Abstract
Natural products have gained worldwide favor due to their sustainable and ayurvedic nature. In this study, rose containing anthocyanin was explored as a source of yellowish–pink natural colorant for wool dyeing using various solvents (aqueous, alkaline, acidic, and basified methanol). Dyeing of wool was performed by optimizing the following parameters: pH, temperature, time, and salt concentration. It was observed that aqueous extract with a pH of 3 employed at 80 °C for 35 min with the addition of 4 g/100 mL salt, acidic extract with a pH of 2 employed at 40 °C for 35 min with the addition of 2 g/100 mL salt, alkaline extract with a pH of 1 employed at 80 °C for 45 min with the addition of 3 g/100 mL salt, and methanolic extract with a pH of 2 employed at 80 °C for 45 min with the addition of 4 g/100 mL salt resulted in high tint (K/S) values. To improve the colorfastness properties, salts of iron (Fe+2), aluminum (Al+3), and tannic acid (Tn) were used as chemical mordant, whereas turmeric and pomegranate were used as biomordants. Iron (Fe+2) and pomegranate resulted in shades with good colorfastness characteristics. The plant extract and dyed fabrics were also evaluated against Gram-positive and Gram-negative bacteria Staphylococcus aureus and Escherichia coli, respectively, to observe their antibacterial potential. The results indicate that wool fabric dyed with naturally sourced rose petals can be used as valuable antibacterial fabric due to the presence of various bioactive compounds by dissipating the effect of allergy-causing synthetic dyed fabrics.
1. Introduction
Before the revival of natural dyeing, synthetic colorants were used effectively for coloration of fabrics [1]. It has been reported that several synthetic chemicals present in effluents emitted by textile industries are destroying our ecosystem [2] and cause global warming [3]. Most synthetic dyes and their products have been found to be carcinogenic and non-biodegradable and to spread various allergic diseases [4]. Previous studies reported that the use of some disperse and azo dyes cause acquit toxicity in term of various allergic diseases [5,6]. The discharge effluents of these dyes cause the death of essential nutrients, which affects the quality of fresh water, resulting in the shortage of fresh water available for agriculture and domestic purposes [7,8].
Green products not only play a vital role in health care worldwide but also improve the development and regulation of human culture [9]. Over the last few years, a revival of the use of green products as natural dyes has occurred in all fields of textile sector due to their biodegradability, sustainability, and eco-friendly nature, with no issues related to effluent management [10,11,12]. Many dye-bearing plants and their bioactive compounds have been used in medicinal systems to treat various diseases, such as diarrhea, malaria, and stomach ache [13]. Previous studies have shown that plant-based dyes produce desirable shades with excellent tint values [14,15], in addition to possessing biological characteristics such as antibacterial, antifungal [16], and antioxidant properties [17]. Apart from all of these benefits and advantages, some natural dyes have low color yields and poor colorfastness properties with non-reproducible shades [18,19]. To overcome such limitations and make the dyeing process more eco-friendly [20], different biomordants such as acacia, neem, turmeric, and pomegranate have been used [21]. The implication of biomordants is a patent practice to fix the colorant molecules onto fabrics, which makes the dyeing process more sustainable [22].
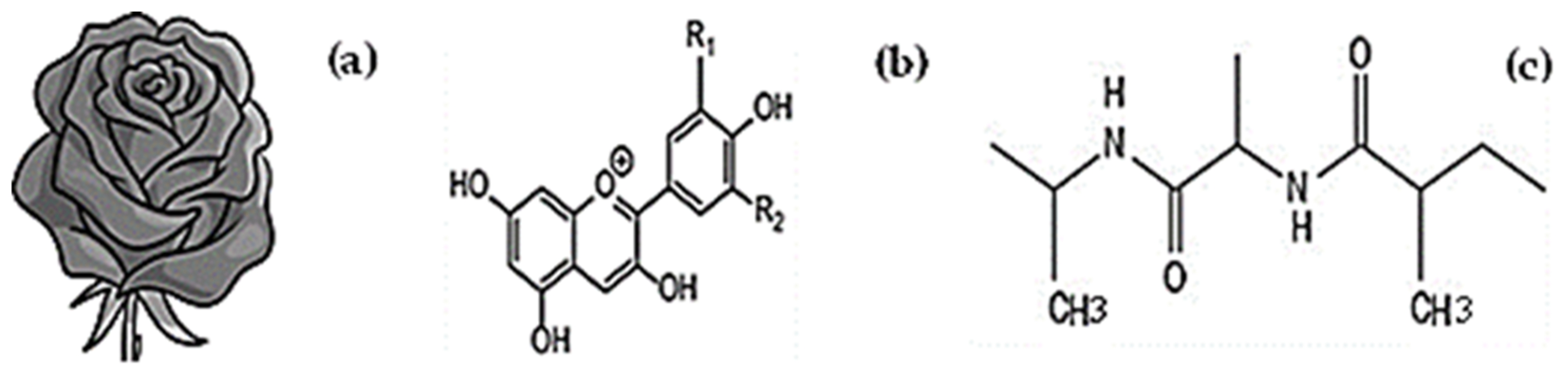
Therefore, the current study was designed to explore the coloring potential of the natural product Rosa Indica. Rose is a perennial plant of the genus Rosa within the family Rosacea. Rose petals have a variety of applications and are a source of natural red-to-yellow dye for wool dyeing. The presence of anthocyanin as a functional moiety in rose petal extract is responsible for producing color shades by binding with the functional groups of proteinic woolen fabric, as shown in Figure 1 [23]. Wool is a natural protein fiber that has a core–shell structure containing an inner protein core and several layers [24]. Its surface morphology makes dyeing and finishing woold easier than other natural fabrics [25,26].
Figure 1.
Structural representation of Rosa Indica flower (a), anthocyanin, (b) and a functional unit of wool fabric (c).
The extract of rose petals is also used in different fields such as medicine and food industries due to the presence of bioactive and flavoring compounds [27]. The extract of rose petals is also useful in cosmetic industries due to its fragrance and antiaging effect [28]. These bioactive compounds also have antimicrobial [17], antidiabetic [29], anti-inflammatory [30], antiviral [31], and antimutagenic characteristics [17]. The aim of the current study is to explore the coloring potential of Rosa Indica as a source of natural dye for wool dyeing by applying sustainable chemicals and biomordants as pre- and post-treatments in the dyeing process. Previous studies showed that rose flowers can be utilized for dyeing purposes. However, no extensive studies have been reported in literature to explore the dyeing potential of rose flowers.
This study was conducted using organic solvents with aqueous, alkaline, acidic, and basified methanolic medium for extraction of anthocyanin for wool dyeing. Our research group has also used biomordants to develop colorfast shades for wool fabric dyeing.
2. Materials and Methods
2.1. Collection and Preparation of Samples
The fresh red rose flower petals used in the current study were obtained from a local market in Faisalabad. The flower petals were dried under shade after careful washing with tap water in the Laboratory of Applied Chemistry, Government College University, Faisalabad, Pakistan. To obtain a powder form, the petals were dried, chopped, and ground into very finely sieved small and equal particles (20 mm). The wool fabric (GSM = 78 g/m2) used in this work was purchased from a local textile market and manufactured by Nadeem Wool Center Gujrat. The chemicals and solvents used for isolation, dyeing, and mordanting were of commercial scales. The whole experiment was conducted in triplicate.
2.2. Extraction Process
Natural dye was extracted by boiling the powder of rose petals (4 g) with 100 mL of medium, maintaining a solvent-to-powder ratio of 25:1. The crude mixture produced after isolation was filtrated and used for dyeing [12]. For proper isolation of coloring pigment, aqueous, alkaline, acidic, and basified methanolic media were used by dissolving an appropriate amount of salt and acid in aqueous and methanol solvent, respectively. A flow chart of the relevant sample preparation is presented in Figure S1.
2.3. Dyeing Process
After the extraction process, the pH of the filtrate was adjusted from 1 to 7, which was applied to wool fabric at 80 °C for the optimization of dyeing conditions. The wool fabric was also dyed for different durations (25, 35, 45, 55, and 65 min) at 80 °C. To optimize the effect of different salt concentration in the dye bath, salt was used at 1, 2, 3, 4, and 5 g/100 mL for 45 min at 80 °C to achieve extreme draining of colorant.
2.4. Mordanting Process for Shade Development
To increase the representative value of dyed fabrics, chemicals were used as pre and post mordants with 1, 3, 5, 7, and 9% concentrations of salts of Fe+2 (iron), Al+3 (aluminum), and tannic acid (TA) maintaining a mordant-to-fabric ratio of 25:1 (M:F) at 80 °C for 45 min [12]. Pomegranate and turmeric were used as biomordants at concentrations of 1, 3, 5, 7, and 9% to make the dyeing process eco-friendly and sustainable. These biomordant extracts were used at 80 °C for 45 min with a mordant-to-fabric ratio (M:F) of 25:1 to produce delightful shades on wool fabrics.
2.5. Shade Improvement Process
To enhanced sustainability, pomegranate and turmeric were used as biomordants to improve the shade and fastness properties of the dyed fabric. Extracts were prepared by boiling crude powder (1–10 g) of pomegranate (Punicagranatum) and turmeric (Curcuma longa) in distilled water at 80 °C for 60 min, followed by filtration using muslin cloth [32]. For comparative studies, 1%–9% (g/100 mL) concentrations of Fe+2, Al+3, and Tn salts were employed at 80 °C for 45 min.
2.6. Evaluation of Colorant Efficacy
Colorant efficacy (K/S, L*, a*, b*) was evaluated at the CIE Lab using a spectral flash spectrophotometer (SF-600). The woolen fabric dyed with rose petal extract was used to study the sustainable application of chemicals and biomordants according to ISO standard methods. Spectrophotometer SF600 (Data Color = USA) was used to measure the color strength, whereas for the colorfastness to washing using ISO 105-C03, colorfastness to crocking using ISO 105-X12, and colorfastness to light using ISO 105-B02 were evaluated and compared at grey scale.
2.7. Analysis of the Rose Extract
The antibacterial potential of aqueous, alkaline, acidic, and basified methanol rose extracts was assayed against bacterial strains Staphylococcus aureus (ATCC25923) and Escherichia coli (MG1655) (108 CFU/mL) using the agar well diffusion method. To this end, 8 mm wells were developed, to which 80 µL of rose extract was added [3]. To evaluate the antibacterial potential of the dyed fabric, 8 mm diameter fabric was placed on agar plates inoculated with the indicator strain and incubated for 24 h at 37 °C. Ciprofloxacin was used as a positive control. The inhibition zones were visualized and measured by a zone meter in millimeters around the wells and dyed fabric discs.
3. Results and Discussion
3.1. Spectroscopic Analysis of Dye Solution (FTIR)
As shown in Figure 2, the band sharpness in all pigment fractions (aqueous, alkaline, acidic, and basified methanol) with a peak spectrum observed at 3200–3400 cm–1 reveals the presence of a hydroxyl group in the extracted sample, as reported in previous studies [33]. The spectral peaks at 1647 and 1636.54 cm−1 show the characteristics of aromatic groups due to the presence of a benzenoid ring in their structure, which was also confirmed in a previous study. The resulting spectral peaks indicate the presence of anthocyanin in the rose extract as a natural colorant [34].

Figure 2.
FTIR analysis of aqueous (a), alkaline (b), acidic (c), and basified methanol (d) extract of rose.
3.2. Antibacterial Activity
Clear zones of inhibition (n = 3) of rose petal extracts and dyed fabric were measured against Escherichia coli and Staphylococcus aureus, respectively, as shown in Figure 3. The pigmented and bioactive compounds in these extracts inhibited the growth of bacteria by suppressing the synthesis of genetic material, disrupting cell wall synthesis, and changing the permeability of the cell membrane and the energy metabolism of the cell [35]. Ciprofloxacin was used as a positive control; results are shown in Table 1.
Figure 3.
Antibacterial activity in media of different rose extracts (a–d) and dyed fabrics (e–h) against Gram-negative bacterium Escherichia coli (a) and Gram-positive bacterium Staphylococcus aureus (b).
Table 1.
Antibacterial activity of different rose extracts and their dyed fabrics against Escherichia coli and Staphylococcus aureus.
3.3. Optimization of Dyeing Parameters
A variety of shades was obtained for wool dyeing by using different rose extract dye baths. The results show that under acidic conditions, the shades have excellent color strength (K/S) due to the presence of an OH group, which binds firmly with the functional site of woolen fabric [12]. This is due to the excellent binding site interaction of wool fabric caused by the protonation of the amide linkage with the anthocyanin of rose extract [36]. As the pH of the rose extract medium was increased, the interaction of amide linkage towards the anthocyanin decreased, resulting in reduced color strength (K/S) [37]. Results indicate that the aqueous extract with a pH of 7 achieved good results. After changing the medium, the alkaline extract has also showed acceptable results. The acidic and basified methanol extract produced brilliant shades on woolen fabric at a pH value of 2, as shown in Figure 4.
Figure 4.
Dyeing of wool with rose extract at various pH values.
An optimum level of temperature always adds value in the fixation of colorant onto woolen fabric to achieve desirable results [38]. Low temperatures cannot boost the kinetic energy of colorant molecules to rush towards wool molecules for fixation [39], whereas an excessive heating level may interrupt the equilibrium between the colorant and woolen fabric, which may cause weakened binding of colorant to the fabric [40]. The results show that the aqueous extract at 40 °C, as well as alkaline, acidic aqueous, and basified methanol dye baths used for the dyeing process at 80 °C, achieved good to excellent results on the woolen fabric, as shown in Figure 5.
Figure 5.
Dyeing of wool with rose extract at various temperatures.
The contact time between the colorant and the functional site of proteinic fabrics plays an operative role in achieving desired results. Heating for a minimum time cannot raise the kinetic energy of colorant to move towards the woolen molecules, whereas heating for a long time can cause degradation of the colorant particles into byproducts, which causes low tint strength (K/S) [41]. We found that the use of an aqueous dye bath (pH 7) at 40 °C for 35 min achieved good to excellent results. Varying the dyeing medium, the use of an alkaline dye bath (pH 1) at 80 °C for 35 min resulted in an excellent K/S value, whereas the use of an acidic dye bath (pH 2) at 80 °C for 35 min achieved good to excellent coloring properties. The used of a basified methanol dye bath (pH 2) at 80 °C for 45 min has achieved desirable results, as shown in Figure 6.
Figure 6.
Dyeing of wool with rose extract for different durations.
Exhausting compounds always play an energetic role in the dyeing process of wool using plant-based natural dyes [42]. The use of an optimum amount of salt in the dyeing process provides suitable conditions with a short range of attractive forces for binding of the functional site (-OH) of the extract with the functional point of the fabric [38]. The results reveal that improved fastness properties were obtained by using 4 g/100 mL in an aqueous dye bath. After changing the dye bath, the use of alkaline extract having 1 g/100 mL, and acidic extract having 2 g/100 mL has given good to excellent results, whereas the use of a basified methanol medium containing 5 g/100 mL of salt has resulted in good color strength (Figure 7). This is because an appropriate amount of salt allowed for proper fixation, whereas a low concentration of salt could not accelerate fixation and a high amount of salt caused overexhaustion and formed clusters of molecules, resulting in the improper fixation of colorant onto the woolen fabric.
Figure 7.
Dyeing of wool with rose extract using various amounts of salt.
3.4. Mordanting
The tint development process is essential for the natural coloring of fabrics. One of the limitations of natural colorants is their poor fixation onto fabric. The utilization of mordants such as Fe+2, Al+3, tannic acid, etc., can help to overcome these limitations by aiding in the proper fixation of colorant molecules onto fabric. Different biomordants have been employed to make the dyeing process more eco-friendly and sustainable and to provide better and excellent biological characteristics [21].
In this study, aluminum (Al3+), iron (F+2), tannic acid (Tn), turmeric (Tu), and pomegranate (Pg) as mordants were employed for shade improvement. The results presented in Figure 8 show a number of inconstant shades with different fastness properties and strength values produced in the wool-dyeing process. Using an aqueous dye bath, 5% aluminum (Al+3), iron (Fe+2), and 7% tannic acid (Tn) salts achieved desirable results as premordants, whereas the use of 3% turmeric (Tu) and 5% pomegranate (Pg) extracts as biomordants produced desirable shades and excellent results. In the post-treatment process, the use of 5% aluminum (Al3+), iron (F+2), and 1% tannic acid (Tn) salts achieved exceptional results. On the other hand, 1% turmeric (Tu) and 5% of pomegranate (Pg) extracts achieved outstanding results as biomordants on fabric using rose extract. The use of aluminum, tannic acid, and iron salts resulted in good color strength and fastness properties [1].
Figure 8.
Dyeing of pre-mordanting and post-mordanting wool using aqueous, acidic, alkaline, and basified methanol rose extracts respectively. Al+3, aluminum; Fe+2, iron; Tn, tannic acid; Tu; turmeric; Pg, pomegranate.
After changing the medium, the use of acidic extracts of 3% aluminum (Al+3), 9% iron (Fe+2), and 7% tannic acid (Tn) salts as chemical mordants resulted in good to excellent colorfastness properties, whereas the use of 3% turmeric (Tu) and 5% pomegranate (Pg) extracts as biomordants in the pretreatment process produced desirable shades on woolen fabric. In the post-treatment process, the use of 5% aluminum (Al+3), 7% iron (Fe+2) and 5% tannic acid (Tn) salts as chemical mordants resulted in good to excellent colorant values (K/S) on wool using an acidic medium of rose extract [43]. In another process, the use of 7% turmeric and pomegranate (Pg) extracts as biomordants on woolen fabric achieved outstanding results, as shown in Figure 8.
The results demonstrate that the use of 1% aluminum (Al+3), iron (Fe+2), and tannic acid (Tn) salts as post mordants achieved exceptional results onto the woolen fabric with alkaline rose extract medium. On the other hand, the use of 1% turmeric (Tu) and 9% pomegranate (Pg) extracts as biomordants achieved outstanding results on fabric using rose extract. The use of aluminum, tannic acid, and iron salts resulted in good color strength and fastness properties due to the presence of metal, the fabric functional site, and the functional group of rose extract, which played a considerable role in the formation of new shades with good fastness characteristics [44]. In the post-treatment process, the use of 3% aluminum (Al+3), iron (Fe+2), and 7% tannic acid (Tn) salts as chemical mordants resulted in excellent colorant values (K/S) on wool, whereas the use of 1% turmeric and 9% pomegranate (Pg) extracts as biomordants achieved outstanding results using an alkaline rose extract dye bath.
The use of basified methanol extract with 9% aluminum (Al+3), iron (Fe+2), and 1% tannic acid (Tn) salts as chemical mordants produced excellent shades on woolen fabric in the pretreatment process. The use of 1% turmeric (Tu) and pomegranate (Pg) extracts as biomordants resulted in desirable shades on fabric. In the post-treatment process, the sue of 5% of aluminum (Al+3), 3% iron (Fe+2), and 1% tannic acid (Tn) salts resulted in excellent colorant values (K/S) on wool, whereas the use of 1% turmeric and 3% pomegranate (Pg) extracts as biomordants achieved outstanding results, as shown in Figure 8.
The excellent observed fastness properties and coloration strength are due to the extra hydrogen binding that occurred between the functional site of the fabric and anthocyanin and their conjugation. This is because the metals interacted with the (-OH) of the colorant and amide linkage of the fabric, as shown in Figure S2.
During chemical mordanting, the covalent binding between metal, wool fabric, and anthocyanin causes the formation of a dye complex [8]. The reduction powers of metal play also play a role in providing great coloring characteristics and excellent tactile quality [39].
During biomordanting, the functional biomolecules also have functional sites (-OH), along with multiple conjugation sites in the form of a benzene ring. This additional conjugation, as well as the extra hydrogen bonding due to the presence of an (-OH) group in the coloring compound, as shown in Figure 9, caused strong binding between the functional sites of the dye molecules and the fabric, not only developing new shades with excellent coloring characteristics but also making the process more sustainable and eco-friendly, more natural, and greener [15]. The biomordants were not only used for shade improvement but also to enhance the antibacterial potential, as shown in Figure 3, owing to the presence of bioactive compounds in their extracts.
Figure 9.
Proposed interaction of colorant functional sites with woolen fabric functional sites in the presence of chemicals and biomordants. C.M, chemical mordant; B.M, biomordant; Al+3, aluminum; Fe+2, iron; Tn, tannic acid; Tu, turmeric; Pg, pomegranate.
Table S1 shows the overall results, which demonstrate that the biomordants provided excellent fastness characteristics and coloration strength properties, making the process more efficient and acceptable [14,45].
3.5. Fastness Properties
The rating values of the rose extract using aqueous, acidic, alkaline, and basified methanol media for the woolen fabric dyeing process are presented in in Table 2 (a and b). Using aluminum, tannic acid, and iron as chemical mordants and turmeric and pomegranate as biomordants, the fastness properties were improved due to the formation of metal complexes and extra hydrogen bonding in the dyeing process [9]. Upon exposure to heat, light, and detergent, the dyed fabric showed excellent fastness properties and resisted fading of the colorant due to the presence of metal dye complexes [40], hydrogen binding by mordant extracts, and the benzenoid ring of anthocyanin as well as of bio-mordants, which make it colorfast, and sustainable [46].
Table 2.
(a) Fastness properties of wool dyed with (a) aqueous and acidic rose extracts & (b) alkaline and basified methanol rose extracts before and after mordanting.
Overall, the results show that the use of biomordants resulted in good to excellent colorfastness properties and excellent characteristics, making the mordanting and dyeing process more viable, eco-friendly, and sustainable using rose extract, which has been proven as a sustainable source of natural pigment for dyeing natural fabrics [47].
4. Conclusions
This study revealed the dyeing potential of Rosa Indica flower as an excellent source of natural dye for wool dyeing. The use of solvents and mordants under optimum conditions can produce desirable pink to green shades. Turmeric and pomegranate extracts can be used as biomordants not only to improve colorfastness properties and shade but also to make the dyeing process more eco-friendly and sustainable, owing to their lack of discharge emission. Dyes derived from plant extracts can be used as a cost-effective and commercially viable solution in various industries, such as the food, pharmaceutical, leather, and textile industries. Rosa Indica flowers are considered as a symbol of love, peace, and beauty of nature, and fabrics dyed with their extracts showed excellent antibacterial activity, making this an attractive for researchers. Therefore, we suggest rose petals as an excellent source of natural dyes that can be used to dye fabrics such as silk and cotton, owing of their excellent colorfastness characteristics. The results of this study have also been displayed in Table S1.
Supplementary Materials
The following supporting information can be downloaded at: https://www.mdpi.com/article/10.3390/coatings13030623/s1, Figure S1: The flow chart of sample preparation and dyeing process; Figure S2: The mechanism diagram of binding between anthocyanin and structural unit of wool fabric during dyeing process; Table S1: The outcome of current study.
Author Contributions
Conceptualization, F.-u.-R. and F.B.; methodology, F.I., A.F. and M.U.; formal analysis, S.A.; investigation, M.S.; writing—original draft preparation, M.U. and S.A.; writing—review and editing, N.H., M.S. and F.-u.-R.; supervision, M.S. and S.A. All authors have read and agreed to the published version of the manuscript.
Funding
The current study has been funded by Higher Education commission of Pakistan under its project programme of NRPU through project no. (NRPU PROJECT No. 9375/Punjab/NRPU/R&D/HEC/2017).
Institutional Review Board Statement
Not applicable.
Informed Consent Statement
Not applicable.
Data Availability Statement
Not applicable.
Conflicts of Interest
The authors declare no conflict of interest.
References
- Adeel, S.; Kiran, S.; Abbas, M.; Batool, F.; Hussaan, M.; Amin, N. Sustainable isolation of licorice (Glycyrrhiza glabra L.)-based yellow natural colorant for dyeing of bio-mordanted cotton. Environ. Sci. Pollut. Res. 2022, 29, 31270–31277. [Google Scholar] [CrossRef]
- Meng, X.; Scheidemantle, B.; Li, M.; Wang, Y.-y.; Zhao, X.; Toro-González, M.; Singh, P.; Pu, Y.; Wyman, C.E.; Ozcan, S. Synthesis, characterization, and utilization of a lignin-based adsorbent for effective removal of azo dye from aqueous solution. ACS Omega 2020, 5, 2865–2877. [Google Scholar] [CrossRef]
- Safapour, S.; Sadeghi-Kiakhani, M.; Eshaghloo-Galugahi, S. Extraction, dyeing, and antibacterial properties of crataegus elbursensis fruit natural dye on wool yarn. Fibers Polym. 2018, 19, 1428–1434. [Google Scholar] [CrossRef]
- Xu, X.; Gong, J.; Li, Z.; Li, Q.; Zhang, J.; Wang, L.; Huang, J. mordant free dyeing and functionalization of wool fabrics with biocolorants derived from apocynum venetum L. Bast. ACS Sustain. Chem. Eng. 2020, 8, 12686–12695. [Google Scholar] [CrossRef]
- Malinauskiene, L.; Zimerson, E.; Bruze, M.; Ryberg, K.; Isaksson, M. Are allergenic disperse dyes used for dyeing textiles? Cont. Derm. 2012, 67, 141–148. [Google Scholar] [CrossRef]
- Tiwari, A.; Joshi, M.; Salvi, N.; Gupta, D.; Gandhi, S.; Rajpoot, K.; Tekade, R.K. Toxicity of pharmaceutical azo dyes. In Pharmacokinetics and Toxicokinetic Considerations; Elsevier: Amsterdam, The Netherlands, 2022; pp. 569–603. [Google Scholar]
- Abou Oualid, H.; Abdellaoui, Y.; Laabd, M.; El Ouardi, M.; Brahmi, Y.; Iazza, M.; Abou Oualid, J. Eco-efficient green seaweed codium decorticatum biosorbent for textile dyes: Characterization, mechanism, recyclability, and RSM optimization. ACS Omega 2020, 5, 22192–22207. [Google Scholar] [CrossRef] [PubMed]
- Talebian, A.; Habibi, S.; Neshat, P. Green dyeing of weld on Corona discharge treated wool fabric. J. Text. Inst. 2021, 112, 144–151. [Google Scholar] [CrossRef]
- Adeel, S.; Fazal-ur-Rehman; Khosa, M.K.; Rajab, S.; Zia, K.M.; Zuber, M.; Batool, F. Eco-friendly isolation of colorant from arjun bark for dyeing of bio-mordanted cotton fabric: Short title: Dyeing of bio-mordanted cotton with arjun bark colorant. J. Nat. Fibers 2022, 19, 4684–4695. [Google Scholar] [CrossRef]
- Wang, W.-Y.; Chiou, J.-C.; Yip, J.; Yung, K.-F.; Kan, C.-W. Development of durable antibacterial textile fabrics for potential application in healthcare environment. Coatings 2020, 10, 520. [Google Scholar] [CrossRef]
- Xia, L.; Wang, A.; Wang, Y.; Zhang, C.; Wang, Y.; Zhou, S.; Fu, Z.; Zhao, H.; Ding, C.; Xu, W. Eco-friendly dyeing of raw cotton fibres in an ethanol–water mixture without scouring and bleaching pretreatments. Green Chem. 2021, 23, 796–807. [Google Scholar] [CrossRef]
- Adeel, S.; Salman, M.; Usama, M.; Fazal-ur-Rehman; Ahmad, T.; Amin, N. Sustainable Isolation and Application of Rose Petals Based Anthocyanin Natural Dye for Coloration of Bio-Mordanted Wool Fabric: Short title: Dyeing of Bio Mordanted Wool with Rose Petal Extract. J. Nat. Fibers 2022, 19, 6089–6103. [Google Scholar] [CrossRef]
- Khattab, T.A.; Abdelrahman, M.S.; Rehan, M. Textile dyeing industry: Environmental impacts and remediation. Environ. Sci. Pollut. Res. 2020, 27, 3803–3818. [Google Scholar] [CrossRef] [PubMed]
- Xia, L.; Wang, A.; Zhang, C.; Liu, Y.; Guo, H.; Ding, C.; Wang, Y.; Xu, W. Environmentally friendly dyeing of cotton in an ethanol–water mixture with excellent exhaustion. Green Chem. 2018, 20, 4473–4483. [Google Scholar] [CrossRef]
- Hosseinnezhad, M.; Gharanjig, K.; Jafari, R.; Imani, H.; Razani, N. Cleaner colorant extraction and environmentally wool dyeing using oak as eco-friendly mordant. Environ. Sci. Pollut. Res 2021, 28, 7249–7260. [Google Scholar] [CrossRef]
- Yadav, R.; Anubhav, M.P.; Sheikh, J. Antibacterial, UV protective and antioxidant linen obtained by natural dyeing with henna. Cellulose Chem. Technol. 2019, 53, 357–362. [Google Scholar] [CrossRef]
- Maleki, H.; Barani, H. Extraction and antibacterial activity of Pulicaria Gnaphalodes as a natural colorant: Characterization and application on wool fibers. Prog. Color. Color. Coat 2019, 12, 145–154. [Google Scholar]
- Wang, S.; Li, J.; Cao, Y.; Gu, J.; Wang, Y.; Chen, S. Non-leaching, rapid bactericidal and biocompatible polyester fabrics finished with benzophenone terminated n-halamine. Adv. Fiber Mater. 2022, 4, 119–128. [Google Scholar] [CrossRef]
- Rade, P.P.; Giram, P.S.; Shitole, A.A.; Sharma, N.; Garnaik, B. physicochemical and in vitro antibacterial evaluation of metronidazole loaded eudragit s-100 nanofibrous mats for the intestinal drug delivery. Adv. Fiber Mater. 2022, 4, 76–88. [Google Scholar] [CrossRef]
- Thakker, A.M.; Sun, D. Sustainable plant-based bioactive materials for functional printed textiles. J. Text. Inst. 2021, 112, 1324–1358. [Google Scholar] [CrossRef]
- Chakraborty, L.; Pandit, P.; Maulik, S.R. Acacia auriculiformis-A natural dye used for simultaneous coloration and functional finishing on textiles. J. Clean. Prod. 2020, 245, 118921. [Google Scholar] [CrossRef]
- Senapitakkul, V.; Vanitjinda, G.; Torgbo, S.; Pinmanee, P.; Nimchua, T.; Rungthaworn, P.; Sukatta, U.; Sukyai, P. Pretreatment of cellulose from sugarcane bagasse with xylanase for improving dyeability with natural dyes. Acs Omega 2020, 5, 28168–28177. [Google Scholar] [CrossRef] [PubMed]
- Haji, A. Natural dyeing of wool with henna and yarrow enhanced by plasma treatment and optimized with response surface methodology. J. Text. Inst. 2020, 111, 467–475. [Google Scholar] [CrossRef]
- Haji, A. Application of D-optimal design in the analysis and modelling of dyeing of plasma-treated wool with three natural dyes. Color. Technol. 2020, 136, 137–146. [Google Scholar] [CrossRef]
- Ozturk, E.; Cinperi, N.C.; Kitis, M. Green textile production: A chemical minimization and substitution study in a woolen fabric production. Environ. Sci. Pollut. Res. 2020, 27, 45358–45373. [Google Scholar] [CrossRef] [PubMed]
- Cui, L.; Yuan, J.; Wang, P.; Wang, X.; Fan, X.; Wang, Q. An ecofriendly phosphorylation of wool using Maillard reaction for improving cationic dye absorption. J. Clean. Prod. 2018, 178, 611–617. [Google Scholar] [CrossRef]
- Shim, S.H.; Kim, J.M.; Choi, C.Y.; Kim, C.Y.; Park, K.H. Ginkgo biloba extract and bilberry anthocyanins improve visual function in patients with normal tension glaucoma. J. Med. Food 2012, 15, 818–823. [Google Scholar] [CrossRef]
- Baena-Baldiris, D.; Montes-Robledo, A.; Baldiris-Avila, R. Franconibacter sp., 1MS: A new strain in decolorization and degradation of azo dyes ponceau s red and methyl orange. ACS Omega 2020, 5, 28146–28157. [Google Scholar] [CrossRef]
- Kwon, E.-K.; Lee, D.-Y.; Lee, H.; Kim, D.-O.; Baek, N.-I.; Kim, Y.-E.; Kim, H.-Y. Flavonoids from the buds of Rosa damascena inhibit the activity of 3-hydroxy-3-methylglutaryl-coenzyme a reductase and angiotensin I-converting enzyme. J. Agric. Food Chem. 2010, 58, 882–886. [Google Scholar] [CrossRef]
- Houston, D.M.; Bugert, J.; Denyer, S.P.; Heard, C.M. Anti-inflammatory activity of Punica granatum L.(Pomegranate) rind extracts applied topically to ex vivo skin. Eur. J. Pharm. Biopharm. 2017, 112, 30–37. [Google Scholar] [CrossRef] [PubMed]
- Bai, C.Z.; Feng, M.L.; Hao, X.L.; Zhao, Z.J.; Li, Y.Y.; Wang, Z.H. Anti-tumoral effects of a trypsin inhibitor derived from buckwheat in vitro and in vivo. Mol. Med. Rep. 2015, 12, 1777–1782. [Google Scholar] [CrossRef]
- Adeel, S.; Kiran, S.; Shahid, M.; Habib, S.R.; Habib, N.; Hussaan, M. Ecofriendly application of coconut coir (Cocos nucifera) extract for silk dyeing. Environ. Sci. Pollut. Res. 2022, 29, 564–572. [Google Scholar] [CrossRef] [PubMed]
- Dulman, V.; Lisa, G.; Bobu, E.; Asandei, D. Adsorption of certain textile dyes onto chitosan. Spectroscopic and thermal analysis. Cellul. Chem. Technol. 2020, 54, 149–158. [Google Scholar] [CrossRef]
- Wizi, J.; Wang, L.; Hou, X.; Tao, Y.; Ma, B.; Yang, Y. Ultrasound-microwave assisted extraction of natural colorants from sorghum husk with different solvents. Ind. Crops Prod. 2018, 120, 203–213. [Google Scholar] [CrossRef]
- Cisowska, A.; Wojnicz, D.; Hendrich, A.B. anthocyanins as antimicrobial agents of natural plant origin. Nat. Prod. Commun. 2011, 6, 1934578X1100600136. [Google Scholar] [CrossRef]
- Kamali Moghaddam, M.; Ghanbari Adivi, M.; Tehrani Dehkordi, M. Effect of acids and different mordanting procedures on color characteristics of dyed wool fibers using eggplant peel (Solanum melongena L.). Prog. Color. Color. Coat 2019, 12, 219–230. [Google Scholar]
- Yusuf, M.; Mohammad, F.; Shabbir, M.; Khan, M.A. Eco-dyeing of wool with Rubia cordifolia root extract: Assessment of the effect of Acacia catechu as biomordant on color and fastness properties. Text. Cloth. Sustain. 2017, 2, 10. [Google Scholar] [CrossRef]
- Punyachareonnon, P.; Deerattrakul, V.; Luepong, K. The influence of pH, temperature and time on dyeing of silk fabric by black bean anthocyanin-rich extract as colorant. Prog. Color. Color. Coat 2021, 14, 179–186. [Google Scholar]
- Zhou, Q.; Wang, W.; Zhang, Y.; Hurren, C.J.; Li, Q. Analyzing the thermal and hygral behavior of wool and its impact on fabric dimensional stability for wool processing and garment manufacturing. Text. Res. J. 2020, 90, 2175–2183. [Google Scholar] [CrossRef]
- Ashrafi, N.; Gharanjig, K.; Hosseinnezhad, M.; Khajeh Mehrizi, M.; Imani, H.; Razani, N. Dyeing properties and color fabrics using natural dye and mordant. Prog. Color. Color. Coat 2018, 11, 79–83. [Google Scholar]
- Habib, N.; Akram, W.; Adeel, S.; Amin, N.; Hosseinnezhad, M.; Haq, E.u. Environmental-friendly extraction of Peepal (Ficus Religiosa) bark-based reddish brown tannin natural dye for silk coloration. Environ. Sci. Pollut. Res. 2022, 29, 35048–35060. [Google Scholar] [CrossRef]
- Haddar, W.; Ben Ticha, M.; Meksi, N.; Guesmi, A. Application of anthocyanins as natural dye extracted from Brassica oleracea L. var. capitata f. rubra: Dyeing studies of wool and silk fibres. Nat. Prod. Res. 2018, 32, 141–148. [Google Scholar] [CrossRef]
- Araújo, P.; Basílio, N.; Azevedo, J.; Fernandes, A.; Mateus, N.; Pina, F.; de Freitas, V.; Oliveira, J. Colour modulation of blue anthocyanin-derivatives. Lignosulfonates as a tool to improve the water solubility of natural blue dyes. Dyes Pigm. 2018, 153, 150–159. [Google Scholar] [CrossRef]
- Haji, A.; Payvandy, P. Application of ANN and ANFIS in prediction of color strength of plasma-treated wool yarns dyed with a natural colorant. Pigment. Resin Technol. 2020, 49, 171–180. [Google Scholar] [CrossRef]
- Hosseinnezhad, M.; Gharanjig, K.; Razani, N.; Imani, H. Green dyeing of wool fibers with madder: Study of combination of two biomordant on K/S and fastness. Fibers Polym. 2020, 21, 2036–2041. [Google Scholar] [CrossRef]
- dos Santos Silva, P.M.; Fiaschitello, T.R.; de Queiroz, R.S.; Freeman, H.S.; da Costa, S.A.; Leo, P.; Montemor, A.F.; da Costa, S.M. Natural dye from Croton urucurana Baill. bark: Extraction, physicochemical characterization, textile dyeing and color fastness properties. Dyes Pigm. 2020, 173, 107953. [Google Scholar] [CrossRef]
- Liyanapathiranage, A.; Peña, M.J.; Sharma, S.; Minko, S. Nanocellulose-based sustainable dyeing of cotton textiles with minimized water pollution. ACS Omega 2020, 5, 9196–9203. [Google Scholar] [CrossRef]
Disclaimer/Publisher’s Note: The statements, opinions and data contained in all publications are solely those of the individual author(s) and contributor(s) and not of MDPI and/or the editor(s). MDPI and/or the editor(s) disclaim responsibility for any injury to people or property resulting from any ideas, methods, instructions or products referred to in the content. |
© 2023 by the authors. Licensee MDPI, Basel, Switzerland. This article is an open access article distributed under the terms and conditions of the Creative Commons Attribution (CC BY) license (https://creativecommons.org/licenses/by/4.0/).









