Next Article in Journal
Cytotoxicity of Silver-Containing Coatings Used in Dentistry, a Systematic Review
Next Article in Special Issue
Effect of Pre-Soaking Treatment Method of Plant-Based Aggregate on the Properties of Lightweight Concrete—Preliminary Study
Previous Article in Journal
Bioactive Surface of Zirconia Implant Prepared by Nano-Hydroxyapatite and Type I Collagen
 
 
Font Type:
Arial Georgia Verdana
Font Size:
Aa Aa Aa
Line Spacing:
Column Width:
Background:
Article

Carbon Sequestration, Mechanical Properties and Carbonation Kinetics of PP-Fiber-Reinforced Cement-Based Composites with CO2-Curing Treatment

1
School of Intelligent Construction, Wuchang University of Technology, Wuhan 430223, China
2
Hubei Key Laboratory of Blasting Engineering, Jianghan University, Wuhan 430056, China
3
Wuhan Product Quality Supervision & Testing Institute, Wuhan 430010, China
4
CCCC Wuhan Harbour Engineering Design and Research Co., Ltd., Wuhan 430040, China
*
Author to whom correspondence should be addressed.
Coatings 2022, 12(9), 1339; https://doi.org/10.3390/coatings12091339
Submission received: 29 August 2022 / Revised: 8 September 2022 / Accepted: 13 September 2022 / Published: 14 September 2022

Abstract

:
The development of sustainability and high toughness in cement-based composites with polypropylene (PP) fiber is becoming increasingly important for future buildings, while CO2-curing treatment at early ages is precisely a promising technique for it. The present work reported the carbon sequestration and the mechanical property variations of different cement-based composites with and without PP fiber, 10% silica fume, and varied w/b ratios of 0.25 and 0.18. Carbonation–hydration kinetics of CO2-cured cement-based composites was also focused on. It was found that PP fiber promoted the CO2 uptake of cement-based composites with the utilization of two separate evaluation methods; the maximum CO2 uptake reached almost 11.0% in B-2 samples. The samples with enhanced carbon sequestration showed an obvious colorless area from the outside surface extending to the center. A much more drastic carbonation heat flow and heat release behavior than the subsequent hydration heat was also revealed in cement-based composites with CO2-curing treatment. Hence, this study provides an alternative way of using CO2-curing treatment on PP-fiber-reinforced cement-based composites to develop sustainable cement-based composites in the future.

1. Introduction

With the increasing interest in concrete technology, the interest in composite materials with higher performance and strength has gained more importance [1,2,3]. Economical and structural advantages are two important aspects of the development of cement-based composites in the future.
Fibers have shown a positive effect on the improvement of performances for different composites [4,5,6,7]. The effect of natural fibers and nanofillers on the mechanical properties of composite materials has been well-studied in studies [8,9,10,11]; in a comprehensive statement on polyester reinforced with natural fibers and filled with nanofillers, several research gaps were explained thoroughly in the studies. Moreover, steel fiber reinforced cement-based composites have been widely studied and applied due to their excellent tensile strength, shear strength, and bending strength, as steel fiber can effectively inhibit the generation and propagation of cracks by bridging them [12]. The addition of steel fiber has been found to effectively inhibit crack generation and propagation by multi-stage cracking resistance, and it can still play a role in bridging cracks at 900 °C [12]. The highest increase in mechanical property was in the longer crimped steel fiber added sample was also proposed when compared to other fiber reinforced samples [3]. However, steel fiber naturally has the drawbacks of increasing structural weight due to its high density and vulnerability to rusting from the surface to the center under harsh environments. Searching for other fibers to replace it and improve these drawbacks from steel fiber shows great significance.
Polypropylene fibers (PP fiber) show the advantages of being chemically inert, hydrophobic, and lightweight and have usually been used to reduce shrinkage cracking, subsidence cracking as well as the mechanical property of cement-based composites [13,14,15]. Through the deliberate design of the ECC matrix and atomization quality, the sprayable PP-ECC developed by Zhu He et al. attained a remarkable tensile strain capacity of 5.7%, significantly larger than that previously reported for sprayed ECC reinforced with PVA fiber. The crack width of the sprayed PP-ECC during strain-hardening was 30–90 μm, comparable to that of PVA-ECC [16,17]. The utilization of hybrid PP fiber with other fibers in cement-based composites was also studied in the literature [18]. It was found that the fiber’s hybridization with different morphologies, densities, sizes, and mechanical characteristics played their corresponding functions at different scales, leading to a comprehensive reinforcing effect of the fiber hybridization such as the hybrid macro-PP fiber with a micro CaCO3 whisker [19]. Higher amounts of flexural strength were found in using 8 mm long PP and polyester fiber [20]. While other points, such as PP fibers, have no significant effect on the strength and deformability of the MPC-based composites in the hybrid system, they are also proposed in the literature [18]. Therefore, more explorations on PP-fiber-reinforced cement-based materials should be carried out.
In addition to the commonly used ways to develop sustainable cementitious materials [21,22], the CO2-curing technique is an essential measure to sequestrate carbon inside cement and concrete and thus develop sustainable construction materials with limited carbon emission. Utilization of early-age carbonation curing in concrete with recycled materials has been found to offer significant environmental and health benefits via increased greenhouse gas absorption; the early-age mechanical properties also received enhancement to different extents [23,24]. This low-carbon technique was also used in cement-based composites to increase the durability of the sisal-fiber-cement-based composites by the Calcium Hydroxide consumption and pH decrease promoted by the carbonation reactions [25], making concrete a sandwich structure with a carbonate-rich surface, which is responsible for strength gain [26,27] and durability [28]; the identification on the remaining industrial challenges and critical research gaps is also investigated [29]. However, there are still some aspects that need further exploration; for example, the process of carbonation reaction during CO2-curing treatment on cement-based composites is seldom studied.
For the defects, this work focuses on the carbon sequestration of different cement-based composites, the mechanical property variations, and the carbonation–hydration kinetics of CO2-cured cement-based composites. Measurements of CO2 uptake, carbon depth by visual changes, compressive strength, and flexural strength were conducted on all the composites. Carbonation–hydration kinetics was also explored to reveal the process of carbonation reaction in cement-based composites.

2. Materials and Methods

2.1. Materials and Mix Proportion

Portland cement (P.II 52.5) used in this work was from Hubei Yadong Cement Co. LTD (Wuhan, China); the specific surface area of cement was 370 m2/kg. Silica fume (SF) was from Elkem ASA (Oslo, Norway); the specific surface area of it was 20.0 m2/g, the ratio of water demand was 133%, and loss on ignition (LOI) was 4.67%. The chemical compositions of cement and silica fume were determined by X-ray fluorescence (XRF, model AXS S4 Pioneer, Bruker, Karlsruhe, Germany), and the results are presented in Table 1. Polypropylene fiber with a diameter and length of 0.2 mm and 12 mm was used. Particle size distributions of the mainly used materials were measured by a laser particle analyzer (Malvern instruments, Malvern, England, Mastersizer 2000) as presented in Figure 1; an obvious fine particle size in SF than in P.II 52.2 is obtained. The main compositions of P.II 52.5 and SF are illustrated in Figure 2; amorphous SiO2 in SF and clinkers of C3S and C2S are observed. For this study, low w/b ratios of 0.25 and 0.18 were used for samples in carbonation test, mechanical tests, and carbonation–hydration heat test. Mix proportion is shown in Table 2.

2.2. Early-Age Carbonation Treatment

Samples with sizes of 160 mm× 40 mm× 40 mm were cast according to the mix proportion, as displayed in Table 2. After demolding, preconditioning drying was carried out at a constant temperature of 25 °C and was aided by a fan to evaporate a predetermined amount of free water for 4 h, then followed by the placement of the samples into the assembled smart carbonation chamber by Hu et al. [30]. Carbonation test was carried out at a pressure of 4 bar and a duration of 12 h. After carbonation treatment, one part of samples were prepared for quasi-static mechanical property at this age, while other part remained curing in a standard curing chamber.

2.3. Determination of Carbonation Degree

The degree of carbonation (DOC) was determined by the combined methods: one was thermal decomposition using TG-DTG technique, and the other one was obtained from mass change before and after carbonation treatment experiment.
For the first analytical method, thermal gravimetric analyzer of SDT650 from TA Instruments was used to carry out the experiment. A total of 15 mg sampling carbonated powders was put into an alumina crucible. The quantitative evaluation of phase change was monitored both by the weight loss curve (TG) and differential thermal analysis curve (DTG). Decomposition of calcium carbonate was observed in the temperature region of 500–1000 °C. The final determination of DOC was calculated by Equation (1) [31].
DOC (%) = (C − C0)/(Cmax − C0) × 100
where C0 is was CO2 amount in non-carbonated references, Cmax is the stochiometric amount of CO2 that is necessary to react with all CaO in raw cement to form CaCO3, C is the CO2 amount in carbonated samples. The calculation of Cmax was followed by Equation (2) [32].
C max (%) = 0.785(CaO − 0.56 × CaCO3 − 0.7 × SO3) + 1.091 × MgO + 0.71 × Na2O + 0.468 × K2O
The other method to evaluate DOC was assessed by mass change of specimens before and after carbonation. The weight of tested specimens was recorded before and after carbonation treatment, the CO2 uptake was calculated from Equation (3) [33].
CO2 uptake (%) = (Mafter carbonation + Mwater loss − Mbefore carbonation)/Mcement
where Mafter carbonation, Mbefore carbonation and Mwater loss are correspondingly the weight value of carbonated specimen, specimen that before carbonation and the mass of vaporized water collected from carbonation chamber. Mcement is the mass of dry cement used in tested specimen.

2.4. Mechanical Test

Compressive strength and flexural strength of composite samples with early-age carbonation treatment were measured by a micro-computer controlled constant stress and pressure testing machine of YAW-300B (Shenzhen Think Test Equipment Co., Ltd., Shenzhen, China) with a load rate of 1.0 kN/s. The testing procedure was followed by GB/T17671-1999 [34], and the size of tested samples was 160 mm× 40 mm× 40 mm; three samples were examined per configuration for compression and flexural testing, and an average value was calculated for the final result.

3. Results

3.1. CO2 Uptake

Figure 3 shows the calculated CO2 uptake of different cement-based composites by the mass change method. B-1, B-2, B-3, and B-4 samples were added with PP fiber, while their counterparts were not; w/b ratios of 0.25 and 0.18 were used in the comparison. It was found that samples with PP fiber all showed enhancement in carbon sequestration compared to their counterparts. For example, CO2 uptake values were 6.05% and 7.70% in B-3 and B-4 samples, while they declined to 5.29% and 3.45% in B-3-con and B-4-con, indicating a 14.4% and 120.3% increase, respectively. The enhanced carbon sequestration is possibly related to the random distribution of PP fiber inside pastes, which might provide more chances for CO2 gas transmission.
The variation of w/b ratios showed an obvious change in carbon sequestration. Referenced samples of B-1 and B-1-con with 0.25 w/b ratio showed 10.1% and 9.7% uptake values while decreased to 7.69% and 3.45% in B-4 and B-4-con with w/b ratio of 0.18, presenting an obvious decline in CO2 uptake with decreased w/b ratios. This is much related to the declined porosity inside pastes with a low w/b ratio of 0.18, while an increased w/b ratio of 0.25 gave more pores for CO2 transmission.
The addition of SF with 10% content to replace cement in cement-based composites slightly promoted the CO2 uptake values; it showed a 9.5% increment in B-2 when compared to that of B-1. This interesting phenomenon might be relevant to the combined effect of SCMs and the function material of PP fiber inside the composite that finally results in this enhancement.
Figure 4 shows the calculated CO2 uptake values of different cement-based composites by the TG/DTG method, and the illustration of the difference between it and the above-mentioned mass change method is shown in Part 2. The overall variation tendency of CO2 uptake by this method is consistent with the other one. The enhanced carbon sequestration was all observed in the sample with 10% SF addition, in fiber-added composites, and in samples with an increased w/b ratio of 0.25. This means that the calculated CO2 uptake from the methods is quite credible.

3.2. Visual Changes

The visual changes of the fiber-binder composites after carbonation treatment are shown in Figure 5. The pink area indicates the normal hydrated products, while the colorless area means the consumption of portlandite due to the carbonation reaction. It is interesting that the colorless area in each sample varied according to the different components, and this is an important indication of carbonation depth for each sample.
It was obvious that samples added with PP fiber showed a larger colorless area than that of their counterparts without PP fiber, meaning the enhanced carbonation depth in these samples with PP fiber addition; this is consistent with the result from the DOC illustration as presented above. On the other hand, 10% SF addition in the composites illustrated a limited colorless area, as presented in Figure 5, while B-3 and B-3-con showed larger colorless areas than that of B-2 and B-2-con, indicating that the increased addition of air entrainment typed superplasticizer from 1% to 2% promoted carbonation depth in 10% SF added fiber-binder composites, revealing the air entrainment effect of the used superplasticizer.

3.3. Compressive Strength

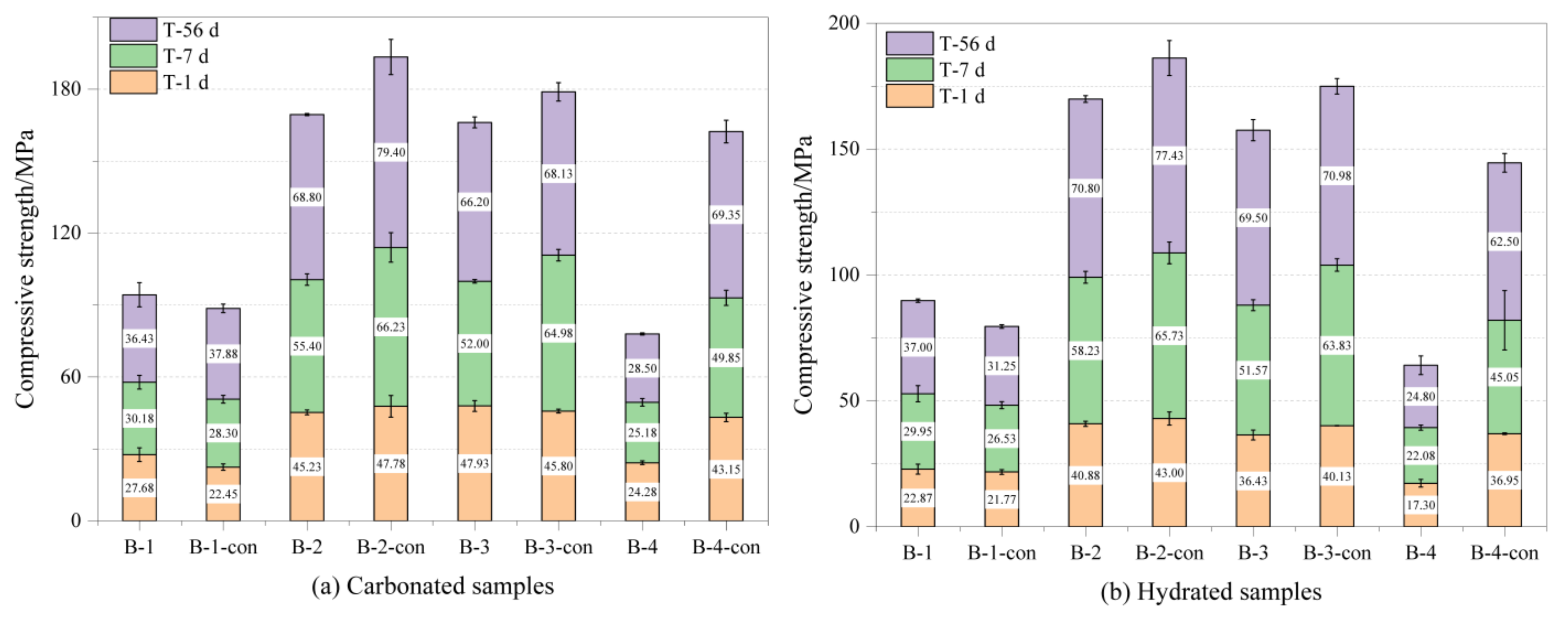
Figure 6 shows the compressive strengths of both the carbonated and hydrated cement-based composites at different ages of 1 d, 7 d, and 56 d. mechanical property is an essential aspect of evaluating the effect of PP fiber on cement-based composites. As illustrated in Figure 6a, compressive strengths were differently varied with increased ages and different components. For carbonated samples, compressive strength changed with different ages. At the early age of 1 d, the highest compressive strength occurred in samples with 10% SF addition, in which B-3 showed a 47.93 MPa value and B-2-con took the second place with 47.78 MPa; they all presented 1 d compressive strength higher than 45 MPa. For referenced samples of B-1 and B-1-con, the 1 d compressive strengths were 27.68 MPa and 22.45 MPa, respectively, indicating lower early strength than the samples with SF addition. The higher mechanical property in samples using SF at 1 d is probably due to its high pozzolanic reactivity of it to promote the formation of hydration products. The higher DOC in these samples would be another reason for the enhanced compressive strength.
As hydration ages increased to 7 d and long age of 56 d, growth in the strength of each sample was observed from the results. Compared with referenced samples of the B-1 and B-4 series, the enhancement in B-2 and B-3 series was more obvious at 7 d. the highest compressive strength also occurred in B-3-con samples with a value of 64.98 MPa.
Figure 6b is the variation of compressive strength of hydrated samples at different ages. As presented, the early mechanical property of cement-based composites was similar to that of carbonated ones. B-2-con was the one with the highest compressive strength, followed by B-2 and B-3. Referenced sample of B-1 showed a medium 1 d strength with the value of 22.87 MPa and 21.77 MPa in ones with and without PP fibers. Compressive strength growth was obviously different in varied samples; the highest one was in the B-2 series, while the lowest one was in the B-1 series, which was also similar to the carbonated counterparts.
Comparing the compressive strength variation in carbonated and hydrated samples when the other conditions were kept the same, some interesting findings were observed. One-day compressive strengths of carbonated samples were totally all higher than their hydrated counterparts, meaning the enhancement effect of early-carbonation treatment on mechanical properties. Then, the early-age carbonation process not negatively affected the long-term strength development in samples. For example, the highest compressive strength was 79.40 MPa at 56 d in B-2-con, while the hydrated counterpart was 77.43 MPa, showing a slight increase in the carbonated one. This is very important that accelerated carbonation treatment on cement-based composites will improve their early-age strength and maintain a normal strength development in the long term.

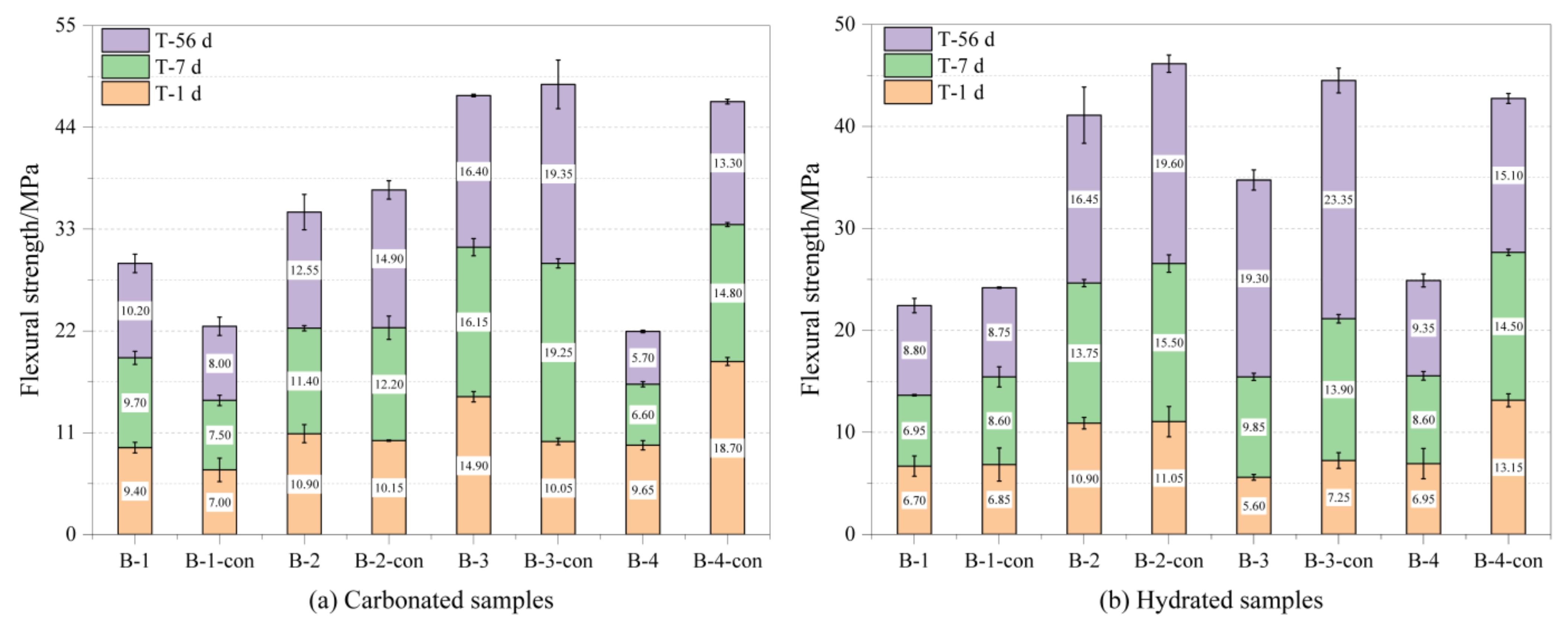
3.4. Flexural Strength

Figure 7 shows the variation of flexural strength in different cement-based composites at the ages of 1 d, 7 d, and 56 d. As presented in Figure 7a, carbonation treatment varied flexural strength to different extents for different samples. Overall, the addition of PP fiber improved flexural strength at the early age of 1 d. For example, the 1 d strength was 9.4 MPa in B-1 while it decreased to 7.8 MPa in B-1-con, confirming the positive effect of PP fiber in carbonated composites. The flexural strengths of B-1 and B-1-con showed a similar variation trend at 7 d and 56 d as the one at 1 d, and they all showed a higher value in PP-fiber-added samples based on their referenced ones.
The variation of flexural strength is also related to the addition of SF and the changes in w/b ratios, as presented in Figure 7a. Ten percent SF obviously promoted flexural strength development and helped the related samples receive the highest flexural strength among all the samples. For example, 1 d strength in B-3 and B-3-con were correspondingly 14.90 MPa and 10.05 MPa, while they increased to 16.15 MPa and 19.25 MPa at 7 d, to 16.40 MPa and 19.35 MPa at long-age of 56 d. The final flexural strength of B-3 was lower than that of its reference one of B-3-con without PP fiber; this might be related to the combined effect of SF and carbonation reaction inside the composite.
Figure 7b is the flexural strengths variation of hydrated samples at 1 d–56 d; it plays a role in comparison with the carbonated ones. It can be observed that 1 d flexural strength of hydrated samples showed almost lower values than carbonated ones. As hydration age increased, the strength gained enhancement to different extents. The final highest flexural strength was 19.60 MPa in B-2-con, almost the same value as carbonated B-2-con, confirming the no appearance of a negative effect on carbonation treatment on flexural strength of samples in the long term.

3.5. Carbonation–Hydration Kinetics

Normalized carbonation–hydration heat flow and normalized heat release of B-1 are shown in Figure 8. B-1-H was signed as the sample with only the hydration process, while B-1-C was marked as the sample with carbonation–hydration process. The consecutive carbonation and hydration process in the B-1 sample at early ages within 3 d are collected and figured out. It was found that the carbonation process was a very drastic reaction that occurred within 20 mins when the testing started. A significant carbonation flow peak at around 0.06 W/g was exhibited and followed by a small peal flow after that. The subsequent hydration heat flow was also observed after 20 mins, which was shown in Figure 8a. A normal hydration heat flow with dissolution period, induction period, accelerated period, deceleration period, and the final stable period was obtained for this carbonated sample. The peak flow of 0.0026 W/g was found, and it was much less than the peak flow of the carbonated peak value. For only the hydrated sample of B-1-H, a similar hydration heat flow curve was captured; while the induction period was longer than B-1-C, the peak value in this one was 0.0046 W/g, showing an increase when compared to that of B-1-C. This is a possible meaning that early-carbonation reaction negatively affected the subsequent hydration process in the short term.
The normalized heat release behavior of B-1-C and B-1-H is shown in Figure 8b. A significant heat release was observed in B-1-C, of which a sharp straight climb was revealed at the beginning of the curve. The final difference of normalized heat released between B-1-C and B-1-H was 24 J/g, meaning the carbonation reaction was indeed a drastic process.
Normalized carbonation–hydration heat flow and normalized heat release of B-2 are shown in Figure 9. Similar to B-1, this sample found a peak flow of 0.23 W/g in the carbonation process, much higher than that in B-1-C, meaning 10% SF to replace cement promoted the carbonation process to some extent; this phenomenon was consistent with the result of carbon sequestration as shown above. A subsequent hydration heat flow after 10 min was observed with a peak value of 0.0009 W/g, indicating a mild hydration process in B-2-C after carbonation treatment. For the referenced sample of B-2-H, an intact hydration heat flow curve, including the main five periods, as pointed out before, was obtained in the sample of B-2-H. The peak value was 0.002 W/g, which was less than that of B-1-H. For normalized hydration heat release, a similar sharp heat release was observed in B-2-C, while a very low heat release occurred in B-2-H. On the other hand, the final heat difference between the sample of B-2-C and B-2-H was 64.6 J/g, showing an increased normalized heat release behavior than that in the sample of B-1.
Normalized carbonation–hydration heat flow and normalized heat release of B-3 are shown in Figure 10. The sample of B-3 consisted of 10% SF, 90% cement, 2% air entrainment typed superplasticizer, and 2% PP fiber by volume; the w/b ratio was 0.25. it was found that carbonation heat flow in B-3-C was quite unstable, with a heat peak over 0.02 W/g and a second peak flow of about 0.015 W/g. After the process of carbonation reaction, a normal hydration heat flow was obtained from the figure. For this one, the peak flow was 0.0025 W/g, while this value was 0.0017 W/g in a referenced sample of B-3-H. Moreover, the time for hydration peak flow was pushed forward in B-3-C when compared to that in B-3-H. For normalized heat released behavior of B-3 as presented in Figure 10b, a similar sharp increase, as well as the heat difference between B-3-C and B-3-H of 36.4 J/g, were both observed from it.
Normalized carbonation–hydration heat flow and normalized heat release of B-4 are shown in Figure 11. The sample of B-4 consisted of cement with 3% air entrainment typed superplasticizer, 2% PP fiber by volume, and a w/b ratio of 0.18. Compared with the B-1 series, this sample showed an increased carbonation peak value of almost 0.12 W/g, indicating the enhanced carbonation heat flow with decreased w/b ratios from 0.25 to 0.18. For the subsequent hydration heat flow, a similar curve was obtained, and the peak flow was 0.00075 W/g; this value was much lower than 0.00125 W/g in the only hydrated reference, which was marked as B-4-H. The normalized heat release behavior of the B-4 series was exhibited in Figure 11b. A very sharp straight increase in normalized heat to over 100 J/g was found at the beginning within tens of minutes, followed by a moderate heat increase with hydration ages. The final heat difference of 58.2 J/g at 3 d was calculated between the samples of B-4-C and B-4-H, and this value was enhanced in B-4 when compared to that of 24 J/g in the B-1 sample with a w/b ratio of 0.25.
From the above-mentioned analysis of carbonation–hydration kinetics on the four series samples, several interesting findings were concluded: (1) Carbonation and subsequent hydration kinetics of different cement-based composites with PP fiber addition were revealed. (2) A typically much more drastic carbonation heat was found based on the hydration heat behavior. (3) With the effect of early-age carbonation reaction, the subsequent hydration peak flow was reduced to a different extent in varied samples. (4) the addition of SF or variation on w/b ratio can change the heat difference between carbonation–hydration and only hydration samples.

3.6. TG/DTG Analysis

The variation of main reaction products in the early-age carbonation process and the subsequent hydration products with different ages were investigated by TG/DTG technique, and the results are presented in Figure 12 and Figure 13. The main carbonation product of CaCO3 and hydration products of Ca(OH)2, C-S-H were obviously captured in different cement-based composites at varied ages of 1 d, 7 d, and 28 d. The peak for CO2 from the decomposition of CaCO3 at 1 d was mainly ascribed to early-age carbonation reaction inside samples that generated much CaCO3. The peak of weight loss for CaCO3 was still significant even at the long age of 28 d in each sample; this was much related to the subsequent environmental carbonation that occurred in samples to transfer portlandite into CaCO3.

3.7. SEM Observation

Morphology features of carbonated cement-based composites with and without SF addition and varied w/b ratios at 1 d were identified with SEM observation and shown in Figure 14 and Figure 15. For controlled samples of B-1 and B-1-con, obvious crystal particles of cubic-like shaped calcite were obtained in B-1, and prism-like crystals were found in B-1-con. The particle size of observed crystals was small, within 1–2 mm. Clusters of C-S-H and a slight amount of hexagonal-plate-shaped portlandite were also observed from the SEM result. With the addition of 10% SF in the B-2 and B-3 series, the main cubic calcite particles, together with some clusters of C-S-H, were shown, and the particle size was primarily focused within 1 mm. The overall presentation of small particles was possibly ascribed to the short hydration age of 1 d. When the w/b ratio decreased from 0.25 to 0.18 in B-4 and B-4-con samples, obvious prism-like calcite with particle size in a range of 2–5 mm was found in B-4. In addition, hexagonal plates-shaped portlandite within 5–10 mm was exhibited in B-4-con, indicating an improved hydration process in the sample.

4. Conclusions

In this study, the carbon sequestration of different cement-based composites and the variation in mechanical properties was explored, and carbonation–hydration kinetics of CO2-cured cement-based composites were revealed. Based on the experimental results, the following conclusions can be drawn.
(1) Two separate methods were combined to evaluate carbon sequestration in the studied cement-based composites. PP fiber promoted the CO2 uptake of cement-based composites, and this positive effect was much more significant in the B-4 sample with a reduced w/b ratio of 0.18.
(2) An obvious colorless area from the outside surface extending to the center of the sample was found in carbonated composites, and this visual observation was much related to the enhanced carbon sequestration of the samples after carbonation treatment.
(3) CO2-curing enhanced both the compressive strength and flexural strength of cement-based composites at 1 d while maintaining a continuous strength development in the long term, especially for the composites of B-2; it served as an optimal composite for strength enhancement.
(4) From carbonation and subsequent hydration kinetics of cement-based composites, a typically much more drastic carbonation heat was found in the composites based on the hydration heat behavior. Utilization of SF with 10% content and the variation on w/b ratios can both change the heat difference between carbonation–hydration and only hydration composites.

Author Contributions

Conceptualization, L.H.; methodology, L.H., Z.C. and J.H.; software, Z.C.; validation, L.H.; formal analysis, Z.C.; investigation, J.H.; resources, L.H.; data curation, Z.C.; writing—original draft preparation, L.H.; writing—review and editing, L.H. and Z.C.; visualization, J.H.; supervision, L.H.; project administration, L.H.; funding acquisition, L.H. All authors have read and agreed to the published version of the manuscript.

Funding

This research was funded by Dawn Project of Wuhan Science and Technology Bureau (2022020801020381), Open Fund of State Key Laboratory of High Performance Civil Engineering Materials (2022CEM005) and Natural Science Foundation of Hubei Province (2021CFB204).

Institutional Review Board Statement

Not applicable.

Informed Consent Statement

Not applicable.

Data Availability Statement

Not applicable.

Conflicts of Interest

The authors declare no conflict of interest.

References

  1. Wang, L.; Jin, M.; Guo, F.; Wang, Y.; Tang, S. Pore Structural and Fractal Analysis of the Influence of FLY ASH and Silica Fume on the Mechanical Property and Abrasion Resistance of Concrete. Fractals 2021, 29, 1–18. [Google Scholar] [CrossRef]
  2. Wang, L.; Luo, R.; Zhang, W.; Jin, M.; Tang, S. Effects of Fineness and Content of Phosphorus Slag on Cement Hydration, Permeability, Pore Structure and Fractal Dimension of Concrete. Fractals 2021, 26, 1–18. [Google Scholar] [CrossRef]
  3. Anwar, M.; Alcharchafche, S.; Al-mashhadani, M.M. Investigation of Mechanical and Durability Properties of Brick Powder-Added White Cement Composites with Three Different Fibers. Constr. Build. Mater. 2022, 347, 128548. [Google Scholar] [CrossRef]
  4. Kibru, Y.; Geremew, A.; Yigezu, B. Potential Use of “Enset” Fiber Ash As Partial Replacement of Conventional Filler Material in Hot Mix Asphalt. J. Civ. Eng. Sci. Technol. 2021, 12, 91–111. [Google Scholar] [CrossRef]
  5. Ramli, N.; Mohd Sobani, S.S. Effects of nanoparticle filler on thermo-physical properties of rattan powder-filled polypropylene composites. J. Teknol. 2015, 77, 19–25. [Google Scholar]
  6. Fung, Y.C.; Kaniraj, S.R. Comparison of the Behavior of Fiber and Mesh Reinforced Soils. J. Civ. Eng. Sci. Technol. 2017, 8, 82–88. [Google Scholar] [CrossRef]
  7. Nikmatin, S.; Hermawan, B.; Irmansyah, I.; Indro, M.N.; Kueh, A.B.H.; Syafiuddin, A. Evaluation of the Performance of Helmet Prototypes Fabricated from Acrylonitrile Butadiene Styrene Composites Filled with Natural Resource. Materials 2019, 12, 34. [Google Scholar] [CrossRef]
  8. Zaghloul, M.M.Y.; Zaghloul, M.Y.M.; Zaghloul, M.M.Y. Experimental and Modeling Analysis of Mechanical-Electrical Behaviors of Polypropylene Composites Filled with Graphite and MWCNT Fillers. Polym. Test. 2017, 63, 467–474. [Google Scholar] [CrossRef]
  9. Mahmoud Zaghloul, M.Y.; Yousry Zaghloul, M.M.; Yousry Zaghloul, M.M. Developments in Polyester Composite Materials—An in-Depth Review on Natural Fibres and Nano Fillers. Compos. Struct. 2021, 278, 114698. [Google Scholar] [CrossRef]
  10. Fuseini, M.; Zaghloul, M.M.Y. Investigation of Electrophoretic Deposition of PANI Nano Fibers as a Manufacturing Technology for Corrosion Protection. Prog. Org. Coat. 2022, 171, 107015. [Google Scholar] [CrossRef]
  11. Zaghloul, M.Y.; Zaghloul, M.M.Y.; Zaghloul, M.M.Y. Influence of Stress Level and Fibre Volume Fraction on Fatigue Performance of Glass Fibre-Reinforced Polyester Composites. Polymers 2022, 14, 2662. [Google Scholar] [CrossRef]
  12. Cao, K.; Liu, G.; Li, H.; Huang, Z. Mechanical Properties and Microstructures of Steel-Basalt Hybrid Fibers Reinforced Cement-Based Composites Exposed to High Temperatures. Constr. Build. Mater. 2022, 341, 127730. [Google Scholar] [CrossRef]
  13. Banthia, N.; Gupta, R. Influence of Polypropylene Fiber Geometry on Plastic Shrinkage Cracking in Concrete. Cem. Concr. Res. 2006, 36, 1263–1267. [Google Scholar] [CrossRef]
  14. Rasheed, M.A.; Prakash, S.S. Mechanical Behavior of Sustainable Hybrid-Synthetic Fiber Reinforced Cellular Light Weight Concrete for Structural Applications of Masonry. Constr. Build. Mater. 2015, 98, 631–640. [Google Scholar] [CrossRef]
  15. Bonakdar, A.; Babbitt, F.; Mobasher, B. Physical and Mechanical Characterization of Fiber-Reinforced Aerated Concrete (FRAC). Cem. Concr. Compos. 2013, 38, 82–91. [Google Scholar] [CrossRef]
  16. Wang, L.; Guo, F.; Yang, H.; Wang, Y.; Tang, S. Comparison of FLY ASH, PVA Fiber, MgO and Shrinkage-Reducing Admixture on the Frost Resistance of Face Slab Concrete via Pore Structural and Fractal Analysis. Fractals 2021, 29, 1–18. [Google Scholar] [CrossRef]
  17. Zhu, H.; Yu, K.; Li, V.C. Sprayable Engineered Cementitious Composites (ECC) Using Calcined Clay Limestone Cement (LC3) and PP Fiber. Cem. Concr. Compos. 2021, 115, 103868. [Google Scholar] [CrossRef]
  18. Feng, H.; Li, L.; Wang, W.; Cheng, Z.; Gao, D. Mechanical Properties of High Ductility Hybrid Fibres Reinforced Magnesium Phosphate Cement-Based Composites. Compos. Struct. 2022, 284, 115219. [Google Scholar] [CrossRef]
  19. Yang, Y.; Zhou, Q.; Deng, Y.; Lin, J. Reinforcement Effects of Multi-Scale Hybrid Fiber on Flexural and Fracture Behaviors of Ultra-Low-Weight Foamed Cement-Based Composites. Cem. Concr. Compos. 2022, 128, 104422. [Google Scholar] [CrossRef]
  20. Alamshahi, V.; Taeb, A.; Ghaffarzadeh, R.; Rezaee, M.A. Effect of Composition and Length of PP and Polyester Fibres on Mechanical Properties of Cement Based Composites. Constr. Build. Mater. 2012, 36, 534–537. [Google Scholar] [CrossRef]
  21. Wang, L.; Yang, H.Q.; Zhou, S.H.; Chen, E.; Tang, S.W. Mechanical Properties, Long-Term Hydration Heat, Shrinkage Behavior and Crack Resistance of Dam Concrete Designed with Low Heat Portland (LHP) Cement and Fly Ash. Constr. Build. Mater. 2018, 187, 1073–1091. [Google Scholar] [CrossRef]
  22. Wang, L.; Dong, Y.; Zhou, S.H.; Chen, E.; Tang, S.W. Energy Saving Benefit, Mechanical Performance, Volume Stabilities, Hydration Properties and Products of Low Heat Cement-Based Materials. Energy Build. 2018, 170, 157–169. [Google Scholar] [CrossRef]
  23. Liu, Y.; Zhuge, Y.; Chow, C.W.K.; Keegan, A.; Li, D.; Pham, P.N.; Huang, J.; Siddique, R. Properties and Microstructure of Concrete Blocks Incorporating Drinking Water Treatment Sludge Exposed to Early-Age Carbonation Curing. J. Clean. Prod. 2020, 261, 121257. [Google Scholar] [CrossRef]
  24. Hu, L.; Yang, H.; He, Z.; Chen, Z.; Hu, J.; Zhang, S. Effect of Rice Husk Ash on Carbon Sequestration, Mechanical Property and Microstructure Evolution of Cement-Based Materials with Early-Age Carbonation Treatment. Cem. Concr. Compos. 2022, 133, 104672. [Google Scholar] [CrossRef]
  25. Junior, A.N.; Ferreira, S.R.; Filho, R.D.T.; Fairbairn, E.D.M.R.; Dweck, J. Effect of Early Age Curing Carbonation on the Mechanical Properties and Durability of High Initial Strength Portland Cement and Lime-Pozolan Composites Reinforced with Long Sisal Fibres. Compos. Part B Eng. 2019, 163, 351–362. [Google Scholar] [CrossRef]
  26. Zhang, D.; Shao, Y. Early Age Carbonation Curing for Precast Reinforced Concretes. Constr. Build. Mater. 2016, 113, 134–143. [Google Scholar] [CrossRef]
  27. Zhang, D.; Ellis, B.R.; Jaworska, B.; Hu, W.H.; Li, V.C. Carbonation Curing for Precast Engineered Cementitious Composites. Constr. Build. Mater. 2021, 313, 125502. [Google Scholar] [CrossRef]
  28. Chen, T.; Gao, X.; Qin, L. Mathematical Modeling of Accelerated Carbonation Curing of Portland Cement Paste at Early Age. Cem. Concr. Res. 2019, 120, 187–197. [Google Scholar] [CrossRef]
  29. Li, L.; Wu, M. An Overview of Utilizing CO2 for Accelerated Carbonation Treatment in the Concrete Industry. J. CO2 Util. 2022, 60, 102000. [Google Scholar] [CrossRef]
  30. Hu, L.; Sun, J.; Jia, Y.; Yao, Y.; Zhang, W. A New Carbonization Curing Device for Preparing Low Carbon Cement-Based Materials. China Patent ZL202121202906.3, 23 November 2021. (In Chinese). [Google Scholar]
  31. Eisele, T.C.; Sutter, L.L. Carbon Dioxide Sequestration in Cement Kiln Dust through Mineral Carbonation. Environ. Sci. Technol. 2009, 43, 1986–1992. [Google Scholar] [CrossRef]
  32. Henrique, G.; Tonoli, D.; Fernando, G.; Alexandre, C.; Savastano, H. Influence of the Initial Moisture Content on the Carbonation Degree and Performance of Fiber-Cement Composites. Constr. Build. Mater. 2019, 215, 22–29. [Google Scholar] [CrossRef]
  33. Zhang, S.; Ghouleh, Z.; Mucci, A.; Bahn, O.; Provençal, R.; Shao, Y. Production of Cleaner High-Strength Cementing Material Using Steel Slag under Elevated-Temperature Carbonation. J. Clean. Prod. 2022, 342, 130948. [Google Scholar] [CrossRef]
  34. GB/T 17671-1999; Method of Testing Cements–Determination of Strength. SAC (Standardization Administration of China): Beijing, China, 1999.
Figure 1. Particle size distribution of used materials.
Figure 1. Particle size distribution of used materials.
Coatings 12 01339 g001
Figure 2. XRD pattern of used materials.
Figure 2. XRD pattern of used materials.
Coatings 12 01339 g002
Figure 3. CO2 uptake by mass change method.
Figure 3. CO2 uptake by mass change method.
Coatings 12 01339 g003
Figure 4. CO2 uptake by TG-DTG method.
Figure 4. CO2 uptake by TG-DTG method.
Coatings 12 01339 g004
Figure 5. Color changes on fiber-binder composites exposed to early-age carbonation treatment.
Figure 5. Color changes on fiber-binder composites exposed to early-age carbonation treatment.
Coatings 12 01339 g005
Figure 6. Compressive strength of carbonated and hydrated specimens. (a) Carbonated samples; (b) Hydrated samples.
Figure 6. Compressive strength of carbonated and hydrated specimens. (a) Carbonated samples; (b) Hydrated samples.
Coatings 12 01339 g006
Figure 7. Flexural strength of carbonated and hydrated specimens. (a) Carbonated samples; (b) Hydrated samples.
Figure 7. Flexural strength of carbonated and hydrated specimens. (a) Carbonated samples; (b) Hydrated samples.
Coatings 12 01339 g007
Figure 8. Normalized carbonation–hydration heat flow (a) and normalized heat (b) of B-1 sample.
Figure 8. Normalized carbonation–hydration heat flow (a) and normalized heat (b) of B-1 sample.
Coatings 12 01339 g008
Figure 9. Normalized carbonation–hydration heat flow (a) and normalized heat (b) of B-2 sample.
Figure 9. Normalized carbonation–hydration heat flow (a) and normalized heat (b) of B-2 sample.
Coatings 12 01339 g009
Figure 10. Normalized carbonation–hydration heat flow (a) and normalized heat (b) of B-3 sample.
Figure 10. Normalized carbonation–hydration heat flow (a) and normalized heat (b) of B-3 sample.
Coatings 12 01339 g010
Figure 11. Normalized carbonation–hydration heat flow (a) and normalized heat (b) of B-4 sample.
Figure 11. Normalized carbonation–hydration heat flow (a) and normalized heat (b) of B-4 sample.
Coatings 12 01339 g011
Figure 12. Weight loss of different cement-based composites of B-1 series (a), B-2 series (b), B-3 series (c) and B-4 series (d) with different ages by TG.
Figure 12. Weight loss of different cement-based composites of B-1 series (a), B-2 series (b), B-3 series (c) and B-4 series (d) with different ages by TG.
Coatings 12 01339 g012
Figure 13. Derivative weight loss of different cement-based composites of B-1 series (a), B-2 series (b), B-3 series (c) and B-4 series (d) with different ages by DTG.
Figure 13. Derivative weight loss of different cement-based composites of B-1 series (a), B-2 series (b), B-3 series (c) and B-4 series (d) with different ages by DTG.
Coatings 12 01339 g013
Figure 14. SEM observation in samples of B-1 and B-2 series.
Figure 14. SEM observation in samples of B-1 and B-2 series.
Coatings 12 01339 g014
Figure 15. SEM observation in samples of B-3 and B-4 series.
Figure 15. SEM observation in samples of B-3 and B-4 series.
Coatings 12 01339 g015
Table 1. Chemical composition of cement and silica fume, wt.%.
Table 1. Chemical composition of cement and silica fume, wt.%.
MaterialsCaOSiO2Al2O3Fe2O3SO3Na2OK2OMgOP2O5LOI
PII 52.563.5319.253.823.373.450.120.751.350.403.72
SF0.9695.480.170.130.310.360.130.69-1.2
Table 2. Mix proportion for mechanical properties of fiber-binder composites/g.
Table 2. Mix proportion for mechanical properties of fiber-binder composites/g.
Batchw/bA-SPCSFPP
B-10.25/130754
(1%)
5400 55.157
B-1-con5400
B-20.25/130754
(1%)
486054055.157
B-2-con4860540
B-30.25/1264108
(2%)
486054056.49
B-3-con4860540
B-40.18/842162
(3%)
5400 45.44
B-4-con5400
Publisher’s Note: MDPI stays neutral with regard to jurisdictional claims in published maps and institutional affiliations.

Share and Cite

MDPI and ACS Style

Hu, L.; Chen, Z.; Hu, J. Carbon Sequestration, Mechanical Properties and Carbonation Kinetics of PP-Fiber-Reinforced Cement-Based Composites with CO2-Curing Treatment. Coatings 2022, 12, 1339. https://doi.org/10.3390/coatings12091339

AMA Style

Hu L, Chen Z, Hu J. Carbon Sequestration, Mechanical Properties and Carbonation Kinetics of PP-Fiber-Reinforced Cement-Based Composites with CO2-Curing Treatment. Coatings. 2022; 12(9):1339. https://doi.org/10.3390/coatings12091339

Chicago/Turabian Style

Hu, Lingling, Zhen Chen, and Jun Hu. 2022. "Carbon Sequestration, Mechanical Properties and Carbonation Kinetics of PP-Fiber-Reinforced Cement-Based Composites with CO2-Curing Treatment" Coatings 12, no. 9: 1339. https://doi.org/10.3390/coatings12091339

APA Style

Hu, L., Chen, Z., & Hu, J. (2022). Carbon Sequestration, Mechanical Properties and Carbonation Kinetics of PP-Fiber-Reinforced Cement-Based Composites with CO2-Curing Treatment. Coatings, 12(9), 1339. https://doi.org/10.3390/coatings12091339

Note that from the first issue of 2016, this journal uses article numbers instead of page numbers. See further details here.

Article Metrics

Back to TopTop