Abstract
An analytical surface-potential-based drain current model for amorphous indium–gallium–zinc–oxide (a-InGaZnO) thin film transistors (TFTs) is proposed by introducing an effective charge density approach in this paper. This approach gives two initial approximate values of the effective state density and the effective thermal voltage by using the dominant state of the free charge density in total charge density, and then obtains a high-precision one-exponent equivalent transformation for three-exponent total charge density. Based on this approach, we have solved the problem that the physical meaning of the transition area in the regional method is not clear and a one-piece analytical surface potential solution to Poisson’s equation is successfully derived. Furthermore, the drain current is also explicitly derived from the charge sheet model and I-V characteristics of a-InGaZnO TFTs are reproduced from the above obtained model. Finally, accurate and effective surface-potential model and drain current model are obtained and verified by experimental data, respectively. Good verification results prove that the proposed model could become an accurate and suitable tool for being embedded into a circuit simulation.
1. Introduction
It is well known that amorphous indium–gallium–zinc–oxide (a-InGaZnO) thin film transistors (TFTs) have received much attention from researchers and industries because of its good electrical properties [1]. At present, a-InGaZnO TFTs are mainly used in sensors [2], memory [3], wearable devices [4] and liquid crystal display technology [5] due to its advantages of high mobility [6], good uniformity [7], low temperature fabrication [8] and so on. Especially in the display field, a-InGaZnO TFTs have the advantages of low cost [9] and compatibility [10] compared with a-Si TFT or a-Si: H TFT, which make them easier and more suitable for manufacturing liquid crystal displays and other devices. These devices are often used as the main tools for information exchange, which also enables them to be produced and applied on a large scale in society. However, as people’s demand for these products begins to increase, this requires researchers to establish more correct models to improve the utilization of a-InGaZnO TFTs. Hence, in order to improve the performance and reduce the cost of these products, it is necessary to have an analytical and accurate model to understand the electrostatic characteristics of a-InGaZnO TFTs.
Recently, there are many physics-based drain current models [11,12,13] proposed to predict the I-V characteristics of a-InGaZnO TFTs. In fact, surface-potential-based drain current model has become the industrial standard for a physics-based compact model. However, for a-InGaZnO TFTs, the surface-potential-based drain current models [14,15,16,17,18] have the difficulty of a trade-off between accuracy and efficiency for deriving an analytical surface potential solution to Poisson’s equation including three-exponent total charge density, i.e., the free charge density, the tail and deep trap state densities. Up to today, there are two types of approaches for deriving an analytical surface potential solution: regional approach [19,20,21,22,23,24] and effective charge density approach [25,26,27,28,29,30,31]. In fact, the regional approach has been widely used in the modeling of Polysilicon TFTs [19,20,21], MoS2 FETs [22], organic TFTs [23], a-InGaZnO TFTs [24], etc. It has even developed into an industrial standard method for modelling surface-potential-based compact model. However, the critical disadvantages of the regional approach are that the unclear physical meaning in the transition region decreases simulation accuracy, and multiple times computations of surface potential in the different regions reduce simulation efficiency. In other words, the regional approach acquires a trade-off between accuracy and efficiency in compact modeling, but the further improvement rooms are left for us. As an improvement of the regional approach, the effective charge density approach is more accurate and efficient. However, there are still some problems needed to be overcome for modelling a-InGaZnO TFTs compactly by using the effective charge density approach. Surface-potential-based Polysilicon TFTs’ compact models [25,26] are inappropriate for modelling a-InGaZnO TFTs directly. M. Bae’s model [27] is based on the effective charge density approach, which is still essentially the regional approach. J. Park et al. [28], T. Qin et al. [29] and Y. Hernández-Barrios et al. [30] ignored the effects from deep trap density on electrostatic characteristics of a-InGaZnO TFTs, which lead to the inaccuracy of the model directly and would have a great impact on circuit simulation. W. Deng et al. [31] proposed an analytical drain current model of a-InGaZnO TFTs including the deep trap density. Surface potential is solved from Poisson’s equation including free charge, tail trap and deep trap densities by utilizing the Lambert W function [32]. It is noted that the initial estimations of surface potential still use the regional approach and smooth function, which would lead to heavier computation requirements. Briefly, an accurate and effective surface-potential-based drain current model of a-InGaZnO TFTs is still urgently needed for circuit simulators.
In this paper, we present an analytical surface-potential-based drain current model for a-InGaZnO TFTs using the effective charge density approach. By giving two initial approximations of the effective state density and the effective thermal voltage, we have successfully transformed three exponent Poisson’s equation into one exponent transcend equation with using effective charge density approach. Then, we overcome the problem of the unclear physical meaning of the traditional region method in the transition region and derive an analytical one-piece surface potential solution to the transcend equation. In addition, the regional method, our surface potential model and numerical results are used to compare and successfully verify the high accuracy of our model. Based on surface potential, the drain current is derived according to the charge sheet model. Finally, we use numerical iteration results and experimental results to verify the a-InGaZnO TFTs’ model. Symbols and lines keep excellent consistency in all valid ranges, which means that a better trade-off between accuracy and efficiency in the proposed model is successfully obtained through using the effective charge density approach, and such a model is more suitable for being applied into circuit simulators.
2. Analytical One-Piece Surface Potential Solution
A cross-section schematic of bottom-gate a-InGaZnO TFTs is shown in Figure 1. Glass is used for substrate, a reverse-staggered metal gate is located in the bottom of the silicon dioxide layer [33], the a-InGaZnO thin film is prepared above silicon dioxide layer, and two symmetrical electrodes (source and drain) are situated on the top of a-InGaZnO thin film. Here, the thickness of the oxide layer is tox, and the thickness of a-InGaZnO thin film is tigzo.
Figure 1.
A cross-section schematic of bottom-gate a-InGaZnO TFTs.
Generally, the free charge density and the complete density of trap states including exponential tail states and deep states in the a-InGaZnO thin film directly affect the electrostatic characteristics of a-InGaZnO TFTs. In the case of non-degenerate, considering the gradual channel approximation and ignoring percolation conduction mechanism [34], a one-dimensional Poisson equation is listed as
where q is the charge of the electron, εigzo is the a-InGaZnO permittivity, Ntoi is the sum of charge density, φ is the electrostatic potential in the channel, Vch is the channel potential. In the right part of Equation (1), the free charge density is given by n0·exp[(φ − Vch)/VT]. Here, VT is the thermal voltage, which can be calculated by VT = kT/q, where k is the Boltzmann constant, T is the temperature. n0 = NC·exp[(Vfp − EC/q)/VT], where NC is the effective density of states in the conduction band edge EC, and Vfp is the quasi-Fermi potential. Furthermore, the tail state density of trap states is expressed as NT·exp[(φ − Vch)/(ET/q)] and the deep state density of trap states is given by ND·exp[(φ − Vch)/(ED/q)], respectively. Here, NT = gc1·[πkT/sin(πkT/ET)]·exp(−EC/ET) and ND = gc2·[πkT/sin(πkT/ED)]·exp(−EC/ED), where gc1 is the density of tail state at EC and ET is the inverse slope of tail state, and gc2 is the density of deep state at EC and ED is the inverse slope of deep state. The boundary conditions for Equation (1) are: (dφ/dx)x=tigzo = 0, φs = φ (0).
As we can see, deriving the electrostatic potential in Equation (1) is a big challenge because of the three exponential terms contained in it. However, we can give an equivalent transform of the three charge densities into one kind of effective charge density by introducing the effective charge density approach. In this way, it will be possible to solve the electrostatic potential in Equation (1). Hence, we can rewrite Equation (1) as follows.
where Neff represents the effective charge density, neff is the effective state density, Veff is the effective thermal voltage. Obviously, Neff should be equal to Ntoi for the same device model.
In fact, a-InGaZnO TFTs work usually in the above-threshold region. On this common condition, the free charge density of TFTs always occupies a dominant position in the total charge density, i.e., the free charge density is always larger than trap density in this dominant range. Therefore, the effective state density should be closer to the n0 to make the model more accurate. In addition, since n0 is much larger than NT and ND, we give neff an approximate value that meets the above requirement, i.e.,
Then, we can obtain the expression between neff and Veff based on potential according to Equations (1) and (2):
Using the Gauss law at the front interface for Equation (1), the relationship between the gate voltage and the surface potential is also obtained as
where Cox is the gate oxide capacitance per unit area, Vgs is the gate voltage, Vfb is the flat band voltage, φs is the surface potential. It is noted that Equation (5) also contains three complex exponential parts. In order to solve the surface potential φs, we assume that only the exponential part of the first term is considered on the right side of Equation (5). Therefore, Equation (5) is rewritten as
Considering VT is much less than φs and the term exp[(φs − Vch)/VT] >> 1, 1 can be ignored. Then, using Lambert W function to solve Equation (6), we obtain
In Equation (7), it shows the relationship between gate voltage and surface potential when free charge is dominant in the above-threshold region. This is completely consistent with the idea that neff is close to n0. Hence, φs0 can be taken as initial value to obtain the expression of Veff in Equation (4), yielding:
Now, using the Gauss law at the front interface again for Equation (2), we can get
Finally, the Lambert W function is used again to solve Equation (9) according to the obtained expressions of neff and Veff, the truly surface potential φs can be expressed as
Here, we use the Schroder series ω [35] to improve the accuracy of the surface potential solution, i.e.,
where y′, y″ and y(3) are the first, the second and the third derivatives of y versus φs, respectively.
3. Drain Current Model
According to the charge sheet model (CSM), the drain current can be expressed as the sum of drift current (Ids1) and diffusion current (Ids2). Therefore, we can get the expression of drain current based on surface potential as
where W is the channel width, L is the channel length, φss represents the solutions of φs at the source, corresponding to the case of Vch = 0, φsd represents the solutions of φs at the drain, corresponding to the case of Vch = Vds, respectively. Here, μeff is the effective mobility, which is generalized using a universal power law with appropriate values of μ0 and γ, Qi (φs) is the mobile charge density based on surface potential of the unit area in the channel. μeff using the empirical model and Qi (φs) using the Gauss law can be expressed as
where μ0 and γ are the fitting parameters of effective mobility, QT is the tail state trapped charge density per unit area, QD is the deep trapped charge density per unit area. QT and QD can be expressed by integral as follows.
Finally, we can get the analytical expression of drain current based on surface potential as
4. Model Verification and Discussion
In this section, we will gradually verify the analytical solution derived from the previous equation and the effective charge density approach. In addition, the necessary physical analysis and discussion of future experiments will also be given, as follows:
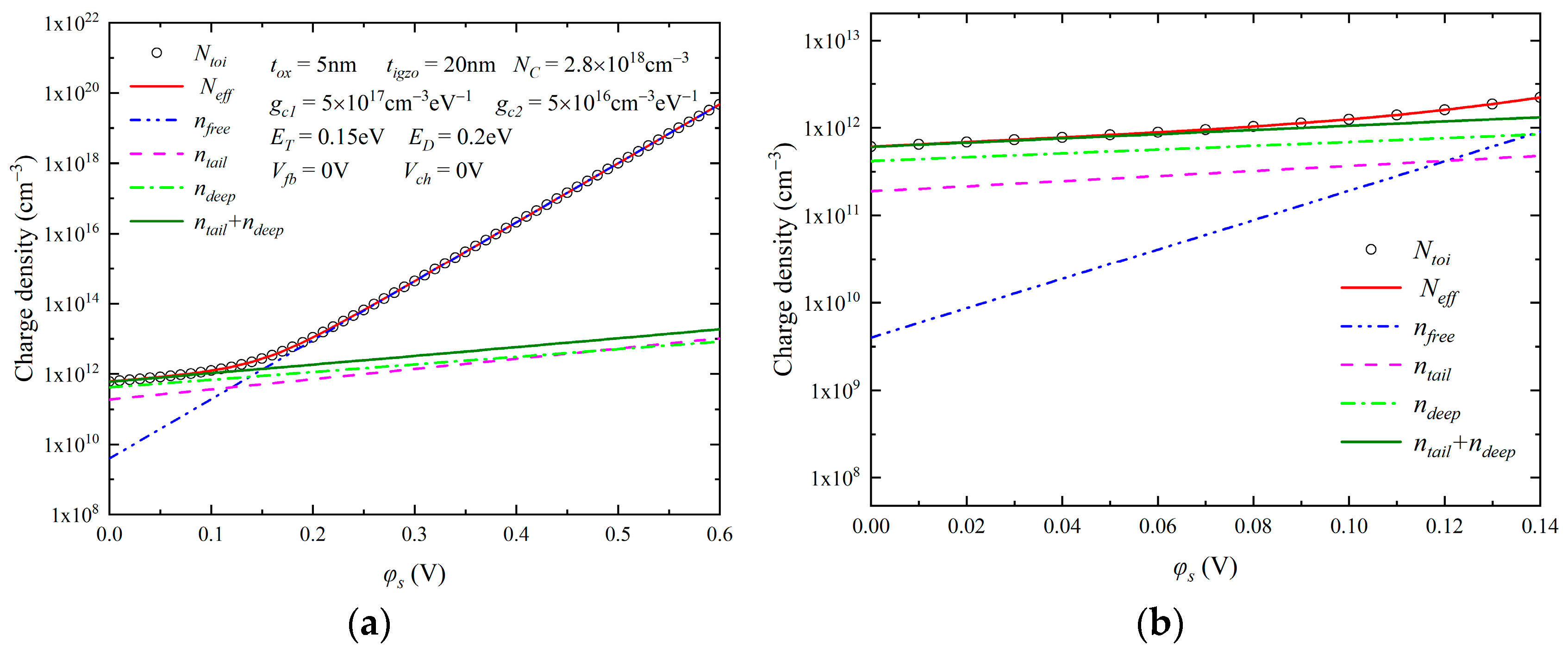
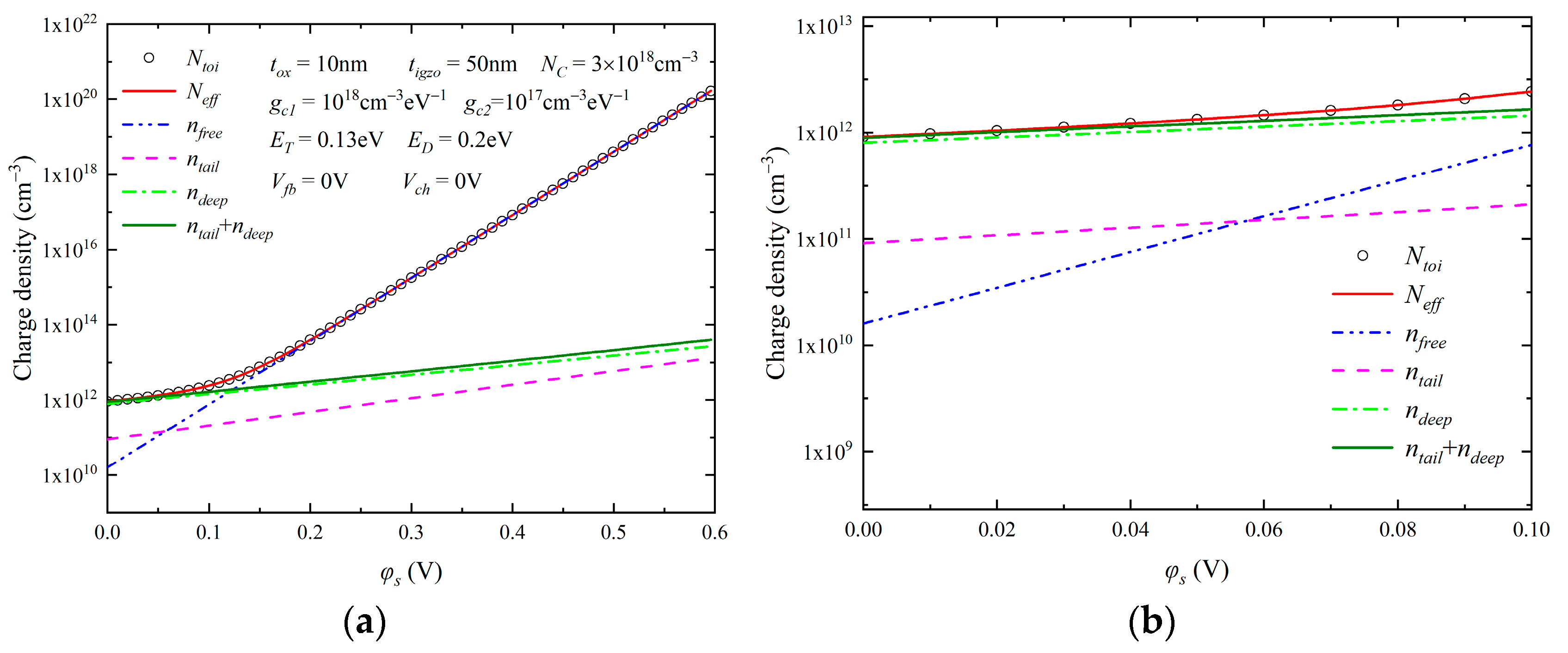
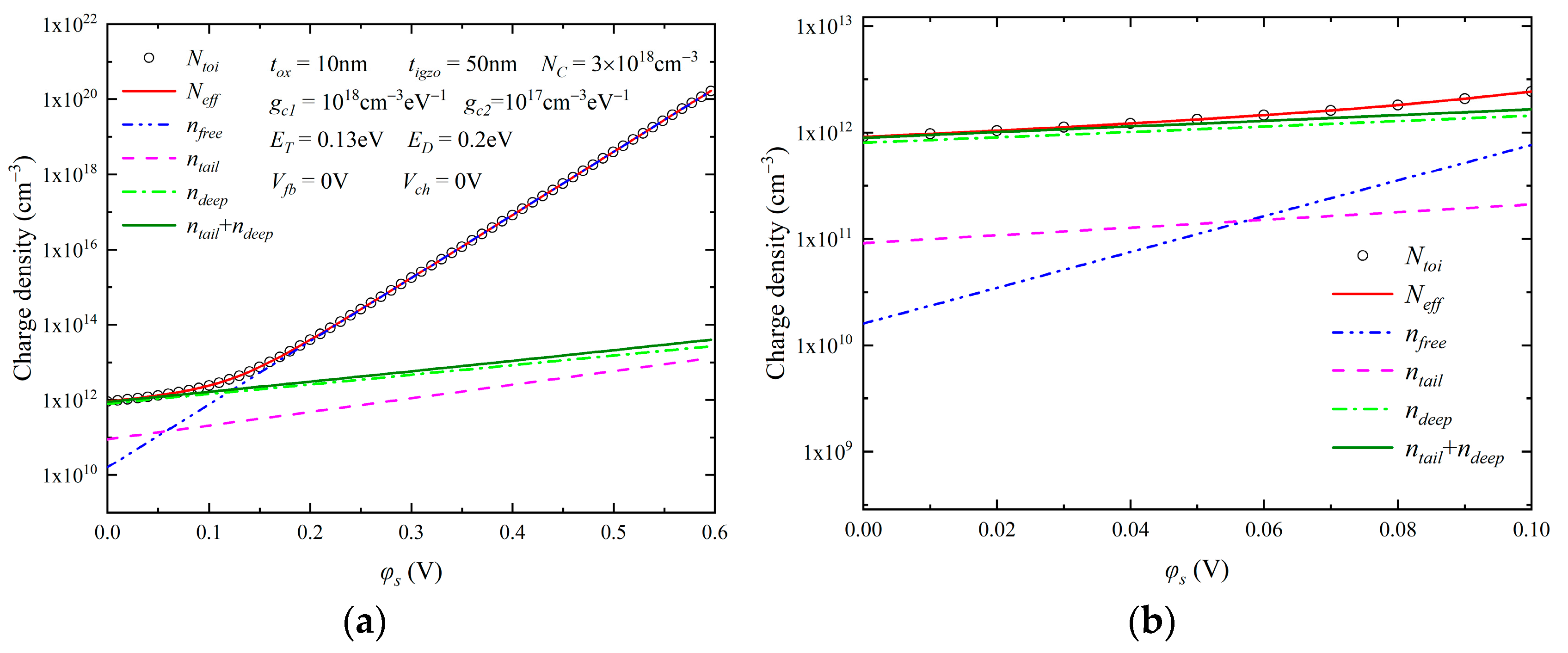
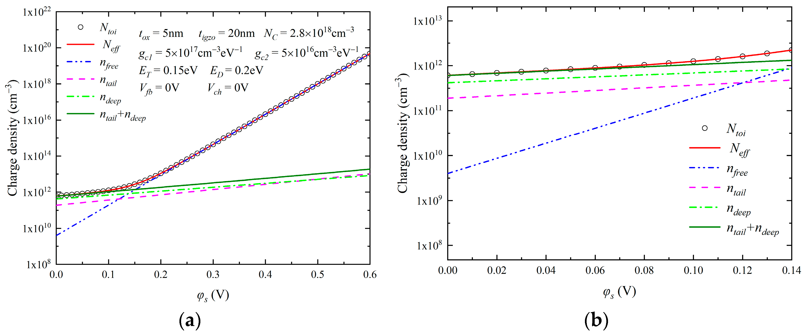
First of all, in order to verify the effective charge density approach, we compared the relationship between the surface potential and various charge densities, as shown in Figure 2 and Figure 3. According to Equation (3), we give an effective density of states (neff) to replace the sum of the three densities of states (the free charge density nfree, the tail state density ntail the deep state density ndeep) contained in Equation (2) so as to explore the relationship between the total charge density and the effective charge density through the set parameters. All the parameter values have been listed in the figures. In fact, in order to better discuss the physical meaning of the three densities of states (nfree, ntail, ndeep) and their respective effects on the total charge density (Ntoi), we also compared the relationship between the three density of states, the density of states in the subthreshold region (ndeep + ntail) and the surface potential. In Figure 2a, we can observe that the circular symbol corresponds to the red solid line one by one, which also means that the total charge density and the effective charge density (Neff) always maintain excellent consistency within the range of surface potential. In addition, the free charge density and the total charge density also maintain a good consistency in most of the range of the surface potential (about 0.15 V–0.6 V), which also conforms to the physical meaning of the effective state density proposed in Equation (3). In Figure 2b, the subthreshold region is amplified to further discuss the fitting effect and physical significance of different charge densities. We can observe that even in such a small range as the subthreshold region, the effective charge density remains in excellent agreement with the numerical results. Compared with the free charge density, the tail state density and the deep state density are closer to the numerical results. It is noteworthy that when φs is relatively small (subthreshold region), the density of deep states is dominant, which also has a great impact on the accuracy of modeling, as shown in Figure 3b. However, with the increase of ET, ndeep + ntail is more dominant, as shown in Figure 2b. In fact, in the actual device work, the sum of the tail state density and the deep state density is usually used as the trap state density and to dominate the electrical characteristics of the subthreshold region. This also shows the physical significance of different intervals of the model.
Figure 2.
(a) Different charge densities versus surface potential curves with ET = 0.15 eV, ED = 0.2 eV and (b) partial enlarged view from 0 V–0.14 V.
Figure 3.
(a) Different charge densities versus surface potential curves with ET = 0.13 eV, ED = 0.2 eV and (b) partial enlarged view from 0 V–1 V.
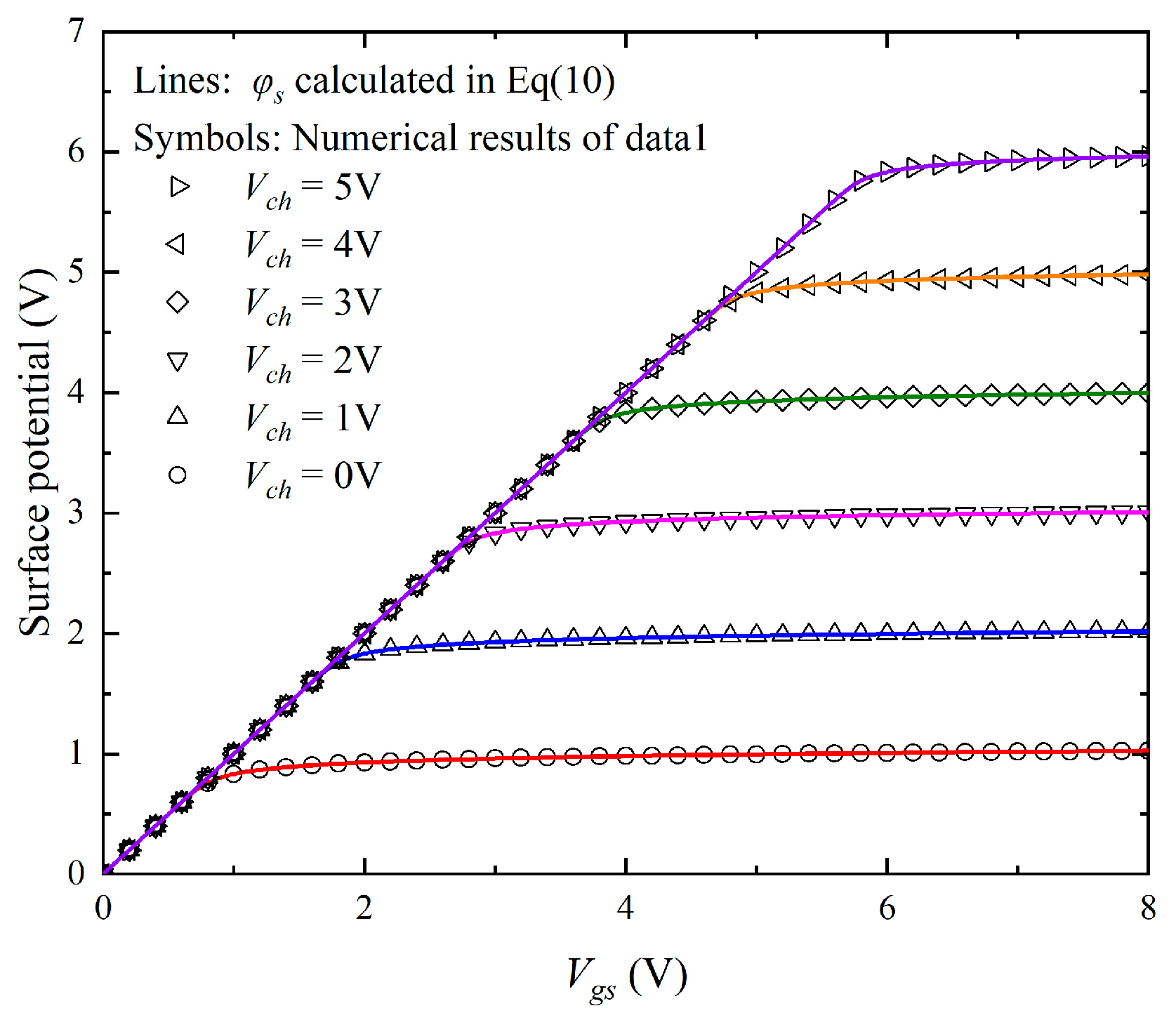
Subsequently, in order to verify the accuracy of the surface potential model, we use two groups of different experimental data (data1 and data2) to compare the proposed model, the regional approach with the numerical results of the surface potential φs, and give the corresponding absolute errors, as shown from Figure 4, Figure 5, Figure 6, Figure 7, Figure 8 and Figure 9. The parameter values set by these two sets of data are listed in Figure 4 and Figure 6. From these two figures, we can see that the state density and size of the verified model are different. In Figure 4, we can observe that the numerical results represented by the symbols and the results of our proposed model represented by the red solid line maintain excellent consistency in all ranges, while the results of the regional method represented by the blue solid line are significantly different after the gate voltage exceeds 1 V. In fact, the results obtained by the regional method are greater than the numerical results in most ranges. In addition, the absolute error corresponding to data1 is also calculated, as shown in Figure 5. It is obvious that the absolute error obtained by our surface potential model is kept at 10−7 in a small part of the range, and is far less than 10−7 in most of the range, while the absolute error obtained by the regional method is almost kept at 10−2. It is worth noting that we have enlarged the pairing error curve calculated in the subthreshold area in Figure 5. According to the enlarged error diagram, it is obvious that when the gate voltage is 0 V–0.2 V, the absolute error of our model remains at 10−7, and when the gate voltage exceeds 0.2 V, our absolute error drops sharply. However, the absolute error of the regional method in the subthreshold region is basically kept at 10−5. Even at the point with the smallest error (x = 0.35 V), the ordinate of our model calculated by the proposed approach is still smaller than that obtained by the regional method. In fact, when the gate voltage of our model exceeds 0.2 V, the absolute error is basically stable below 10−10, while the error of the regional method in the subthreshold region is almost kept at 10−5, and the absolute error in above the threshold region is kept at 10−2. This directly reflects the extremely high accuracy of our surface potential model. In fact, the error of our model results in all ranges is far lower than that of the regional method. In addition, the regional method often lacks sufficient physical meaning in the transition region, while the effective charge density approach is continuous in all regions, which also shows the advantages of the latter. Similarly, the process of data2 validation is shown in Figure 6 and Figure 7. The accuracy of our model results is much higher than that of the regional method, and the absolute error is at least four orders of magnitude lower than that of the regional method. In particular, the error of our model is also lower than that of the minimum error point (x = 0.27 V) calculated by the regional method. It is worth noting that Figure 5 and Figure 7 have the same trend. We can observe that when the gate voltage is relatively small, the absolute error of the proposed model has a sharp downward trend. This is because when the gate voltage increases, the free charge density begins to dominate, which is also consistent with the calculation method in the model. When the gate voltage increases, the error decreases rapidly, which makes our model closer to the actual analysis model. Figure 8 and Figure 9, respectively, show the surface potential φs of the model under different channel voltages Vch, which further illustrates the high accuracy of the proposed model.
Figure 4.
Comparisons of surface potential results between our model, regional approach and numerical results using data1.
Figure 5.
Absolute errors of surface potential results between our model, regional approach and numerical results using data1.
Figure 6.
Comparisons of surface potential results between our model, regional approach and numerical results using data2.
Figure 7.
Absolute errors of surface potential results between our model, regional approach and numerical results using data2.
Figure 8.
Comparisons of surface potential results between our model, regional approach and numerical results using data1 for different Vch.
Figure 9.
Comparisons of surface potential results between our model, regional approach and numerical results using data2 for different Vch.
Finally, we compared the experimental results in [36] with our drain current model, as shown in Figure 10 and Figure 11. In Figure 10, the extracted parameter values have been listed. Here, we verify the transfer characteristics of our model and experimental results when the drain source voltage is 1 V and 20 V, respectively. It can be observed that the symbols represented by the experimental results are consistent with the solid lines represented by our results. Similarly, in Figure 11, we also verified the output characteristics of the model under different gate voltages (0 V, 10 V, 20 V). In fact, the transfer and output characteristics of the model results are in good agreement with the experimental results, which better indicates that the model successfully predicts the I–V characteristics of a-InGaZnO TFT. The good prediction ability reflected by the model not only helps to understand the electrical characteristics, but also can further improve the performance and quality of the product. Therefore, the a-InGaZnO TFT model proposed in this paper is accurate and effective, and can be used for process optimization and circuit simulation of thin film transistors.
Figure 10.
Comparisons of transfer characteristics between our model results (curves) and experimental data [36].
Figure 11.
Comparisons of output characteristics between our model results (curves) and experimental data [36].
Future work is mainly divided into the following two points: The first one is the modeling mechanism in non-degenerate state. In fact, in the actual doping process, it is easy for the doping concentration to be too high which causes the model to be in a degenerate state. This means that the quasi-Fermi level will appear above the conduction band, which refers that the position of the quasi-Fermi level needs to be considered in the simulation process. In addition, the Boltzmann approximation can no longer be used in the calculation process. The equation derivation in the degenerate state must use the Fermi Dirac approximation, which will make the model more accurate and more complex. Therefore, it is a difficult problem to find a highly accurate and efficient analytical solution in the degenerate state. The second one is that the Lambert W function is still used as the analytical solution of the surface potential in this paper. In recent years, Lambert W function has received a lot of attention in numerical iteration due to its ability to transform exponential equations into analytical solutions. Even in modeling engineering, analytical solutions of surface potential and drain current are often expressed by Lambert W function. In fact, Lambert W function is not an elementary function, which may reduce efficiency and affect the accuracy of modeling. Therefore, reducing or no longer using Lambert W function is also an urgent problem to be solved in the process of modeling. The above two points will be overcome and realized in future work.
5. Conclusions
An analytical surface-potential-based drain current model of a-InGaZnO TFTs has been proposed in this paper. Firstly, the model uses two approximation values to derive a one-piece exponential equation and obtains an exact analytical solution of the surface potential by utilizing the effective charge density approach. Then, the problem of the unclear physical meaning of the regional method is solved by the proposed surface potential model, which is verified by comparing with the regional method. And the obtained absolute error curves prove the proposed model has high accuracy. In addition, the charge sheet model are also used to derive the drain current model according to the surface potential obtained above. Finally, the proposed drain current model is compared with the experimental data of a-InGaZnO TFTs. Excellent consistency between symbols and lines efficiently predict the electrical characteristics of the drain current model. As a result, such an accurate and effective model could become a good tool to produce the I-V characteristics of a-InGaZnO TFTs.
Author Contributions
Conceptualization, Z.S. and C.X.; methodology, C.X.; software, Z.S. and C.X.; validation, Z.S., S.W. and Y.H.; formal analysis, S.W.; investigation, Y.H.; resources, G.H.; data curation, C.X.; writing—original draft preparation, Z.S.; writing—review and editing, C.X.; visualization, G.H.; supervision, C.X.; project administration, C.X.; funding acquisition, C.X. All authors have read and agreed to the published version of the manuscript.
Funding
This research was funded in part by the Province Natural Science Foundation of Fujian under grant 2022J01293, in part by the Province Natural Science Foundation of Fujian under grant 2023J01111093, and in part by the Fundamental Research Funds for the Central Universities under Grant ZQN-809.
Institutional Review Board Statement
Not applicable.
Informed Consent Statement
Not applicable.
Data Availability Statement
Not applicable.
Conflicts of Interest
The authors declare no conflict of interest.
References
- Wu, H.C.; Kuo, N.S.; Chen, M.Y.; Chang, M.K.; Yang, Y.; Chin, A. Electrical Characteristics of Magnesium Doped a-IGZO RRAM: Chemical Vapor Deposition using Enhanced Atmospheric Pressure-Plasma. In Proceedings of the 2020 IEEE Eurasia Conference on IOT, Communication and Engineering (ECICE), Yunlin, Taiwan, 23–25 October 2020; pp. 121–124. [Google Scholar] [CrossRef]
- Ravipati, C.S.; Kandpal, K.A. ZnO Humidity Sensor integrated with a-IGZO TFT based Preamplifier. In Proceedings of the 2021 IEEE 18th India Council International Conference (INDICON), Guwahati, India, 19–21 December 2021; pp. 1–7. [Google Scholar] [CrossRef]
- Jeong, D.Y.; Billah, M.M.; Jang, J. Amorphous InGaZnO/Poly-Si Coplanar Heterojunction TFT for Memory Applications. IEEE Electron Device Lett. 2021, 42, 1172–1175. [Google Scholar] [CrossRef]
- Han, K.-L.; Lee, W.-B.; Kim, Y.-D.; Kim, J.-H.; Choi, B.-D.; Park, J.-S. Mechanical Durability of Flexible/Stretchable a-IGZO TFTs on PI Island for Wearable Electronic Application. ACS Appl. Electron. Mater. 2021, 3, 5037–5047. [Google Scholar] [CrossRef]
- Ma, Q.; Wang, H.; Zhou, L.; Fan, J.; Liao, C.; Guo, X.; Zhang, S. Robust Gate Driver on Array Based on Amorphous IGZO Thin-Film Transistor for Large Size High-Resolution Liquid Crystal Displays. IEEE J. Electron Devices Soc. 2019, 7, 717–721. [Google Scholar] [CrossRef]
- Yu, Y.; Lv, N.; Zhang, D.; Wei, Y.; Wang, M. High-Mobility Amorphous InGaZnO Thin-Film Transistors with Nitrogen Introduced via Low-Temperature Annealing. IEEE Electron Device Lett. 2021, 42, 1480–1483. [Google Scholar] [CrossRef]
- Samanta, S.; Chand, U.; Xu, S.; Han, K.; Wu, Y.; Wang, C.; Kumar, A.; Velluri, H.; Li, Y.; Fong, X.; et al. Low Subthreshold Swing and High Mobility Amorphous Indium–Gallium–Zinc-Oxide Thin-Film Transistor With Thin HfO2 Gate Dielectric and Excellent Uniformity. IEEE Electron Device Lett. 2020, 41, 856–859. [Google Scholar] [CrossRef]
- Kim, M.S.; Kim, H.T.; Yoo, H.; Choi, D.H.; Park, J.W.; Kim, T.S.; Lim, J.H.; Kim, H.J. Multifunctional Oxygen Scavenger Layer for High-Performance Oxide Thin-Film Transistors with Low-Temperature Processing. ACS Appl. Mater. Interfaces 2021, 13, 31816–31824. [Google Scholar] [CrossRef]
- Islam, M.; Saha, J.K.; Hasan, M.; Kim, J.; Bukke, R.N.; Ali, A.; Jang, J. Spray-Pyrolyzed High-k Zirconium-Aluminum-Oxide Dielectric for High Performance Metal-Oxide Thin-Film Transistors for Low Power Displays. Adv. Mater. Interfaces 2021, 8, 2100600. [Google Scholar] [CrossRef]
- Yoon, S.; Ko, S.; Seong, N.; Choi, K.; Shin, W.; Yoon, S. Low-Temperature Process Compatibility for the Oxide Thin Film Transistors Using In-Ga-Zn-O Active Channels Prepared by Atomic-Layer Deposition at 150 °C. In Proceedings of the 2019 26th International Workshop on Active-Matrix Flatpanel Displays and Devices (AM-FPD), Kyoto, Japan, 2–5 July 2019; pp. 1–3. [Google Scholar] [CrossRef]
- Agarwal, K.T.; Siskos, A.; De Roose, F.; Dehaene, W.; Myny, K.; Papadopoulos, N. A study on lower saturation voltage of dual-gate thin-film a-IGZO MOS transistors. In Proceedings of the 2021 IEEE International Conference on Flexible and Printable Sensors and Systems (FLEPS), Manchester, UK, 20–23 June 2021; pp. 1–4. [Google Scholar] [CrossRef]
- Muhea, E.W.; Gneiting, T.; Iñiguez, B. UMEM based 1/f noise model for amorphous ESL IGZO TFTs. In Proceedings of the 2019 Latin American Electron Devices Conference (LAEDC), Armenia, Colombia, 24–27 February 2019; pp. 1–4. [Google Scholar] [CrossRef]
- Moldovan, O.; Castro-Carranza, A.; Estrada, M.; Cerdeira, A.; Lime, F.; Iñiguez, B. A Complete Charge-Based Capacitance Model for IGZO TFTs. IEEE Electron. Device Lett. 2019, 40, 730–733. [Google Scholar] [CrossRef]
- Tsuji, H.; Nakata, M.; Sato, H.; Nakajima, Y.; Fujisaki, Y.; Takei, T.; Fujikake, H.; Yamamoto, T.; Shimidzu, N. Efficient Simulation Model for Amorphous In-Ga-Zn-O Thin-Film Transistors. J. Disp. Technol. 2014, 10, 101–106. [Google Scholar] [CrossRef]
- Qiang, L.; Yao, R. A New Definition of the Threshold Voltage for Amorphous InGaZnO Thin-Film Transistors. IEEE Trans. Electron Devices 2014, 61, 2394–2397. [Google Scholar] [CrossRef]
- Ghittorelli, M.; Torricelli, F.; Colalongo, L.; Kovács-Vajna, M.Z. Accurate Analytical Physical Modeling of Amorphous InGaZnO Thin-Film Transistors Accounting for Trapped and Free Charges. IEEE Trans. Electron Devices 2014, 61, 4105–4112. [Google Scholar] [CrossRef]
- Ghittorelli, M.; Kovács-Vajna, M.Z.; Torricelli, F. Physical-Based Analytical Model of Amorphous InGaZnO TFTs Including Deep, Tail, and Free States. IEEE Trans. Electron Devices 2017, 64, 4510–4517. [Google Scholar] [CrossRef]
- He, H.; Xiong, C.; Yin, J.; Wang, X.; Lin, X.; Zhang, S. Analytical Drain Current and Capacitance Model for Amorphous InGaZnO TFTs Considering Temperature Characteristics. IEEE Trans. Electron Devices 2020, 67, 3637–3644. [Google Scholar] [CrossRef]
- Huang, J.; Deng, W.; Zheng, X.; Jiang, X. A Compact Model for Undoped Symmetric Double-Gate Polysilicon Thin-Film Transistors. IEEE Trans. Electron Devices 2010, 57, 2607–2615. [Google Scholar] [CrossRef]
- Deng, W.; Huang, J. A Physics-Based Approximation for the Polysilicon Thin-Film Transistor Surface Potential. IEEE Electron Device Lett. 2011, 32, 647–649. [Google Scholar] [CrossRef]
- Yu, F.; Deng, W.; Huang, J.; Ma, X.; Chen, S. An Explicit Physics-Based I-V Model for Surrounding-Gate Polysilicon Transistors. IEEE Trans. Electron Devices 2016, 63, 1059–1065. [Google Scholar] [CrossRef]
- Zeng, J.; Deng, W.; Zhou, C.; Peng, J.; Huang, J. A Compact Model of MoS2 Field-Effect Transistors From Drift-Diffusion to Ballistic Carrier Transport Regimes. IEEE J. Electron Devices Soc. 2020, 8, 285–290. [Google Scholar] [CrossRef]
- Li, N.; Deng, W.; Wu, W.; Luo, Z.; Huang, J. A Mobility Model Considering Temperature and Contact Resistance in Organic Thin-Film Transistors. IEEE J. Electron Devices Soc. 2020, 8, 189–194. [Google Scholar] [CrossRef]
- Yu, F.; Ma, X.; Deng, W.; Liou, J.J.; Huang, J. A surface-potential-based drain current compact model for a-InGaZnO thin-film transistors in Non-Degenerate conduction regime. Solid-state Electron. 2017, 137, 38–43. [Google Scholar] [CrossRef]
- Yu, F.; Deng, W.; Huang, J.; Ma, X.; Liou, J.J. A Physics-Based Compact Model for Symmetrical Double-Gate Polysilicon Thin-Film Transistors. IEEE Trans. Electron Devices 2017, 64, 2221–2227. [Google Scholar] [CrossRef]
- Yu, F.; Xu, C.; Huang, G. A Surface-Potential-Based Drain Current Compact Model of Dynamic-Depletion Polysilicon Thin-Film Transistors. IEEE Trans. Electron Devices 2018, 65, 4875–4882. [Google Scholar] [CrossRef]
- Bae, M.; Kim, Y.; Kong, D.; Jeong, K.H.; Kim, W.; Kim, J.; Hur, I.; Kim, M.D.; Kim, H.D. Analytical Models for Drain Current and Gate Capacitance in Amorphous InGaZnO Thin-Film Transistors with Effective Carrier Density. IEEE Electron Device Lett. 2011, 32, 1546–1548. [Google Scholar] [CrossRef]
- Park, J.; Kim, Y.; Kim, S.; Bae, H.; Kim, H.D.; Kim, M.D. Surface-Potential-Based Analytic DC I–V Model with Effective Electron Density for a-IGZO TFTs Considering the Parasitic Resistance. IEEE Electron Device Lett. 2011, 32, 1540–1542. [Google Scholar] [CrossRef]
- Qin, T.; Liao, C.; Huang, S.; Yu, T.; Deng, L. Analytical drain current model for symmetric dual-gate amorphous indium gallium zinc oxide thin-film transistors. Jpn. J. Appl. Phys. 2017, 57, 14301. [Google Scholar] [CrossRef]
- Hernández-Barrios, Y.; Cerdeira, A.; Estrada, M.; Iñíguez, B. Analytical Current–Voltage Model for Double-Gate a-IGZO TFTs with Symmetric Structure for Above Threshold. IEEE Trans. Electron Devices 2020, 67, 1980–1986. [Google Scholar] [CrossRef]
- Deng, W.; Huang, J.; Ma, X.; Ning, T. An Explicit Surface-Potential-Based Model for Amorphous IGZO Thin-Film Transistors Including Both Tail and Deep States. IEEE Electron Device Lett. 2014, 35, 78–80. [Google Scholar] [CrossRef]
- Corless, R.M.; Gonnet, G.H.; Hare, D.E.G.; Jeffrey, D.J.; Knuth, D.E. On the LambertW function. Adv. Comput. Math. 1996, 5, 329–359. [Google Scholar] [CrossRef]
- Lee, S.; Park, J.H.; Jeon, K.; Kim, S.; Jeon, Y.; Kim, C.; Song, I.; Park, J.; Kim, S.W.; Park, Y.; et al. Modeling and characterization of metal-semiconductor-metal-based source-drain contacts in amorphous InGaZnO thin film transistors. Appl. Phys. Lett. 2010, 96, 113506. [Google Scholar] [CrossRef]
- Lee, S.; Ghaffarzadeh, K.; Nathan, A.; Robertson, J.; Jeon, S.; Kim, C.; Song, I.-H.; Chung, U.-I. Trap-limited and percolation conduction mechanisms in amorphous oxide semiconductor thin film transistors. Appl. Phys. Lett. 2011, 98, 203508. [Google Scholar] [CrossRef]
- Yu, B.; Lu, H.; Liu, M.; Taur, Y. Explicit Continuous Models for Double-Gate and Surrounding-Gate MOSFETs. IEEE Trans. Electron Devices. 2007, 54, 2715–2722. [Google Scholar] [CrossRef]
- Muhea, W.E.; Castillo, G.U.; Ordonez, H.C.; Gneiting, T.; Ghibaudo, G.; Iniguez, B. Parameter Extraction and Compact Modeling of 1/f Noise for Amorphous ESL IGZO TFTs. IEEE J. Electron Devices Soc. 2020, 8, 407–412. [Google Scholar] [CrossRef]
Disclaimer/Publisher’s Note: The statements, opinions and data contained in all publications are solely those of the individual author(s) and contributor(s) and not of MDPI and/or the editor(s). MDPI and/or the editor(s) disclaim responsibility for any injury to people or property resulting from any ideas, methods, instructions or products referred to in the content. |
© 2023 by the authors. Licensee MDPI, Basel, Switzerland. This article is an open access article distributed under the terms and conditions of the Creative Commons Attribution (CC BY) license (https://creativecommons.org/licenses/by/4.0/).










