Component Engineering of Multiphase Nickel Sulfide-Based Bifunctional Electrocatalysts for Efficient Overall Water Splitting
Abstract
:1. Introduction
2. Experimental
- Chemicals
- Synthesis of multiple-component NixSy composites
- Characterization
- Electrochemical measurements
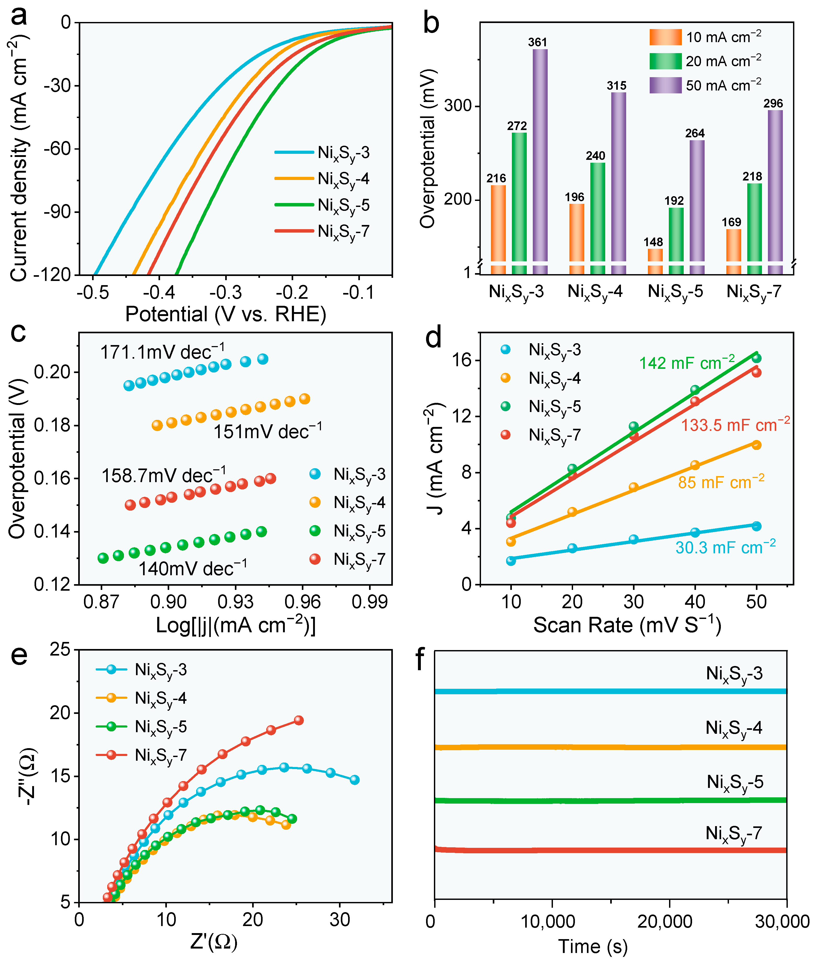
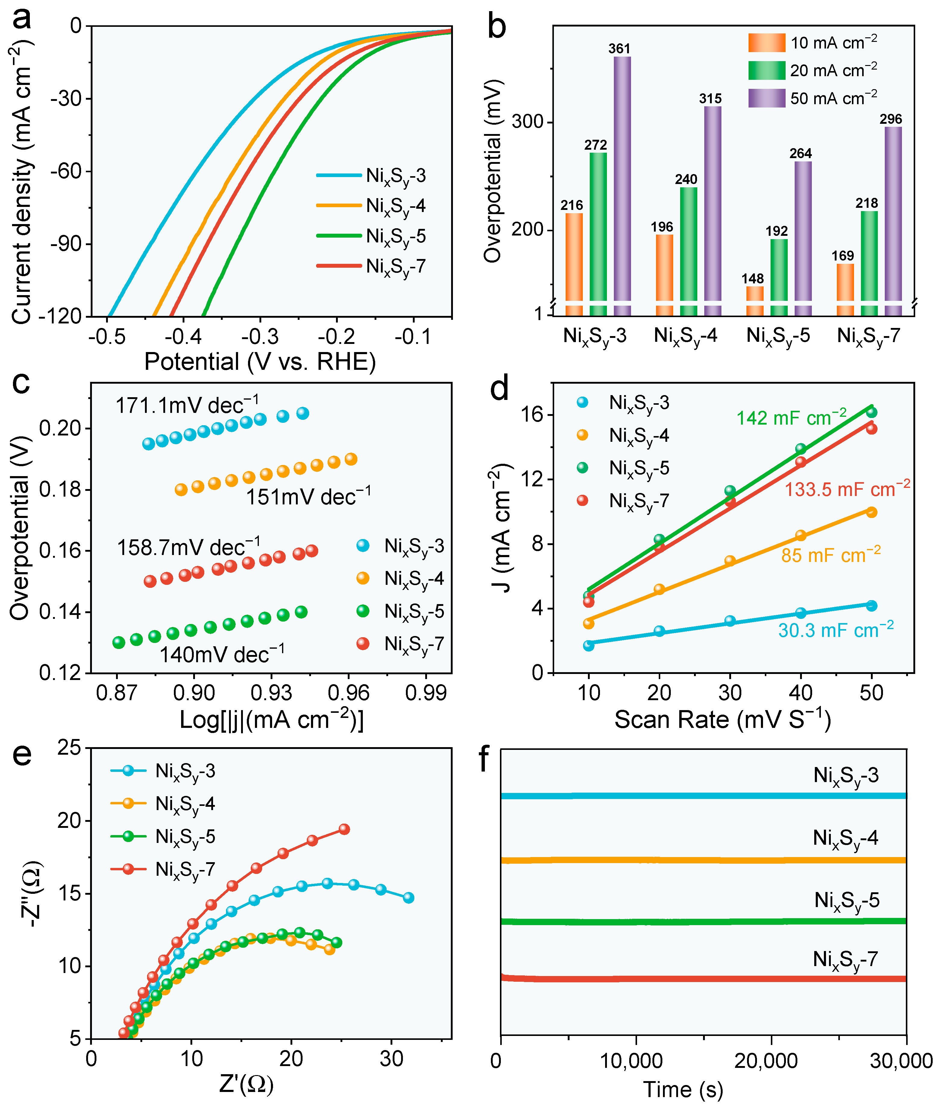
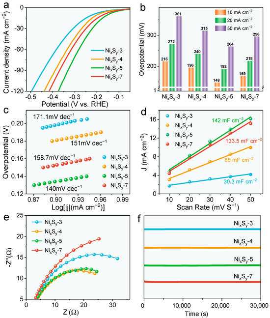
3. Results and Discussion
4. Conclusions
Supplementary Materials
Author Contributions
Funding
Institutional Review Board Statement
Informed Consent Statement
Data Availability Statement
Conflicts of Interest
References
- Montoya, J.H.; Seitz, L.C.; Chakthranont, P.; Vojvodic, A.; Jaramillo, T.F.; Norskov, J.K. Materials for Solar Fuels and Chemicals. Nat. Mater. 2016, 16, 70–81. [Google Scholar] [CrossRef]
- Cook, T.R.; Dogutan, D.K.; Reece, S.Y.; Surendranath, Y.; Teets, T.S.; Nocera, D.G. Solar Energy Supply and Storage for the Legacy and Nonlegacy Worlds. Chem. Rev. 2010, 110, 6474–6502. [Google Scholar] [CrossRef] [PubMed]
- Wang, H.; Lee, H.W.; Deng, Y.; Lu, Z.; Hsu, P.C.; Liu, Y.; Lin, D.; Cui, Y. Bifunctional Non-noble Metal Oxide Nanoparticle Electrocatalysts through Lithium-Induced Conversion for Overall Water Splitting. Nat. Commun. 2015, 6, 7261. [Google Scholar] [CrossRef]
- Li, H.; Zhou, Q.; Liu, F.; Zhang, W.; Tan, Z.; Zhou, H.; Huang, Z.; Jiao, S.; Kuang, Y. Biomimetic Design of Ultrathin Edge-Riched FeOOH@Carbon Nanotubes as High-Efficiency Electrocatalysts for Water Splitting. Appl. Catal. B 2019, 255, 117755. [Google Scholar] [CrossRef]
- Shang, X.; Tang, J.-H.; Dong, B.; Sun, Y. Recent Advances of Nonprecious and Bifunctional Electrocatalysts for Overall Water Splitting. Sustainable Energ. Fuels 2020, 4, 3211–3228. [Google Scholar] [CrossRef]
- You, B.; Sun, Y. Innovative Strategies for Electrocatalytic Water Splitting. Acc Chem. Res. 2018, 51, 1571–1580. [Google Scholar] [CrossRef] [PubMed]
- Pan, Y.; Sun, K.; Liu, S.; Cao, X.; Wu, K.; Cheong, W.C.; Chen, Z.; Wang, Y.; Li, Y.; Liu, Y.; et al. Core-Shell ZIF-8@ZIF-67-Derived CoP Nanoparticle-Embedded N-Doped Carbon Nanotube Hollow Polyhedron for Efficient Overall Water Splitting. J. Am. Chem. Soc. 2018, 140, 2610–2618. [Google Scholar] [CrossRef]
- Parkinson, G.S.; Novotny, Z.; Jacobson, P.; Schmid, M.; Diebold, U. Room Temperature Water Splitting at the Surface of Magnetite. J. Am. Chem. Soc. 2011, 133, 12650–12655. [Google Scholar] [CrossRef]
- Zhang, F.; Zhao, R.; Wang, Y.; Han, L.; Gu, J.; Niu, Z.; Yuan, Y.; Qu, N.; Meng, J.; Wang, D. Superwettable Surface-Dependent Efficiently Electrocatalytic Water Splitting based on Their Excellent Liquid Adsorption and Gas Desorption. Chem. Eng. J. 2023, 452, 139513. [Google Scholar] [CrossRef]
- Roger, I.; Shipman, M.A.; Symes, M.D. Earth-Abundant Catalysts for Electrochemical and Photoelectrochemical Water Splitting. Nat. Rev. Chem. 2017, 1, 3. [Google Scholar] [CrossRef]
- Kibsgaard, J.; Chorkendorff, I. Considerations for the Scaling-up of Water Splitting Catalysts. Nat. Energy 2019, 4, 430–433. [Google Scholar] [CrossRef]
- Mahmood, N.; Yao, Y.; Zhang, J.W.; Pan, L.; Zhang, X.; Zou, J.J. Electrocatalysts for Hydrogen Evolution in Alkaline Electrolytes: Mechanisms, Challenges, and Prospective Solutions. Adv. Sci. 2018, 5, 1700464. [Google Scholar] [CrossRef] [PubMed]
- Zheng, Y.; Jiao, Y.; Vasileff, A.; Qiao, S.Z. The Hydrogen Evolution Reaction in Alkaline Solution: From Theory, Single Crystal Models, to Practical Electrocatalysts. Angew. Chem. Int. Ed. 2018, 57, 7568–7579. [Google Scholar] [CrossRef] [PubMed]
- Levinas, R.; Tsyntsaru, N.; Cesiulis, H.; Viter, R.; Grundsteins, K.; Loreta, T.T.; Norkus, E. Electrochemical Synthesis of a WO3/MoSx Heterostructured Bifunctional Catalyst for Efficient Overall Water Splitting. Coatings 2023, 13, 673. [Google Scholar] [CrossRef]
- Wu, Y.; Li, G.-D.; Liu, Y.; Yang, L.; Lian, X.; Asefa, T.; Zou, X. Overall Water Splitting Catalyzed Efficiently by an Ultrathin Nanosheet-Built, Hollow Ni3S2-Based Electrocatalyst. Adv. Funct. Mater. 2016, 26, 4839–4847. [Google Scholar] [CrossRef]
- Jin, H.; Wang, J.; Su, D.; Wei, Z.; Pang, Z.; Wang, Y. In Situ Cobalt-Cobalt Oxide/N-Doped Carbon Hybrids as Superior Bifunctional Electrocatalysts for Hydrogen and Oxygen Evolution. J. Am. Chem. Soc. 2015, 137, 2688–2694. [Google Scholar] [CrossRef]
- Ren, J.; Antonietti, M.; Fellinger, T.-P. Efficient Water Splitting Using a Simple Ni/N/C Paper Electrocatalyst. Adv. Energy Mater. 2015, 5, 1401660. [Google Scholar] [CrossRef]
- Yang, Y.; Fei, H.; Ruan, G.; Tour, J.M. Porous Cobalt-based Thin Film as a Bifunctional Catalyst for Hydrogen Generation and Oxygen Generation. Adv. Mater. 2015, 27, 3175–3180. [Google Scholar] [CrossRef]
- Jiang, N.; You, B.; Sheng, M.; Sun, Y. Electrodeposited Cobalt-Phosphorous-Derived Films as Competent Bifunctional Catalysts for Overall Water Splitting. Angew. Chem. Int. Ed. 2015, 54, 6251–6254. [Google Scholar] [CrossRef]
- Stern, L.-A.; Feng, L.; Song, F.; Hu, X. Ni2P as a Janus catalyst for Water Splitting: The Oxygen Evolution Activity of Ni2P Nanoparticles. Energy Environ. Sci. 2015, 8, 2347–2351. [Google Scholar] [CrossRef]
- Zhang, G.; Wang, G.; Liu, Y.; Liu, H.; Qu, J.; Li, J. Highly Active and Stable Catalysts of Phytic Acid-Derivative Transition Metal Phosphides for Full Water Splitting. J. Am. Chem. Soc. 2016, 138, 14686–14693. [Google Scholar] [CrossRef] [PubMed]
- Guo, Y.; Tong, Y.; Chen, P.; Xu, K.; Zhao, J.; Lin, Y.; Chu, W.; Peng, Z.; Wu, C.; Xie, Y. Engineering the Electronic State of a Perovskite Electrocatalyst for Synergistically Enhanced Oxygen Evolution Reaction. Adv. Mater. 2015, 27, 5989–5994. [Google Scholar] [CrossRef] [PubMed]
- Lu, X.; Yim, W.L.; Suryanto, B.H.; Zhao, C. Electrocatalytic Oxygen Evolution at Surface-Oxidized Multiwall Carbon Nanotubes. J. Am. Chem. Soc. 2015, 137, 2901–2907. [Google Scholar] [CrossRef]
- Wang, F.; Li, J.; Wang, F.; Shifa, T.A.; Cheng, Z.; Wang, Z.; Xu, K.; Zhan, X.; Wang, Q.; Huang, Y.; et al. Enhanced Electrochemical H2 Evolution by Few-Layered Metallic WS2(1–x)Se2x Nanoribbons. Adv. Funct. Mater. 2015, 25, 6077–6083. [Google Scholar] [CrossRef]
- Pfrommer, J.; Lublow, M.; Azarpira, A.; Gobel, C.; Lucke, M.; Steigert, A.; Pogrzeba, M.; Menezes, P.W.; Fischer, A.; Schedel-Niedrig, T.; et al. A Molecular Approach to Self-Supported Cobalt-Substituted ZnO Materials as Remarkably Stable Electrocatalysts for Water Oxidation. Angew. Chem. Int. Ed. 2014, 53, 5183–5187. [Google Scholar] [CrossRef] [PubMed]
- Yin, T.H.; Liu, B.J.; Lin, Y.W.; Li, Y.S.; Lai, C.E.; Lan, Y.P.; Choi, C.; Chang, H.C.; Choi, Y.M. Electrodeposition of Copper Oxides as Cost-Effective Heterojunction Photoelectrode Materials for Solar Water Splitting. Coatings 2022, 12, 1839. [Google Scholar] [CrossRef]
- Giovanni, D.C.; Wang, W.-A.; Nowak, S.; Grenèche, J.-M.; Lecoq, H.; Mouton, L.; Giraud, M.; Tard, C. Bioinspired Iron Sulfide Nanoparticles for Cheap and Long-Lived Electrocatalytic Molecular Hydrogen Evolution in Neutral Water. ACS Catal. 2014, 4, 681–687. [Google Scholar] [CrossRef]
- Feng, L.L.; Yu, G.; Wu, Y.; Li, G.D.; Li, H.; Sun, Y.; Asefa, T.; Chen, W.; Zou, X. High-Index Faceted Ni3S2 Nanosheet Arrays as Highly Active and Ultrastable Electrocatalysts for Water Splitting. J. Am. Chem. Soc. 2015, 137, 14023–14026. [Google Scholar] [CrossRef]
- Kong, D.; Wang, H.; Lu, Z.; Cui, Y. CoSe2 Nanoparticles Grown on Carbon Fiber Paper: An Efficient and Stable Electrocatalyst for Hydrogen Evolution Reaction. J. Am. Chem. Soc. 2014, 136, 4897–4900. [Google Scholar] [CrossRef]
- Popczun, E.J.; McKone, J.R.; Read, C.G.; Biacchi, A.J.; Wiltrout, A.M.; Lewis, N.S.; Schaak, R.E. Nanostructured Nickel Phosphide as an Electrocatalyst for the Hydrogen Evolution Reaction. J. Am. Chem. Soc. 2013, 135, 9267–9270. [Google Scholar] [CrossRef]
- Liu, Q.; Tian, J.; Cui, W.; Jiang, P.; Cheng, N.; Asiri, A.M.; Sun, X. Carbon Nanotubes Decorated with CoP Nanocrystals: A Highly Active Non-Noble-Metal Nanohybrid Electrocatalyst for Hydrogen Evolution. Angew. Chem. Int. Ed. 2014, 53, 6710–6714. [Google Scholar] [CrossRef]
- Perevoznikov, S.S.; Yakovlev, I.V.; Tsybulskaya, L.S.; Lapina, O.B. Synthesis and Composition Study of Electrochemically Deposited Ni-P Coating with Increased Surface Area. Coatings 2021, 11, 1071. [Google Scholar] [CrossRef]
- Li, L.; Wang, X.; Guo, Y.; Li, J. Synthesis of an Ultrafine CoP Nanocrystal/Graphene Sandwiched Structure for Efficient Overall Water Splitting. Langmuir 2020, 36, 1916–1922. [Google Scholar] [CrossRef]
- Han, X.; Yu, C.; Zhou, S.; Zhao, C.; Huang, H.; Yang, J.; Liu, Z.; Zhao, J.; Qiu, J. Ultrasensitive Iron-Triggered Nanosized Fe-CoOOH Integrated with Graphene for Highly Efficient Oxygen Evolution. Adv. Energy Mater. 2017, 7, 1602148. [Google Scholar] [CrossRef]
- Chen, P.; Zhou, T.; Zhang, M.; Tong, Y.; Zhong, C.; Zhang, N.; Zhang, L.; Wu, C.; Xie, Y. 3D Nitrogen-Anion-Decorated Nickel Sulfides for Highly Efficient Overall Water Splitting. Adv. Mater. 2017, 29, 1701584. [Google Scholar] [CrossRef] [PubMed]
- Hao, J.; Yang, W.; Hou, J.; Mao, B.; Huang, Z.; Shi, W. Nitrogen Doped NiS2 Nanoarrays with Enhanced Electrocatalytic Activity for Water Oxidation. J. Mater. Chem. A 2017, 5, 17811–17816. [Google Scholar] [CrossRef]
- Yu, X.Y.; Yu, L.; Wu, H.B.; Lou, X.W. Formation of Nickel Sulfide Nanoframes from Metal-Organic Frameworks with Enhanced Pseudocapacitive and Electrocatalytic Properties. Angew. Chem. Int. Ed. 2015, 54, 5331–5335. [Google Scholar] [CrossRef] [PubMed]
- Jiang, N.; Tang, Q.; Sheng, M.; You, B.; Jiang, D.; Sun, Y. Nickel Sulfides for Electrocatalytic Hydrogen Evolution under Alkaline Conditions: A Case study of Crystalline NiS, NiS2, and Ni3S2 Nanoparticles. Catal. Sci. Technol. 2016, 6, 1077–1084. [Google Scholar] [CrossRef]
- Qu, Y.; Yang, M.; Chai, J.; Tang, Z.; Shao, M.; Kwok, C.T.; Yang, M.; Wang, Z.; Chua, D.; Wang, S.; et al. Facile Synthesis of Vanadium-Doped Ni3S2 Nanowire Arrays as Active Electrocatalyst for Hydrogen Evolution Reaction. ACS Appl. Mater. Interfaces 2017, 9, 5959–5967. [Google Scholar] [CrossRef]
- Cheng, N.; Liu, Q.; Asiri, A.M.; Xing, W.; Sun, X. A Fe-Doped Ni3S2 Particle Film as a High-Efficiency Robust Oxygen Evolution Electrode with Very High Current Density. J. Mater. Chem. A 2015, 3, 23207–23212. [Google Scholar] [CrossRef]
- Liu, Q.; Xie, L.; Liu, Z.; Du, G.; Asiri, A.M.; Sun, X. A Zn-Doped Ni3S2 Nanosheet Array as a High-Performance Electrochemical Water Oxidation Catalyst in Alkaline Solution. Chem. Commun. 2017, 53, 12446–12449. [Google Scholar] [CrossRef] [PubMed]
- Cui, Z.; Ge, Y.; Chu, H.; Baines, R.; Dong, P.; Tang, J.; Yang, Y.; Ajayan, P.M.; Ye, M.; Shen, J. Controlled Synthesis of Mo-Doped Ni3S2 Nano-rods: An Efficient and Stable Electro-catalyst for Water Splitting. J. Mater. Chem. A 2017, 5, 1595–1602. [Google Scholar] [CrossRef]
- Zykov, F.; Selyanin, I.; Shishkin, R.; Kartashov, V.; Borodianskiy, K.; Yuferov, Y. Study of the Photocatalytic Properties of Ni-Doped Nanotubular Titanium Oxide. Coatings 2023, 13, 144. [Google Scholar] [CrossRef]
- Wen, L.; Xu, R.; Mi, Y.; Lei, Y. Multiple Nanostructures based on Anodized Aluminium Oxide Templates. Nat. Nanotechnol. 2017, 12, 244–250. [Google Scholar] [CrossRef] [PubMed]
- Cui, R.; Gu, J.; Wang, N.; Wang, Y.; Huang, X.; Zhang, S.; Lu, L.; Wang, D. Organic Dye Molecule Intercalated Vanadium Oxygen Hydrate Enables High-Performance Aqueous Zinc-Ion Storage. Small 2023, 2307849. [Google Scholar] [CrossRef] [PubMed]
- Petriev, I.; Pushankina, P.; Glazkova, Y.; Andreev, G.; Baryshev, M. Investigation of the Dependence of Electrocatalytic Activity of Copper and Palladium Nanoparticles on Morphology and Shape Formation. Coatings 2023, 13, 621. [Google Scholar] [CrossRef]
- Li, H.; Wu, X.; Wang, P.; Song, S.; He, M.; Li, C.; Wang, W.; Fang, Z.; Yuan, X.; Song, W.; et al. Interface Engineering of Hollow CoO/Co4S3@CoO/Co4S3 Heterojunction for Highly Stable and Efficient Electrocatalytic Overall Water Splitting. ACS Sustain. Chem. Eng. 2022, 10, 13112–13124. [Google Scholar] [CrossRef]
- He, W.; Liu, H.; Cheng, J.; Li, Y.; Liu, C.; Chen, C.; Zhao, J.; Xin, H.L. Modulating the Electronic Structure of Nickel Sulfide Electrocatalysts by Chlorine Doping toward Highly Efficient Alkaline Hydrogen Evolution. ACS Appl. Mater. Interfaces 2022, 14, 6869–6875. [Google Scholar] [CrossRef] [PubMed]
- Raj, D.; Scaglione, F.; Fiore, G.; Rizzi, P. Cost-Effective Nanoporous Gold Obtained by Dealloying Metastable Precursor, Au33Fe67, Reveals Excellent Methanol Electro-Oxidation Performance. Coatings 2022, 12, 831. [Google Scholar] [CrossRef]
- Wang, L.; Zhang, L.; Ma, W.; Wan, H.; Zhang, X.; Zhang, X.; Jiang, S.; Zheng, J.Y.; Zhou, Z. In Situ Anchoring Massive Isolated Pt Atoms at Cationic Vacancies of α-NixFe1-x(OH)2 to Regulate the Electronic Structure for Overall Water Splitting. Adv. Funct. Mater. 2022, 32, 2203342. [Google Scholar] [CrossRef]
- Vrubel, H.; Merki, D.; Hu, X. Hydrogen evolution catalyzed by MoS3 and MoS2 particles. Energy Environ. Sci. 2012, 5, 6136–6144. [Google Scholar] [CrossRef]
- Cai, Z.; Zhang, Y.; Zhao, Y.; Wu, Y.; Xu, W.; Wen, X.; Zhong, Y.; Zhang, Y.; Liu, W.; Wang, H.; et al. Selectivity Regulation of CO2 Electroreduction through Contact Interface Engineering on Superwetting Cu Nanoarray Electrodes. Nano Res. 2018, 12, 345–349. [Google Scholar] [CrossRef]
- Weber, T.; Muijsers, J.C.; Wolput, J.H.M.C.; Verhagen, C.P.J.; Niemantsverdriet, J.W. Basic Reaction Steps in the Sulfidation of Crystalline MoO3 to MoS2, As Studied by X-ray Photoelectron and Infrared Emission Spectroscopy. J. Phys. Chem. 1996, 100, 14144–14150. [Google Scholar] [CrossRef]
- Yin, J.; Li, Y.; Lv, F.; Lu, M.; Sun, K.; Wang, W.; Wang, L.; Cheng, F.; Li, Y.; Xi, P.; et al. Oxygen Vacancies Dominated NiS2/CoS2 Interface Porous Nanowires for Portable Zn-Air Batteries Driven Water Splitting Devices. Adv. Mater. 2017, 29, 1704681. [Google Scholar] [CrossRef] [PubMed]
- Poolwong, J.; Del Gobbo, S.; D’Elia, V. Transesterification of Dimethyl Carbonate with Glycerol by Perovskite-Based Mixed Metal Oxide Nanoparticles for the Atom-Efficient Production of Glycerol Carbonate. J. Ind. Eng. Chem. 2021, 104, 43–60. [Google Scholar] [CrossRef]
- Del Gobbo, S.; Poolwong, J.; Valerio D’Elia, V.; Ogawa, M. Simultaneous Controlled Seeded-Growth and Doping of ZnO Nanorods with Aluminum and Cerium: Feasibility Assessment and Effect on Photocatalytic Activity. Cryst. Growth Des. 2020, 20, 5508–5525. [Google Scholar] [CrossRef]
- Kessaratikoon, T.; Saengsaen, S.; Del Gobbo, S.; D’Elia, V.; Sooknoi, T. High Surface Area ZnO-Nanorods Catalyze the Clean Thermal Methane Oxidation to CO2. Catalysts 2022, 12, 1533. [Google Scholar] [CrossRef]
- Liu, Y.; Wang, L.; Li, D.; Wang, K. State-of-Health Estimation of Lithium-Ion Batteries based on Electrochemical Impedance Spectroscopy: A Review. Prot. Contr. Mod. Pow. 2023, 8, 41. [Google Scholar] [CrossRef]
- Qu, M.; Jiang, Y.; Yang, M.; Liu, S.; Guo, Q.; Shen, W.; Li, M.; He, R. Regulating electron density of NiFe-P nanosheets electrocatalysts by a trifle of Ru for high-efficient overall water splitting. Appl. Catal. B Environ. 2020, 263, 118324. [Google Scholar] [CrossRef]
- Chen, G.; Wang, T.; Zhang, J.; Liu, P.; Sun, H.; Zhuang, X.; Chen, M.; Feng, X. Accelerated Hydrogen Evolution Kinetics on NiFe-Layered Double Hydroxide Electrocatalysts by Tailoring Water Dissociation Active Sites. Adv. Mater. 2018, 30, 1706279. [Google Scholar] [CrossRef]
- Wang, Y.; Zheng, P.; Li, M.; Li, Y.; Zhang, X.; Chen, J.; Fang, X.; Liu, Y.; Yuan, X.; Dai, X.; et al. Interfacial Synergy between Dispersed Ru Sub-nanoclusters and Porous NiFe Layered Double Hydroxide on Accelerated Overall Water Splitting by Intermediate Modulation. Nanoscale 2020, 12, 9669–9679. [Google Scholar] [CrossRef] [PubMed]
- Tang, B.; Yang, X.; Kang, Z.; Feng, L. Crystallized RuTe2 as Unexpected Bifunctional Catalyst for Overall Water Splitting. Appl. Catal. B Environ. 2020, 278, 119281. [Google Scholar] [CrossRef]
- Ding, J.B.; Shao, Q.; Feng, Y.G.; Huang, X.Q. Ruthenium-Nickel Sandwiched Nanoplates for Efficient Water Splitting Electrocatalysis. Nano Energy 2018, 47, 1–7. [Google Scholar] [CrossRef]
- Wang, J.; Zhang, M.; Yang, G.; Song, W.; Zhong, W.; Wang, X.; Wang, M.; Sun, T.; Tang, Y. Heterogeneous Bimetallic Mo-NiPx/NiSy as a Highly Efficient Electrocatalyst for Robust Overall Water Splitting. Adv. Funct. Mater. 2021, 16, 2101532. [Google Scholar] [CrossRef]
- Luo, X.; Ji, P.; Wang, P.; Cheng, R.; Chen, D.; Lin, C.; Zhang, J.; He, J.; Shi, Z.; Li, N.; et al. Interface Engineering of Hierarchical Branched Mo-Doped Ni3S2/NixPy Hollow Heterostructure Nanorods for Efficient Overall Water Splitting. Adv. Energy. Mater. 2020, 10, 1903891. [Google Scholar] [CrossRef]
- Zheng, X.; Zhang, Y.; Liu, H.; Fu, D.; Chen, J.; Wang, J.; Zhong, C.; Deng, Y.; Han, X.; Hu, W. In Situ Fabrication of Heterostructure on Nickel Foam with Tuned Composition for Enhancing Water-Splitting Performance. Small 2018, 14, e1803666. [Google Scholar] [CrossRef]
- Du, F.; Shi, L.; Zhang, Y.; Li, T.; Wang, J.; Wen, G.; Alsaedi, A.; Hayat, T.; Zhou, Y.; Zou, Z. Foam–Like Co9S8/Ni3S2 Heterostructure Nanowire Arrays for Efficient Bifunctional Overall Water–Splitting. Appl. Catal. B Environ. 2019, 253, 246–252. [Google Scholar] [CrossRef]
- Kang, Z.; Guo, H.; Wu, J.; Sun, X.; Zhang, Z.; Liao, Q.; Zhang, S.; Si, H.; Wu, P.; Wang, L.; et al. Engineering an Earth-Abundant Element-Based Bifunctional Electrocatalyst for Highly Efficient and Durable Overall Water Splitting. Adv. Funct. Mater. 2019, 29, 1807031. [Google Scholar] [CrossRef]
- Ji, L.; Wang, J.; Teng, X.; Meyer, T.J.; Chen, Z. CoP Nanoframes as Bifunctional Electrocatalysts for Efficient Overall Water Splitting. ACS Catal. 2019, 10, 412–419. [Google Scholar] [CrossRef]
- Du, S.; Ren, Z.; Zhang, J.; Wu, J.; Xi, W.; Zhu, J.; Fu, H. Co3O4 Nanocrystal Ink Printed on Carbon Fiber Paper as a Large-Area Electrode for Electrochemical Water Splitting. Chem. Commun. 2015, 51, 8066–8069. [Google Scholar] [CrossRef]





Disclaimer/Publisher’s Note: The statements, opinions and data contained in all publications are solely those of the individual author(s) and contributor(s) and not of MDPI and/or the editor(s). MDPI and/or the editor(s) disclaim responsibility for any injury to people or property resulting from any ideas, methods, instructions or products referred to in the content. |
© 2023 by the authors. Licensee MDPI, Basel, Switzerland. This article is an open access article distributed under the terms and conditions of the Creative Commons Attribution (CC BY) license (https://creativecommons.org/licenses/by/4.0/).
Share and Cite
Qu, N.; Han, L.; Wu, T.; Luo, Q.; Tang, S.; Gu, J.; Wang, D. Component Engineering of Multiphase Nickel Sulfide-Based Bifunctional Electrocatalysts for Efficient Overall Water Splitting. Coatings 2023, 13, 1938. https://doi.org/10.3390/coatings13111938
Qu N, Han L, Wu T, Luo Q, Tang S, Gu J, Wang D. Component Engineering of Multiphase Nickel Sulfide-Based Bifunctional Electrocatalysts for Efficient Overall Water Splitting. Coatings. 2023; 13(11):1938. https://doi.org/10.3390/coatings13111938
Chicago/Turabian StyleQu, Nianrui, Lu Han, Tianhui Wu, Qingzhi Luo, Shoufeng Tang, Jianmin Gu, and Desong Wang. 2023. "Component Engineering of Multiphase Nickel Sulfide-Based Bifunctional Electrocatalysts for Efficient Overall Water Splitting" Coatings 13, no. 11: 1938. https://doi.org/10.3390/coatings13111938
APA StyleQu, N., Han, L., Wu, T., Luo, Q., Tang, S., Gu, J., & Wang, D. (2023). Component Engineering of Multiphase Nickel Sulfide-Based Bifunctional Electrocatalysts for Efficient Overall Water Splitting. Coatings, 13(11), 1938. https://doi.org/10.3390/coatings13111938

