Flame-Retardant and Fire-Sensing Packaging Papers Enabled by Diffusion-Driven Self-Assembly of Graphene Oxide and Branched Polyethyleneimine Coatings
Abstract
1. Introduction
2. Materials and Methods
2.1. Materials
2.2. Methods
2.2.1. Synthesis of Graphene Oxide
2.2.2. Fabrication of GO/b-PEI Composite Coatings on Substrates
2.3. Characterization Methods
3. Results
3.1. Design and Fabrication of GO/b-PEI Composite for Coating on Duplicating Paper
3.2. Characterization of GO/b-PEI Composite Coating
3.3. Flame-Retardant Property of Paper Modified by GO/b-PEI Composite Coating
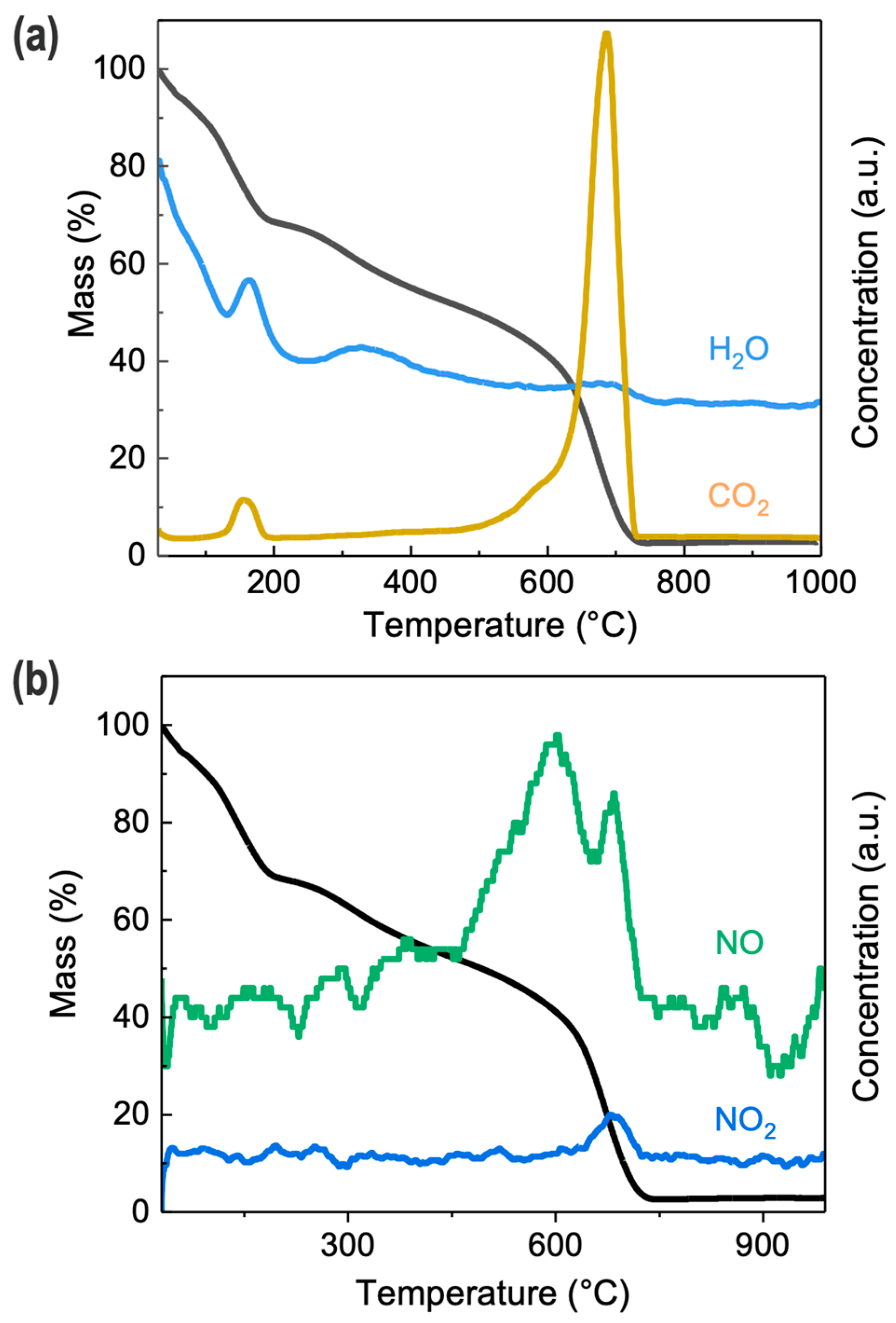
3.4. Flame-Retardant and Alarm Mechanisms of GO/b-PEI Composite Coating
3.5. Early Fire Alarm Application of GO/b-PEI Composite Coating
4. Conclusions
Supplementary Materials
Author Contributions
Funding
Institutional Review Board Statement
Informed Consent Statement
Data Availability Statement
Acknowledgments
Conflicts of Interest
References
- Evans, D.M.; Parsons, R.; Jackson, P.; Greenwood, S.; Ryan, A. Understanding plastic packaging: The co-evolution of materials and society. Glob. Environ. Chang. 2020, 65, 102166. [Google Scholar] [CrossRef]
- Otto, S.; Strenger, M.; Maier-Nöth, A.; Schmid, M. Food packaging and sustainability—Consumer perception vs. correlated scientific facts: A review. J. Clean. Prod. 2021, 298, 126733. [Google Scholar] [CrossRef]
- Kassouf, A.; Maalouly, J.; Rutledge, D.N.; Chebib, H.; Ducruet, V. Rapid discrimination of plastic packaging materials using MIR spectroscopy coupled with independent components analysis (ICA). Waste Manag. 2014, 34, 2131–2138. [Google Scholar] [CrossRef]
- Kan, M.; Miller, S.A. Environmental impacts of plastic packaging of food products. Resour. Conserv. Recy. 2022, 180, 106156. [Google Scholar] [CrossRef]
- Smith, T.; Clements, L.; Plaat, F. Plastic wrappers: Not just an environmental hazard. Anaesthesia 2011, 66, 321. [Google Scholar] [CrossRef] [PubMed]
- Sobhani, Z.; Lei, Y.; Tang, Y.; Wu, L.; Zhang, X.; Naidu, R.; Megharaj, M.; Fang, C. Microplastics generated when opening plastic packaging. Sci. Rep. 2020, 10, 4841. [Google Scholar] [CrossRef]
- Ahuja, A.; Samyn, P.; Rastogi, V.K. Paper bottles: Potential to replace conventional packaging for liquid products. Biomass Convers. Bior. 2022. [Google Scholar] [CrossRef]
- Oloyede, O.O.; Lignou, S. Sustainable Paper-Based Packaging: A Consumer’s Perspective. Foods 2021, 10, 1035. [Google Scholar] [CrossRef]
- Saxena, P.; Bissacco, G.; Meinert, K.Æ.; Bedka, F.J. Mold design and fabrication for production of thermoformed paper-based packaging products. J. Manuf. Process. 2020, 58, 311–321. [Google Scholar] [CrossRef]
- Sokolova, T.; Krishna, A.; Döring, T. Paper Meets Plastic: The Perceived Environmental Friendliness of Product Packaging. J. Consum. Res. 2023, ucad008. [Google Scholar] [CrossRef]
- Zhang, T.; Wu, M.; Kuga, S.; Ewulonu, C.M.; Huang, Y. Cellulose Nanofibril-Based Flame Retardant and Its Application to Paper. ACS Sustain. Chem. Eng. 2020, 8, 10222–10229. [Google Scholar] [CrossRef]
- Zhou, Y.; Ding, C.; Qian, X.; An, X. Further improvement of flame retardancy of polyaniline-deposited paper composite through using phytic acid as dopant or co-dopant. Carbohydr. Polym. 2015, 115, 670–676. [Google Scholar] [CrossRef] [PubMed]
- Akhila, V.; Badwaik, L.S. Recent advancement in improvement of properties of polysaccharides and proteins based packaging film with added nanoparticles: A review. Int. J. Biol. Macromol. 2022, 203, 515–525. [Google Scholar] [CrossRef]
- Zhang, W.; Ahari, H.; Zhang, Z.; Jafari, S.M. Role of silica (SiO2) nano/micro-particles in the functionality of degradable packaging films/coatings and their application in food preservation. Trends. Food. Sci. Technol. 2023, 133, 75–86. [Google Scholar] [CrossRef]
- Wang, Y.; Zhang, X.; Kan, L.; Shen, F.; Ling, H.; Wang, X. All-biomass-based eco-friendly waterproof coating for paper-based green packaging. Green Chem. 2022, 24, 7039–7048. [Google Scholar] [CrossRef]
- Kumar, S. Recent Developments of Biobased Plasticizers and Their Effect on Mechanical and Thermal Properties of Poly(vinyl chloride): A Review. Ind. Eng. Chem. Res. 2019, 58, 11659–11672. [Google Scholar] [CrossRef]
- Mustafa, P.; Niazi, M.B.K.; Jahan, Z.; Samin, G.; Hussain, A.; Ahmed, T.; Naqvi, S.R. PVA/starch/propolis/anthocyanins rosemary extract composite films as active and intelligent food packaging materials. J. Food. Saf. 2020, 40, e12725. [Google Scholar] [CrossRef]
- Siakeng, R.; Jawaid, M.; Ariffin, H.; Sapuan, S.M.; Asim, M.; Saba, N. Natural fiber reinforced polylactic acid composites: A review. Polym. Composite. 2019, 40, 446–463. [Google Scholar] [CrossRef]
- Costa, M.C.F.; Marangoni, V.S.; Ng, P.R.; Nguyen, H.T.L.; Carvalho, A.; Castro Neto, A.H. Accelerated synthesis of graphene oxide from graphene. Nanomaterials 2021, 11, 551. [Google Scholar] [CrossRef]
- Silva-Leyton, R.; Quijada, R.; Bastías, R.; Zamora, N.; Olate-Moya, F.; Palza, H. Polyethylene/graphene oxide composites toward multifunctional active packaging films. Compos. Sci. Technol. 2019, 184, 107888. [Google Scholar] [CrossRef]
- Barbolina, I.; Woods, C.R.; Lozano, N.; Kostarelos, K.; Novoselov, K.S.; Roberts, I.S. Purity of graphene oxide determines its antibacterial activity. 2D Mater. 2016, 3, 025025. [Google Scholar] [CrossRef]
- Escudero, M.L.; Llorente, I.; Pérez-Maceda, B.T.; José-Pinilla, S.S.; Sánchez-López, L.; Lozano, R.M.; Aguado-Henche, S.; de Arriba, C.C.; Alobera-Gracia, M.A.; García-Alonso, M.C. Electrochemically reduced graphene oxide on CoCr biomedical alloy: Characterization, macrophage biocompatibility and hemocompatibility in rats with graphene and graphene oxide. Mater. Sci. Eng. C 2020, 109, 110522. [Google Scholar] [CrossRef] [PubMed]
- Hou, W.-C.; Lee, P.-L.; Chou, Y.-C.; Wang, Y.-S. Antibacterial property of graphene oxide: The role of phototransformation. Nano Environ. Sci.-Nano. 2017, 4, 647–657. [Google Scholar] [CrossRef]
- Panda, S.; Rout, T.K.; Prusty, A.D.; Ajayan, P.M.; Nayak, S. Electron transfer directed antibacterial properties of Graphene Oxide on Metals. Adv. Mater. 2018, 30, 1702149. [Google Scholar] [CrossRef]
- Jeong, S.; Yang, S.; Kim, B.G.; Lee, H.J.; Bae, J.J.; Kim, J.H.; Kim, J.M.; Lee, W.; Hwang, J.Y.; Choi, S.; et al. Highly conductive quasi-defect-free reduced graphene oxide for qualitative scalable production. Carbon 2023, 203, 221–229. [Google Scholar] [CrossRef]
- Tang, P.; Deng, Z.; Zhang, Y.; Liu, L.-X.; Wang, Z.; Yu, Z.-Z.; Zhang, H.-B. Tough, Strong, and conductive graphene fibers by optimizing surface chemistry of graphene oxide precursor. Adv. Funct. Mater. 2022, 32, 2112156. [Google Scholar] [CrossRef]
- Kim, F.; Luo, J.; Cruz-Silva, R.; Cote, L.J.; Sohn, K.; Huang, J. Self-propagating domino-like reactions in oxidized graphite. Adv. Funct. Mater. 2010, 20, 2867–2873. [Google Scholar] [CrossRef]
- Zou, J.; Kim, F. Diffusion driven layer-by-layer assembly of graphene oxide nanosheets into porous three-dimensional macrostructures. Nat. Commun. 2014, 5, 5254. [Google Scholar] [CrossRef] [PubMed]
- Qin, S.-Y.; Feng, J.; Rong, L.; Jia, H.-Z.; Chen, S.; Liu, X.-J.; Luo, G.-F.; Zhuo, R.-X.; Zhang, X.-Z. Theranostic GO-based nanohybrid for tumor induced imaging and potential combinational tumor therapy. Small 2014, 10, 599–608. [Google Scholar] [CrossRef]
- Ren, Y.; Zhou, T.; Su, G.; Ma, Y. Online tracking of the thermal reduction of graphene oxide by two-dimensional correlation infrared spectroscopy. Vib. Spectrosc. 2018, 96, 32–45. [Google Scholar] [CrossRef]
- Jiang, F.; Zhao, W.; Wu, Y.; Wu, Y.; Liu, G.; Dong, J.; Zhou, K. A polyethyleneimine-grafted graphene oxide hybrid nanomaterial: Synthesis and anti-corrosion applications. Appl. Surf. Sci. 2019, 479, 963–973. [Google Scholar] [CrossRef]
- Liu, Q.; Tai, H.; Yuan, Z.; Zhou, Y.; Su, Y.; Jiang, Y. A High-performances flexible temperature sensor composed of polyethyleneimine/reduced graphene oxide Bilayer for real-time monitoring. Adv. Mater. Technol. 2019, 4, 1800594. [Google Scholar] [CrossRef]
- Tang, X.-Z.; Mu, C.; Zhu, W.; Yan, X.; Hu, X.; Yang, J. Flexible polyurethane composites prepared by incorporation of polyethylenimine-modified slightly reduced graphene oxide. Carbon 2016, 98, 432–440. [Google Scholar] [CrossRef]
- Ye, X.; Yuan, Z.; Tai, H.; Li, W.; Du, X.; Jiang, Y. A wearable and highly sensitive strain sensor based on a polyethylenimine–rGO layered nanocomposite thin film. J. Mater. Chem. C 2017, 5, 7746–7752. [Google Scholar] [CrossRef]
- Ye, D.-M.; Li, G.-Z.; Wang, G.-G.; Lin, Z.-Q.; Zhou, H.-L.; Han, M.; Liu, Y.-L.; Han, J.-C. One-pot synthesis of copper nanowire decorated by reduced graphene oxide with excellent oxidation resistance and stability. Appl. Surf. Sci. 2019, 467–468, 158–167. [Google Scholar] [CrossRef]









Disclaimer/Publisher’s Note: The statements, opinions and data contained in all publications are solely those of the individual author(s) and contributor(s) and not of MDPI and/or the editor(s). MDPI and/or the editor(s) disclaim responsibility for any injury to people or property resulting from any ideas, methods, instructions or products referred to in the content. |
© 2023 by the authors. Licensee MDPI, Basel, Switzerland. This article is an open access article distributed under the terms and conditions of the Creative Commons Attribution (CC BY) license (https://creativecommons.org/licenses/by/4.0/).
Share and Cite
Wen, P.; Ren, J.; Zhang, Q.; Ling, S. Flame-Retardant and Fire-Sensing Packaging Papers Enabled by Diffusion-Driven Self-Assembly of Graphene Oxide and Branched Polyethyleneimine Coatings. Coatings 2023, 13, 1047. https://doi.org/10.3390/coatings13061047
Wen P, Ren J, Zhang Q, Ling S. Flame-Retardant and Fire-Sensing Packaging Papers Enabled by Diffusion-Driven Self-Assembly of Graphene Oxide and Branched Polyethyleneimine Coatings. Coatings. 2023; 13(6):1047. https://doi.org/10.3390/coatings13061047
Chicago/Turabian StyleWen, Piao, Jing Ren, Qiang Zhang, and Shengjie Ling. 2023. "Flame-Retardant and Fire-Sensing Packaging Papers Enabled by Diffusion-Driven Self-Assembly of Graphene Oxide and Branched Polyethyleneimine Coatings" Coatings 13, no. 6: 1047. https://doi.org/10.3390/coatings13061047
APA StyleWen, P., Ren, J., Zhang, Q., & Ling, S. (2023). Flame-Retardant and Fire-Sensing Packaging Papers Enabled by Diffusion-Driven Self-Assembly of Graphene Oxide and Branched Polyethyleneimine Coatings. Coatings, 13(6), 1047. https://doi.org/10.3390/coatings13061047

