Fabrication of Vitrified Bond Diamond Grinding Wheel via LCD Photopolymerization
Abstract
:1. Introduction
2. Experimental
2.1. Material
2.2. Vitrified Bond Preparation
2.3. Vitrified Bond Slurry Preparation
2.4. Vitrified Bond Diamond Grinding Wheel Preparation
2.5. Debinding and Sintering
2.6. Characterization
3. Results and Discussion
3.1. Effects of Particle Size
3.2. Effects of Dispersant
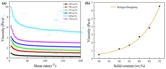
3.3. Effects of Solid Content
3.4. Effects of Debinding and Sintering
3.5. Effects of Grit Ratio
3.6. Grinding Experiment
4. Conclusions
- (1)
- The utilization of PEG with a molecular weight of 200 at a dosage of 5.0 wt.% (relative to the total weight of the powder) as a dispersant yielded the highest dispersion and stability of the vitrified bond slurry, accompanied by the lowest viscosity. Successful fabrication was achieved with a maximum solid content of 65 wt.% (approximately 45.5 vol.%) in the slurry, meeting the requirements for printing.
- (2)
- A two-step debinding and sintering method was proposed for vitrified bond green bodies, in which the specimens can be sintered in the air after slow debonding in a vacuum environment, and samples without defects can be obtained. The flexural strength, microhardness, and density of the model at a sintering temperature of 680 °C were maximized to 63.37 MPa, 807 MPa, and 2.24 g/cm3, respectively, and the porosity was minimized to 35.2% at this temperature.
- (3)
- Five grinding wheel formulations with different grit-to-bond ratios were studied. Vitrified bond and abrasive slurry systems with a solid content of 65 wt.% (approximately 42.8 vol.%) were prepared. When the diamond content is 30 wt.%, white corundum content is 10 wt.%, and vitrified bond content is 60 wt.%, i.e., when the grit-to-bond ratio is 4:6, the flexural strength, material removal rate, and grinding balance of the grinding wheels are all maximal at 46.78 MPa, 5.08 mg/s, and 9.78, respectively. The coefficient of friction is stable at about 0.5 during grinding.
- (4)
- In the experiment of grinding hard and brittle material silicon carbide, the surface roughness of workpieces honed by four groups of diamond grinding wheels with more considerable flexural strength did not differ much. The surface roughness of the grinding wheels with vitrified bond content of 60 wt.% was the lowest at 1.767 μm, and the surface flatness was the best, with fewer depressions and raised parts.
Author Contributions
Funding
Institutional Review Board Statement
Informed Consent Statement
Data Availability Statement
Conflicts of Interest
References
- Dai, C.W.; Ding, W.F.; Zhu, Y.J.; Xu, J.H.; Yu, H.W. Grinding temperature and power consumption in high speed grinding of Inconel 718 nickel-based superalloy with a vitrified CBN wheel. Precis. Eng. 2018, 52, 192–200. [Google Scholar] [CrossRef]
- Zhou, H.; Guo, M.; Wang, X. Ultraprecision grinding of silicon wafers using a newly developed diamond wheel. Mat. Sci. Semicon. Proc. 2018, 68, 238–244. [Google Scholar] [CrossRef]
- Rabiey, M.; Jochum, N.; Kuster, F. High performance grinding of zirconium oxide (ZrO2) using hybrid bond diamond tools. CIRP Ann. 2017, 62, 343–346. [Google Scholar] [CrossRef]
- Liu, J.H.; Pei, Z.J.; Fisher, G.R. Grinding wheels for manufacturing of silicon wafers: Aliterature review. Int. J. Refract. Met. Hard Mater. 2017, 47, 1–13. [Google Scholar] [CrossRef]
- Zhang, X.H.; Wang, Y.H.; Zang, J.B.; Cheng, X.Z. Improving oxidation resistance of diamond by adding silicon into diamond–borosilicate glass composites. Int. J. Refract. Met. Hard Mater. 2017, 29, 495–498. [Google Scholar] [CrossRef]
- Xie, D.; Gan, X.P.; Xiong, H.W.; Li, Z.Y.; Zhou, K.C. Nano TiC modified Ti (C, N)-based cermets with weakened rim-binder interfaces. Mater. Sci. Eng. 2022, 845, 143194. [Google Scholar] [CrossRef]
- Sun, J.L.; Chen, Y.; Zhao, J. Nano-ceramic replacing cobalt in cemented carbide as binder phase: Is it feasible? J. Alloys Compd. 2022, 896, 162968. [Google Scholar] [CrossRef]
- Xia, P.; Jiang, R.G.; Li, Z.H.; Zhu, Y.M.; Zhai, C.X.; Feng, D.D.; Sun, P.H. Effect of Y2O3 on the properties of vitrified bond and vitrified diamond composites. Compos. Part B-Eng. 2022, 67, 515–520. [Google Scholar] [CrossRef]
- Han, J.; He, F.; Wang, L.L.; Zhang, L.X.; Ye, C.Q.; Xie, J.L.; Mei, S.X.; Jin, M.F. Effect of WO3 on the structure and properties of low sintering temperature and high strength vitrified bond. J. Alloys Compd. 2016, 679, 54–58. [Google Scholar] [CrossRef]
- Li, Q.; Li, Z.H.; Feng, D.D.; Yang, T.; Li, Y. Comparison of rare earth oxides on properties of vitrified diamond composites. Diam. Relat. Mater. 2016, 71, 85–89. [Google Scholar] [CrossRef]
- Karabulut, M.; Yuce, B.; Bozdogan, O.; Ertap, H.; Mammadov, G.M. Effect of boron addition on the structure andproperties of iron phosphate glasses. J. Non-Cryst. Solids. 2011, 357, 1455–1462. [Google Scholar] [CrossRef]
- Yin, Y.H.; Xu, P.F.; Fang, J.B.; Yang, J.L. Effect of fly ash cenosphere@ SiO2 core-shell microspheres on physical properties and microstructures of vitrified bond diamond tools. Diam. Relat. Mater. 2020, 103, 107703. [Google Scholar] [CrossRef]
- Miao, W.P.; Ding, Y.L.; Zhao, Y.J.; Bao, H.; Yan, N.; Yang, W.; Hui, Z.; Liu, B. Modified gel casting technique to fabricate honeycomb structured vitrified-bonded ultrafine diamond grinding wheels. Ceram. Int. 2020, 46, 4462–4469. [Google Scholar] [CrossRef]
- Upcraft, S.; Fletcher, R. The rapid prototyping technologies. Assembly. Autom. 2003, 23, 318–330. [Google Scholar] [CrossRef]
- Chen, Z.W.; Li, Z.Y.; Li, J.J.; Liu, C.B.; Lao, C.S.; Fu, Y.L.; Liu, C.Y.; Li, Y.; Wang, P.; He, Y. 3D printing of ceramics: A review. J. Am. Ceram. Soc. 2019, 39, 661–687. [Google Scholar] [CrossRef]
- Yang, Z.B.; Zhang, M.J.; Zhang, Z.; Liu, A.J.; Yang, R.Y.; Liu, S.A. A study on diamond grinding wheels with regular grain distribution using additive manufacturing (AM) technology. Mater. Des. 2016, 104, 292–297. [Google Scholar] [CrossRef]
- Li, X.K.; Wang, C.; Tian, C.C.; Fu, S.L.; Rong, Y.M. Digital design and performance evaluation of porous metal-bonded grinding wheels based on minimal surface and 3D printing. Mater. Des. 2021, 203, 109556. [Google Scholar] [CrossRef]
- Tian, C.C.; Li, X.K.; Zhang, S.B.; Guo, G.Q.; Ziegler, S.; Henrich, J.; Schleifenbaum; Wang, L.P.; Rong, Y.M. Porous structure design and fabrication of metal-bonded diamond grinding wheel based on selective laser melting (SLM). Int. J. Adv. Manuf. Technol. 2019, 100, 1451–1462. [Google Scholar] [CrossRef]
- Huang, J.L.; Lu, J.; Wang, Y.H.; Ma, Z.Q. Fabrication of porous structure vitrified bond diamond grinding wheel via direct ink writing. Ceram. Int. 2021, 47, 34050–34058. [Google Scholar] [CrossRef]
- Guo, L.; Zhang, X.R.; Chen, S.B.; Hui, J.Z. An experimental study on the precision abrasive machining process of hard and brittle materials with ultraviolet-resin bond diamond abrasive tools. Materials 2019, 12, 125. [Google Scholar] [CrossRef]
- Guo, L.; Zhang, X.R.; Lee, C.H.; Marinescu, I.D.; Zhang, Y.H.; Hui, J.Z. An experimental study on the abrasive machining process of electronic substrate material with a novel ultraviolet-curable resin bond diamond lapping plate. IEEE Access 2019, 7, 64375–64385. [Google Scholar] [CrossRef]
- Lin, T.; Liu, S.W.; Ji, Z.H.; Shao, H.P.; Hao, J.J. Vitrified bond diamond grinding wheel prepared by gel-casting with 3D printing molds. Diam. Relat. Mater. 2020, 108, 107917. [Google Scholar] [CrossRef]
- Singh, S.; Ramakrishna, S.; Singh, R. Material issues in additive manufacturing: A review. J. Manuf. Process. 2017, 25, 185–200. [Google Scholar] [CrossRef]
- Shahrubudin, N.; Lee, T.C.; Ramlan, R. An overview on 3D printing technology: Technological, materials, and applications. Procedia Manuf. 2019, 35, 1286–1296. [Google Scholar] [CrossRef]
- Griffith, M.L.; Halloran, J.W. Freeform fabrication of ceramics via stereolithography. J. Am. Ceram. Soc. 1996, 79, 2601–2608. [Google Scholar] [CrossRef]
- Griffith, M.L.; Halloran, J.W. Scattering of ultraviolet radiation in turbid suspensions. J. Appl. phys. 1997, 81, 2538–2546. [Google Scholar] [CrossRef]
- Adake, C.V.; Bhargava, P.; Gandhi, P. Effect of surfactant on dispersion of alumina in photopolymerizable monomers and their UV curing behavior for microstereolithography. Ceram. Int. 2015, 41, 5301–5308. [Google Scholar] [CrossRef]
- Zhang, S.; Sha, N.; Zhao, Z. Surface modification of α-Al2O3 with dicarboxylic acids for the preparation of UV-curable ceramic suspensions. J. Eur. Ceram. Soc. 2017, 37, 1607–1616. [Google Scholar] [CrossRef]
- Quan, H.Y.; Zhang, T.; Xu, H.; Luo, S.; Nie, J.; Zhu, X.Q. Photo-curing 3D printing technique and its challenges. Bioact. Mater. 2020, 5, 110–115. [Google Scholar] [CrossRef]
- Shan, Y.J.; Krishnakumar, A.; Qin, Z.H.; Mao, H.C. Reducing lateral stair-stepping defects in liquid crystal display-based vat photopolymerization by defocusing the image pattern. Addit. Manuf. 2022, 52, 102653. [Google Scholar] [CrossRef]
- Caplins, B.W.; Higgins, C.I.; Kolibaba, T.J.; Arp, U.; Miller, C.C.; Poster, D.L.; Zarobila, C.J.; Zong, Y.Q.; Killgore, J.P. Characterizing light engine uniformity and its influence on liquid crystal display based vat photopolymerization printing. Addit. Manuf. 2023, 62, 103381. [Google Scholar] [CrossRef]
- Roohani, I.; Entezari, A.; Zreiqat, H. Liquid crystal display technique (LCD) for high resolution 3D printing of triply periodic minimal surface lattices bioceramics. Addit. Manuf. 2023, 74, 103720. [Google Scholar] [CrossRef]
- Ding, G.J.; He, R.J.; Zhang, K.Q.; Xia, M.; Feng, C.W.; Fang, D.N. Dispersion and stability of SiC ceramic slurry for stereolithography. Ceram. Int. 2020, 46, 4720–4729. [Google Scholar] [CrossRef]
- Mäntele, W.; Deniz, E. UV–VIS absorption spectroscopy: Lambert-Beer reloaded. Spectrochim. Acta Part A Mol. Biomol. Spectrosc. 2020, 173, 965–968. [Google Scholar] [CrossRef]
- Liu, Y.; Zhan, L.A.; He, Y.; Zhang, J.; Hu, J.J.; Cheng, L.J.; Wu, Q.M. Stereolithographical fabrication of dense Si3N4 ceramics by slurry optimization and pressure sintering. Ceram. Int. 2020, 46, 2063–2071. [Google Scholar] [CrossRef]
- He, R.J.; Ding, G.J.; Zhang, K.Q.; Li, Y.; Feng, D.N. Fabrication of SiC ceramic architectures using stereolithography combined with precursor infiltration and pyrolysis. Ceram. Int. 2019, 45, 14006–14014. [Google Scholar] [CrossRef]
- Xu, X.B.; Li, P.Y.; Ge, C.H.; Han, W.F.; Zhao, D.; Zhang, X.D. 3D Printing of Complex-type SiOC Ceramics Derived From Liquid Photosensitive Resin. ChemistrySelect 2019, 4, 6862–6869. [Google Scholar] [CrossRef]
- Lee, Y.H.; Lee, B.J.; Maeng, W.Y.; Koh, Y.H.; Kim, H.E. Photocurable ceramic slurry using solid camphor as novel diluent for conventional digital light processing (DLP) process. J. Eur. Ceram. Soc. 2019, 39, 4358–4365. [Google Scholar] [CrossRef]
- Ding, G.J.; He, R.J.; Zhang, K.Q.; Xie, C.; Wang, M.; Yang, Y.Z.; Fang, D.N. Stereolithography-based additive manufacturing of gray-colored SiC ceramic green body. J. Am. Ceram. Soc. 2019, 102, 7198–7209. [Google Scholar] [CrossRef]
- Jin, J.; Yong, Y.; Plabc, L.; Chen, J.M. Fine lattice structural titanium dioxide ceramic produced by DLP 3D printing. Ceram. Int. 2019, 45, 23007–23012. [Google Scholar]
- Trefalt, G.; Borkovec, M. Overview of DLVO Theory; Laboratory of Colloid and Surface Chemistry, University of Geneva: Geneva, Switzerland, 2014; Volume 304. [Google Scholar]
- Krieger, I.M.; Dougherty, T.J. A mechanism for non-Newtonian flow in suspensions of rigid spheres. J. Rheol. 1959, 3, 137–152. [Google Scholar] [CrossRef]
- Zhang, K.Q.; He, R.J.; Ding, G.J.; Feng, C.W.; Song, W.D.; Fang, D.N. Digital light processing of 3Y-TZP strengthened ZrO2 ceramics. Mater. Sci. Eng. 2020, 774, 138768. [Google Scholar] [CrossRef]
- Li, K.; Zhao, Z. The effect of the surfactants on the formulation of UV-curable SLA alumina suspension. Ceram. Int. 2017, 43, 4761–4767. [Google Scholar] [CrossRef]
- Chen, S.; Liu, X.; Wan, L. Effect of V2O5 addition on the wettability of vitrified bond to diamond abrasive and grinding performance of diamond wheels. Diam. Relat. Mater. 2020, 102, 107672. [Google Scholar] [CrossRef]

















| Material | SiO2 | B2O3 | Al2O3 | Na2O |
|---|---|---|---|---|
| 60 | 15 | 5 | 20 |
| Material | SiO2 | H3BO3 | Al2O3 | Na2CO3 |
|---|---|---|---|---|
| 44.57 | 22.93 | 6.30 | 26.20 |
| Outer Diameter/Length | Inner Diameter/Width | Thickness/Height | |
|---|---|---|---|
| Grinding Wheel | 100 mm | 80 mm | 10 mm |
| Flexural Bar | 30 mm | 6 mm | 5 mm |
| Diamond | White Corundum | Vitrified Bond | Solid Content | Viscosity (Pa·s) | |
|---|---|---|---|---|---|
| R1 | 30 wt.% | 20 wt.% | 50 wt.% | 65 wt.% (37.7 vol.%) | 3.69 |
| R2 | 30 wt.% | 15 wt.% | 55 wt.% | 65 wt.% (38.6 vol.%) | 3.78 |
| R3 | 30 wt.% | 10 wt.% | 60 wt.% | 65 wt.% (40.5 vol.%) | 3.82 |
| R4 | 30 wt.% | 5 wt.% | 65 wt.% | 65 wt.% (41.9 vol.%) | 3.89 |
| R5 | 30 wt.% | 0 wt.% | 70 wt.% | 65 wt.% (42.8 vol.%) | 3.92 |
| Outer Diameter | Inner Diameter | Thickness | |
|---|---|---|---|
| pre-sintering | 100 mm | 80 mm | 10 mm |
| post-sintering | 77.60 mm | 62.44 mm | 7.55 mm |
| Shrinkage | 22.40% | 21.95% | 24.5% |
| Wheel Wear (g) | Workpiece Removal (g) | Removal Rate (mg/s) | Grinding Ratio | |
|---|---|---|---|---|
| R2 | 0.28 | 1.25 | 2.50 | 4.46 |
| R3 | 0.26 | 2.54 | 5.08 | 9.78 |
| R4 | 0.24 | 2.12 | 4.24 | 8.83 |
| R5 | 0.22 | 1.45 | 2.90 | 6.59 |
Disclaimer/Publisher’s Note: The statements, opinions and data contained in all publications are solely those of the individual author(s) and contributor(s) and not of MDPI and/or the editor(s). MDPI and/or the editor(s) disclaim responsibility for any injury to people or property resulting from any ideas, methods, instructions or products referred to in the content. |
© 2023 by the authors. Licensee MDPI, Basel, Switzerland. This article is an open access article distributed under the terms and conditions of the Creative Commons Attribution (CC BY) license (https://creativecommons.org/licenses/by/4.0/).
Share and Cite
Chen, Z.; Xiao, N.; Han, P.; Wang, Z.; Bai, G. Fabrication of Vitrified Bond Diamond Grinding Wheel via LCD Photopolymerization. Coatings 2023, 13, 2079. https://doi.org/10.3390/coatings13122079
Chen Z, Xiao N, Han P, Wang Z, Bai G. Fabrication of Vitrified Bond Diamond Grinding Wheel via LCD Photopolymerization. Coatings. 2023; 13(12):2079. https://doi.org/10.3390/coatings13122079
Chicago/Turabian StyleChen, Zhaoqi, Na Xiao, Ping Han, Zhao Wang, and Guoju Bai. 2023. "Fabrication of Vitrified Bond Diamond Grinding Wheel via LCD Photopolymerization" Coatings 13, no. 12: 2079. https://doi.org/10.3390/coatings13122079
APA StyleChen, Z., Xiao, N., Han, P., Wang, Z., & Bai, G. (2023). Fabrication of Vitrified Bond Diamond Grinding Wheel via LCD Photopolymerization. Coatings, 13(12), 2079. https://doi.org/10.3390/coatings13122079

