
- Zheng, Y.; Yao, Z.; Wei, X.; Ke, W. The synergistic effect between erosion and corrosion in acidic slurry medium. Wear 1995, 186–187, 555–561. [Google Scholar] [CrossRef]
- Yu, Z.; Chen, M.; Li, F.; Zhu, S.; Wang, F. Synergistic effect of corrosion and wear of the 316 stainless steel in molten zinc alloy at 460 °C. Corros. Sci. 2020, 165, 108411. [Google Scholar]
- Zhang, B.; Wang, J.; Liu, H.; Yan, Y.; Jiang, P.; Yan, F. Tribocorrosion properties of AISI 1045 and AISI 2205 steels in seawater: Synergistic interactions of wear and corrosion. Friction 2021, 9, 929–940. [Google Scholar] [CrossRef]
- Wang, H.W.; Stack, M.M. The erosive wear of mild and stainless steels under controlled corrosion in alkaline slurries containing alumina particles. J. Mater. Sci. 2000, 35, 5263–5273. [Google Scholar]
- Bargmann, I.; Neville, A.; Hertzman, S.; Reza, F.; Hu, X. Erosion-corrosion in oil and gas—Stainless steel under deaerated slurry impingement attack. In Proceedings of the NACE—International Corrosion Conference Series, Atlanta, GA, USA, 22–26 March 2009. [Google Scholar]
- He, D.D.; Jiang, X.X.; Li, S.Z.; Guan, H.R. Erosion-corrosion of stainless steels in aqueous slurries—a quantitative estimation of synergistic effects. Corrosion 2005, 61, 30–36. [Google Scholar]
- Rajahram, S.S.; Harvey, T.J.; Walker, J.C.; Wang, S.C.; Wood, R.J.K. Investigation of erosion-corrosion mechanisms of UNS S31603 using FIB and TEM. Tribol. Int. 2012, 46, 161–173. [Google Scholar]
- Jiang, J.; Stack, M.M.; Neville, A. Modelling the tribo-corrosion interaction in aqueous sliding conditions. Tribol. Int. 2002, 35, 669–679. [Google Scholar]
- Lindgren, M.; Siljander, S.; Suihkonen, R.; Pohjanne, P.; Vuorinen, J. Erosion–corrosion resistance of various stainless steel grades in high-temperature sulfuric acid solution. Wear 2016, 364–365, 10–21. [Google Scholar]
- Guo, H.X.; Lu, B.T.; Luo, J.L. Interaction of mechanical and electrochemical factors in erosion-corrosion of carbon steel. Elec-trochim. Acta 2005, 51, 315–323. [Google Scholar]
- von der Ohe, C.B.; Johnsen, R.; Espallargas, N. Modeling the multi-degradation mechanisms of combined tribocorrosion in-teracting with static and cyclic loaded surfaces of passive metals exposed to seawater. Wear 2010, 269, 607–616. [Google Scholar]
- G119 04; Standard Guide for Determining Synergism Between Wear and Corrosion. ASTM International: West Conshohocken, PA, USA, 2004.
- Doi, K.; Akiyama, E. Hydrogen entry into a high stength steel with tribocorrosion in acidic solution. Trans. JSSE 2017, 2017, 9–14. [Google Scholar]
- Papageorgiou, N.; Mischler, S. Electrochemical simulation of the current and potential response in sliding tribocorrosion. Tribol. Lett. 2012, 48, 271–283. [Google Scholar]















| pH | Solution | Ion Strength |
|---|---|---|
| 1.0 | 0.05 M H2SO4 | 0.150 |
| 2.0 | 0.005 M H2SO4 | 0.015 |
| 2.7 | 0.001 M H2SO4 | 0.003 |
| 7.0 | 0.05 M Na2SO4 | 0.150 |
| 10.0 | 0.0001 M NaOH + 0.05 M Na2SO4 | 0.150 |
Disclaimer/Publisher’s Note: The statements, opinions and data contained in all publications are solely those of the individual author(s) and contributor(s) and not of MDPI and/or the editor(s). MDPI and/or the editor(s) disclaim responsibility for any injury to people or property resulting from any ideas, methods, instructions or products referred to in the content. |
© 2023 by the authors. Licensee MDPI, Basel, Switzerland. This article is an open access article distributed under the terms and conditions of the Creative Commons Attribution (CC BY) license (https://creativecommons.org/licenses/by/4.0/).
Share and Cite
Wang, R.; Ohgata, Y.; Li, Y.; Xiao, T.; Honda, M. Tribocorrosion Behaviour of SUS430 Stainless Steel in Aqueous Solutions with Different pH. Coatings 2023, 13, 1539. https://doi.org/10.3390/coatings13091539
Wang R, Ohgata Y, Li Y, Xiao T, Honda M. Tribocorrosion Behaviour of SUS430 Stainless Steel in Aqueous Solutions with Different pH. Coatings. 2023; 13(9):1539. https://doi.org/10.3390/coatings13091539
Chicago/Turabian StyleWang, Rongguang, Yuto Ohgata, Yunhui Li, Tian Xiao, and Masaharu Honda. 2023. "Tribocorrosion Behaviour of SUS430 Stainless Steel in Aqueous Solutions with Different pH" Coatings 13, no. 9: 1539. https://doi.org/10.3390/coatings13091539
APA StyleWang, R., Ohgata, Y., Li, Y., Xiao, T., & Honda, M. (2023). Tribocorrosion Behaviour of SUS430 Stainless Steel in Aqueous Solutions with Different pH. Coatings, 13(9), 1539. https://doi.org/10.3390/coatings13091539

