Abstract
Aluminum alloys with low density and high specific strength have been widely used in marine engineering. Epoxy coatings, a simple and economical protection strategy, have been applied on alloy surfaces to prolong service life. However, a pure epoxy coating cannot provide long-term protection for metals in the marine environment. Hence, in this work, nano-alumina (nano-Al2O3) modified by polyethyleneimine (PEI) were added into epoxy coatings to enhance anticorrosion properties. Using Fourier transform infrared spectroscopy (FTIR), we found that the molecular chain of PEI was successfully grafted on the surface of nano-Al2O3, and the cross profile of coatings indicated that the modified nano-Al2O3 uniformly dispersed in the epoxy coating. Electrochemical impedance spectroscopy (EIS) results demonstrate that the coating resistance of the modified epoxy nanocomposite coating was 10 times higher than that of the pure epoxy coating after 3 days of immersion in 3.5 wt.% NaCl solution. Meanwhile, the surface morphologies and EDS-mapping of substrates after EIS testing show that the substrate coated with modified epoxy nanocomposite coating had the smallest amount of corrosion products. These results show that this modified epoxy nanocomposite coating has excellent anticorrosion performance.
1. Introduction
Aluminum and its alloys have been widely applied in various fields, such as aerospace, automobile, and ocean engineering, by virtue of their low density and high stiffness–weight ratios [1,2]. However, aluminum alloys are susceptible to aggressive media in most corrosive environments, especially in the marine environment, resulting in huge economic losses and safety problems [3,4]. Thus, various strategies have been adopted to retard the corrosion rate of alloys, including microarc oxidation [5,6], organic coatings [7,8], chemical conversion coating [9,10], and so on [11,12,13].
Organic coatings have been widely applied to prevent metal corrosion due to their simplicity and bargain price [14,15,16]. Among all organic coatings, epoxy coatings are the most widely used resin matrix owing to low shrinkage, strong adhesion to substrate, and superior chemical resistance [17,18,19]. However, because of the volatilization of solvents during curing, epoxy coatings inevitably have micropores and defects, thus allowing corrosive media to reach the substrate through these defects and cause corrosion [20,21]. Moreover, with increase in service time, corrosive media destroy the coating structure and form corrosion channels, thus causing corrosion of the substrate [22,23]. The anticorrosion property of the epoxy coating is easily degraded over the service lifespan due to these shortcomings. Hence, improving the protection performance of epoxy coatings to satisfy the requirement of severe corrosion fields is of great importance.
Fortunately, much research has reported that nanomaterials can enhance the anticorrosion performance of coatings [24,25,26]. The integrity of the coating is improved because the micropores within the coating are filled by the nanomaterials [7]. In addition, the diffusion of corrosion media is hindered by the addition of nanomaterials, delaying the arrival of corrosion ions to the substrate [27]. Nano alumina (nano-Al2O3) has been widely used in the coating protection field because of its superior hardness, chemical stability, low price, and excellent corrosion resistance [28,29,30]. However, nano-Al2O3 has hydrophilic surfaces decorated with hydroxyl groups, and the nanoparticles can easily adhere to each other through hydrogen bonding, leading to irregular agglomerations. Additionally, high surface energy is another reason for the agglomeration of nano-Al2O3. The agglomeration of nano-Al2O3 and the disadvantage of poor compatibility with coatings limit the application of nano-Al2O3 in coatings. Therefore, in order to obtain a nanocomposite coating with uniform nanofiller distribution, it is urgent to solve the agglomeration phenomenon of nanomaterials.
Poly-ethyleneimine (PEI) is a kind of typical Lewis base with abundant amine groups and high water solubility [31]. The special structure of this branched-chain polymer could prevent the agglomeration of nanomaterial [32]. Furthermore, the amine groups of PEI molecules can physically interact with the hydroxyl groups of nano-Al2O3 via hydrogen bonding action. The surface of the nano-Al2O3 was grafted with reactive functional groups so that they could chemically bind to the epoxy groups of the resin molecules. The interactions make the dispersion more stable, facilitating the formation of homogeneous nanocomposite. Finally, as a surface modifying agent for nano-Al2O3 in the epoxy–amine system, PEI has the advantage of improving the curing potential of epoxy nanocomposite coatings [15].
Hence, in this work, nano-Al2O3 was first functionalized with PEI and then used to prepare an Al2O3–based composite epoxy coating to solve the agglomeration phenomenon of nanomaterials. Subsequently, the anticorrosion properties of the epoxy nanocomposite coating and the corresponding anticorrosion mechanisms were investigated at length. The as-prepared epoxy nanocomposite coating exhibited favorable corrosion resistance and has broad prospects in corrosion protection.
2. Materials and Methods
2.1. Materials
Epoxy resin (H228A) and matched curing agent (H228B) were purchased from Shanghai Hanzhong Chemical Co., Ltd., Shanghai, China. Nano alumina (nano-Al2O3), sodium hydroxide (NaOH), N,N-Dimethylformamide (DMF) and ethylene imine polymer (PEI) were provided by Aladdin, Shanghai, China. All adopted chemicals and solvents were used without further purification.
2.2. Pretreatment of Substrate
We used 6082 aluminum alloy plates with a specification of 20 mm × 20 mm × 5 mm as the substrates. The plates were first polished with sandpapers of 400 #, 600 #, 800 #, and 1000 # to remove the surface oxidation layer. After that, the plates were sonicated in ethyl alcohol absolute three times to remove any impurities.
2.3. Functionalization of Nano-Al2O3
The functionalization of nano-Al2O3 was prepared by using the following procedure. Firstly, the nano-Al2O3 was gradually added into 5 mol/L NaOH under magnetic stirring for 24 h at 25 °C. Then, the nano-Al2O3/NaOH solution was washed using deionized water in the centrifugal machine, followed by the nano-Al2O3 being dried in the vacuum freeze-drier to obtain hydroxylated nano-Al2O3. After that, 5 g hydroxylated nano-Al2O3 was added into a mixture of 5 g PEI and 5 g DMF, and the mixture was magnetically stirred for 6 h at 60 °C. Subsequently, the final mixture was washed with ethyl alcohol absolute and then dried in the vacuum freeze-drier to obtain PEI functionalized nano-Al2O3, which was defined as PEI-Al2O3.
2.4. Preparation of Composite Coatings
The composite coatings were prepared through the following steps. Firstly, 0.45 g PEI-Al2O3 were ultrasonically dispersed in 12 g deionized water for 30 min to obtain a homogeneous suspension. Subsequently, 5 g epoxy resin and 10 g curing agents were added into the suspension. The suspension was mechanically stirred at the speed of 2000 rpm for 10 min to obtain a homogeneous slurry. The air bubbles of slurry were immediately removed using a vacuum oven at room temperature. After that, the slurry was painted on the plates using the spray method, and then the samples were cured at room temperature for 48 h and defined as PEI-Al2O3/EP coating. For comparison, pure epoxy coating (EP) and Al2O3/EP coating were also prepared by using the same method.
2.5. Characterization
The morphology of nano-Al2O3 was obtained using a transmission electron microscope (TEM, JEM-2100 F, JEOL, Tokyo, Japan). The surface functional groups of nano-Al2O3 and PEI-Al2O3 were analyzed via Fourier transform infrared spectroscopy (FTIR, Nicolet iN10, Thermo Fisher Scientific, Waltham, MA, USA). The fracture surface micromorphology of the coatings was observed via scanning electron microscope (SEM, JSM-7800F, JEOL, Tokyo, Japan). The thickness and adhesive strength of the coatings were measured using a coating thickness measurer and pull-off adhesion tester (DK-500, Deka Precision Measuring Instrument, Shenzhen, China), respectively.
The electrochemical corrosion behavior of the coatings was characterized using a electrochemical work station (VersaSTAT 3F, AMETEK, CA, USA) and the electrolyte was 3.5 wt.% NaCl solution. The corrosion test was performed with a traditional three-electrode system, in which the platinum electrode was as the counter electrode and a saturated calomel electrode and coated samples acted as the reference electrode and working electrode, respectively. Electrochemical impedance spectroscopy (EIS) analysis was conducted in the frequency range of 105 Hz~10−2 Hz with a sinusoidal voltage signal amplitude of 10 mV. The impedance spectra results were analyzed using Zview software (version 2). The polarization tests were implemented at a scan rate of 1 mV/s and ±250 mV with respect to the open circuit potential (OCP).
3. Results and Discussion
3.1. FTIR Spectra of PEI and Nanofillers
The morphology and microstructure of nano-Al2O3 were studied via TEM as shown in Figure 1a. It is clear that the nano-Al2O3 formed spherical nanoparticles with a diameter of about 20 nm. The FTIR spectra of PEI, nano-Al2O3, and PEI-Al2O3 are shown in Figure 1b. For nano-Al2O3, the peak located at 3447 cm−1 was due to the presence of -OH on the surface. The absorption bands at about 500~900 cm−1 were attributed to the vibration of Al-O groups [33]. The spectrum of PEI-Al2O3 exhibited some new peaks compared with nano-Al2O3. The peaks at 2952 and 2845 cm−1 were assigned to the vibration of C-H, and the peak at 1455 cm−1 was assigned to the stretching vibration of C-N. These new peaks confirm that Al2O3 nanofillers were successfully modified with PEI.
Figure 1.
(a) TEM micrographs of nano−Al2O3 and (b) FTIR spectra of nano−Al2O3, PEI and PEI−Al2O3.
3.2. The Thickness and Adhesion of the As-Prepared Coatings
The thicknesses of the coatings are shown in Table 1, and the thicknesses of the coatings were similar at different locations, indicating that thickness was evenly distributed. Moreover, the thicknesses of the EP, Al2O3/EP, and PEI-Al2O3/EP coating were 129.3, 123.3, and 128.3 μm, respectively, implying that the preparation of the coatings had good repeatability.
Table 1.
Thickness of all as-prepared coatings.
Figure 2 shows the adhesion strength and digital photographs of the coatings. The pull-off strengths of the EP, Al2O3/EP, and PEI-Al2O3/EP coating were 11.78, 11.98, and 12.44 MPa, respectively. This result indicates that all coatings had excellent adhesion to the substrate, which is crucial for the practical application of coatings.
Figure 2.
Morphology images of coatings after pull-off test: (a) EP coating, (b) Al2O3/EP coating, and (c) PEI−Al2O3/EP coating.
3.3. The Cross-Sectional Morphology of As-Prepared Coatings
Figure 3 exhibits SEM images of the cross-sections of the EP, Al2O3/EP, and PEI-Al2O3/EP coatings. The pure EP coating exhibited a smooth fracture surface while some micropores were observed within the coating, which were due to the volatilization of solvent during curing. The morphologies of the cross-sections of the Al2O3/EP and PEI-Al2O3/EP coating became rough as shown in Figure 3b,c. Additionally, nano-Al2O3 was detected in the rough area via EDS analysis. For the Al2O3/EP coating, severe aggregation of Al2O3 was observed in the coating. However, for the PEI-Al2O3/EP coating, nano-Al2O3 was evenly distributed within the coating compared to the Al2O3/EP coating.
Figure 3.
Fracture surface morphologies of coatings: (a) EP coating, (b) Al2O3/EP coating, and (c) PEI−Al2O3/EP coating. EDS point of: (d) d in (b) and (e) e in (c).
3.4. Electrochemical Corrosion Behavior
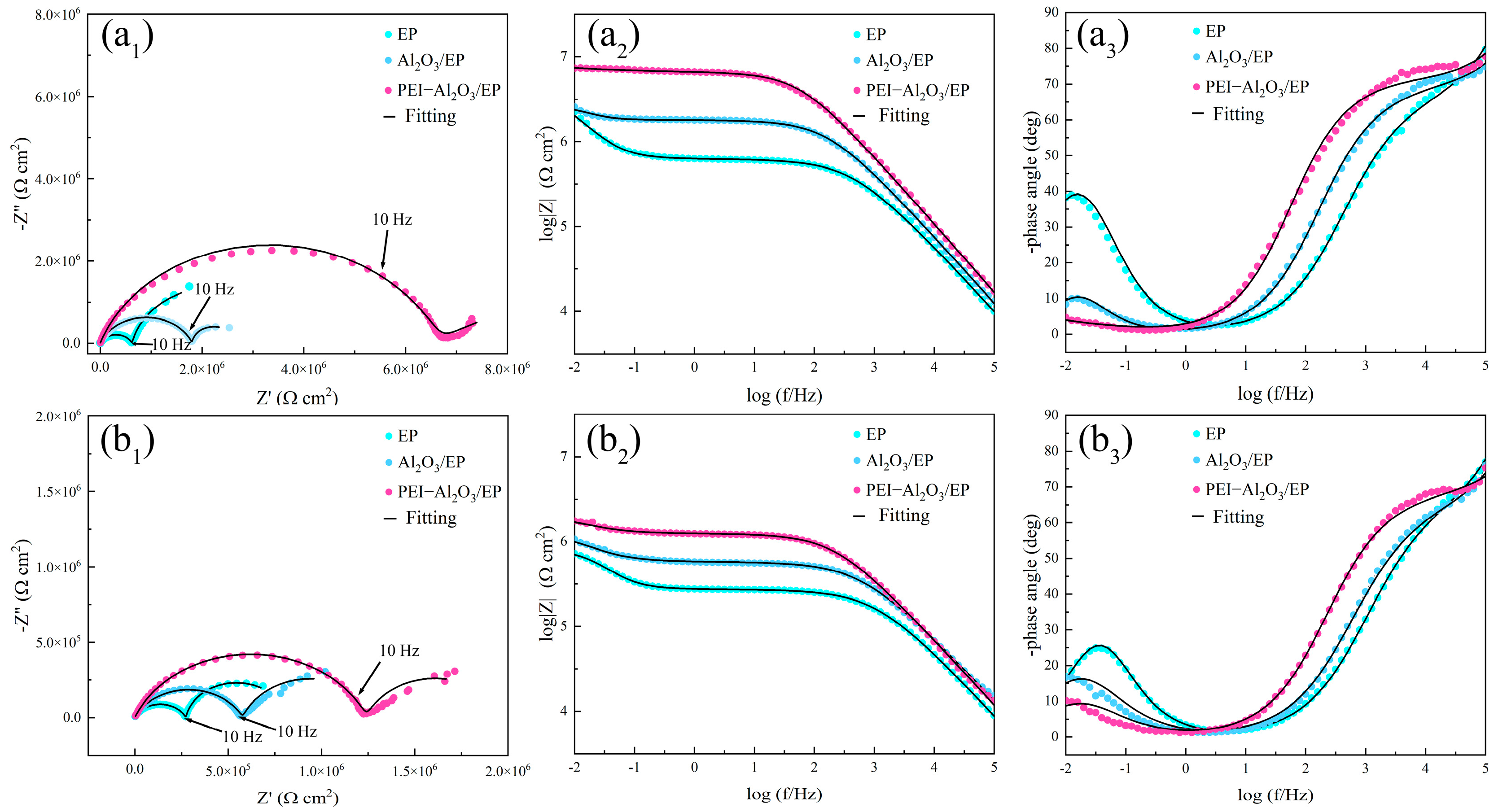
The corrosion behaviors of the as-prepared coatings were investigated via EIS measurement. Figure 4 shows the Nyquist and Bode plots of the coatings. With the increase in immersion time, the capacitance arc radii of all coatings in the Nyquist plots shrunk, indicating that the anticorrosion performances of all coatings gradually decreased as a result of the intrusion of corrosive media. Notably, PEI-Al2O3/EP exhibited a larger capacitive arc than that of EP and the Al2O3/EP coating during the entire immersion process, demonstrating that the PEI-Al2O3/EP coating could better protect the metal substrate. A higher lowest-frequency impedance modulus in Bode plots (|Z|f=0.01 Hz) usually indicates a better anticorrosion performance [34]. With the addition of nano-Al2O3, the |Z|f=0.01 Hz values of the Al2O3/EP and PEI-Al2O3/EP coatings were higher than that of the pure EP coating. The |Z|f=0.01 Hz value of the PEI-Al2O3/EP coating stayed the highest among all coatings during immersion. In addition, its |Z|f=0.01 Hz value still stayed the highest (1.69 × 106 Ω·cm2) even after 20 days of immersion, which was about two times larger than that of pure EP. These results indicate that the PEI-Al2O3/EP coating can better protect metal substrate from corrosive media.
Figure 4.
EIS results of all coatings after different immersion times: (a1–a3) 3 days and (b1–b3) 20 days.
To quantitatively analyze the corrosion resistance of the as-prepared coatings, the EIS results were further fitted with an equivalent electric circuit as shown in Figure 5a. In the equivalent electrical circuits, Rs, Rc, Qc, Rct, and Qdl represent solution resistance, coating resistance, coating capacitance, charge-transfer resistance, and double-layer capacitance, respectively. Generally speaking, a coating with a higher coating resistance (Rc) value means a preferable corrosion resistance [35]. Figure 5b shows the variation in Rc values. During immersion, the Rc values of all coatings exhibited a tendency to reduce, indicating that the coatings were losing their barrier effects gradually. Al2O3/EP and PEI-Al2O3/EP both exhibited larger Rc values than the EP coating at the time of immersion, owing to the barrier property of nano-Al2O3. After immersing for 3 days, the Rc value of the PEI-Al2O3/EP coating was 6.61 × 106 Ω·cm2, which is about 4 times and 10 times higher than those of the Al2O3/EP coating and EP coating, respectively. The above analysis indicates that the barrier property of the composite coating was obviously improved after adding PEI-Al2O3.
Figure 5.
(a) Electrical equivalent circuit used for fitting the EIS results and (b) the Rc values of coatings after 3 days and 20 days of immersion in 3.5 wt.% NaCl solution.
3.5. Potentiodynamic Polarization Test
The anticorrosion properties of the as-prepared coatings were further analyzed using a potentiodynamic polarization test. The potentiodynamic polarization curves of all coatings immersed in 3.5 wt.% NaCl solution for 12 h are shown in Figure 6. The corrosion potentials (Ecorr) and corrosion current densities (icorr) are shown in Figure 7. Typically, a more positive Ecorr and a smaller icorr in the polarization curve indicate a lower corrosion tendency and a lower corrosion rate, respectively [36]. The Ecorr of the PEI-Al2O3/EP coating (−0.579 V) was higher than that of the Al2O3/EP coating (−0.628 V) and the EP coating (−0.740 V). With the addition of nanofillers, the icorr of the Al2O3/EP and PEI-Al2O3/EP coatings both decreased. Moreover, the icorr of the PEI-Al2O3/EP coating (5.388 × 10−9 A·cm2) was lower than that of the Al2O3/EP coating (2.8195 × 10−8 A·cm2), indicating that a composite coating with homodisperse nano-Al2O3 exhibits better corrosion resistance.
Figure 6.
Tafel curves of samples after 12 h of immersion in 3.5 wt.% NaCl solution.
Figure 7.
The Ecorr and icorr of all coatings after being immersed in 3.5 wt.% NaCl solution for 12 h.
3.6. Corrosion Products Analysis
The corrosion morphologies and corrosion products on coated substrates after 30 days of immersion were further investigated. Figure 8 shows the corrosion morphologies and corresponding EDS results, and the weight ratios of Al and O elements at different coating–substrate interfaces are shown in Figure 9. There were abundant corrosion products on EP-coated substrate, and the oxygen content was the highest (60.56 wt.%) compared with other samples, indicating that the EP coating had the worst corrosion resistance. For Al2O3/EP coating, the corrosion products decreased compared with the EP coating, and the oxygen content was 38.86 wt.%, implying that nano-Al2O3 could improve the anticorrosion performance of the coating by prolonging the diffusion path of corrosive media. Notably, compared to the other substrates, the surface of the PEI-Al2O3/EP substrate had the fewest corrosion products, and the trace of polishing could still be clearly observed. Moreover, the oxygen content of the PEI-Al2O3/EP substrate was 3.26 wt.%. These results suggest that the PEI-Al2O3/EP coating had the best protective effect. In addition, the corrosion products at the PEI-Al2O3/EP coating–substrate interface were further investigated via XRD as shown in Figure 10. The XRD results show that the corrosion products at the PEI-Al2O3/EP coating–substrate interface mainly consisted of Al2O3, Al(OH)3, and AlCl3.
Figure 8.
Surface morphology and element mapping of different coated substrates after immersion: (a) EP coating, (b) Al2O3/EP coating, and (c) PEI−Al2O3/EP coating.
Figure 9.
The weight ratio of Al and O in the sample surface after 20 days of immersion in 3.5 wt.% NaCl solution.
Figure 10.
XRD pattern of corrosion products: (a) full figure and (b) local magnification figure.
3.7. Anticorrosion Mechanism
The anticorrosion mechanisms of the coatings are exhibited in Figure 11. The organic coating acts as an important protective layer that can protect the substrate from aggressive media. However, for the pure EP coating, there were a considerable amount of micropores within the coating, and corrosive media (H2O, O2, Cl−) could penetrate into the coating quickly through these micropores. For the Al2O3/EP coating and the PEI-Al2O3/EP coating, the nano-Al2O3 could fill the defects in the coating and create tortuous diffusion paths, thus reducing the diffusion rate of electrolytes. However, for the Al2O3/EP coating, the agglomeration of nano-Al2O3 restricted the enhancement of its anticorrosion properties. PEI-Al2O3 with good dispersion could maximize the diffusion paths of the aggressive media within the coating. Therefore, the PEI-Al2O3/EP coating has the better anticorrosion properties.
Figure 11.
Schematic diagram of anticorrosion mechanism.
4. Conclusions
In summary, Al2O3 nanofillers were successfully modified with ethylene imine polymer, and an PEI-Al2O3/EP coating was successfully fabricated. Its corrosion resistance and the corresponding mechanism were investigated in detail. The major conclusions can be drawn as follows.
- (a)
- The PEI-Al2O3 nanoparticles have excellent dispersive properties in the coating;
- (b)
- The coating resistance of the PEI-Al2O3/EP coating (6.61 × 106 Ω·cm2) was 10 times larger than that of the EP coating because nano-Al2O3 could fill the defects within the coating and slow the diffusion rate of corrosion media;
- (c)
- The surface of the PEI-Al2O3/EP substrate had the fewest corrosion products and lowest oxygen content (3.26 wt.%) compared to EP and the Al2O3/EP coating, indicating PEI-Al2O3/EP has the best protective effect.
Author Contributions
Conceptualization, S.S. and X.F.; methodology, C.H. (Cheng Hua), M.Z. and Y.Z.; software, X.L., S.S. and Y.H.; validation, X.L., S.S. and Y.H.; formal analysis, X.L. and S.S.; investigation, C.H. (Cheng Hua), M.Z. and Y.H.; resources, X.L. and X.F.; data curation, X.L. and C.H. (Can He); writing-original draft preparation, X.L., C.H. (Can He) and S.S.; writing-review and editing, X.L., C.H. (Cheng Hua), X.F., S.S. and M.C.; visualization, C.H. (Cheng Hua), M.Z. and Y.Z.; supervision, X.F.; project administration, X.F.; funding acquisition, X.F. All authors have read and agreed to the published version of the manuscript.
Funding
This research was carried out with the financial support provided by the National Natural Science Foundation of China (No. 52075458 and No. U2141211) and the Sichuan Science and Technology Program (No. 2021JDRC0094).
Institutional Review Board Statement
Not applicable.
Informed Consent Statement
Not applicable.
Data Availability Statement
Not applicable.
Acknowledgments
The authors gratefully acknowledge ceshigo (www.ceshigo.com, accessed on 31 December 2022) for providing testing services and the Analytical and Testing Center of Southwest Jiaotong University for supporting the SEM measurements.
Conflicts of Interest
The authors declare no conflict of interest.
References
- Zhang, B.B.; Xu, W.C.; Zhu, Q.J.; Li, Y.T.; Hou, B.R. Ultrafast One Step Construction of Non-Fluorinated Superhydrophobic Aluminum Surfaces with Remarkable Improvement of Corrosion Resistance and Anti-contamination. J. Colloid Interface Sci. 2018, 532, 201–209. [Google Scholar] [CrossRef]
- Koli, D.K.; Agnihotri, G.; Purohit, R. Advanced Aluminium Matrix Composites: The Critical Need of Automotive and Aerospace Engineering Fields. Mater. Today Proc. 2015, 2, 3032–3041. [Google Scholar] [CrossRef]
- Canepa, E.; Stifanese, R.; Merotto, L.; Traverso, P. Corrosion Behaviour of Aluminium Alloys in Deep-sea Environment: A Review and the KM3NeT Test Results. Mar. Struct. 2018, 59, 271–284. [Google Scholar] [CrossRef]
- Yan, H.; Cai, M.; Li, W.; Fan, X.Q.; Zhu, M.H. Amino-functionalized Ti3C2T with Anti-corrosive/Wear Function for Waterborne Epoxy Coating. J. Mater. Sci. Technol. 2018, 54, 144–159. [Google Scholar] [CrossRef]
- Song, S.J.; Yan, H.; Cai, M.; Huang, Y.; Fan, X.Q.; Cui, X.J.; Zhu, M.H. Superhydrophobic Composite Coating for Reliable Corrosion Protection of Mg Alloy. Mater. Design 2022, 215, 110433. [Google Scholar] [CrossRef]
- Cui, X.J.; Lin, X.Z.; Liu, C.H.; Yang, R.S.; Zheng, X.W.; Gong, M. Fabrication and Corrosion Resistance of A Hydrophobic Micro-Arc Oxidation Coating on AZ31 Mg Alloy. Corros. Sci. 2015, 90, 402–412. [Google Scholar] [CrossRef]
- Song, S.J.; Yan, H.; Cai, M.; Huang, Y.; Fan, X.Q.; Zhu, M.H. Multilayer Structural Epoxy Composite Coating towards Long-Term Corrosion/Wear Protection. Carbon 2021, 183, 42–52. [Google Scholar] [CrossRef]
- Cai, M.; Yan, H.; Li, Y.T.; Li, W.; Li, H.; Fan, X.Q.; Zhu, M.H. Ti3C2Tx/PANI Composites with Tunable Conductivity towards Anticorrosion Application. Chem. Eng. J. 2021, 410, 128310. [Google Scholar] [CrossRef]
- Wang, C.; Jiang, F.; Wang, F.H. The Characterization and Corrosion Resistance of Cerium Chemical Conversion Coatings for 304 Stainless Steel. Corros. Sci. 2004, 46, 75–89. [Google Scholar] [CrossRef]
- Duan, G.Q.; Yang, L.X.; Liao, S.J.; Zhang, C.Y.; Lu, X.P.; Yang, Y.E.; Zhang, B.; Wei, Y.; Zhang, T.; Yu, B.X.; et al. Designing for the Chemical Conversion Coating with High Corrosion Resistance and Low Electrical Contact Resistance on AZ91D Magnesium Alloy. Corros. Sci. 2018, 135, 197–206. [Google Scholar] [CrossRef]
- Montemor, M.F. Functional and Smart Coatings for Corrosion Protection: A Review of Recent Advances. Surf. Coat. Technol. 2014, 258, 17–37. [Google Scholar] [CrossRef]
- Pezzato, L.; Lorenzetti, L.; Tonelli, L.; Bragaggia, G.; Dabalà, M.; Martini, C.; Brunelli, K. Effect of SiC and borosilicate glass particles on the corrosion and tribological behavior of AZ91D magnesium alloy after PEO process. Surf. Coat. Technol. 2021, 428, 127901. [Google Scholar] [CrossRef]
- Agarwala, R.C.; Agarwala, V. Electroless alloy/composite coatings: A review. Sadhana 2003, 28, 475–493. [Google Scholar] [CrossRef]
- Ramesh, K.; Nor, N.A.M.; Ramesh, S.; Vengadaesvaran, B.; Arof, A.K. Studies on Electrochemical Properties and FTIR analysis of Epoxy Polyester Hybrid Coating System. Int. J. Electrochem. Sci. 2013, 8, 8422–8432. [Google Scholar]
- Ghiyasi, S.; Sari, M.G.; Shabanian, M.; Hajibeygi, M.; Zarrintaj, P.; Rallini, M.; Torre, L.; Puglia, D.; Vahabi, H.; Jouyandeh, M.; et al. Hyperbranched Poly(ethyleneimine) Physically Attached to Silica Nanoparticles to Facilitate Curing of Epoxy Nanocomposite Coatings. Prog. Org. Coat. 2018, 120, 100–109. [Google Scholar] [CrossRef]
- Farag, A.A. Applications of Nanomaterials in Corrosion Protection Coatings and Inhibitors. Corros. Rev. 2020, 38, 67–86. [Google Scholar] [CrossRef]
- Christy, A.; Purohit, R.; Rana, R.S.; Singh, S.K.; Rana, S. Development and Analysis of Epoxy/nano SiO2 Polymer Matrix Composite Fabricated by Ultrasonic Vibration Assisted Processing. Mater. Today Proc. 2017, 4, 2748–2754. [Google Scholar] [CrossRef]
- Ghasemi-Kahrizsangi, A.; Neshati, J.; Shariatpanahi, H.; Akbarinezhad, E. Improving the UV Degradation Resistance of Epoxy Coatings Using Modified Carbon Black Nanoparticles. Prog. Org. Coat. 2015, 85, 199–207. [Google Scholar] [CrossRef]
- Yu, Z.X.; Di, H.H.; Ma, Y.; Lv, L.; Pan, Y.; Zhang, C.L.; He, Y. Fabrication of Graphene Oxide-alumina Hybrids to Reinforce the Anti-Corrosion Performance of Composite Epoxy Coatings. Appl. Surf. Sci. 2015, 351, 986–996. [Google Scholar] [CrossRef]
- Yan, H.; Zhang, L.; Li, H.; Fan, X.Q.; Zhu, M.H. Towards High-performance Additive of Ti3C2/graphene Hybrid with A Novel Wrapping Structure in Epoxy Coating. Carbon 2020, 157, 217–233. [Google Scholar] [CrossRef]
- Yan, H.; Li, W.; Li, H.; Fan, X.Q.; Zhu, M.H. Ti3C2 MXene Nanosheets toward High-Performance Corrosion Inhibitor for Epoxy Coating. Prog. Org. Coat. 2019, 135, 156–167. [Google Scholar] [CrossRef]
- Yu, J.P.; Yan, H.; Yang, M.S.; Ma, Y.T.; Fan, X.Q.; Zhu, M.H. Polyphenol-reduced Graphene Oxide toward High-Performance Corrosion Inhibitor. Surf. Topogr. Metrol. Prop. 2019, 7, 025010. [Google Scholar] [CrossRef]
- Deyab, M.A.; Awadallah, A.E. Advanced Anticorrosive Coatings Based on Epoxy/functionalized Multiwall Carbon Nanotubes Composites. Prog. Org. Coat. 2020, 139, 105423. [Google Scholar] [CrossRef]
- Farhan, A.M.; Kadhim, N.J.; Hasan, A.F.; Jaafer, H.I. Corrosion Protection Study for Carbon Steel 1045 in Saline Water Using Nanocomposite by Spin Coating as protective coating. Res. J. Pharm. Biol. Chem. 2018, 9, 34–48. [Google Scholar]
- Karthik, A.; Arunmetha, S.; Srither, S.R.; Manivasakan, P.; Rajendran, V. Nano Alumina-zirconia Blended Epoxy Polymeric Composites for Anticorrosive Applications. J. Sol-Gel Sci. Technol. 2015, 74, 460–471. [Google Scholar] [CrossRef]
- Ramezanzadeh, B.; Haeri, Z.; Ramezanzadeh, M. A Facile Route of Making Silica Nanoparticles-covered Graphene Oxide Nanohybrids (SiO2-GO); Fabrication of SiO2-GO/Epoxy Composite Coating with Superior Barrier and Corrosion Protection Performance. Chem. Eng. J. 2016, 303, 511–528. [Google Scholar] [CrossRef]
- Yan, H.; Cai, M.; Wang, J.C.; Zhang, L.; Li, H.; Li, W.; Fan, X.Q.; Zhu, M.H. Insight into Anticorrosion/Antiwear Behavior of Inorganic-organic Multilayer Protection System Composed of Nitriding Layer and Epoxy Coating with Ti3C2Tx MXene. Appl. Surf. Sci. 2021, 536, 147974. [Google Scholar] [CrossRef]
- Zhang, B.B.; Xu, W.C.; Zhu, Q.J.; Hou, B.R. Scalable, Fluorine Free and Hot Water Repelling Superhydrophobic and Superoleophobic Coating Based on Functionalized Al2O3 Nanoparticles. J. Mater. Sci. Technol. 2021, 66, 74–81. [Google Scholar] [CrossRef]
- Yu, J.H.; Huo, R.M.; Wu, C.; Wu, X.F.; Wang, G.L.; Jiang, P.K. Influence of Interface Structure on Dielectric Properties of Epoxy/Alumina Nanocomposites. Macromol. Res. 2012, 20, 816–826. [Google Scholar] [CrossRef]
- Dhoke, S.K.; Mangal Sinha, T.J.; Khanna, A.S. Effect of Nano-Al2O3 Particles on the Corrosion Behavior of Alkyd Based Waterborne Coatings. J. Coat. Technol. Res. 2008, 6, 353–368. [Google Scholar] [CrossRef]
- Cai, W.; Hong, N.N.; Feng, X.M.; Zeng, W.R.; Shi, Y.Q.; Zhang, Y.; Wang, B.B.; Hu, Y. A Facile Strategy to Simultaneously Exfoliate and Functionalize Boron Nitride Nanosheets via Lewis Acid-base Interaction. Chem. Eng. J. 2017, 330, 309–321. [Google Scholar] [CrossRef]
- Wu, Y.Q.; He, Y.; Zhou, T.G.; Chen, C.L.; Zhong, F.; Xia, Y.Q.; Xie, P.; Zhang, C. Synergistic Functionalization of h-BN by Mechanical Exfoliation and PEI Chemical Modification for Enhancing the Corrosion Resistance of Waterborne Epoxy Coating. Prog. Org. Coat. 2020, 142, 105541. [Google Scholar] [CrossRef]
- Zhang, L.; Li, Y.; Guo, H.; Zhang, H.H.; Zhang, N.; Hayat, T.; Sun, Y.B. Decontamination of U(VI) on Graphene Oxide/Al2O3 Composites Investigated by XRD, FT-IR and XPS Techniques. Environ. Pollut. 2019, 248, 332–338. [Google Scholar] [CrossRef] [PubMed]
- Fan, F.; Zhou, C.Y.; Wang, X.; Szpunar, J. Layer-by-Layer Assembly of a Self-healing Anticorrosion Coating on Magnesium Alloys. ACS Appl. Mater. Interfaces 2015, 7, 27271–27278. [Google Scholar] [CrossRef] [PubMed]
- Chen, C.; Qiu, S.H.; Cui, M.J.; Qin, S.L.; Yan, G.P.; Zhao, H.C.; Wang, L.P.; Xue, Q.J. Achieving High Performance Corrosion and Wear Resistant Epoxy Coatings via Incorporation of Noncovalent Functionalized Graphene. Carbon 2017, 114, 356–366. [Google Scholar] [CrossRef]
- Shi, Z.M.; Liu, M.; Atrens, A. Measurement of the Corrosion Rate of Magnesium Alloys Using Tafel Extrapolation. Corros. Sci. 2010, 52, 579–588. [Google Scholar] [CrossRef]
Disclaimer/Publisher’s Note: The statements, opinions and data contained in all publications are solely those of the individual author(s) and contributor(s) and not of MDPI and/or the editor(s). MDPI and/or the editor(s) disclaim responsibility for any injury to people or property resulting from any ideas, methods, instructions or products referred to in the content. |
© 2023 by the authors. Licensee MDPI, Basel, Switzerland. This article is an open access article distributed under the terms and conditions of the Creative Commons Attribution (CC BY) license (https://creativecommons.org/licenses/by/4.0/).










