High-Performance ε-Ga2O3 Solar-Blind Photodetectors Grown by MOCVD with Post-Thermal Annealing
Abstract
:1. Introduction
2. Experiments
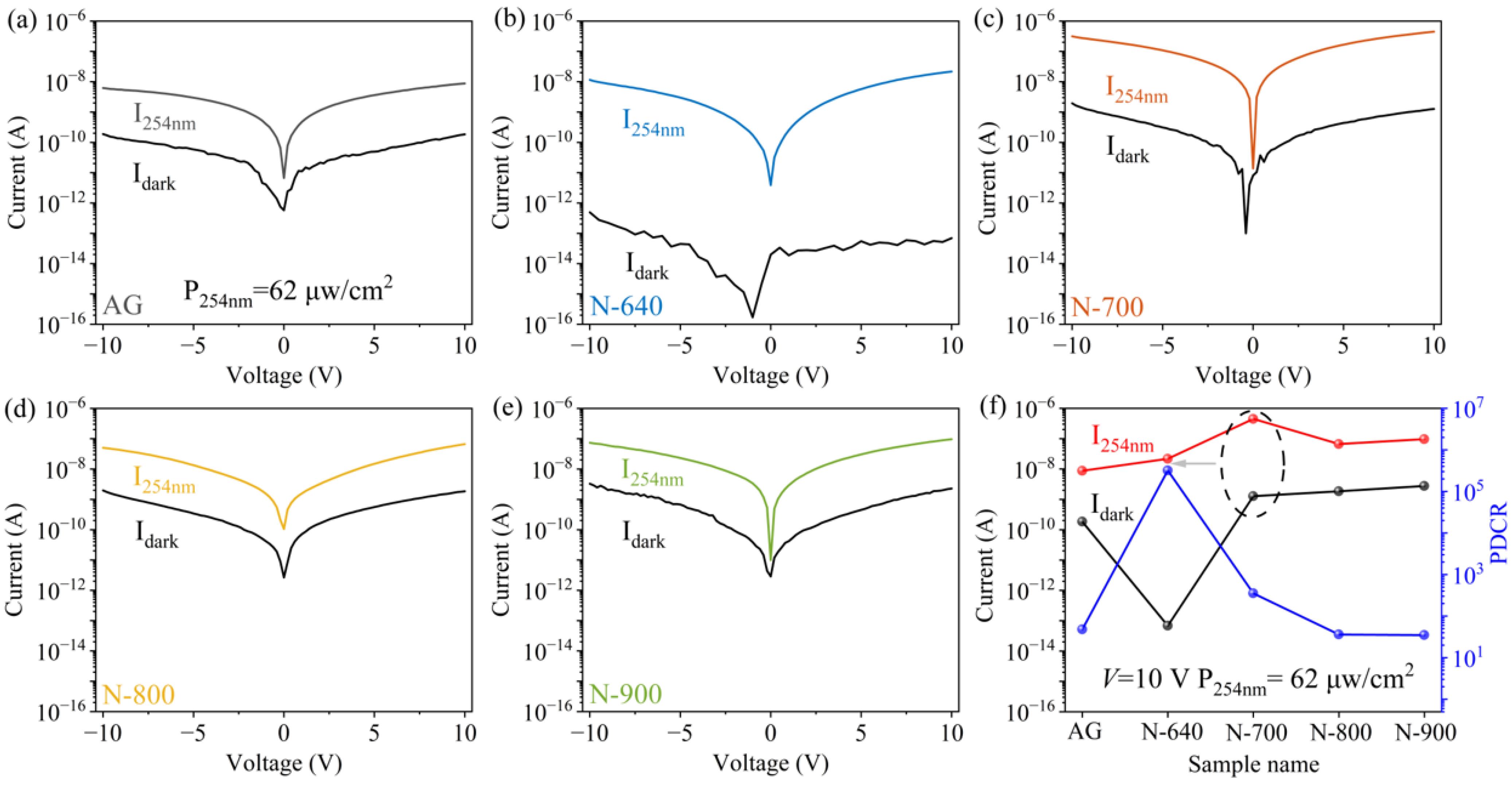
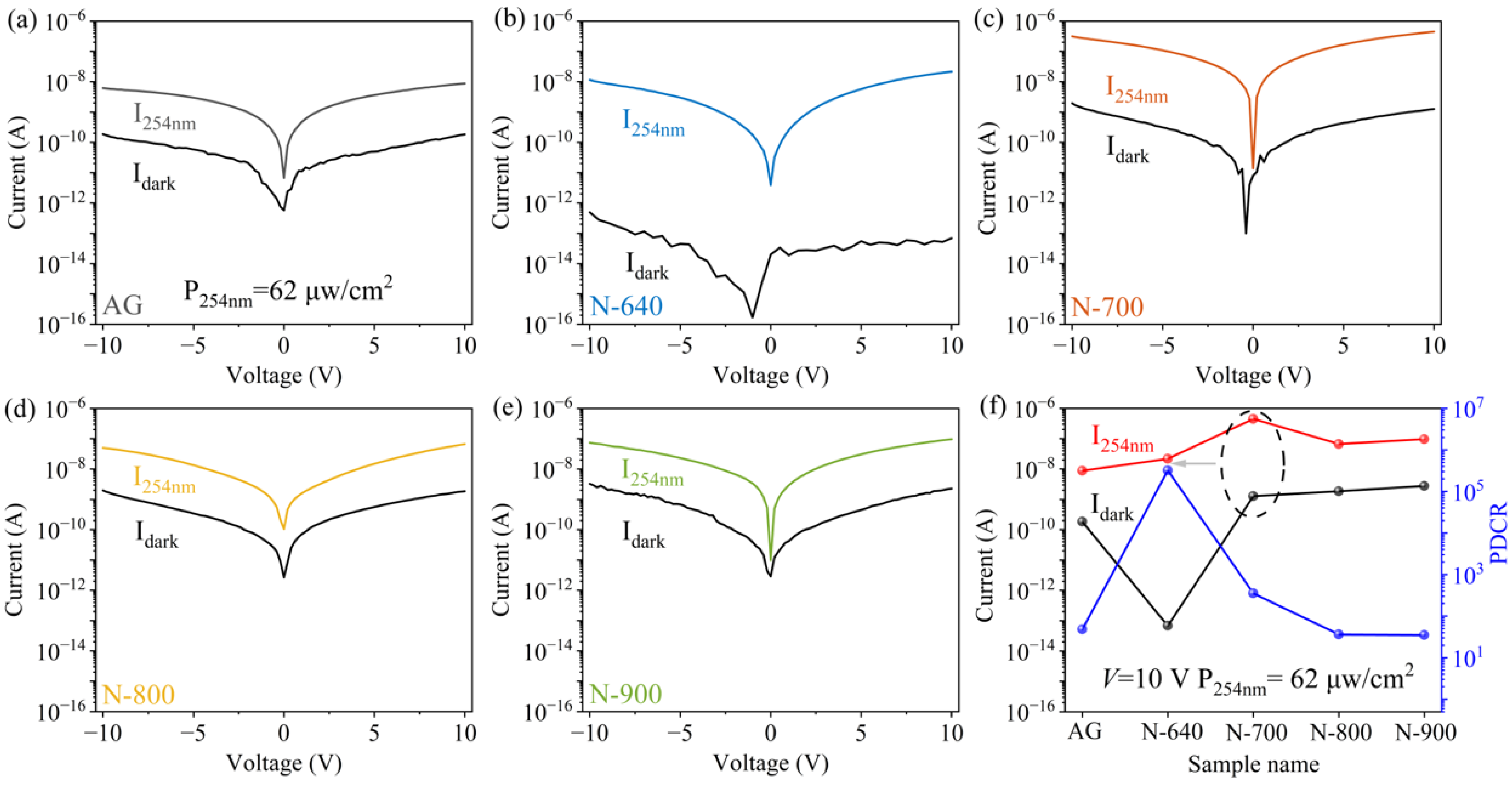
3. Results and Discussion


4. Conclusions
Supplementary Materials
Author Contributions
Funding
Institutional Review Board Statement
Informed Consent Statement
Data Availability Statement
Acknowledgments
Conflicts of Interest
References
- Yang, J.; Liu, K.; Chen, X.; Shen, D. Recent advances in optoelectronic and microelectronic devices based on ultrawide-bandgap semiconductors. Prog. Quantum Electron. 2022, 83, 100397. [Google Scholar] [CrossRef]
- Xie, C.; Lu, X.; Tong, X.; Zhang, Z.; Liang, F.; Liang, L.; Luo, L.; Wu, Y. Recent Progress in Solar-Blind Deep-Ultraviolet Photodetectors Based on Inorganic Ultrawide Bandgap Semiconductors. Adv. Funct. Mater. 2019, 29, 1806006. [Google Scholar] [CrossRef]
- Kaur, D.; Kumar, M. A Strategic Review on Gallium Oxide Based Deep-Ultraviolet Photodetectors: Recent Progress and Future Prospects. Adv. Opt. Mater. 2021, 9, 2002160. [Google Scholar] [CrossRef]
- Guo, C.; Zhang, J.; Xia, S.; Deng, L.; Liu, K.; Yang, Z.; Cheng, B.; Sarkar, B.; Guo, W.; Ye, J. Self-powered MSM solar-blind AlGaN photodetector realized by in-plane polarization modulation. Opt. Lett. 2023, 48, 4769–4772. [Google Scholar] [CrossRef]
- Jheng, J.-S.; Wang, C.-K.; Chiou, Y.-Z.; Chang, S.-P.; Chang, S.-J. Voltage-Tunable UVC–UVB Dual-Band Metal–Semiconductor–Metal Photodetector Based on Ga2O3/MgZnO Heterostructure by RF Sputtering. Coatings 2020, 10, 994. [Google Scholar] [CrossRef]
- Yan, S.; Jiao, T.; Ding, Z.; Zhou, X.; Ji, X.; Dong, X.; Zhang, J.; Xin, Q.; Song, A. Ga2O3 Schottky Avalanche Solar-Blind Photodiode with High Responsivity and Photo-to-Dark Current Ratio. Adv. Electron. Mater. 2023, 9, 2300297. [Google Scholar] [CrossRef]
- Cui, S.; Mei, Z.; Zhang, Y.; Liang, H.; Du, X. Room-Temperature Fabricated Amorphous Ga2O3 High-Response-Speed Solar-Blind Photodetector on Rigid and Flexible Substrates. Adv. Opt. Mater. 2017, 5, 1700454. [Google Scholar] [CrossRef]
- Lu, C.; Ji, X.; Liu, Z.; Yan, X.; Lu, N.; Li, P.; Tang, W. A review of metal–semiconductor contacts for β-Ga2O3. J. Phys. D Appl. Phys. 2022, 55, 463002. [Google Scholar] [CrossRef]
- Pearton, S.J.; Yang, J.; Cary, P.H.; Ren, F.; Kim, J.; Tadjer, M.J.; Mastro, M.A. A review of Ga2O3 materials, processing, and devices. Appl. Phys. Rev. 2018, 5, 011301. [Google Scholar] [CrossRef]
- Zhang, X.; Wang, L.; Wang, X.; Chen, Y.; Shao, Q.; Wu, G.; Wang, X.; Lin, T.; Shen, H.; Wang, J.; et al. High-performance β-Ga2O3 thickness dependent solar blind photodetector. Opt. Express 2020, 28, 4169–4177. [Google Scholar] [CrossRef]
- Chen, Y.-C.; Lu, Y.-J.; Lin, C.-N.; Tian, Y.-Z.; Gao, C.-J.; Dong, L.; Shan, C.-X. Self-powered diamond/β-Ga2O3 photodetectors for solar-blind imaging. J. Mater. Chem. C 2018, 6, 5727–5732. [Google Scholar] [CrossRef]
- Chen, X.; Ren, F.; Gu, S.; Ye, J. Review of gallium-oxide-based solar-blind ultraviolet photodetectors. Photonics Res. 2019, 7, 381–415. [Google Scholar] [CrossRef]
- Mezzadri, F.; Calestani, G.; Boschi, F.; Delmonte, D.; Bosi, M.; Fornari, R. Crystal Structure and Ferroelectric Properties of ε-Ga2O3 Films Grown on (0001)-Sapphire. Inorg. Chem. 2016, 55, 12079–12084. [Google Scholar] [CrossRef] [PubMed]
- Zhang, T.; Li, Y.; Cheng, Q.; Hu, Z.; Ma, J.; Yao, Y.; Cui, C.; Zuo, Y.; Feng, Q.; Zhang, Y.; et al. Research on the crystal phase and orientation of Ga2O3 Hetero-epitaxial film. Superlattices Microstruct. 2021, 159, 107053. [Google Scholar] [CrossRef]
- Xia, X.; Chen, Y.; Feng, Q.; Liang, H.; Tao, P.; Xu, M.; Du, G. Hexagonal phase-pure wide band gap ε-Ga2O3 films grown on 6H-SiC substrates by metal organic chemical vapor deposition. Appl. Phys. Lett. 2016, 108, 202103. [Google Scholar] [CrossRef]
- Hou, X.; Zou, Y.; Ding, M.; Qin, Y.; Zhang, Z.; Ma, X.; Tan, P.; Yu, S.; Zhou, X.; Zhao, X.; et al. Review of polymorphous Ga2O3materials and their solar-blind photodetector applications. J. Phys. D Appl. Phys. 2020, 54, 043001. [Google Scholar] [CrossRef]
- Wang, J.; Ye, L.; Wang, X.; Zhang, H.; Li, L.; Kong, C.; Li, W. High transmittance β-Ga2O3 thin films deposited by magnetron sputtering and post-annealing for solar-blind ultraviolet photodetector. J. Alloys Compd. 2019, 803, 9–15. [Google Scholar] [CrossRef]
- Guo, D.Y.; Wu, Z.P.; An, Y.H.; Guo, X.C.; Chu, X.L.; Sun, C.L.; Li, L.H.; Li, P.G.; Tang, W.H. Oxygen vacancy tuned Ohmic-Schottky conversion for enhanced performance in β-Ga2O3 solar-blind ultraviolet photodetectors. Appl. Phys. Lett. 2014, 105, 023507. [Google Scholar] [CrossRef]
- Rafique, S.; Han, L.; Zhao, H. Thermal annealing effect on β-Ga2O3 thin film solar blind photodetector heteroepitaxially grown on sapphire substrate. Phys. Status Solidi (a) 2017, 214, 1700063. [Google Scholar] [CrossRef]
- Qian, L.-X.; Wu, Z.-H.; Zhang, Y.-Y.; Lai, P.T.; Liu, X.-Z.; Li, Y.-R. Ultrahigh-Responsivity, Rapid-Recovery, Solar-Blind Photodetector Based on Highly Nonstoichiometric Amorphous Gallium Oxide. ACS Photonics 2017, 4, 2203–2211. [Google Scholar] [CrossRef]
- Li, S.; Yue, J.; Ji, X.; Lu, C.; Yan, Z.; Li, P.; Guo, D.; Wu, Z.; Tang, W. Oxygen vacancies modulating the photodetector performances in ε-Ga2O3 thin films. J. Mater. Chem. C 2021, 9, 5437–5444. [Google Scholar] [CrossRef]
- Zhuo, Y.; Chen, Z.; Tu, W.; Ma, X.; Pei, Y.; Wang, G. β-Ga2O3 versus ε-Ga2O3: Control of the crystal phase composition of gallium oxide thin film prepared by metal-organic chemical vapor deposition. Appl. Surf. Sci. 2017, 420, 802–807. [Google Scholar] [CrossRef]
- Chen, S.; Chen, Z.; Chen, W.; Fei, Z.; Luo, T.; Liang, J.; Wang, X.; Wang, G.; Pei, Y. Metal–organic chemical vapor deposition of ε-Ga2O3 thin film using N2O as a precursor. CrystEngComm 2023, 25, 2871–2876. [Google Scholar] [CrossRef]
- Stepanov, S.I.; Nikolaev, V.I.; Bougrov, V.E.; Romanov, A.E. Gallium OXIDE: Properties and applica 498 a review. Rev. Adv. Mater. Sci. 2016, 44, 63–86. [Google Scholar]
- Dong, L.; Jia, R.; Xin, B.; Peng, B.; Zhang, Y. Effects of oxygen vacancies on the structural and optical properties of β-Ga2O3. Sci. Rep. 2017, 7, 40160. [Google Scholar] [CrossRef] [PubMed]
- Wang, J.; Xiong, Y.; Ye, L.; Li, W.; Qin, G.; Ruan, H.; Zhang, H.; Fang, L.; Kong, C.; Li, H. Balanced performance for β-Ga2O3 solar blind photodetectors: The role of oxygen vacancies. Opt. Mater. 2021, 112, 110808. [Google Scholar] [CrossRef]
- Han, S.; Huang, X.; Fang, M.; Zhao, W.; Xu, S.; Zhu, D.; Xu, W.; Fang, M.; Liu, W.; Cao, P.; et al. High-performance UV detectors based on room-temperature deposited amorphous Ga2O3 thin films by RF magnetron sputtering. J. Mater. Chem. C 2019, 7, 11834–11844. [Google Scholar] [CrossRef]
- Huang, C.-Y.; Horng, R.-H.; Wuu, D.-S.; Tu, L.-W.; Kao, H.-S. Thermal annealing effect on material characterizations of β-Ga2O3 epilayer grown by metal organic chemical vapor deposition. Appl. Phys. Lett. 2013, 102, 011119. [Google Scholar] [CrossRef]
- Song, Y.P.; Zhang, H.Z.; Lin, C.; Zhu, Y.W.; Li, G.H.; Yang, F.H.; Yu, D.P. Luminescence emission originating from nitrogen doping ofβ−Ga2O3nanowires. Phys. Rev. B 2004, 69, 075304. [Google Scholar] [CrossRef]
- Qian, L.-X.; Gu, Z.; Huang, X.; Liu, H.; Lv, Y.; Feng, Z.; Zhang, W. Comprehensively Improved Performance of β-Ga2O3 Solar-Blind Photodetector Enabled by a Homojunction with Unique Passivation Mechanisms. ACS Appl. Mater. Interfaces 2021, 13, 40837–40846. [Google Scholar] [CrossRef] [PubMed]
- Zhang, Y.-F.; Chen, X.-H.; Xu, Y.; Ren, F.-F.; Gu, S.-L.; Zhang, R.; Zheng, Y.-D.; Ye, J.-D. Transition of photoconductive and photovoltaic operation modes in amorphous Ga2O3-based solar-blind detectors tuned by oxygen vacancies. Chin. Phys. B 2019, 28, 028501. [Google Scholar] [CrossRef]
- Luo, X.; Chen, S.; Liu, L.; Lv, J.; Qadir, A.; Shehzad, K.; Qiao, X.; Xu, Y.; Kienle, L.; Lotnyk, A.; et al. Micron-Scale Photodetectors Based on One-Dimensional Single-Crystalline Sb2−xSnxSe3 Microrods: Simultaneously Improving Responsivity and Extending Spectral Response Region. J. Phys. Chem. C 2018, 123, 810–816. [Google Scholar] [CrossRef]
- Kong, W.-Y.; Wu, G.-A.; Wang, K.-Y.; Zhang, T.-F.; Zou, Y.-F.; Wang, D.-D.; Luo, L.-B. Graphene-β-Ga2O3 Heterojunction for Highly Sensitive Deep UV Photodetector Application. Adv. Mater. 2016, 28, 10725–10731. [Google Scholar] [CrossRef]
- Yu, J.; Yu, M.; Wang, Z.; Yuan, L.; Huang, Y.; Zhang, L.; Zhang, Y.; Jia, R. Improved Photoresponse Performance of Self-Powered β-Ga2O3/NiO Heterojunction UV Photodetector by Surface Plasmonic Effect of Pt Nanoparticles. IEEE Trans. Electron Devices 2020, 67, 3199–3204. [Google Scholar] [CrossRef]
- Ravadgar, P.; Horng, R.-H.; Yao, S.-D.; Lee, H.-Y.; Wu, B.-R.; Ou, S.-L.; Tu, L.-W. Effects of crystallinity and point defects on optoelectronic applications of β-Ga2O3 epilayers. Opt. Express 2013, 21, 24599–24610. [Google Scholar] [CrossRef]
- Guo, D.; Wang, J.; Cui, C.; Li, P.; Zhong, X.; Wang, F.; Yuan, S.; Zhang, K.; Zhou, Y. ZnO@TiO2 core–shell nanorod arrays with enhanced photoelectrochemical performance. Sol. Energy 2013, 95, 237–245. [Google Scholar] [CrossRef]
- Liu, N.; Fang, G.; Zeng, W.; Zhou, H.; Cheng, F.; Zheng, Q.; Yuan, L.; Zou, X.; Zhao, X. Direct Growth of Lateral ZnO Nanorod UV Photodetectors with Schottky Contact by a Single-Step Hydrothermal Reaction. ACS Appl. Mater. Interfaces 2010, 2, 1973–1979. [Google Scholar] [CrossRef]
- An, Y.-H.; Gao, Z.-S.; Guo, Y.; Zhang, S.-H.; Liu, Z.; Tang, W.-H. One ε-Ga2O3-based solar-blind Schottky photodetector emphasizing high photocurrent gain and photocurrent-intensity linearity. Chin. Phys. B 2023, 32, 058502. [Google Scholar] [CrossRef]
- Yang, Y.; Zhu, H.; Wang, L.; Jiang, Y.; Wang, T.; Liu, C.; Li, B.; Tang, W.; Wu, Z.; Yang, Z.; et al. In-depth investigation of low-energy proton irradiation effect on the structural and photoresponse properties of ε-Ga2O3 thin films. Mater. Des. 2022, 221, 110944. [Google Scholar] [CrossRef]
- Qin, Y.; Li, L.; Zhao, X.; Tompa, G.S.; Dong, H.; Jian, G.; He, Q.; Tan, P.; Hou, X.; Zhang, Z.; et al. Metal–Semiconductor–Metal ε-Ga2O3 Solar-Blind Photodetectors with a Record-High Responsivity Rejection Ratio and Their Gain Mechanism. ACS Photonics 2020, 7, 812–820. [Google Scholar] [CrossRef]
- Qin, Y.; Sun, H.; Long, S.; Tompa, G.S.; Salagaj, T.; Dong, H.; He, Q.; Jian, G.; Liu, Q.; Lv, H.; et al. High-Performance Metal-Organic Chemical Vapor Deposition Grown ε-Ga2O3 Solar-Blind Photodetector With Asymmetric Schottky Electrodes. IEEE Electron Device Lett. 2019, 40, 1475–1478. [Google Scholar] [CrossRef]
- Cao, X.; Xing, Y.; Han, J.; Li, J.; He, T.; Zhang, X.; Zhao, J.; Zhang, B. Crystalline properties of ε-Ga2O3 film grown on c-sapphire by MOCVD and solar-blind ultraviolet photodetector. Mater. Sci. Semicond. Process. 2020, 123, 105532. [Google Scholar] [CrossRef]
- Zhang, W.; Wang, W.; Zhang, J.; Zhang, T.; Chen, L.; Wang, L.; Zhang, Y.; Cao, Y.; Ji, L.; Ye, J. Directional Carrier Transport in Micrometer-Thick Gallium Oxide Films for High-Performance Deep-Ultraviolet Photodetection. ACS Appl. Mater. Interfaces 2023, 15, 10868–10876. [Google Scholar] [CrossRef]
- Xu, Y.; Cheng, Y.; Li, Z.; Chen, D.; Xu, S.; Feng, Q.; Zhu, W.; Zhang, Y.; Zhang, J.; Zhang, C.; et al. Ultrahigh-Performance Solar-Blind Photodetectors Based on High Quality Heteroepitaxial Single Crystalline β-Ga2O3 Film Grown by Vacuumfree, Low-Cost Mist Chemical Vapor Deposition. Adv. Mater. Technol. 2021, 6, 2001296. [Google Scholar] [CrossRef]
- Zhang, C.; Liu, K.; Ai, Q.; Huang, X.; Chen, X.; Zhu, Y.; Yang, J.; Cheng, Z.; Li, B.; Liu, L.; et al. Performance Enhancement of Ga2O3 Solar-Blind UV Photodetector by the Combination of Oxygen Annealing and Plasma Treatment. J. Phys. Chem. C 2022, 126, 21839–21846. [Google Scholar] [CrossRef]
- Zhao, X.; Cui, W.; Wu, Z.; Guo, D.; Li, P.; An, Y.; Li, L.; Tang, W. Growth and Characterization of Sn Doped β-Ga2O3 Thin Films and Enhanced Performance in a Solar-Blind Photodetector. J. Electron. Mater. 2017, 46, 2366–2372. [Google Scholar] [CrossRef]
- Lee, S.H.; Lee, K.M.; Moon, Y.-J.; Bin Kim, S.; Bae, D.; Kim, T.J.; Kim, Y.D.; Kim, S.-K.; Lee, S.W. Sub-microsecond response time deep-ultraviolet photodetectors using α-Ga2O3 thin films grown via low-temperature atomic layer deposition. J. Alloys Compd. 2019, 780, 400–407. [Google Scholar] [CrossRef]
- Zhao, X.; Wu, Z.; Guo, D.; Cui, W.; Li, P.; An, Y.; Li, L.; Tang, W. Growth and characterization of α-phase Ga2−xSnxO3 thin films for solar-blind ultraviolet applications. Semicond. Sci. Technol. 2016, 31, 065010. [Google Scholar] [CrossRef]
- Wang, Y.Q.; Song, L.X.; Teng, Y.; Wang, F.; Wang, W.P.; Ruan, M.M.; Yang, Z.; Xu, Z.Y. From gallium-based supramolecular square nanoplates to γ-Ga2O3 layer nanosheets. J. Mater. Chem. C 2019, 7, 1477–1483. [Google Scholar] [CrossRef]




| Materials | Bias (V) | PDCR | Idark (A) | D* (Jone) | Rejection Ratio | τd (s) | Reference |
|---|---|---|---|---|---|---|---|
| ε-Ga2O3 | 10 | 3.0 × 105 | 6.9 × 10−14 | 1.0 × 1015 | 2.4 × 104 (R230/R400) | 0.03/0.11 | This work |
| ε-Ga2O3 | 5 | 8.7 × 106 | 1.5 × 10−12 | 2.5 × 1015 | 1.2 × 106 (R250/R400) | 0.13 | [38] |
| ε-Ga2O3 | 5 | 3.5 × 103 | 2.1 × 10−11 | 2.5 × 1011 | - | - | [39] |
| ε-Ga2O3 | 6 | 1.7 × 105 | 2.4 × 10−11 | 1.2 × 1015 | 1.2 × 105 (R250/R400) | 0.03/0.08 | [40] |
| ε-Ga2O3 | 6 | 5.7 × 104 | 2.5 × 10−11 | 4.2 × 1014 | - | 0.10 | [41] |
| ε-Ga2O3 | 5 | 2.0 × 103 | 4.7 × 10−7 | 1.2 × 1013 | 6.0 × 103 (R254/R400) | 5.20 | [42] |
| ε-Ga2O3 | 20 | 9.5 × 107 | 1.0 × 10−12 | 1.0 × 1016 | 1.9 × 104 (R240/R400) | 0.12 | [43] |
| a-Ga2O3 | 10 | <104 | 3.4 × 10−10 | 1.3 × 1014 | 1.2 × 105 (R250/R350) | 0.02/0.35 | [20] |
| a-Ga2O3 | 5 | 1.0 × 105 | 3.0 × 10−15 | 9.8 × 1012 | 1.0 × 103 | 2.40 × 10−4 | [31] |
| β-Ga2O3 | 20 | 1.5 × 105 | 7.0 × 10−10 | 1.1 × 1016 | - | 0.21/1.38 | [44] |
| β-Ga2O3 | 10 | <107 | 2.9 × 10−11 | 9.0 × 1015 | 8.6 × 106 (R250/R400) | 0.50 | [45] |
| β-Ga2O3 | 50 | 3.5 × 101 | 1.0 × 10−9 | - | - | 12.13 | [46] |
| α-Ga2O3 | 10 | - | 5.0 × 10−13 | - | 3.6 × 102 (R253/R400) | 8.90 × 10−5 | [47] |
| α-Ga2O3 | 10 | 1.0 × 102 | 1.2 × 10−9 | - | - | 3.49/5.12 | [48] |
| γ-Ga2O3 | - | 1.6 × 104 | 9.0 × 10−10 | - | - | 0.06 | [49] |
Disclaimer/Publisher’s Note: The statements, opinions and data contained in all publications are solely those of the individual author(s) and contributor(s) and not of MDPI and/or the editor(s). MDPI and/or the editor(s) disclaim responsibility for any injury to people or property resulting from any ideas, methods, instructions or products referred to in the content. |
© 2023 by the authors. Licensee MDPI, Basel, Switzerland. This article is an open access article distributed under the terms and conditions of the Creative Commons Attribution (CC BY) license (https://creativecommons.org/licenses/by/4.0/).
Share and Cite
Fei, Z.; Chen, Z.; Chen, W.; Luo, T.; Chen, S.; Liang, J.; Wang, X.; Lu, X.; Wang, G.; Pei, Y. High-Performance ε-Ga2O3 Solar-Blind Photodetectors Grown by MOCVD with Post-Thermal Annealing. Coatings 2023, 13, 1987. https://doi.org/10.3390/coatings13121987
Fei Z, Chen Z, Chen W, Luo T, Chen S, Liang J, Wang X, Lu X, Wang G, Pei Y. High-Performance ε-Ga2O3 Solar-Blind Photodetectors Grown by MOCVD with Post-Thermal Annealing. Coatings. 2023; 13(12):1987. https://doi.org/10.3390/coatings13121987
Chicago/Turabian StyleFei, Zeyuan, Zimin Chen, Weiqu Chen, Tiecheng Luo, Shujian Chen, Jun Liang, Xinzhong Wang, Xing Lu, Gang Wang, and Yanli Pei. 2023. "High-Performance ε-Ga2O3 Solar-Blind Photodetectors Grown by MOCVD with Post-Thermal Annealing" Coatings 13, no. 12: 1987. https://doi.org/10.3390/coatings13121987
APA StyleFei, Z., Chen, Z., Chen, W., Luo, T., Chen, S., Liang, J., Wang, X., Lu, X., Wang, G., & Pei, Y. (2023). High-Performance ε-Ga2O3 Solar-Blind Photodetectors Grown by MOCVD with Post-Thermal Annealing. Coatings, 13(12), 1987. https://doi.org/10.3390/coatings13121987
