Investigations on Microstructures and Properties of (Fe, Cr, W)7C3 Carbides by First Principles and Experiments
Abstract
:Highlights
- The structural and elastic properties of (Fe, Cr, W)7C3 were investigated by first principles.
- Tungsten doping can improve the ductility and the indentation modulus of (Fe, Cr)7C3 carbides.
- The elastic anisotropy of M7C3 became weaker after tungsten doping.
- A new carbide (Fe3.27Cr2.99W0.74) C3 was found to be a combination of mechanical properties.
Abstract
1. Introduction
2. Experimental Details
2.1. Calculation Details
2.2. Experimental Data
3. Results and Discussion
3.1. The Equilibrium Lattice Constants and Stability
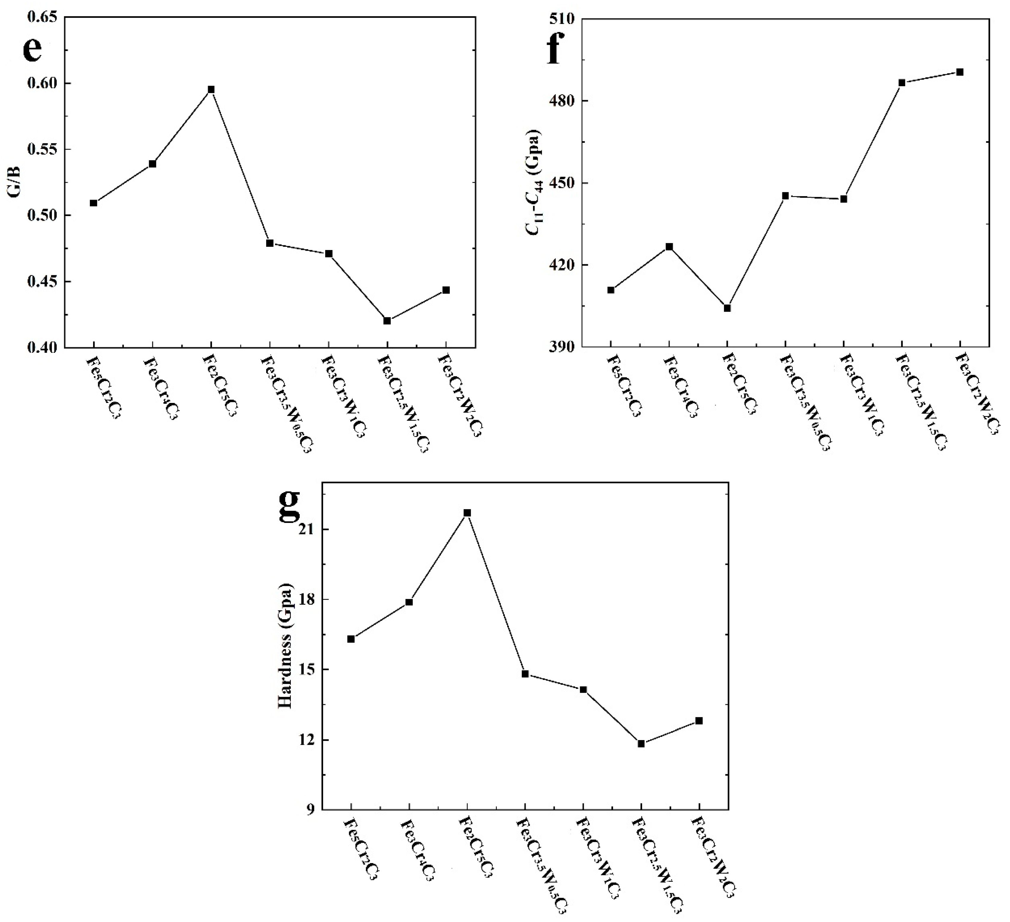
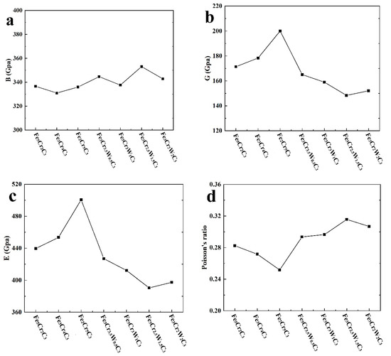
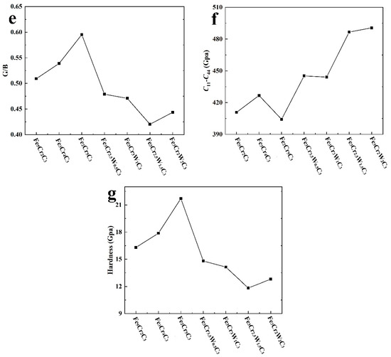
3.2. Mechanical Properties
3.3. The Electronic Structures
3.4. TEM Analysis
3.5. Nanoindentation Experiments
3.6. Wear Resistance
4. Conclusions
Author Contributions
Funding
Institutional Review Board Statement
Informed Consent Statement
Data Availability Statement
Conflicts of Interest
References
- Giourntas, L.; Brownlie, F.; Hodgkiess, T.; Galloway, A.M. Influence of metallic matrix on erosion-corrosion behaviour of high chromium cast irons under slurry impingement conditions. Wear 2021, 477, 203834. [Google Scholar] [CrossRef]
- Li, Y.; Shen, D.; Xu, N.; Tong, W. Cladding high chromium cast irons on low carbon steel: Microstructure and mechanical properties. J. Mater. Res. Technol. 2020, 9, 3856. [Google Scholar] [CrossRef]
- Wiengmoon, A.; Pearce, J.T.H.; Nusen, S.; Chairuangsri, T. Electron microscopy study of carbides precipitated during destabilization and tempering heat treatments of 25 wt.%Cr-0.7 wt.%Mo high chromium cast irons. Micron 2021, 143, 103025. [Google Scholar] [CrossRef] [PubMed]
- Nayak, U.P.; Guitar, M.A.; Mücklich, F.A. A Comparative Study on the Influence of Chromium on the Phase Fraction and Elemental Distribution in As-Cast High Chromium Cast Irons: Simulation vs. Experimentation. Metals 2020, 10, 30. [Google Scholar] [CrossRef]
- Bedolla-Jacuinde, A.; Guerra, F.V.; Guerrero-Pastran, A.J.; Sierra-Cetina, M.A.; Valdez-Medina, S. Microstructural effect and wear performance of high chromium white cast iron modified with high boron contents. Wear 2021, 476, 203675. [Google Scholar] [CrossRef]
- Heydari, D.; Skandani, A.A.; Haik, M.A. Effect of carbon content on carbide morphology and mechanical properties of A.R. white cast iron with 10-12% tungsten. Mater. Sci. Eng. A. 2012, 542, 113–126. [Google Scholar] [CrossRef]
- Efremenko, V.G.; Chabak, Y.G.; Lekatou, A.; Karantzalis, A.E.; Efremenko, A.V. Pulsed plasma deposition of Fe-C-Cr-W coating on high-Cr-cast iron: Effect of layered morphology and heat treatment on the microstructure and hardness. Surf. Coat. Technol. 2016, 304, 293–305. [Google Scholar] [CrossRef]
- Zhang, P.; Zhou, Y.; Yang, J.; Li, D.; Ren, X.; Yang, Y.; Yang, Q. Optimization on mechanical properties of Fe7-xCrxC3 carbides by first-principles investigation. J. Alloys Compd. 2013, 560, 49–53. [Google Scholar] [CrossRef]
- Zhao, Z.; Song, R.; Zhang, Y.; Yu, P.; Pei, Y. Co-orientation relationship between secondary carbides and adjacent ferrite after quenching and tempering in high chromium cast iron. Vacuum 2021, 184, 109911. [Google Scholar] [CrossRef]
- Xiao, B.; Xing, J.D.; Feng, J.; Zhou, C.T.; Cheng, Y.H. A comparative study of Cr7C3, Fe3C and Fe2B in cast iron both from ab initio calculations and experiments. J. Phys. D 2009, 42, 115415. [Google Scholar] [CrossRef]
- Xiao, B.; Feng, J.; Zhou, C.T.; Xing, J.D.; Xie, X.J.; Chen, Y.H. First principles study on the electronic structures and stability of Cr7C3 type multi-component carbides. Chem. Phys. Lett. 2008, 459, 129–132. [Google Scholar] [CrossRef]
- Konyaeva, M.A.; Medvedeva, N.I. Electronic structure, magnetic properties, and stability of the binary and ternary carbides (Fe, Cr)3C and (Fe, Cr)7C3. Phys. Solid State 2009, 51, 2084. [Google Scholar] [CrossRef]
- Music, D.; Kreissig, U.; Mertens, R.; Schneider, J.M. Electronic structure and mechanical properties of Cr7C3. Phys. Lett. A 2004, 326, 473. [Google Scholar] [CrossRef]
- Sun, L.; Ji, X.; Zhao, L.; Zhai, W.; Xu, L.; Dong, H.; Liu, Y.; Peng, J. First principles investigation of binary chromium carbides Cr7C3, Cr3C2 And Cr23C6: Electronic structures, mechanical properties and thermodynamic properties under pressure. Materials 2022, 15, 558. [Google Scholar] [CrossRef] [PubMed]
- Coronado, J.J. Effect of (Fe, Cr)7C3 carbide orientation on abrasion wear resistance and fracture toughness. Wear 2011, 270, 287–293. [Google Scholar] [CrossRef]
- Zhou, M.; Sui, Y.; Chong, X.; Jiang, Y.H. Wear resistance mechanism of ZTAP/HCCI composites with a honeycomb structure. Metals 2018, 8, 588. [Google Scholar] [CrossRef]
- El-Aziz, K.A.; Zohdy, K.; Saber, D.; Sallam, H.E.M. Wear and corrosion behavior of high-Cr white cast iron alloys in different corrosive media. J. Bio- Tribo. Corros. 2015, 1, 25. [Google Scholar] [CrossRef]
- Cortés-Carrillo, E.; Bedolla-Jacuinde, A.; Mejía, I.; Zepeda, C.M.; Guerra-Lopez, F.V. Effects of tungsten on the microstructure and on the abrasive wear behavior of a high chromium white iron. Wear 2017, 376-377, 77–85. [Google Scholar] [CrossRef]
- Lv, Y.; Sun, Y.; Zhao, J.; Yu, G.; Shen, J.; Hu, S. Effect of tungsten on microstructure and properties of high chromium cast iron. Mater. Des. 2012, 39, 303–308. [Google Scholar] [CrossRef]
- Anijdan, H.S.M.; Bahrami, A.; Varahram, N.; Davami, P. Effects of tungsten on erosion–corrosion behavior of high chromium white cast iron. Mater. Sci. Eng. A 2007, 454, 623–628. [Google Scholar] [CrossRef]
- Guerra, F.V.; Bedolla-Jacuinde, A.; Zuno-Silva, J.; Mejia, I.; Cardoso-Legorreta, E.; Arenas-Flores, A. Effect of the simultaneous Ti and W addition on the microstructure and wear behavior of a high chromium white cast iron. Met. Res. Technol. 2019, 116, 602. [Google Scholar] [CrossRef]
- Chong, X.Y.; Hu, M.Y.; Wu, P.; Shan, Q.; Jiang, Y.H.; Li, Z.L.; Feng, J. Tailoring the anisotropic mechanical properties of hexagonal M7X3 (M=Fe, Cr, W, Mo; X=C, B) by multialloying. Acta. Mater. 2019, 169, 193–208. [Google Scholar] [CrossRef]
- Xiao, B.; Feng, J.; Zhou, C.T.; Jiang, Y.H.; Zhou, R. Mechanical properties and chemical bonding characteristics of Cr7C3 type multicomponent carbides. J. Appl. Phys. 2011, 109, 1–9. [Google Scholar] [CrossRef]
- Fischer, T.H.; Almlof, J. General methods for geometry and wave function optimization. J. Phys. Chem. 1992, 96, 9768. [Google Scholar] [CrossRef]
- Fang, C.M.; van Huis, M.A.; Zandbergen, H.W. Structural, electronic, and magnetic properties of iron carbide Fe7C3 phases from first-principles theory. Phys. Rev. B 2009, 80, 224108. [Google Scholar] [CrossRef]
- Yang, P.; Fu, H.; Zhao, X.; Lin, J.; Lei, Y. Wear behavior of CADI obtained at different austenitizing temperatures. Tribol. Int. 2019, 140, 105876. [Google Scholar]
- Lin, C.M.; Chang, C.M.; Chen, J.H.; Wu, W. The effects of additive elements on the microstructure characteristics and mechanical properties of Cr–Fe–C hard-facing alloys. J. Alloys Comp. 2010, 498, 30–36. [Google Scholar] [CrossRef]
- Sun, S.; Fu, H.; Lin, J.; Guo, G.; Lei, Y.; Wang, R. The stability, mechanical properties, electronic structures and thermodynamic properties of (Ti, Nb)C compounds by first principles calculations. J. Mater. Res. 2018, 4, 495–506. [Google Scholar] [CrossRef]
- Wu, Z.; Zhao, E.; Xiang, H.; Hao, X.; Liu, X.; Meng, J. Crystal structures and elastic properties of superhard IrN2 and IrN3 from first principles. Phys. Rev. B. 2007, 76, 1–15. [Google Scholar]
- Tian, Y.; Xu, B.; Zhao, Z. Microscopic theory of hardness and design of novel superhard crystals. Int. J. Refract. Met. Hard. Mater. 2012, 33, 93–106. [Google Scholar] [CrossRef]
- Ganguly, A.; Murthy, V.; Kannoorpatti, K. Structural and electronic properties of chromium carbides and Fe-substituted chromium carbides. Mater. Res. Express 2020, 7, 056508. [Google Scholar] [CrossRef]
- Ţălu, Ş. Micro and nanoscale characterization of three dimensional surfaces. In Basics and Applications; Napoca Star Publishing House: Cluj-Napoca, Romania, 2015; pp. 21–27. [Google Scholar]















| Species | Space Group | a (Å) | b (Å) | c (Å) | Volume (Å3) | Density (g/cm3) |
|---|---|---|---|---|---|---|
| Fe5Cr2C3 | P63mc (186) | 7.0054 | 7.0054 | 4.3188 | 183.00 | 7.61 |
| Fe2Cr5C3 | P63mc (186) | 6.7795 | 6.7795 | 4.6500 | 187.21 | 7.23 |
| Fe3Cr4C3 | P63mc (186) | 6.8358 | 6.8358 | 4.5471 | 185.61 | 7.37 |
| Fe3Cr4C3 [11] | P63mc (186) | 6.8258 | 6.8258 | 4.4948 | 180.0 | 7.48 |
| Fe3Cr4C3 [8] | P63mc (186) | -- | -- | -- | 181.09 | -- |
| Fe3Cr4C3Exp. [11] | P63mc (186) | 6.9 | -- | 4.52 | -- | -- |
| Fe3Cr3.5W0.5C3 | P63mc (186) | 6.7556 | 6.7558 | 4.8070 | 190.12 | 8.34 |
| Fe3Cr3W1C3 | P63mc (186) | 6.8609 | 6.8609 | 4.8098 | 195.45 | 9.23 |
| Fe3Cr2.5W1.5C3 | P63mc (186) | 6.8998 | 6.9721 | 4.7962 | 199.98 | 10.12 |
| Fe3Cr2W2C3 | P63mc (186) | 6.9818 | 6.9818 | 4.8382 | 203.78 | 11.00 |
| Species | C11 | C33 | C44 | C12 | C13 | C66 |
|---|---|---|---|---|---|---|
| Fe5Cr2C3 | 534.6 | 560.8 | 123.8 | 193.5 | 255.4 | 152.3 |
| Fe2Cr5C3 | 562.1 | 559.2 | 157.9 | 159.2 | 258.3 | 193.0 |
| Fe3Cr4C3 | 549.2 | 531.6 | 122.5 | 179.6 | 248.1 | 179.6 |
| Fe3Cr4C3 [9] | 550.7 | 532.8 | 110.6 | 185.2 | 229.0 | 182.7 |
| Fe3Cr3.5W0.5C3 | 546.1 | 523.6 | 100.9 | 251.5 | 246.0 | 166.5 |
| Fe3Cr3WC3 | 543.2 | 504.9 | 99.1 | 236.8 | 243.6 | 155.8 |
| Fe3Cr3WC3 [9] | 565.5 | 415.4 | 87.8 | 252.0 | 249.2 | 156.8 |
| Fe3Cr2.5W1.5C3 | 578.9 | 403.4 | 92.3 | 276.5 | 279.5 | 149.1 |
| Fe3Cr2W2C3 | 581.5 | 377.5 | 90.9 | 300.1 | 288.1 | 166.9 |
Publisher’s Note: MDPI stays neutral with regard to jurisdictional claims in published maps and institutional affiliations. |
© 2022 by the authors. Licensee MDPI, Basel, Switzerland. This article is an open access article distributed under the terms and conditions of the Creative Commons Attribution (CC BY) license (https://creativecommons.org/licenses/by/4.0/).
Share and Cite
Chen, C.; Wang, J.; Ge, Y.; Ma, L. Investigations on Microstructures and Properties of (Fe, Cr, W)7C3 Carbides by First Principles and Experiments. Coatings 2022, 12, 1363. https://doi.org/10.3390/coatings12091363
Chen C, Wang J, Ge Y, Ma L. Investigations on Microstructures and Properties of (Fe, Cr, W)7C3 Carbides by First Principles and Experiments. Coatings. 2022; 12(9):1363. https://doi.org/10.3390/coatings12091363
Chicago/Turabian StyleChen, Chao, Junfa Wang, Yiyuan Ge, and Lili Ma. 2022. "Investigations on Microstructures and Properties of (Fe, Cr, W)7C3 Carbides by First Principles and Experiments" Coatings 12, no. 9: 1363. https://doi.org/10.3390/coatings12091363
APA StyleChen, C., Wang, J., Ge, Y., & Ma, L. (2022). Investigations on Microstructures and Properties of (Fe, Cr, W)7C3 Carbides by First Principles and Experiments. Coatings, 12(9), 1363. https://doi.org/10.3390/coatings12091363
