Abstract
The ceramic samples fabricated by spark plasma sintering of powder mixtures based on silicon nitride (Si3N4) were investigated. The powder mixtures were made by wet chemical methods from commercial α-Si3N4 powder (the particle size <5 μm) and Y2O3-Al2O3 sintering additive (3% to 10% wt.). Sintering was carried out at the heating rate of 50 °C/min and the load of 70 MPa until the shrinkage end. The powder mixtures and ceramic samples were characterized by scanning electron microscopy and X-ray diffraction. The shrinkage of the powder mixtures during sintering was analyzed, and the activation energy of sintering was calculated according to the Young-Cutler model. The density, microhardness, and fracture toughness of the ceramic samples were also measured. All samples had high relative densities (98%–99%), Vickers microhardness 15.5–17.4 GPa, and Palmquist fracture toughness, 3.8–5.1 MPa∙m1/2. An increase in the amount of sintering additive led to a decrease in the shrinkage temperature of the powder mixtures. The amount of β-Si3N4 in the ceramics decreased monotonically with the increasing amount of sintering additive. The shrinkage rate did not decrease to zero when the maximum compaction was reached at 3% wt. of the sintering additive. On the contrary, it increased sharply due to the beginning of the Si3N4 decomposition.
    1. Introduction
Ceramic materials based on silicon nitride (Si3N4) are characterized by a combination of high strength, microhardness, wear resistance, corrosion resistance, and heat resistance. These properties are also retained at high temperatures and under aggressive environmental conditions. In this regard, Si3N4-based ceramics are among the most promising structural materials []. The Si3N4 ceramic products are currently used as the most important components of complex mechanisms in mechanical engineering, the petrochemical industry, power engineering, etc. [,,]. The ceramics based on Si3N4 have also found some special applications due to their good dielectric properties [].
The covalent nature of the Si–N bonds is the origin of low intensity of diffusion-controlled processes (sintering, crystallization, coalescence, etc.). For this reason, Si3N4-based ceramics are made traditionally in the form of composites containing some sintering additives to facilitate the compaction process [,,,]. The sintering additive forms a thin layer of the liquid phase at the Si3N4 grain boundaries during heating, which contributes to the acceleration of the diffusion processes and the material compaction.
The most commonly used sintering additives for ceramic materials based on Si3N4 are metal oxides. The lighter metal oxides form a liquid phase with a lower viscosity. Because of this, the sintering temperature decreases [,]. The lower sintering temperature of ceramics correlates with the lower performance properties at high temperatures. In this regard, it is also advisable to add the rare earth metal oxides into the sintering additive (for example, Y2O3) [].
As a rule, the sintering additive does not crystallize in a ceramic sample but forms an amorphous glass phase distributed at the Si3N4 grain boundaries. This leads to a decrease in fracture toughness and other mechanical and performance properties of ceramics. The advantage of the Al2O3-Y2O3 system is the possibility of the formation of crystalline compounds, for example, yttrium–aluminum garnet (YAG, Y3Al5O12) []. An increase in the proportion of the sintering additive leads to better compaction but reduces the mechanical properties []. The main interest of researchers is focused on 5%–15% wt. of the sintering additive Al2O3-Y2O3 in Si3N4 [,,,]. As a rule, ceramic samples with a lower content of sintering additives have a lower density and low physical and mechanical properties [,]. The effect on the compaction of the SiO2 fraction located on the surface of the Si3N4 particles is also noted. [].
The α-Si3N4 phase, which is present in the raw powder material, dissolves in the liquid phase and crystallizes into more stable β-Si3N4 during compaction. As a rule, the grains of the β-Si3N4 phase in the ceramics have needle-like shapes that affect the mechanical properties positively. It is noted that two-phase α/β-Si3N4 ceramics have prospects for a significant reduction in brittleness [].
Besides the chemical composition, the sintering kinetics will depend strongly on the particle size distribution for each component, on the method (and the homogeneity) of mixing the powders as well as on the sintering method. Recommendations for sintering additives known from the literature are based on traditional grinding and mixing methods and generally refer to hot pressing [,,,].
High-speed sintering methods, such as spark plasma sintering (SPS), are currently of particular interest for various materials [,,,,,,,,]. This is due to the possibility of reducing the sintering time and keeping the grain size in the ceramic samples close to the particle sizes in the initial powders. The interest of researchers in studying the possibilities of the SPS method for sintering the ceramics based on Si3N4 has grown in recent years [,,].
There are increasing requirements for the powder mixtures as a factor determining the homogeneity and physical and mechanical properties of the ceramic samples. Co-deposition methods provide high mixing homogeneity and are used to prepare the mixtures despite the process complexity [,,,].
Previous studies have reported the wet chemical methods combined with SPS to produce ceramic samples with a dense and homogeneous microstructure as well as mechanical properties comparable to industrial ceramics [,,]. Consequently, it was proposed that a decrease in the amount of the sintering additive is possible without loss of ceramic density while ensuring sufficient homogeneity of the sintering additive distribution in the mixture [].
Thus, the aim of the study was to analyze the effect of the amount of Y2O3-Al2O3 sintering additive introduced by wet chemical methods on the sintering kinetics, phase composition, density, microstructure, and mechanical properties of the ceramics based on Si3N4.
In this work, the ceramic samples were obtained by spark plasma sintering, which is a high-speed method. The powder mixtures were synthesized by wet chemical methods, which makes it possible to ensure the homogeneity of the additive distribution. It is assumed that under these conditions it is possible to achieve homogeneous diffusion processes during sintering in the entire volume of the sample and obtain dense ceramics with high mechanical properties and low additive contents (3% wt.).
2. Materials and Methods
The objects of the study were ceramics based on the Si3N4-Y2O3-Al2O3 system produced by SPS of the powder mixtures.
The Si3N4 powder (abcr GmbH, Karlsruhe, Germany) was used as the raw powder material for the mixture preparation. The particle sizes in the raw material were ≤5 μm, and the content of α-Si3N4 was ≤90% wt. Below, all concentrations are given in % wt.
The preparation of the powder mixtures was conducted using two different wet chemical methods developed previously by our research group: the co-deposition method in the presence of citric acid (the Pechini method) and the spray drying method [].
Spark plasma sintering of the powder mixtures was conducted using Dr. Sinter model SPS-625 (SPS Syntex, Inc., Tokyo, Japan) in a vacuum. Sintering was performed in a graphite mold (LLC Termokarbon, Vyazma, Russia) with an inner diameter of 12 mm under a uniaxial mechanical load of 70 MPa and a heating rate of 50 °C/min. Graphite molds were covered with graphite felt of 4 mm in thickness to ensure the homogeneity of the temperature field during sintering. A hole with a diameter of 14 mm was cut into the graphite felt for the temperature control. Graphite foil (LLC Termokarbon, Vyazma, Russia) was used to improve the electrical contact of the moving parts of the mold (the punches and the die). The temperature was measured using an optical pyrometer IR-AHS2 (Chino Corporation, Tokyo, Japan) focused on the surface of the graphite mold. The true sintering temperature of the sample was estimated based on preliminary studies []. The load was applied to the mold simultaneously with the start of heating. Free cooling was used to cool the ceramic samples. The sintering continued until the end of the stage of the intensive shrinkage of the powder mixture.
The ceramic samples were annealed in a laboratory muffle furnace EKPS-10 (JSC Smolensk SKTB SPU, Smolensk, Russia) to remove the residual graphite foil from the surfaces of the samples. The annealing was performed at 750 °C for 2 h.
The dependencies of the powder shrinkage on the heating temperature L(T) were recorded during sintering using a built-in dilatometer of Dr. Sinter model SPS-625. The contribution of the empty mold Lempty(T) was subtracted when processing the results. This contribution was determined during the preliminary experiments. The theoretical densities of the ceramics were estimated from the given Si3N4-Y3Al5O12 ratio for each mixture composition:
      
        
      
      
      
      
    
      where m is the mass fraction of Si3N4 and yttrium-aluminum garnet (YAG) (yttrium-aluminum oxide system in the initial powder compositions) and ρ is the theoretical phase density. The density for Si3N4 is 3.20 g/cm3 and for YAG is 4.55 g/cm3. Thus, the theoretical densities for samples containing additives of 3%, 5%, 8.5% and 10% wt. are 3.227, 3.245, 3.266 and 3.292 g/cm3, respectively.
The analysis of the sintering kinetics was carried out according to the procedure described in [].
The density of the ceramics was determined by hydrostatic weighing in distilled water using CPA 225D (Sartorius, Göttingen, Germany) analytical balance.
The surfaces of the ceramic samples were ground with diamond discs using the Secotom-10 machine (Struers, Copenhagen, Denmark). This surface treatment step was performed to remove the heterogeneous surface layers and to reduce the surface roughness []. The initial heights of the ceramic samples were 4 mm. The layers about 100 μm in thickness were removed during the sample surface preparation [].
The Vickers microhardness (HV) was determined with a 60 A+ EVO microhardness tester (ATM Qness GmbH, Mammelzen, Germany) at a load of 2 kg. The fracture toughness coefficient (KIC) was determined by the Palmquist method based on measuring the maximum crack lengths from the Vickers indenter edges:
      
        
      
      
      
      
    
      where c is the crack length (m), E is Young’s modulus (GPa), HV is the microhardness (GPa), and P is the load (N). The Young’s modulus for silicon nitride is about 300 GPa.
The X-ray diffraction (XRD) measurements of the powders and ceramics were performed using the XRD-7000 diffractometer (Shimadzu, Kyoto, Japan) (CuKα radiation, the wavelength λ = 1.54 Å, 30 kV/40 mA). Scanning was performed in the Bragg-Brentano geometry in the range of angles 2θ = 15°–60° with the step of 0.04° and the exposure time of 1 s. The qualitative phase analysis was carried out using the PDF-2 database (ICDD, 2012). The quantitative phase analysis was carried out by the Rietveld method using “Diffrac.TOPAS” software (Bruker, Karlsruhe, Germany) with the cif-files from the ICSD database (2016): α-Si3N4 (№ 16752) and β-Si3N4 (№ 8263) []. The uncertainties of this method for the materials based on Si3N4 were estimated experimentally [].
The microstructures of the ceramic samples were studied using JSM 6490 scanning electron microscope (JEOL, Ltd., Tokyo, Japan) with an INCA 350 energy dispersive microanalyzer (Oxford Instruments, Abingdon, UK).
3. Results
3.1. Preparation of Powder Mixtures
The mixture compositions were based on the ratio of Si3N4-Y2O3-Al2O3. The molar ratio of the components of the oxide system was 3:5, which corresponds to the stoichiometry of yttrium-aluminum garnet Y3Al5O12 (YAG) []. The fractions of the sintering additive were 3%, 5%, 8.5% and 10% (Table 1). The mixtures were prepared (I) by spray drying method and (II) by co-deposition method in the presence of citric acid according to the procedures developed earlier [].
 
       
    
    Table 1.
    Description of powder mixtures.
  
The sintering additive was introduced into the Si3N4 powder by spray drying method (I) using a mixture of Al5(NO3)3(OH)12 and Y(OH)2(CH3COO) sols. Al5(NO3)3(OH)12 sol was obtained by dissolving pre-hydrolyzed aluminum isopropylate (Al(i-OC3H7)3, 99.99% purity, made on site) in nitric acid (HNO3, 99.9999% purity, Khimreaktiv, Nizhniy Novgorod, Russia). Y(OH)2(CH3COO) sol was produced by dispersing the Y2O3 nanopowder in acetic acid (CH3COOH, 99.9% purity, Khimreaktiv, Nizhniy Novgorod, Russia). The Y2O3 nanopowder was obtained by self-propagating high-temperature synthesis from commercial yttria (99.99% purity, Polirit, Moscow, Russia) [,]. The aqueous suspension contained 52.5% wt. in terms of the solid phase of Si3N4 and YAG. Ammonium polyacrylate Dispex 4040 (BASF, Ludwigshafen, Germany) (in the amount of 1.5% wt.) was introduced additionally for stabilization. The suspension was dried by spray drying at 150 °C after mixing in a Pulverisette 6 planetary mill (FRITSCH, Idar-Oberstein, Germany) with the Y2O3 balls.
The Pechini method (II) consists of the formation of citrate gels from solutions of yttrium nitrate (Y(NO3)3·6H2O, 99.9% purity, Vekton, Saint-Petersburg, Russia) and aluminum nitrate (Al(NO3)3·9H2O, 98% purity, Vekton, Saint-Petersburg, Russia) with the addition of citric acid (C6H8O7 ·H2O, 99% purity, Vekton, Saint-Petersburg, Russia) []. Citric acid solution was added to the aqueous solution of yttrium and aluminum nitrates in such an amount that the molar ratio of citric acid to the total content of nitrate ions was 1:1. Si3N4 powder was added to the resulting solution and dried with continuous mixing to the thick gel state. Afterward, the gel was annealed sequentially at 350 and 500 °C for 2 h.
Figure 1 shows the microstructure of the synthesized powder mixtures.
 
      
    
    Figure 1.
      SEM images of the powder mixture with different amounts of the sintering additive: (a,b) 3% wt.; (c,d) 5% wt.; (e) 8.5% wt.; (f,g) 10% wt.
  
The results of the scanning electron microscopy (SEM) investigations demonstrate a high degree of homogeneity of the powder mixtures and the absence of large (>5 μm) agglomerates of the sintering additive. As a rule, the spray drying method ensures no formation of spherical agglomerates [].
The I-8.5 powder mixture was investigated by transmission electron microscopy (TEM). The faceted Si3N4 crystal grains and the sintering additive distributed on their surfaces are visible in the TEM image (Figure 2). Thus, the realization of the expected contamination of each particle of the Si3N4 powder by the sintering additive is shown.
 
      
    
    Figure 2.
      TEM image of the I-8.5 powder mixture.
  
The diffraction peaks from the α-Si3N4 and β-Si3N4 crystalline phases are present in the diffraction patterns of both the powder mixtures and the raw powder material. There are no diffraction peaks corresponding to the oxide phases. This suggests an amorphous structure of the oxide phases []. The content of β-Si3N4 is 10% wt.
3.2. Compaction (Sintering) of Powder Mixtures
Seven samples of ceramics were produced. The compaction behavior is represented in Figure 3 by the shrinkage and shrinkage rate measured in the course of sintering.

 
      
    
    Figure 3.
      Shrinkage and shrinkage rate vs temperature during SPS of the powder mixtures with different amounts of the sintering additive: (a) 3% wt.; (b) 5% wt.; (c) 8.5% wt.; (d) 10% wt.
  
The analysis of the measured shrinkage cures for the powder mixtures indicates slow shrinkage in the temperature range from 900 to 1400 °C. The beginning of the intensive shrinkage stage takes place at 1400–1500 °C and is not affected by the sintering additive amount. At the same time, the higher the sintering additive amount, the lower the shrinkage end temperature. The shrinkage end almost corresponds to the beginning of the decomposition of Si3N4 for the samples with an additive content of 3%–5% wt. This is reflected as a sharp increase in shrinkage at temperatures above 1800 °C.
Figure 4 presents the plots of the vacuum level in the SPS chamber vs. temperature for the I-3, I-5, II-3, and II-5 samples. One can see that the pressure in the chamber increases at temperatures above 1800 °C. This result confirms the beginning of the decomposition of Si3N4 at these temperatures.
 
      
    
    Figure 4.
      Vacuum level for the studied samples with an additive content of 3%–5% wt.
  
The shrinkage end is reached at temperatures of 1650–1700 °C for the samples with an additive content of 8.5%–10% wt. (I-8.5, I-10, II-10). This is reflected in the shrinkage by reaching the plateau. The sintering temperatures calculated using the approach reported earlier [] and the relative densities for the ceramic samples manufactured are given in Table 2.
 
       
    
    Table 2.
    Sintering temperature, measured, and relative densities of the ceramic samples.
  
The density values for the ceramic samples confirm the formation of a high-density structure. The lowest relative density (98.0%) was achieved for the ceramics with the highest sintering additive content. The ceramic samples with densities of at least 99.3% were obtained from the powder mixtures containing 3%–8.5% wt. of the sintering additive.
3.3. Microstructure of Ceramic Samples
Figure 5 shows the results of SEM investigations of the ceramic samples.
 
      
    
    Figure 5.
      SEM images of the ceramic samples with different amounts of the sintering additive: (a,b) 3% wt.; (c,d) 5% wt.; (e) 8.5% wt.; (f,g) 10% wt. The arrows point to the elongated β-Si3N4 grains.
  
The results of the SEM image analysis (Figure 5) demonstrate a lower porosity for samples containing smaller amounts of the sintering additive, in accordance with the ceramic density reported. The images of samples with smaller amounts of the sintering additive (Figure 5a–d) show the elongated β-Si3N4 grains up to 1 µm in thickness and up to 5 µm long (marked by arrows in Figure 5). The ceramic samples made from the powder mixtures synthesized by spray drying (Figure 5a,c,e,g) have no visible pores or the content of these is insignificant in all cases. At the same time, the sintering additive inclusions manifested as the light spots (due to the presence of yttrium in the composition of these ones) are distributed along the triple joints of the grains. The sintering additive is practically invisible at the grain boundaries at the resolution of the equipment available.
The equiaxial grains were observed preferentially in the SEM images obtained for samples with 10% wt. of sintering additive (Figure 5e,g). The porosity is characteristic of all ceramic samples obtained from the powder mixtures produced by method II (Figure 5b,d,e). In addition, the porosity increases with increasing the sintering additive amount.
Moreover, Figure 5 shows that an increase in the sintering additive content leads to a reduction in the average grain size. This is probably due to the fact that the shrinkage end occurs at a lower temperature at an increased sintering additive amount in the powder mixture. In this case, the α-Si3N4 phase is still quite stable []. Accordingly, the grain growth of the β-Si3N4 phase is less intense than at higher temperatures.
3.4. Phase Composition and Mechanical Properties of Ceramics
Figure 6 shows the diffraction patterns from the ceramic samples.
 
      
    
    Figure 6.
      Diffraction patterns from the ceramic samples with different amounts of the sintering additive in the powder mixtures synthesized by method I (a) and by method II (b).
  
Only the α-Si3N4 (PDF № 01-071-6479, ICSD № 16752, P31c, a = b = 7.754(1) Å, c = 5.610(1) Å, V = 292.11(1) Å3) and β-Si3N4 (PDF № 01-071-0623, ICSD № 8263, P63, a = b = 7.595(1) Å, c = 2.902(1), V = 144.99 Å3) phases are present in the ceramic samples according to the presented diffraction patterns. The quantitative phase composition of the samples studied and the mechanical properties of the ones are presented in Table 3.
 
       
    
    Table 3.
    Phase composition and mechanical properties of the ceramic samples.
  
According to the results of the X-ray diffraction analysis, the ceramic samples were found to contain the α-Si3N4 and β-Si3N4 crystalline phases only. Only the β-phase is present in the samples obtained with the amount of the additive of 5% wt. or less.
The α-Si3N4 phase content is higher in the samples with higher amounts of sintering additive and, accordingly, lower sintering temperatures.
The results of mechanical tests demonstrated the Vickers microhardness above 15.5 GPa for all ceramic samples studied. Moreover, the mechanical properties were higher for the samples made by method I (among those with equal amounts of sintering additive). The highest microhardness was achieved at the highest values of the sintering additive amount. The high microhardness and fracture toughness of the sample I-10 (Figure 5e) are probably due to the synergistic effects of both elongated needle-shaped β-Si3N4 grains, which increase the fracture toughness and a significant number of α-Si3N4 grains, which have higher microhardness as compared to the β-phase [,].
4. Discussion
Some features were revealed in the analysis of the sintering curves presented in Figure 3. A temperature-dependent shrinkage curve of a sample is shown schematically in Figure 7. Two points on the temperature axis should be noted in addition to the characteristic temperatures of the shrinkage beginning (900 °C) and the intensive shrinkage beginning (1400–1500 °C). The temperature Ts characterizes the end of the intensive shrinkage stage when the highest density of the sample is reached, Td is the beginning of the decomposition of Si3N4. The temperature Td may depend on the sintering mode (in particular, on the pressure inside the mold) at temperatures T ≥1800 °C [].
 
      
    
    Figure 7.
      Schematic representation of the shrinkage of a sample based on Si3N4.
  
The increase in the shrinkage at the temperatures above 1800 °C is due not to compaction but to the Si3N4 decomposition (along with the increase in vacuum pressure). This was confirmed also by comparison of the densities of the sample with 5% additive contents. The difference in the sintering temperatures for samples I-5 and II-5 was 50 °C: 1930 and 1880 °C, respectively. The shrinkage of the sample I-5 in the temperature range 1880 ÷ 1930 °C was 0.2 mm. However, the relative density values for the I-5 and II-5 ceramic samples were close (Table 2). Therefore, it is assumed that the decomposition of Si3N4 occurred on the surface of the I-5 sample only and the sample bulk retains its densification.
The temperature Ts was lower for the samples with higher sintering additive contents. Consequently, the difference (Td-Ts) was greater at higher sintering additive contents. The temperatures Td and Ts were almost the same for samples with the additive content of 3% regardless of the method of its introduction into the powder mixture (Figure 3). For this reason, a sharp increase in the shrinkage rate instead of saturation starts at 1800 °C. Thus, it should be expected that a lower sintering additive content in the Si3N4-based ceramics will also lead to an increase in the shrinkage rate due to the decomposition of Si3N4 (at ~1800 °C) before the end of shrinkage.
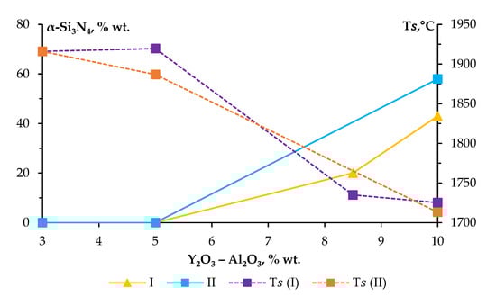
The relationship between the sintering temperature, the phase composition of the samples, and the sintering additive content in the mixture for the samples under study is illustrated in Figure 8.
 
      
    
    Figure 8.
      Dependence of the α-Si3N4 amount in the ceramic sample and the sintering temperature on the sintering additive amount.
  
The complete phase transition α-Si3N4 → β-Si3N4 does not occur in the ceramic samples with the sintering additive content of 8.5% wt. or more.
The α/β ratio of the Si3N4 phases is mainly affected by the sintering temperature and, to a lesser extent, the amount of the sintering additive [,,,].
The sintering of Si3N4 is a three-stage process accompanied by a phase transformation according to []. The dissolution of α-Si3N4 in the sintering additive melt and deposition as the β-phase occurs at high temperatures [,]. Thus, a larger amount of melts and lower shrinkage end temperatures prevent complete phase transformation. It is assumed that a higher sintering temperature at equal sintering additive content indicates a more homogeneous sintering additive distribution. Based on the regularity of the decrease in the sintering temperature with increasing the sintering additive content, the formation of local inhomogeneities in the powder mixture will reduce the sintering temperature on average. In this regard, the formation of the local inhomogeneities in the powder mixture will reduce the sintering temperature on average.
The Young-Cutler model was used to analyze the kinetics of high-speed sintering of powders at the stage of intensive shrinkage (T > 1400 °C). This model describes the initial stage of non-isothermal sintering of spherical particles under conditions of simultaneous processes of bulk and grain boundary diffusion and plastic deformation []:
      
        
      
      
      
      
    
      where ε is the relative powder shrinkage, γ is the surface free energy, Dv is the bulk diffusion coefficient, Db is the grain boundary diffusion coefficient, d is the grain size, p is the pressure, D is the plastic deformation diffusion coefficient.
According to [], the slope of the temperature dependence of shrinkage plotted in the axes
      
      
        
      
      
      
      
    
      corresponds to the effective sintering activation energy mQs1 where m is a coefficient depending on the dominant sintering mechanism: m = 1/3 for the grain boundary diffusion, m = 1/2 for the bulk diffusion, and m = 1 for the viscous flow (creep), Tm is the melting point taken equal to Si3N4 decomposition temperature ~1800 °C.
The analysis of the results shows the effective activation energy of SPS (mQs1) at the stage of intensive shrinkage for Series II ceramics to be ~ 12 ± 4 kTm (Figure 9).
 
      
    
    Figure 9.
      Analysis of the sintering activation energy within the Young–Cutler model on the example of the II-5 sample.
  
It should be noted also that the value of the SPS activation energy for the fine-grained ceramics can be calculated within the pore diffusion dissolution model described in []. In this approach, the activation energy Qs2 can be determined from the slope of the dependence:
      
        
      
      
      
      
    
      where α = 0.5 is the compaction coefficient of powder billet, ρ is the relative density.
The calculations showed that there is no difference (within the uncertainty) in the values of the sintering activation energy Qs2 for all ceramic samples studied: Qs2 = (11 ± 3) kTm (Figure 10).
 
      
    
    Figure 10.
      Analysis of the sintering activation energy within the pore dissolution model on the example of the II-5 sample.
  
The close values of mQs1 = (12 ± 4) kTm and Qs2 = (11 ± 3) kTm mean that the value of m in the Young-Cutler model is close to unity (m ~ 1). According to [], it means that the hardening process of Si3N4-Y2O3-Al2O3 powder mixtures at the stage of intensive shrinkage of SPS is controlled by the viscous (plastic) flow of the oxide phase.
5. Conclusions
The powder mixtures based on the Si3N4 powder (the particle size <5 µm) and Y2O3-Al2O3 (3:5) sintering additive were prepared by spray drying method and by the co-deposition method in the presence of citric acid (Pechini method). The sintering additive contents were 3%, 5%, 8.5% and 10% wt.
The ceramic samples were produced from the powder mixtures using spark plasma sintering (SPS). A homogeneous distribution of the sintering additive (Y2O3-Al2O3) in the powder mixture was shown to be possible using wet chemical methods. The Vickers microhardness of the ceramic samples was (16.5 ± 0.4) GPa, and the Palmquist fracture toughness was (5.1 ± 0.4) MPa∙m1/2.
This study has shown the possibility of obtaining high-density nonporous ceramics by sintering the powder mixtures with the sintering additive content of 5% wt. or less.
The results of this investigation show the sintering kinetics in SPS of Si3N4-based ceramics change significantly when decreasing the sintering additive amount. The shrinkage rate does not decrease to zero at the maximum compaction but starts to increase sharply, which corresponds to the beginning of the decomposition of Si3N4.
Using the Young-Cutler model and diffusion pore dissolution model, the main mechanism of the powder compaction during the intensive shrinkage stage was shown to be the viscous material flow.
Author Contributions
Conceptualization, P.A. and K.S.; formal analysis, P.A. and M.B.; investigation, P.D., L.A., E.R., S.B., M.B., A.M., and G.S.; writing—original draft preparation, P.A. and P.D.; writing—review and editing, P.A., K.S. and M.B. All authors have read and agreed to the published version of the manuscript.
Funding
This research was funded by RFBR, grant number 19-33-60084. The powders were investigated by transmission electron microscopy using the equipment of the Materials Science and Metallurgy Central Complex of the National Research University “MISIS” (project number 075-15-2021-696 of the Ministry of Science and Higher Education of the Russian Federation).
Institutional Review Board Statement
Not applicable.
Informed Consent Statement
Not applicable.
Data Availability Statement
Data are contained within the article.
Conflicts of Interest
The authors declare no conflict of interest.
References
- Tatarkova, M.; Tatarko, P. Si3N4 Ceramics, Structure and Properties. Ency. Mater. Tech. Ceram. Glasses 2021, 2, 109–118. [Google Scholar]
- Riley, F. Silicon Nitride and Related Materials. J. Am. Ceram. Soc. 2004, 83, 245–265. [Google Scholar] [CrossRef]
- Klemm, H. Silicon Nitride for High-Temperature Applications. J. Am. Ceram. Soc. 2010, 93, 1501–1522. [Google Scholar] [CrossRef]
- Li, H.; Chen, W. Basic Bio-Tribological Performance of Insulating Si3N4-Based Ceramic as Human Body Replacement Joints. Coatings 2021, 11, 938. [Google Scholar] [CrossRef]
- Chen, F.; Yan, F. Spark Plasma Sintering of α-Si3N4 Ceramics with MgO-AlPO4 as Sintering Additives. Mater. Chem. Phys. 2008, 107, 67–71. [Google Scholar] [CrossRef]
- Hampshire, S. Silicon Nitride Ceramics-Review of Structure, Processing and Properties. J. Mater. Manuf. Eng. 2007, 24, 43–50. [Google Scholar]
- Petzow, G.; Herrmann, M. Silicon Nitride Ceramics. In High Performance Non-Oxide Ceramics II. Structure and Bonding; Jansen, M., Ed.; Springer: Berlin/Heidelberg, Germany, 2002; Volume 102, pp. 47–167. [Google Scholar]
- Ziegler, G.; Heinrich, J. Relationships Between Processing, Microstructure and Properties of Dense and Reaction-Bonded Silicon nitride. J. Mater. Sci. 1987, 22, 3041–3086. [Google Scholar] [CrossRef]
- Zhang, Z.; Duan, X. Effect of Re2O3-MgO Additives on the Microstructure Evolution and Properties of β-Si3N4 Ceramics. Ceram. Int. 2021, 47, 22073–22079. [Google Scholar] [CrossRef]
- Zhang, N.; Ru, H.Q. The Influence of the Molar Ratio of Al2O3 to Y2O3 on Sintering Behavior and the Mechanical Properties of a SiC-Al2O3Y2O3- Ceramic Composite. Mater. Sci. Eng. A 2008, 486, 262–266. [Google Scholar] [CrossRef]
- Wotting, G.; Ziegler, G. Influence of Powder Properties and Processing Conditions on Microstructure and Mechanical Properties of Sintered Si3N4. Ceram. Int. 1984, 10, 18–22. [Google Scholar] [CrossRef]
- Prokesova, M.; Panek, Z. Phase Transformation and Densification during Pressureless Sintering of Si3N4 with MgO and Y3Al5O12 Additives. J. Mat. Sci. 1990, 25, 3709–3713. [Google Scholar] [CrossRef]
- Sajgalik, P.; Dusza, J. High-temperature Strength and Fracture Toughness of Si3N4–β-Si3N4 Composites. J. Mat. Sci. Let. 1991, 10, 776–778. [Google Scholar] [CrossRef]
- Perevislov, S.N.; Lysenkov, A.S. Reinforced Composite Materials based on Silicon Carbide and Silicon Nitride. IOP Conf. Ser.: Mater. Sci. Eng. 2019, 525, 012072. [Google Scholar] [CrossRef]
- Leon-Geronimo, A.; Miranda-Hernandez, Q. Effect of the Additive Content on the Sintering of Pre-Sintered Si3N4 Composite. MRS Adv. 2020, 5, 3103–3111. [Google Scholar] [CrossRef]
- Hoffmann, M.J.; Geyer, A. Potential of the Sinter-HIP-technique for the Development of High-temperature Resistant Si3N4-ceramics. J. Eur. Ceram. Soc. 1999, 19, 2359–2366. [Google Scholar] [CrossRef]
- Ceja-Cardenas, L.; Lemus-Ruiz, J. Spark Plasma Sintering of α-Si3N4 Ceramics with Al2O3 and Y2O3 as Additives and its Morphology Transformation. J. Alloys Compd. 2010, 501, 345–351. [Google Scholar] [CrossRef]
- Li, Y.; Kim, H.-N. Microstructure and Thermal Conductivity of Gas-Pressure-Sintered Si3N4 Ceramic: The Effects of Y2O3 Additive Content. J. Eur. Ceram. Soc. 2021, 41, 274–283. [Google Scholar] [CrossRef]
- Zhang, J.; Liu, G. Plastic Deformation in Silicon Nitride Ceramics via Bond Switching at Coherent Interfaces. Science 2022, 378, 371–376. [Google Scholar] [CrossRef]
- Wasanapiarnpong, T.; Wada, S. Effect of Post-Sintering Heat-Treatment on Thermal and Mechanical Properties of Si3N4 Ceramics Sintered with Different Additives. J. Eur. Ceram. Soc. 2006, 26, 3467–3475. [Google Scholar] [CrossRef]
- Perevislov, S. Investigation of the Phase Composition and Analysis of the Properties of Sintered and Hot-pressed Materials Based on Silicon Nitride. Refract. Ind. Ceram. 2022, 63, 66–73. [Google Scholar] [CrossRef]
- Kessel, H.; Hennicke, J. Aspects Concerning the Super-Fast Sintering of Powder Metallic and Ceramic Materials. Interceram 2007, 56, 164–166. [Google Scholar]
- Papynov, E.; Portnyagin, A. A complex Approach to Assessing Porous Structure of Structured Ceramics Obtained by SPS Technique. Mater. Charact. 2018, 145, 294–302. [Google Scholar] [CrossRef]
- Papynov, E.; Shichalin, O. Synthesis of High-Density Pellets of Uranium Dioxide by Spark Plasma Sintering in Dies of Different Types. Radiochem. 2018, 60, 362–370. [Google Scholar] [CrossRef]
- Papynov, E.; Shichalin, O. Spark Plasma Sintering of Special-Purpose Functional Ceramics Based on UO2, ZrO2, Fe3O4/α-Fe2O3. Glass Phys. Chem. 2018, 44, 632–640. [Google Scholar] [CrossRef]
- Papynov, E.; Shichalin, O. Spark Plasma Sintering as a High-Tech Approach in a New Generation of Synthesis of Nanostructured Functional Ceramics. Nanotechnol. Russ. 2017, 12, 49–61. [Google Scholar] [CrossRef]
- Nokhrin, A.; Andreev, P. Investigation of Microstructure and Corrosion Resistance of Ti-Al-V Titanium Alloys Obtained by Spark Plasma Sintering. Metals 2021, 11, 945. [Google Scholar] [CrossRef]
- Lantsev, E.; Nokhrin, A. A Study of the Impact of Graphite on the Kinetics of SPS in Nano- and Submicron WC-10% Co Powder Compositions. Ceramics 2021, 4, 331–363. [Google Scholar] [CrossRef]
- Nisar, A.; Balani, K. Phase and Microstructural Correlation of Spark Plasma Sintered HfB2-ZrB2 Based Ultra-High Temperature Ceramic Composites. Coatings 2017, 7, 110. [Google Scholar] [CrossRef]
- Samal, S.; Cibulkova, J. Tribological Behavior of NiTi Alloy Produced by Spark Plasma Sintering Method. Coatings 2021, 11, 1246. [Google Scholar] [CrossRef]
- Zamula, M.; Kolesnichenko, V. Phase Transformations and Consolidation of Si3N4 Ceramics Activated with Yttrium and Silicon Oxides in Spark Plasma Sintering. Powder Metall. Met. Ceram. 2022, 60, 672–684. [Google Scholar] [CrossRef]
- Yu, J.-J.; Sun, S.-K. Continuous and Symmetric Graded Si3N4 Ceramics Designed by Spark Plasma Sintering at 15 MPa. Ceram. Int. 2019, 45, 16703–16706. [Google Scholar] [CrossRef]
- Kim, K.; Lysenkov, A. Effect of CaO-Al2O3 (48:52% wt.) Sintering Aids on the Phase Composition and Properties of Si3N4-Based Ceramics. Inorg. Mater. 2022, 58, 877–885. [Google Scholar] [CrossRef]
- Andreev, P.V.; Alekseeva, L.S. Synthesis of Si3N4-Based Powder Composites for Ceramic Fabrication by Spark Plasma Sintering. Inorg. Mater. 2022, 58, 1098–1104. [Google Scholar] [CrossRef]
- Ye, C.; Yue, X. In-situ Synthesis of YAG@Si3N4 Powders with Enhanced Mechanical Properties. J. Alloys Compd. 2018, 731, 813–821. [Google Scholar] [CrossRef]
- Andreev, P.; Drozhilkin, P. Preparation of Si3N4-YAG Mixtures for the Spark Plasma Sintering Method. IOP Conf. Ser. Mater. Sci. Eng. 2021, 1014, 012009. [Google Scholar] [CrossRef]
- Andreev, P.; Drozhilkin, P. Manufacture of Ceramic Composites Based on Silicon Nitride Powder with a Precipitated Sintering Additive. Inorg. Mater. Appl. Res. 2022, 8, 76–88. (In Russian) [Google Scholar]
- Kim, J.-S.; Schubert, H. Sintering of Si3N4 with Y2O3 and Al2O3 Added by Coprecipitation. J. Eur. Ceram. Soc. 1989, 5, 311–319. [Google Scholar] [CrossRef]
- Miranzo, P.; Gonzalez-Julian, J. Enhanced Particle Rearrangement during Liquid Phase Spark Plasma Sintering of Silicon Nitride-based Ceramics. Ceram. Int. 2011, 37, 159–166. [Google Scholar] [CrossRef]
- Peng, G.-H.; Liang, M. Spark Plasma Sintered Silicon Nitride Ceramics with High Thermal Conductivity Using MgSiN2 as Additives. J. Am. Ceram. Soc. 2009, 92, 2122–2124. [Google Scholar] [CrossRef]
- Chuvildeev, V.; Boldin, M. Comparative Study of Hot Pressing and High-Speed Electropulse Plasma Sintering of Al2O3/ZrO2/Ti(C,N) Powders. Russ. J. Inorg. Chem. 2015, 60, 987–993. [Google Scholar] [CrossRef]
- Olevsky, E.; Dudina, D. Field-Assisted Sintering: Science and Applications; Springer: Cham, Switzerland, 2018; pp. 89–104, 354–379. [Google Scholar]
- Drozhilkin, P.; Alekseeva, L. Phase Homogeneity of Si3N4-Based Ceramic Materials Produced by Spark Plasma Sintering. Tech. Phys. Lett. 2022, 4, 46–48. [Google Scholar] [CrossRef]
- Pecharsky, V.; Zavalij, P. Fundamentals of Powder Diffraction and Structural Characterization of Materials, 2nd ed.; Springer: New York, NY, USA, 2005; p. 744. [Google Scholar]
- Drozhilkin, P.; Smetanina, K. Assessment of the Data Repeatability of X-ray Diffraction Study for Silicon Nitride Powders of Different Dispersion. Ind. Lab. Diagn. Mater. 2022, 4, 27–32. (In Russian) [Google Scholar] [CrossRef]
- Alper, A. Phase Diagrams in Advanced Ceramics; Academic Press: Cambridge, MA, USA, 1995; pp. 140–154. [Google Scholar]
- Balabanov, S.; Gavrishchuk, E. Effect of the Composition of Starting Yttrium Aluminum Hydroxide Sols on the Properties of Yttrium Aluminum Garnet Powders. Inorg. Mater. 2014, 10, 1030–1034. [Google Scholar] [CrossRef]
- Balabanov, S.; Gavrishchuk, E. Synthesis and Properties of Yttrium Hydroxyacetate Sols. Inorg. Mater. 2012, 5, 500–503. [Google Scholar] [CrossRef]
- Sunde, T.O.L.; Grande, T. Modified Pechini Synthesis of Oxide Powders and Thin Films. In Handbook of Sol-Gel Science and Technology; Klein, L., Aparicio, M., Eds.; Springer: Cham, Switzerland, 2016; pp. 1–30. [Google Scholar]
- Urbanovich, V.; Niss, V. Physical and Mechanical Properties of β-Si3N4 Sintered at High Pressures. High Press. Phys. Eng. 2017, 27, 108–117. (In Russian) [Google Scholar]
- Boberski, C.; Bestgen, H. Microstructural Development during Liquid-phase Sintering of Si3N4 Ceramics. J. Eur. Ceram. Soc. 1992, 9, 95–99. [Google Scholar] [CrossRef]
- Busevac, D.; Boskovic, S. Kinetics of the α-β phase Transformation in Seeded Si3N4 Ceramics. Sci. Sinter. 2008, 40, 263–270. [Google Scholar] [CrossRef]
- Vrolijk, J.W.G.A.; Willems, J.W.M.M. Coprecipitation of Yttrium and Aluminium Hydroxide for Preparation of Yttrium Aluminium Garnet. J. Eur. Ceram. Soc. 1990, 6, 47–51. [Google Scholar] [CrossRef]
- Sordelet, D.; Akinc, M. Synthesis of Yttrium Aluminum Garnet Precursor Powders by Homogeneous Precipitation. J. Eur. Ceram. Soc. 1994, 14, 123–130. [Google Scholar] [CrossRef]
- Manalert, R.; Rahaman, M. Sol-Gel Processing and Sintering of Yttrium Aluminum Garnet (YAG) Powders. J. Mater. Sci. 1996, 31, 3453–3458. [Google Scholar] [CrossRef]
- Young, W.; Cutler, I. Initial Sintering with Constant Rates of Heating. J. Am. Ceram. Soc. 1970, 53, 659–663. [Google Scholar] [CrossRef]
| Disclaimer/Publisher’s Note: The statements, opinions and data contained in all publications are solely those of the individual author(s) and contributor(s) and not of MDPI and/or the editor(s). MDPI and/or the editor(s) disclaim responsibility for any injury to people or property resulting from any ideas, methods, instructions or products referred to in the content. | 
© 2023 by the authors. Licensee MDPI, Basel, Switzerland. This article is an open access article distributed under the terms and conditions of the Creative Commons Attribution (CC BY) license (https://creativecommons.org/licenses/by/4.0/).
