Next Article in Journal
Numerical Simulation and Experimental Investigation of SiC/Ti-6Al-4V Metal Matrix Composites Produced by Laser Melt Injection
Next Article in Special Issue
Simulation of Epitaxial Film–Substrate Interaction Potential
Previous Article in Journal
Bubble-Patterned Films by Inkjet Printing and Gas Foaming
 
 
Due to scheduled maintenance work on our servers, there may be short service disruptions on this website between 11:00 and 12:00 CEST on March 28th.
Font Type:
Arial Georgia Verdana
Font Size:
Aa Aa Aa
Line Spacing:
Column Width:
Background:
Article

A Tool for Removing Metal Inclusions from the Surface of Paint and Varnish Car Coatings

by
Andrey Vladimirovich Blinov
1,
Andrey Ashotovich Nagdalian
1,2,*,
Alexey Alekseevich Gvozdenko
1,
Anastasiya Aleksandrovna Blinova
1,
David Guramievich Maglakelidze
1,
Alexey Borisovich Golik
1,
Kristina Sergeevna Slyadneva
1,
Igor Petrovich Makeenko
3,
Viktor Vasilievich Mikhaylenko
4,
Tatyana Ivanovna Shpak
5,
Igor Spartakovich Baklanov
1,
Sergey Nikolaevich Povetkin
1,
Muthu Thiruvengadam
6 and
Mohammad Ali Shariati
7
1
Department of Physics and Technology of Nanostructures and Materials, North Caucasus Federal University, 355017 Stavropol, Russia
2
Saint Petersburg State Agrarian University, 196601 Saint Petersburg, Russia
3
Technological Institute of Service, Don State Technical University, 355000 Stavropol, Russia
4
Department of Parasitology and Veterinary Examination, Anatomy and Pathanatomy Named after Professor S.N.Nikolsky, Stavropol State Agrarian University, 355017 Stavropol, Russia
5
Department of Commodity Science, Don State Agrarian University, 346493 Persianovsky, Russia
6
Department of Applied Bioscience, Konkuk University, Seoul 05029, Korea
7
Department of Scientific Research, K.G. Razumovsky Moscow State University of Technologies and Management (The First Cossack University), 109004 Moscow, Russia
*
Author to whom correspondence should be addressed.
Coatings 2022, 12(6), 807; https://doi.org/10.3390/coatings12060807
Submission received: 10 May 2022 / Revised: 6 June 2022 / Accepted: 7 June 2022 / Published: 9 June 2022
(This article belongs to the Special Issue Protective Composite Coatings: Implementation, Structure, Properties)

Abstract

In this article, we presents the synthesis and research of a tool for removing metal inclusions from the surface of car paint coatings. The optimal composition of the product was determined, which includes sodium laureth sulfate, citric acid, sulfosalicylic acid, hydrogen peroxide and water. As a result of the conducted studies, a connection was established between the composition and the physicochemical, surface-active properties of the developed agent. Approbation of this tool was carried out, which confirmed its effectiveness and showed that within 30–45 s after applying the developed tool, not only are metal inclusions on the surface of car paint coating removed but also mineral contaminants in the form of sand, earth, clay and other particles. The aim of the work was to develop and optimize a method for obtaining a low-toxicity, highly effective agent for removing metal inclusions from the surface of car paint coatings and to investigate its effectiveness, as well as its physicochemical, optical and surface-active properties.

1. Introduction

The high level of modern automobilization has led to a number of issues connected with car operation [1]. The field of auto detailing has undergone intensive development. Auto detailing can be divided into three components: external detailing, internal detailing and engine detailing. Exterior detailing, which consists of the repair, restoration and protection of car paint coatings, is of particular importance.
Booking (application of a film on the reserve of paint and varnish) is used in external detailing and involves installation of deflectors on the car’s hood, as well as application of special protective tools [2].
Nowadays, most corrosion removal methods are based on the use of highly concentrated substances, such as phosphoric acid, hydrochloric acid, sulfuric acid, etc. [3,4,5]. These components are chemically aggressive substances that excessively destroy metal surfaces [6,7]. As car paint is chemically sensitive, the use of chemically mild means is mandatory [8,9].
The use of special protective agents on car paint coatings includes the application of liquid or paste-like compositions to the prepared surface, which interact with the top layer of the treated coating and form a thin protective film on it [8]. The following methods are used to protect the body paint coating of cars [9]:
(1)
Application of special wax-based polishing compositions;
(2)
Application of special latex or vinyl-based compositions;
(3)
Application of special silicon-dioxide-based nanocomposites.
To ensure high-quality auto detailing, the surface preparation stage of paint coating is essential. A range of preparations are available to clean the surface step by step from pollutants of various nature, including bituminous particles, metal inclusions and contamination in the form of sedimentary rocks (sand, dust, etc.) [10].
Most tools used to clean the surface of a car’s paintwork of metal inclusions contain sulfur compounds that, when interacting with contamination, are destroyed by the release of hydrogen sulfide [11,12,13]. Hydrogen sulfide is a toxic gaseous compound with an unpleasant, pungent odor that irritates the mucous membrane of the respiratory tract [14,15,16,17,18].
A review of literature data on the automotive chemical market showed [19,20,21] that most car surface cleaning and dirt removal products contain the following components:
  • Surfactants. Compounds from the group of ionic and nonionic surfactants are used as surfactants: sodium laureth sulfate, Berol 226, APG and others [14]. Surfactants are used to improve tool contact to remove metal inclusions and impurities from the surface of the car’s paintwork, to disperse and solubilize contamination surfactant micelles and facilitate their subsequent removal from the surface of the car’s paintwork.
  • The indicator: Indicators are used to determine the active acidity of the medium and to detect the presence of specific ions in the contamination. The following compounds can be used as indicators of ferric ions: potassium rhodanide, potassium hexacyanoferrate, sulfosalicylic acid, phenol and others [22,23].
  • Complexing agent: Polybasic acids are used as complexing agents: citric, oxalic, oxy-ethylidene diphosphonic and ethylenediaminetetraacetic acids, among others. Before their use, it is necessary to remove metal cations by binding them to acid residues to form chelated complex compounds [24].
  • Solvent: Water and polyatomic alcohols are used as solvents to form a certain consistency with specific rheological and physicochemical properties.
  • Other (dyes, flavorings, etc.).
The aim of the work was to develop and optimize a method to obtain a low-toxicity, highly effective agent to remove metal inclusions from the surface of car paint coatings and to study its effectiveness, as well as its physicochemical, optical and surface-active properties.

2. Materials and Methods

2.1. Materials

The following materials were used in the present study: sodium laureth sulfate (“HimEtalon-NN” LLC, Nizhny Novgorod, Russia), hydrogen peroxide (“HIMPROM” PJSC, Novocheboksarsk, Russia), sulfosalicylic acid (“Ufakhimproekt” LLC, Ufa, Russia), citric acid (“NZHS” JSC, Novotroitsk, Russia), distilled water, oxy-ethylidene diphosphonic acid (OEDF, “Volga Scientific and Production Center Complex” LLC, Volgograd, Russia), oxalic acid (“Sinochem Hebei Qinhuangdao Import & Export Corporation”, Qinhuangdao, China), iron (III) chloride (“AlfakHimProm” JSC, Moscow, Russia), sodium hydroxide (“HIMPROM” PJSC, Moscow Novocheboksarsk, Russia), hydrochloric acid (“Altai Chemical Industry named after Vereshchagina” JSC, Yarovoye, Russia), Trilon B (“Mosreactive” LLC, Moscow, Russia) and orthophosphoric acid (“Apatit” OJSC, Kirovsk, Russia).

2.2. Methods

2.2.1. General Methods

Imaging was conducted with a scanning electron microscope with an AZtecEnergy Standard/X-max 20 (standard) elemental composition determination system from Tescan (Brno-Kohoutovice, Czech Republic). The hardware characteristics of the Energy-dispersive X-ray spectrum (EDS) measurement are presented in Table 1.
-
Spectrophotometry on a UNICO 2802 spectrometer (“United Products & Instruments” Inc., Suite E Dayton, NJ, USA);
-
Computer quantum-chemical modeling of Fe-sulfosalicylic acid complexes in the QChem 5.0 program using the IQmol molecular editor. Construction parameters: calculation: energy; method: HF; basis: 6–31 G; convergence: 5; force field: chemical [25];
-
Optical microscopy on an IM 7200 microscope (“Meiji Techno” Inc., Tokio, Japan). Microscopy of contaminated samples of car paint and varnish coatings was carried out on a surface area of 1 cm2;
-
The surface tension was determined on an automatic DCAT tensiometer (“DataPhysics Instruments GmbH”, Filderstadt, Germany);
-
Viscometry was performed on a “Fungilab Expert” rotary viscometer (“Fungilab S. A.”, Madrid, Spain), the action of which is based on the use of viscous friction arising in a layer of liquid flowing in an annular gap between a rotating and stationary cylinder.
Parameters of the measurement:
  • Cylinder TL: 1–8;
  • Temperature: 25 °C;
  • Rotation speed: 0.1–200 rpm.
-
Potentiometry was performed with an Expert 001 pH meter–ionomer (“Ekonix-Expert” LLC, Moscow, Russia) using a combined chlorine–silver electrode (EVL-1M3.1);
-
Redoximetry was performed on an on an Expert 001 pH meter–ionomer (“Econix-Expert” LLC, Moscow, Russia) using a platinum electrode (EPV-1 cp).
All studies were carried out in a threefold repetition. The significance of the experimental results was determined using the Fisher criterion.

2.2.2. Method of Obtaining a Tool for Removing Inclusions from the Surface of Car Paint and Varnish Coatings

In the developed low-toxicity, highly effective agent, sodium laureth sulfate was used as a surfactant—an anionic surfactant with both lyophilic and lyophobic properties—which is widely used as a foaming agent, emulsifier, detergent, and strong cleaning and wetting agent in the household industry, cosmetology and pharmacology [26]. Due to its excellent washing and cleaning ability, sodium laureth sulfate is used for the production of liquid household and technical cleaning products [27].
Sulfosalicylic acid, which is used in analytical chemistry as a reagent for the detection and isolation of metal ions, was used as an indicator. For example, the Fe3+ ion forms pinkish-brown monosulfosalicylate, brown disulfosalicylate and yellow trisulfosalicylate [28].
In the developed tool, hydrogen peroxide was used to intensify the process of converting water-insoluble forms of iron (Femetal, FeO, Fe2O3, FeO∙Fe2O3, Fe(OH)2, Fe(OH)3 and FeO(OH)) into soluble forms [29].
The method for obtaining a low-toxicity, highly effective agent for removing metal inclusions on the surface of car paint coatings includes the following stages:
(1)
In the first stage, sodium laureth sulfate and sulfosalicylic acid are dissolved in water and mixed;
(2)
Then, hydrogen peroxide is added to the reaction mass, and the whole system is mixed for 15 min;
(3)
Then, citric acid is introduced into the reaction mass;
(4)
Then, the reaction mixture is mixed for 20 min;
(5)
Finally, the resulting product is packaged.

2.2.3. Investigation of the Optical Properties of Sulfosalicylic Acid Complexes with Trivalent Iron Ions (Fe3+)

To determine the possibility of using sulfosalicylic acid as an indicator of Fe3+ ions in the composition of a metal inclusion removal agent, the absorption spectra of 0.01 M solutions of iron chloride FeCl3, sulfosalicylic acid and their mixtures were measured. The solutions were prepared by the exact weighting method: the exact mass of the reagent was hung on an analytical balance scale; then, it was transferred to a 100 mL Mora flask and filled with distilled water until full. The prepared solutions were kept for 24 h at room temperature. The optical density was measured using a UNICO 2802 spectrometer (United Products & Instruments, Inc., Suite E Dayton, NJ, USA) with quartz cuvettes. The measurement parameters were as follows:
-
Measuring range: 200–1100 nm;
-
Scanning step: 0.5 nm;
-
Thickness of the cuvette: 10 mm.
Data processing was carried out in OriginPro 2018 software.

2.2.4. Determination of the Effect of the Active Acidity of the Medium on the Optical Properties of Fe-Sulfosalicylic Acid Complexes

To determine the effect of the active acidity of the medium on the optical properties of the sulfosalicylic acid-Fe complexes, a series of buffer solutions with different values of active acidity of the medium (pH 4 to 13) was prepared. To this end, a solution of a mixture of phosphoric, acetic and boric acids with a concentration of 0.04 M of each acid was prepared. Then, the required volume of 0.2 N NaOH solution was added to 100 mL of the acid mixture, as shown in Table 2.
The resulting solutions were kept for 24 h after preparation. Then, 9 mL of buffer solutions with a certain value of the active acidity of the medium were mixed with 0.5 mL of 0.01 M solution of iron chloride FeCl3 and 0.5 mL of 0.01 M solution of sulfosalicylic acid. The optical density of the obtained solutions was measured using a UNICO 2802 spectrometer (United Products & Instruments, Inc., Suite E Dayton, NJ, USA) with quartz cuvettes. The measurement parameters were as follows:
-
Measuring range: 300–1100 nm;
-
Scanning step: 0.5 nm;
-
Thickness of the cuvette: 10 mm.
Data processing was carried out in OriginPro 2018 software.

2.2.5. Determination of the Optimal Complexing Agent for the Removal of Metal Inclusions on the Surface of Car Paint and Varnish Coatings

A series of samples of a mixture of sulfosalicylic acid and Fe3+ ions containing the following complexing agents was prepared: orthophosphoric, citric, oxalic and oxy-ethylidene diphosphonic acids, as well as Trilon B. The solutions were prepared by the exact weighting method: 0.1 g of the complexing agent and 0.1 g of sulfosalicylic acid were hung on analytical balance scales; then, the reagents were transferred to a 100 mL Mora flask and filled with distilled water until full.
Using quartz cuvettes, the optical density was measured with a UNICO 2802 spectrometer (United Products & Instruments, Inc., USA). The measurement parameters were as follows:
-
Measuring range: 200–800 nm;
-
Scanning step: 0.5 nm;
-
Thickness of the cuvette: 10 mm.
Data processing was carried out in OriginPro 2018 software.

2.2.6. Optimization of the Composition and Study of the Effect of the Concentration of Components on the Physicochemical Properties of Tools for Removing Metal Inclusions on the Surface of Car Paint and Varnish Coatings

To determine the optimal composition of a low-toxicity, highly effective tool for removing metal inclusions on the surface of paint coatings of cars, which provides for the complete removal of impurities and metal inclusions, we optimized its method of attainment through neural network processing of experimental data. Mathematical processing of the received data was carried out in Statistica 12.0 software.
Preliminary experiments made it possible to identify the factors (variable parameters) with the greatest impact on the physicochemical and surface-active properties of the tool for removing metal inclusions:
  • Mass concentration of sulfosalicylic acid, %;
  • Mass concentration of sodium laureth sulfate, %;
  • Mass concentration of H2O2, %;
  • Mass concentration of citric acid, %;
The output parameters were as follows:
  • σ: surface tension, mN/m;
  • pH: active acidity of the medium;
  • E: redox potential, mV;
  • H: dynamic viscosity, MPa·s.
The levels of variation of all these variable parameters are presented in Table 3.
In to study the four selected factors at four variable levels, an orthogonal plan of 16 experiments was used in threefold repetition [30,31,32].
To study the mutual influence of all factors with a minimum number of experiments, the Greek-Latin squares method was used, and a planning matrix was formed (Table 4).
The numerical values of the variable parameters for each experiment are presented in Table 5.
As a result of the experiment, the values of the response functions for each experiment were obtained (Table 6).
As a result of mathematical processing of the obtained experimental data, a neural network was formed in Neural Statistica Network 12.0 software [33], the architecture of which is shown in Figure 1.

2.2.7. Investigation of the Effect of the Concentration of Sulfosalicylic Acid and Iron Ions on the Optical Properties of the Iron Complex

Four series of sulfosalicylic acid solutions with concentrations of 0.0001, 0.001, 0.01 and 0.1 M and four series of iron chloride solutions with the same concentrations were prepared. The solutions were prepared by the exact weighting method: the exact mass of the reagent was hung on an analytical balance scale; then, it was transferred to a 100 mL Mora flask and filled with distilled water until full. The prepared solutions were kept for 24 h at room temperature. The obtained solutions of sulfosalicylic acid and iron (III) chloride were alternately mixed and the absorption spectra in the UV and visible regions were measured. The optical density was measured using a UNICO 2802 spectrometer (United Products & Instruments, Inc., USA) with quartz cuvettes. The optical density of the absorption band at 500 nm was determined from these spectra. Data processing was carried out in OriginPro 2018 software.

2.2.8. Identification of Contaminants on the Surface of Car Paint and Varnish Coatings

To identify dirt on the surface of a car’s paintwork, 10 mm × 10 mm metal plates were used that were cut from various parts of a car: the hood, front bumper, rear bumper, fender and front door. Energy dispersion analysis of the samples was carried out on a MIRA-LMU scanning electron microscope with an AZtecEnergy Standard/X-max 20 (Standard) elemental composition determination system from Tescan.

2.2.9. Investigation of the Composition of Road Dust

A sampling of road dust was collected in the city of Stavropol. For this study, 5 parallel samples were taken on different highways weighing 1 g each. The obtained samples were dried at 50 °C for 4 h. Energy dispersion analysis of the samples was carried out on a MIRA-LMU scanning electron microscope with an AZtecEnergy Standard/X-max 20 (standard) elemental composition determination system from Tescan.

3. Results and Discussion

In the first stage, we studied optical properties as an indicator for Fe3+ ions of sulfosalicylic acid complexes to determine the possibility of using sulfosalicylic acid as a highly effective, low-toxicity agent for removing metal inclusions on the surface of car paint coatings. To this end, the absorption spectra of 0.01 M solutions of iron chloride (FeCl3), sulfosalicylic acid and their mixtures were measured. The obtained data are presented in Figure 2.
Analysis of the obtained data revealed that aqueous solutions of iron (III) chloride and sulfosalicylic acid do not absorb radiation in the visible region of the spectrum, and their selective absorption bands are in the ultraviolet region at and λ1 = 295 nm and λ2 = 310 nm, respectively. However, in the absorption spectrum of a mixture of iron (III) chloride and sulfosalicylic acid and absorption in the ultraviolet region, there is a bright, high-intensity band at 500 nm characteristic of complexes of sulfosalicylic acid and iron ions [34].
Next, an experiment was carried out to determine the effect of the active acidity of the medium on the optical properties of these complexes. To this end, we used a series of samples of complexes of sulfosalicylic acid and iron ions with different active acidity values of the medium (pH from 4 to 13). To quantify the effect of the active acidity of the medium on the optical properties of complexes of Fe3+ ions with sulfosalicylic acid, the absorption spectra of the obtained samples were measured, which are shown in Figure 3.
Analysis of the obtained data revealed that the maximum active acidity value of the medium of a highly effective, low-toxicity agent for removing metal inclusions from the surface of a car’s paintwork, at which the presence of iron ions with the formation of bard complexes is detected, is pH = 6.
According to the literature data [35], at different pH values, the reaction of sulfosalicylic acid with Fe3+ ions occurs with the formation of other Fe-sulfosalicylic acid complexes: monosulfosalicylate, disulfosalicylate and trisulfosalicylate acids. To determine the most energetically favorable type of interaction of one Fe3+ ion with sulfosalicylic acid molecules, quantum chemical modeling was performed in QChem software using the IQmol molecular editor. Figure 4 shows the model, the electron density distribution, the electron density gradient and the molecular orbitals of the sulfosalicylic acid molecule.
Figure 5 shows the results of quantum chemical modeling to determine the most energetically favorable type of interaction of one Fe3+ ion with different parts of the sulfosalicylic acid molecule, corresponding to the formation of iron monosulfosalicylate in an acidic medium. For calculations, the free two bonds of the Fe3+ ion were subjected to hydration. The calculated data of chemical energy are presented in Table 7.
According to theoretical concepts [36], the most stable type of compound is one with minimal energy. Analysis of the obtained data showed that the most energetically favorable type of interaction of the Fe3+ ion with a sulfosalicylic acid molecule in an acidic medium proceeds with the formation of a chemical bond with a sulfo group.
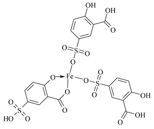
In the next stage, the interaction of the Fe3+ ion with two sulfosalicylic acid molecules was simulated, which is characteristic of the formation of disulfosalicylate in the neutral pH region. To this end, models of molecules of three possible types of interaction of the Fe3+ ion with two sulfosalicylic acid molecules were obtained. To simplify the calculations, the free bond of the Fe3+ ion was subjected to hydration. The calculated chemical energy data are shown in Table 8, and the model of the most energetically favorable type of interaction of the Fe3+ ion with a sulfosalicylic acid molecule is presented in Figure 6.
In the next stage, the interaction of Fe3+ with three sulfosalicylic acid molecules was simulated, which is characteristic of the formation of trisulfosalicylate in the alkaline region. The structural formulae of the obtained models are presented in the Table 9.
The chemical energy of all types of interaction of three molecules of sulfosalicylic acid and an iron ion was calculated in QChem software using the IQmol molecular editor. The results of the calculation of chemical energy are presented as a histogram in Figure 7.
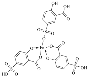
As a result of the simulation, it was determined that the molecular system of interaction of three sulfosalicylic acid molecules and an iron ion has the lowest energy when binding an iron ion to sulfo groups and that this configuration of the molecule is the most optimal. A model of the energetically favorable configuration of the iron trisulfosalicylate molecule is presented in Figure 8.
Analysis of the obtained data revealed that sulfosalicylic acid exhibits pronounced indicator properties with respect to trivalent iron ions and can be used as an indicator in the developed low-toxicity, highly effective tool for removing metal inclusions on the surface of car paint coatings.
Next, an experiment was conducted to determine the optimal complexing agent for a low-toxicity, highly effective tool for removing metal inclusions on the surface of car paint coatings. The choice of the optimal complexing agent determines the compound that has the least effect on the interaction of the indicator—sulfosalicylic acid with iron ions (Fe3+)—with the formation of iron sulfosalicylates, which display intense staining in aqueous solutions due to a high-intensity absorption band at 500 nm.
To this end, a series of samples of a mixture of sulfosalicylic acid and Fe3+ ions containing the following complexing agents was prepared: orthophosphoric, citric, oxalic and oxy-ethylidene diphosphonic acids, as well as Trilon B. To quantify the effect of complexing agents on the processes of indication of iron ions with Fe3+ sulfosalicylic acid, the absorption spectra of the obtained samples were measured, and the results are shown in Figure 9.
Analysis of the obtained data revealed that the most intense absorption band at 500 nm is observed in a sample containing citric acid. This fact determines the choice of citric acid as a complexing agent in the composition of the developed low-toxicity, highly effective tool for removing metal inclusions on a car’s paintwork.
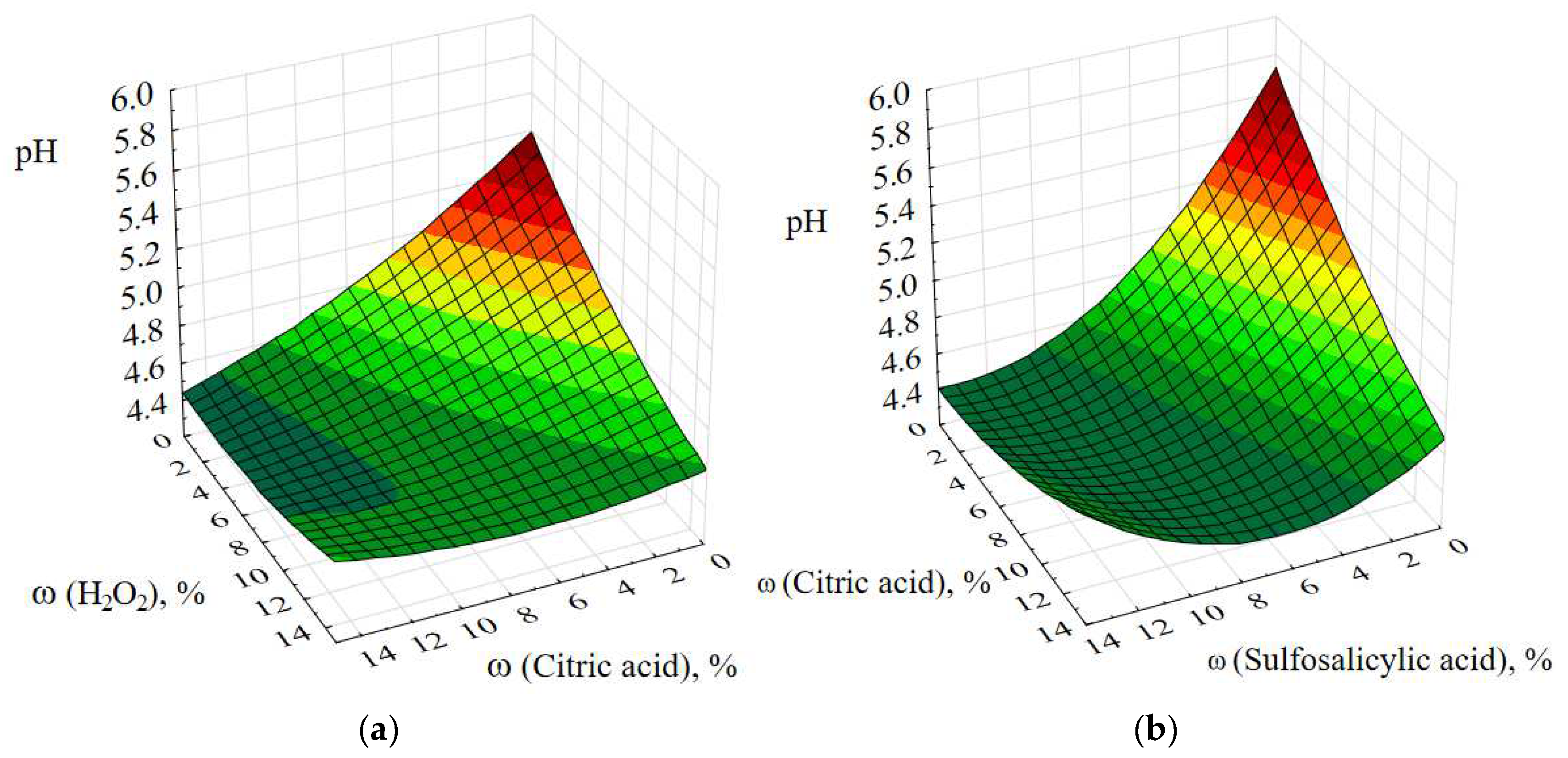
Furthermore, the composition of the developed low-toxicity, highly effective tool for removing metal inclusions on a car’s paintwork was optimized. To study the effect of the concentration of components on the active acidity of the developed product, the response surface data shown in Figure 10 were analyzed.
It was found that the active acidity of the agent for detecting and removing metal inclusions significantly depends on the concentration of sulfosalicylic and citric acids. Moreover, we found that the higher the acid concentration, the lower the pH. This is because due to the process of dissociation of acid molecules in the aqueous medium, protons are released, the appearance of which causes a drop in the acidity of the medium. With a decrease in the concentration of acids, an increase in active acidity is observed, with a maximum achievable pH value = 5.8 ± 0.2. It is important to note that due to the buffering of the product, the active pH acidity does fall below 4.4.
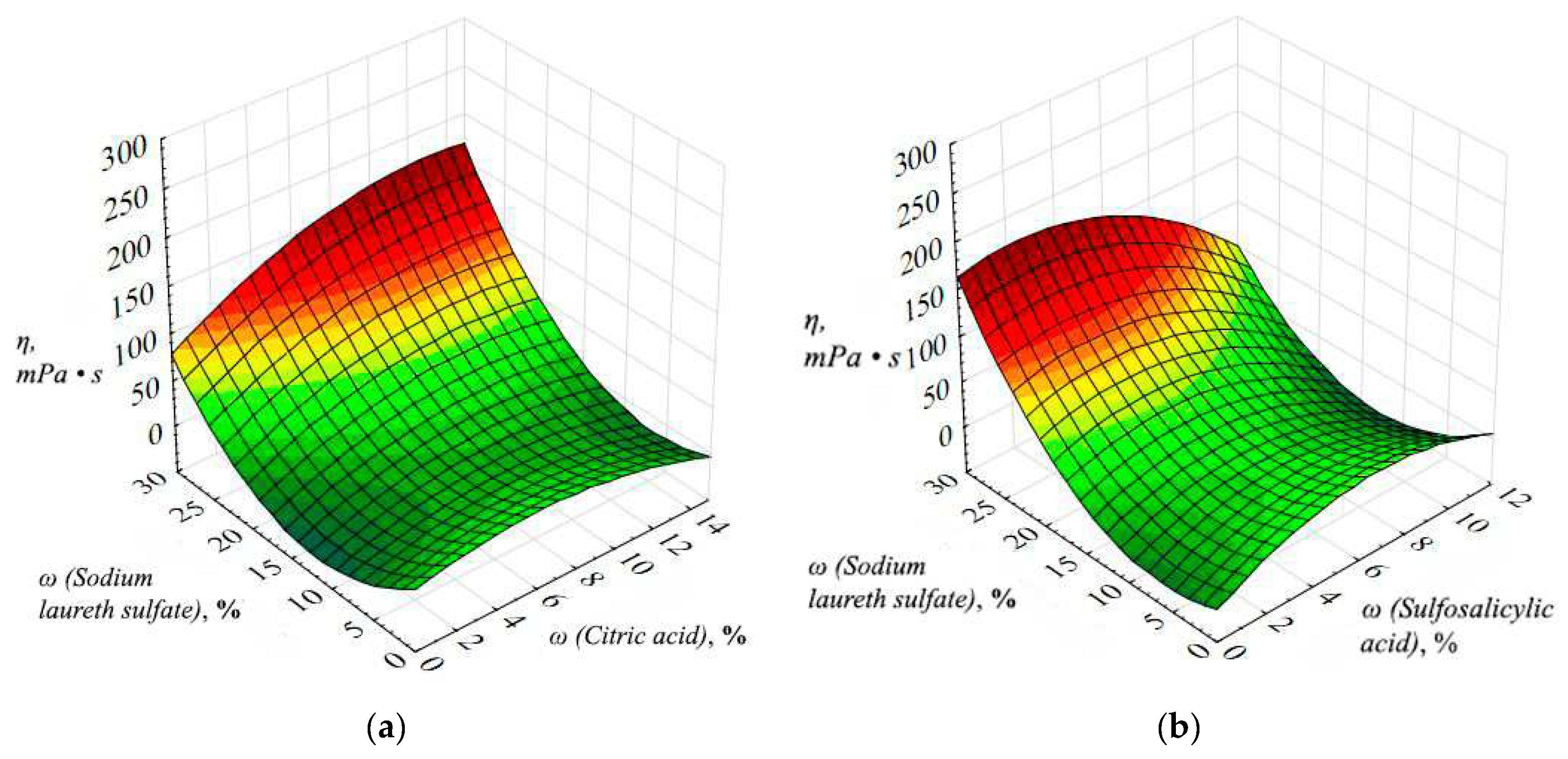
Considering the effect of the concentration of components on the surface tension of the developed product, the response surface data are shown in Figure 11.
Analysis of the obtained data revealed that the surface tension of the tool for detecting and removing metal inclusions depends only on the concentration of sodium laureth sulfate. This is because sodium laureth sulfate, unlike other components of the product, has the greatest surface activity because it is an anion-active surfactant. The surface tension of the developed product does not correlate with the concentrations of other components, with values in the range of 80 to 250 mN∙m−1. The effect of the concentration of components on the dynamic viscosity of the developed product is presented in Figure 12.
Data analysis revealed that the dynamic viscosity of the agent for detecting and removing metal inclusions significantly depends on the concentration of sodium laureth sulfate. The dependence is a quadratic function with an extremum at a concentration of sodium lauryl sulfate in the order of 10 ppm. It is also important to note that at a concentration of sodium laureth sulfate of more than 25 ppm, citric and sulfosalicylic acids change the viscosity, which is probably due to the influence of these components on the structure of sodium laureth sulfate gels, leading to changes in the structural, mechanical and surface-active properties of this surfactant.
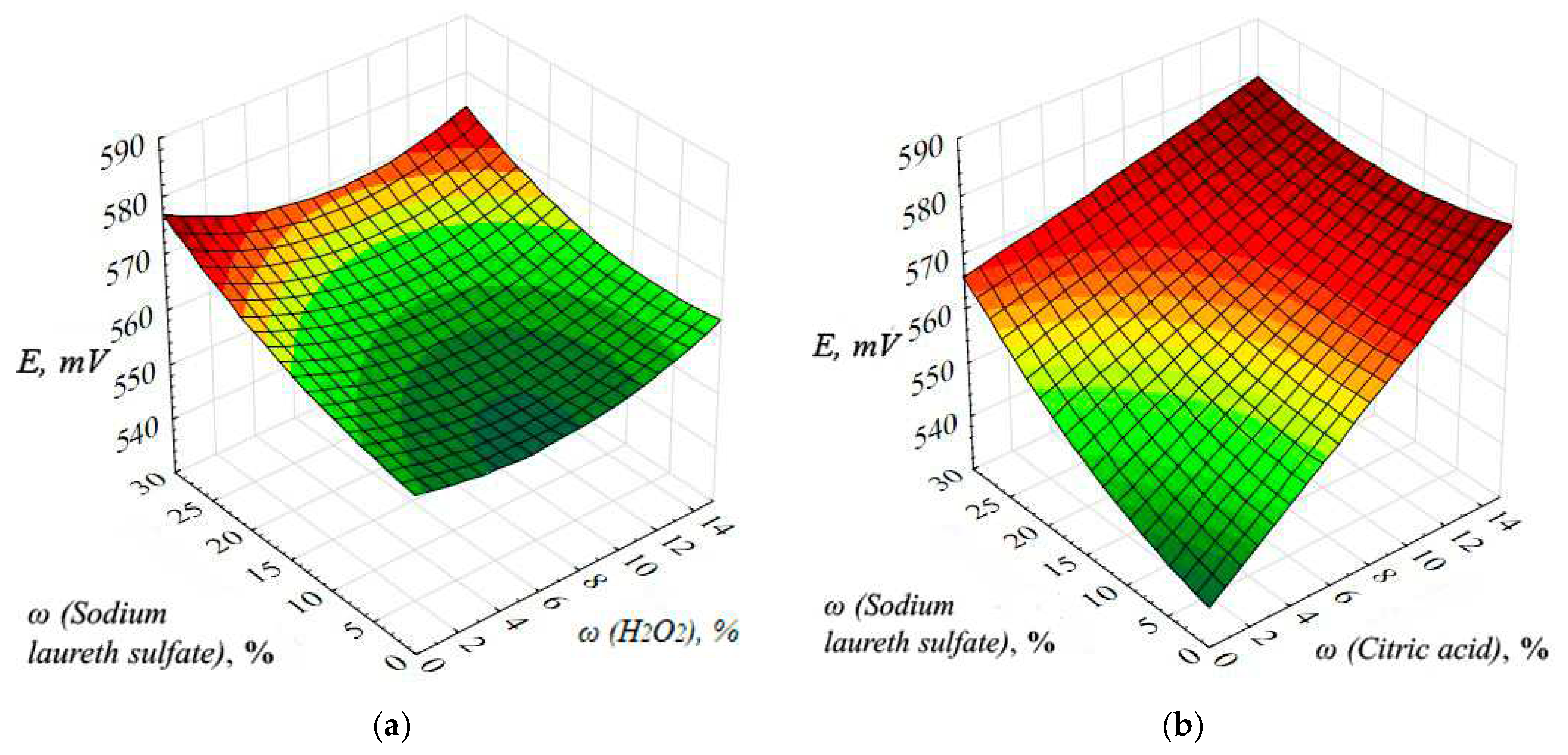
To study the effect of the concentration of components on the redox potential of the developed product, the response surface data shown in Figure 13 were analyzed. For all samples considered and on all the obtained response surfaces, an oxidizing medium with E > 0 mV was observed, with values ranging from 540 to 580 mV.
An experiment was conducted to study the effect of the concentration of sulfosalicylic acid and iron ions on the optical properties of the iron complex. To this end, an experiment was conducted in which a series of solutions of sulfosalicylic acid and iron chloride was prepared with concentrations ranging from 0.0001 to 0.1 M. Then, the obtained solutions were alternately mixed, and the absorption spectra in the ultraviolet and visible regions were measured. The optical density of the absorption band at 500 nm was determined from these spectra. The surface presented in Figure 14 was constructed by mathematically processing the experimental data.
Analysis of the data showed that the dependence of the optical density of solutions, D, on the concentration of iron chloride is complex and represents a parabola with an extremum at C (FeCl3) = 0.05 M and, from the concentration of sulfosalicylic acid, a curve with a maximum value of C (sulfosalicylic acid) = 0.1 M.
Before the production and testing of prototypes of a low-toxicity, highly effective agent for removing metal inclusions on the surface of car paint coatings, the microstructure of the surface of a car’s paintwork was studied in order to detect and identify contaminants. To this end, microscopy was performed on contaminated samples of a car’s paintwork with a surface area of 1 cm2 using an IM 7200 MEIJI TECHNO optical microscope. The resulting micrograph is shown in Figure 15.
Analysis of the obtained data showed the presence of polydisperse particles of various sizes and irregular shapes on the surface of the car’s paintwork. In order to determine the distribution of pollution particles, mathematical processing of the obtained data was carried out. The results are shown in Figure 16.
As a result of mathematical processing and analysis of the data shown in Figure 16, inclusions with a monomodal size distribution, an average surface area of about 25 μm2 and an average particle diameter of about 5 μm were found.
In order to identify particles of contamination and inclusions on the surface of the car’s paintwork, an energy-dispersion microanalysis was performed using a scanning electron microscope. The obtained EDS spectrum and its interpretation are shown in Figure 17 and Table 10, respectively.
In the process of energy-dispersion microanalysis, SEM micrographs, as well as multilayer and element-by-element maps, of the contaminated surface of the paint coating were obtained, which are shown in Figure 18 and Figure 19.
We established that the particle inclusions on the surface of the car’s paintwork were not only metallic materials but also mineral-containing sedimentary rocks in the form of particles of earth, sand, clay and other materials, including elements such as iron, potassium, magnesium, aluminum, sodium, silicon, chlorine and calcium, among others [37,38,39,40,41].
In order to confirm this fact, an energy-dispersion microanalysis of road dust was carried out using a scanning electron microscope. The obtained SEM micrographs, multilayer and element-by-element maps of road dust particles, and the EDS spectrum and its interpretation are presented in Figure 20, Figure 21 and Figure 22 and Table 11.
Energy-dispersion microanalysis established the similarity of the compositions of contaminants on the surface of the car’s paintwork and road dust particles. Therefore, it can be concluded that most of the inclusions on the surface of the car are represented by metal particles and particles of road dust containing various mineral compounds.
At this research stage, the manufactured prototypes of a low-toxicity, highly effective tool for removing metal inclusions were tested on the surface of a car. The car’s paintwork was treated with the resulting agent; application was carried out with a spray gun. The results of the experiment are shown in Figure 23.
Analysis of the obtained photos showed that the prototypes of the developed low-toxicity, highly effective agent actively react with metal inclusions after 30 s, with the appearance of bright bard staining caused by the formation of iron disulfosalicylate.
Optical microscopy and energy-dispersion microanalysis confirmed the complete removal of metal inclusions by experimental samples of the developed low-toxicity, highly effective agent. The obtained results are presented in Figure 24 and Figure 25 and in Table 12.
We found that with the use of the developed tool, metal inclusions containing iron and its derivatives on the surface of car paint coatings, as well as mineral contaminants containing sodium, potassium, chlorine and other elements, are completely removed.
Further tests of the developed product were carried out at the “Pride-Auto” Inc. specialized detailing center (Stavropol, Russia). The paintwork of a BMW X7 series car was used for experiments (Supplementary Materials). The process of applying prototypes of the developed tool for removing metal inclusions was carried out in the following order:
  • Two-phase car surface washing;
  • Removal of metal particles (using the developed means);
  • Washing the surface of the car.
Based on the test results of the developed product, a contract was concluded with a Russian network of auto-detailing centers, “Pride-Auto” Inc., to supply tools for removing metal inclusions from the surface of paint and varnish car coatings.

4. Conclusions

A method for obtaining a tool for removing metal inclusions on the surface of car paint coatings was developed and optimized. The developed tool consists of sodium laureth sulfate as a surfactant, citric acid as a complexing agent, sulfosalicylic acid as an indicator and water as a solvent. Hydrogen peroxide was also used to intensify the process of converting water-insoluble forms of iron into soluble forms. We found that sulfosalicylic acid exhibits pronounced indicator properties with respect to trivalent iron ions. An intense band at 500 nm is observed in the absorption spectra. The optimal types of interaction of iron ions with sulfosalicylic acid molecules were determined using computer quantum chemical model. The maximum value of the active acidity of the medium of the tool for removing metal inclusions from the surface of a car’s paintwork at which the presence of iron ions with the formation of bard complexes will be indicated is pH = 6. The optimal composition of a low-toxicity, highly effective tool for removing metal inclusions on the surface of car paint coatings, providing the most complete removal of impurities and metal inclusions was established as ω (sulfosalicylic acid) = 2%–4%, ω (sodium laureth sulfate) = 5%–15%, ω (H2O2) = 1%–5% and ω (citric acid) = 2%–4%.
The influence of the component composition of the agent for the detection and removal of metal inclusions on its physicochemical and surface-active properties was investigated. We established that the developed product’s dynamic viscosity and surface tension correlate only with the concentration of sodium laureth sulfate, with optimal concentrations of 20–50 MPa∙s and 80–250 mN∙m−1, respectively. We found that with a decrease in acid concentrations, an increase in the active acidity of the product is observed. Moreover, we found that the maximum achievable pH value is 5.8 ± 0.2. It is important to note that due to the agent’s buffering, the active acidity does not drop below pH 4.4. We also found that an oxidizing medium with E > 0 is observed in all the samples considered and on all the response surfaces obtained, with values in the range of 540 to 580 mV. We established that the dependence of the optical density of solutions on the concentration of iron chloride is complex and represents a parabola with an extremum at C (FeCl3) = 0.05 M and, on the concentration of sulfosalicylic acid, a curve with a maximum value of C (sulfosalicylic acid) = 0.1 M.
Experimental samples of a tool for removing metal inclusions were manufactured and tested. We found that 30–45 s after applying the developed product, not only were metal inclusions on the surface of car paint coatings removed but also mineral contaminants in the form of sand, earth, clay and other particles containing elements such as potassium, magnesium, aluminum, sodium, silicon, chlorine an calcium.
Product testing led to a contract with a Russian network of auto-detailing centers, “Pride-Auto” Inc. to supply tools for removing metal inclusions from the surface of paint and varnish car coatings. Currently, the developed product is used in 17 auto-detailing centers.

Supplementary Materials

The following supporting information can be downloaded at: https://www.mdpi.com/article/10.3390/coatings12060807/s1, Figure S1: Product testing in auto-detailing center “Pride-Auto” Inc.

Author Contributions

A.V.B.: conceptualization, methodology, validation, formal analysis, investigation, writing—original draft and supervision; A.A.N.: formal analysis, writing—review and editing, resources and project administration; A.A.G.: methodology, validation, software and investigation; A.A.B.: formal analysis and writing—original draft; D.G.M.: investigation and software; A.B.G.: investigation and visualization; K.S.S.: investigation and visualization; I.P.M.: investigation and visualization; V.V.M.: formal analysis and software; T.I.S.: resources; I.S.B.: methodology; S.N.P.: investigation; M.T.: writing—review and editing; M.A.S.: writing—review and editing. All authors have read and agreed to the published version of the manuscript.

Funding

This research received no external funding.

Institutional Review Board Statement

Not applicable.

Informed Consent Statement

Not applicable.

Data Availability Statement

All data are available upon request to the corresponding author.

Acknowledgments

The work was carried out under the “START” Program of the Foundation for Assistance to Small Innovative Enterprises in Science and Technology of the Russian Federation. Project: “Development of a comprehensive, high-performance technology in auto-detailing for the repair, restoration and protection of car paintwork”.

Conflicts of Interest

The authors declare that they have no known competing financial interest or personal relationships that could have appeared to influence the work reported in this paper.

References

  1. Khasanov, I.; Rassokha, V.; Kabanova, O. The Study on the Factors Influencing the Quality of Paint and Varnish Coating When Repairing the Car Body. IOP Conf. Ser. Mater. Sci. Eng. 2019, 632, 012073. [Google Scholar] [CrossRef]
  2. Keller, C.; Putz, M. Force-Controlled Adjustment of Car Body Fixtures—Verification and Performance of the New Approach. Procedia CIRP 2016, 44, 359–364. [Google Scholar] [CrossRef]
  3. Suwarno, N.; Nashir, M. Effect of Sulfuric Acid Concentration on the Corrosion Rate of ASTM A213-T12 Steel. Key Eng. Mater. 2020, 867, 213–217. [Google Scholar]
  4. Donahue, J.R.; Lass, A.B.; Burns, J.T. The interaction of corrosion fatigue and stress-corrosion cracking in a precipitation-hardened martensitic stainless steel. NPJ Mater. Degrad. 2017, 1, 11. [Google Scholar] [CrossRef]
  5. Gateman, S.M.; Stephens, L.I.; Perry, S.C.; Lacasse, R.; Schulz, R.; Mauzeroll, J. The role of titanium in the initiation of localized corrosion of stainless steel 444. NPJ Mater. Degrad. 2018, 2, 5. [Google Scholar] [CrossRef]
  6. Gubenko, S.I.; Pinchuk, S.I.; Belaya, E.V. Investigation of Non-Metallic Inclusion Effect on Corrosion Behavior of Wheel Steel. Metall. Min. Ind. 2011, 3, 63–66. [Google Scholar]
  7. Ferrer, K.S.; Kelly, R.G. Comparison of Methods for Removal of Corrosion Product from AA2024-T3. Corrosion 2001, 57, 110–117. [Google Scholar] [CrossRef]
  8. Jin, Y.; Zeng, C.; Lü, Q.-F.; Yu, Y. Efficient Adsorption of Methylene Blue and Lead Ions in Aqueous Solutions by 5-Sulfosalicylic Acid Modified Lignin. Int. J. Biol. Macromol. 2019, 123, 50–58. [Google Scholar] [CrossRef]
  9. Avakov, A.; Kosenko, E.; Topilin, I.; Kopilov, F. Analysis of Methods of Assessing the Quality of Protective Paint Car Coatings. MATEC Web Conf. 2018, 224, 02103. [Google Scholar] [CrossRef][Green Version]
  10. Molina, J.; Solanes, J.E.; Arnal, L.; Tornero, J. On the Detection of Defects on Specular Car Body Surfaces. Robot. Comput. Integr. Manuf. 2017, 48, 263–278. [Google Scholar] [CrossRef]
  11. Shahbazi, R.; Kasra-Kermanshahi, R.; Gharavi, S.; Moosavi-Nejad, Z.; Borzooee, F. Screening of SDS-Degrading Bacteria from Car Wash Wastewater and Study of the Alkylsulfatase Enzyme Activity. Iran. J. Microbiol. 2013, 5, 153–158. [Google Scholar] [PubMed]
  12. Loganina, V. Durability of Paint and Varnish Coatings Depending on the Quality of Their Appearance. IOP Conf. Ser. Mater. Sci. Eng. 2019, 471, 022044. [Google Scholar] [CrossRef]
  13. Casoli, A.; Di Diego, Z.; Isca, C. Cleaning Painted Surfaces: Evaluation of Leaching Phenomenon Induced by Solvents Applied for the Removal of Gel Residues. Environ. Sci. Pollut. Res. 2014, 21, 13252–13263. [Google Scholar] [CrossRef] [PubMed]
  14. Guidotti, T.L. Hydrogen Sulfide. Int. J. Toxicol. 2010, 29, 569–581. [Google Scholar] [CrossRef] [PubMed]
  15. Hendrickson, R.G.; Chang, A.; Hamilton, R.J. Co-Worker Fatalities from Hydrogen Sulfide. Am. J. Ind. Med. 2004, 45, 346–350. [Google Scholar] [CrossRef]
  16. Beauchamp, R.O.; Bus, J.S.; Popp, J.A.; Boreiko, C.J.; Andjelkovich, D.A.; Leber, P. A Critical Review of the Literature on Hydrogen Sulfide Toxicity. CRC Crit. Rev. Toxicol. 1984, 13, 25–97. [Google Scholar] [CrossRef]
  17. Wypych, G. Mechanisms of adhesion. In Handbook of Adhesion Promoters; Elsevier: Amsterdam, The Netherlands, 2018; pp. 5–44. [Google Scholar]
  18. Siddiqui, S.A.; Ahmad, A. Implementation of Thin-Walled Approximation to Evaluate Properties of Complex Steel Sections Using C++. SN Comput. Sci. 2020, 1, 342. [Google Scholar] [CrossRef]
  19. Coldur, M.; Oguzlar, S.; Zeyrek Ongun, M.; Oter, O.; Yıldırım, S. Usage of Thiocyanate-Based Ionic Liquid as New Optical Sensor Reagent: Absorption and Emission Based Selective Determination of Fe (III) Ions. Spectrochim. Acta Part A Mol. Biomol. Spectrosc. 2020, 224, 117385. [Google Scholar] [CrossRef]
  20. Skotnicki, W.; Jędrzejczyk, D. The Comparative Analysis of the Coatings Deposited on the Automotive Parts by the Cataphoresis Method. Materials 2021, 14, 6155. [Google Scholar] [CrossRef]
  21. Hovorun, T.P.; Berladir, K.V.; Pererva, V.I.; Rudenko, S.G.; Martynov, A.I. Modern Materials for Automotive Industry. J. Eng. Sci. 2017, 4, f8–f18. [Google Scholar] [CrossRef]
  22. Popuri, R.; Sagi, K.V.; Alety, S.R.; Peethala, B.C.; Amanapu, H.; Patlolla, R.; Babu, S.V. Citric Acid as a Complexing Agent in Chemical Mechanical Polishing Slurries for Cobalt Films for Interconnect Applications. ECS J. Solid State Sci. Technol. 2017, 6, P594–P602. [Google Scholar] [CrossRef]
  23. Van Wazer, J.R.; Callis, C.F. Metal Complexing By Phosphates. Chem. Rev. 1958, 58, 1011–1046. [Google Scholar] [CrossRef]
  24. Bhushan, B.; Martin, S. Substrate-Independent Superliquiphobic Coatings for Water, Oil, and Surfactant Repellency: An Overview. J. Colloid Interface Sci. 2018, 526, 90–105. [Google Scholar] [CrossRef]
  25. Gilbert, A. Introduction to IQmol; ChemTec Publishing: Toronto, ON, Canada, 2019. [Google Scholar]
  26. Cheng, C.-Y.; Ding, W.-H. Determination of Nonylphenol Polyethoxylates in Household Detergents by High-Performance Liquid Chromatography. J. Chromatogr. A 2002, 968, 143–150. [Google Scholar] [CrossRef]
  27. Lau, W.J.; Ismail, A.F.; Firdaus, S. Car Wash Industry in Malaysia: Treatment of Car Wash Effluent Using Ultrafiltration and Nanofiltration Membranes. Sep. Purif. Technol. 2013, 104, 26–31. [Google Scholar] [CrossRef]
  28. Hoigné, J. Inter-Calibration of Oh Radical Sources and Water Quality Parameters. Water Sci. Technol. 1997, 35, 1–8. [Google Scholar] [CrossRef]
  29. Bai, C.; Xiao, W.; Feng, D.; Xian, M.; Guo, D.; Ge, Z.; Zhou, Y. Efficient Decolorization of Malachite Green in the Fenton Reaction Catalyzed by [Fe(III)-Salen]Cl Complex. Chem. Eng. J. 2013, 215–216, 227–234. [Google Scholar] [CrossRef]
  30. Blinov, A.V.; Khramtsov, A.G.; Blinova, A.A.; Serov, A.V.; Kostenko, K.V.; Kravtsov, A.A.; Snezhkova, J.J. Detergent-Disinfectant Agent Based on Colloidal Silver Stabilized by Quaternary Ammonium Compounds for the Dairy Industry. J. Hyg. Eng. Des. 2019, 27, 3–11. [Google Scholar]
  31. Siddiqui, S.A.; Ahmad, A. Implementation of Newton’s Algorithm Using FORTRAN. SN Comput. Sci. 2020, 1, 348. [Google Scholar] [CrossRef]
  32. Siddiqui, S.A.; Ahmad, A.; Siddiqui, A.A.; Chaturvedi, P. Stability Analysis of a Cantilever Structure Using ANSYS and MATLAB. In Proceedings of the 2021 2nd International Conference on Intelligent Engineering and Management (ICIEM), London, UK, 28–30 April 2021; IEEE: Piscataway, NJ, USA, 2021; pp. 7–12. [Google Scholar]
  33. Blinov, A.V.; Gvozdenko, A.A.; Yasnaya, M.A.; Golik, A.B.; Blinova, A.A.; Shevchenko, I.M.; Kramarenko, V.N. Effect of Synthesis Parameters on Dimensional Characteristics of Fe3O4 Nanoparticles: Neural-Network Research. Phys. Chem. Asp. Study Clust. Nanostruct. Nanomater. 2019, 11, 298–306. [Google Scholar] [CrossRef]
  34. Taliaferro, C.H.; Martell, A. New Multidentate Ligands. XXIV. Disodium-N,N′-Bis(2-Hydroxy-5-Sulfobenzyl)-Ethylenediaminediacetic Acid, a New Chelating Ligand for Trivalent Metal Ions. Inorg. Chim. Acta 1984, 85, 9–15. [Google Scholar] [CrossRef]
  35. He, J.; Ma, W.; He, J.; Zhao, J.; Yu, J.C. Photooxidation of Azo Dye in Aqueous Dispersions of H2O2/α-FeOOH. Appl. Catal. B Environ. 2002, 39, 211–220. [Google Scholar] [CrossRef]
  36. Goucher, C.R.; Taylor, J.F. Compounds of Ferric Iron with Adenosine Triphosphate and Other Nucleoside Phosphates. J. Biol. Chem. 1964, 239, 2251–2255. [Google Scholar] [CrossRef]
  37. Benhaddya, M.L.; Boukhelkhal, A.; Halis, Y.; Hadjel, M. Human Health Risks Associated with Metals from Urban Soil and Road Dust in an Oilfield Area of Southeastern Algeria. Arch. Environ. Contam. Toxicol. 2016, 70, 556–571. [Google Scholar] [CrossRef]
  38. Apeagyei, E.; Bank, M.S.; Spengler, J.D. Distribution of Heavy Metals in Road Dust along an Urban-Rural Gradient in Massachusetts. Atmos. Environ. 2011, 45, 2310–2323. [Google Scholar] [CrossRef]
  39. Duong, T.T.T.; Lee, B.-K. Determining Contamination Level of Heavy Metals in Road Dust from Busy Traffic Areas with Different Characteristics. J. Environ. Manag. 2011, 92, 554–562. [Google Scholar] [CrossRef]
  40. Men, C.; Liu, R.; Xu, F.; Wang, Q.; Guo, L.; Shen, Z. Pollution Characteristics, Risk Assessment, and Source Apportionment of Heavy Metals in Road Dust in Beijing, China. Sci. Total Environ. 2018, 612, 138–147. [Google Scholar] [CrossRef]
  41. Atiemo, M.S.; Ofosu, G.F.; Tutu, A.O.; Palm, N.D.M.L.; Blankson, S.A. Contamination Assessment of Heavy Metals in Road Dust from Selected Roads in Accra, Ghana. Res. J. Environ. Earth Sci. 2011, 3, 473–480. [Google Scholar]
Figure 1. Architecture of a multilayer perceptron formed to optimize the method of attainment of a low-toxicity, highly effective agent for removing metal inclusions on the surface of car paint coatings.
Figure 1. Architecture of a multilayer perceptron formed to optimize the method of attainment of a low-toxicity, highly effective agent for removing metal inclusions on the surface of car paint coatings.
Coatings 12 00807 g001
Figure 2. Ultraviolet and visible absorption spectra. (a)—an aqueous solution of 0.01 M of iron (III) chloride; (b)—an aqueous solution of 0.01 M of sulfosalicylic acid; (c)—a complex of sulfosalicylic acid with iron (III) ions.
Figure 2. Ultraviolet and visible absorption spectra. (a)—an aqueous solution of 0.01 M of iron (III) chloride; (b)—an aqueous solution of 0.01 M of sulfosalicylic acid; (c)—a complex of sulfosalicylic acid with iron (III) ions.
Coatings 12 00807 g002
Figure 3. Absorption spectra of aqueous sulfosalicylic acid complex with iron ions at different active acidity values of the medium: (a) pH = 4, (b) pH = 5, (c) pH = 6, (d) pH = 7, (e) pH = 8, (f) pH = 9, (g) pH = 10, (h) pH = 11, (i) pH = 12 and (j) pH = 13.
Figure 3. Absorption spectra of aqueous sulfosalicylic acid complex with iron ions at different active acidity values of the medium: (a) pH = 4, (b) pH = 5, (c) pH = 6, (d) pH = 7, (e) pH = 8, (f) pH = 9, (g) pH = 10, (h) pH = 11, (i) pH = 12 and (j) pH = 13.
Coatings 12 00807 g003
Figure 4. Model (a), electron density distribution (b), electron density gradient of sulfosalicylic acid (c), highest occupied molecular orbital (HOMO) (d), lowest unoccupied molecular orbital (LUMO) (e) and decoding (f).
Figure 4. Model (a), electron density distribution (b), electron density gradient of sulfosalicylic acid (c), highest occupied molecular orbital (HOMO) (d), lowest unoccupied molecular orbital (LUMO) (e) and decoding (f).
Coatings 12 00807 g004aCoatings 12 00807 g004b
Figure 5. Models of the interaction of the Fe3+ iron ion with the carboxyl group (a), with the hydroxo group (b) and with the sulfo group (c) of the sulfosalicylic acid molecule; decoding (d).
Figure 5. Models of the interaction of the Fe3+ iron ion with the carboxyl group (a), with the hydroxo group (b) and with the sulfo group (c) of the sulfosalicylic acid molecule; decoding (d).
Coatings 12 00807 g005aCoatings 12 00807 g005b
Figure 6. Model of an energetically favorable type of interaction of the Fe3+ ion with two sulfosalicylic acid molecules.
Figure 6. Model of an energetically favorable type of interaction of the Fe3+ ion with two sulfosalicylic acid molecules.
Coatings 12 00807 g006
Figure 7. Chemical energy of different types of interaction of three molecules of sulfosalicylic acid with the Fe3+ ion.
Figure 7. Chemical energy of different types of interaction of three molecules of sulfosalicylic acid with the Fe3+ ion.
Coatings 12 00807 g007
Figure 8. Model of the energetically favorable configuration of the interaction of three sulfosalicylic acid molecules with the Fe3+ ion.
Figure 8. Model of the energetically favorable configuration of the interaction of three sulfosalicylic acid molecules with the Fe3+ ion.
Coatings 12 00807 g008
Figure 9. Absorption spectra in ultraviolet and visible regions of an aqueous solution of a complex of sulfosalicylic acid with Fe3+ ions in the presence of (a)—citric acid; (b)—oxy-ethylidene diphosphonic acid; (c)—oxalic acid; (d)—complexon III (Trilon B); and (e)—orthophosphoric acid.
Figure 9. Absorption spectra in ultraviolet and visible regions of an aqueous solution of a complex of sulfosalicylic acid with Fe3+ ions in the presence of (a)—citric acid; (b)—oxy-ethylidene diphosphonic acid; (c)—oxalic acid; (d)—complexon III (Trilon B); and (e)—orthophosphoric acid.
Coatings 12 00807 g009
Figure 10. Effect of the concentration of components on the active acidity of the developed product: (a) response surface of the output pH parameter depending on the mass concentrations of hydrogen peroxide and ascorbic acid; (b) response surface of the output pH parameter from the mass concentrations of ascorbic and sulfosalicylic acids; (c) the response surface of the output pH parameter depends on the mass concentrations of hydrogen peroxide and sulfosalicylic acid.
Figure 10. Effect of the concentration of components on the active acidity of the developed product: (a) response surface of the output pH parameter depending on the mass concentrations of hydrogen peroxide and ascorbic acid; (b) response surface of the output pH parameter from the mass concentrations of ascorbic and sulfosalicylic acids; (c) the response surface of the output pH parameter depends on the mass concentrations of hydrogen peroxide and sulfosalicylic acid.
Coatings 12 00807 g010aCoatings 12 00807 g010b
Figure 11. Effect of the concentration of components on the surface tension of the developed product: (a) response surface of the output parameter, σ, depending on the mass concentrations of hydrogen peroxide and sodium laureth sulfate; (b) response surface of the output parameter, σ, depending on the mass concentrations of sulfosalicylic acid and sodium laureth sulfate; (c) the response surface of the output parameter, σ, depends on the mass concentrations of sulfosalicylic acid and citric acid.
Figure 11. Effect of the concentration of components on the surface tension of the developed product: (a) response surface of the output parameter, σ, depending on the mass concentrations of hydrogen peroxide and sodium laureth sulfate; (b) response surface of the output parameter, σ, depending on the mass concentrations of sulfosalicylic acid and sodium laureth sulfate; (c) the response surface of the output parameter, σ, depends on the mass concentrations of sulfosalicylic acid and citric acid.
Coatings 12 00807 g011aCoatings 12 00807 g011b
Figure 12. Effect of the concentration of components on the dynamic viscosity of the developed product: (a) response surface of the output parameter, η, depending on the mass concentrations of sodium laureth sulfate and ascorbic acid; (b) response surface of the output parameter, η, depending on the mass concentrations of sodium laureth sulfate and sulfosalicylic acid; (c) the response surface of the output parameter, η, depends on the mass concentrations of sodium laureth sulfate and H2O2.
Figure 12. Effect of the concentration of components on the dynamic viscosity of the developed product: (a) response surface of the output parameter, η, depending on the mass concentrations of sodium laureth sulfate and ascorbic acid; (b) response surface of the output parameter, η, depending on the mass concentrations of sodium laureth sulfate and sulfosalicylic acid; (c) the response surface of the output parameter, η, depends on the mass concentrations of sodium laureth sulfate and H2O2.
Coatings 12 00807 g012aCoatings 12 00807 g012b
Figure 13. Effect of the concentration of components on the redox potential of the developed product: (a) response surface of the output parameter, E, depending on the mass concentrations of sodium laureth sulfate and H2O2; (b) response surface of the output parameter, E, depending on the mass concentrations of sodium laureth sulfate and ascorbic acid; (c) the response surface of the output parameter, E, depending on the mass concentrations of sulfosalicylic and ascorbic acids.
Figure 13. Effect of the concentration of components on the redox potential of the developed product: (a) response surface of the output parameter, E, depending on the mass concentrations of sodium laureth sulfate and H2O2; (b) response surface of the output parameter, E, depending on the mass concentrations of sodium laureth sulfate and ascorbic acid; (c) the response surface of the output parameter, E, depending on the mass concentrations of sulfosalicylic and ascorbic acids.
Coatings 12 00807 g013aCoatings 12 00807 g013b
Figure 14. Response surface of the output parameter, D (optical density), from the concentration of iron chloride and sulfosalicylic acid.
Figure 14. Response surface of the output parameter, D (optical density), from the concentration of iron chloride and sulfosalicylic acid.
Coatings 12 00807 g014
Figure 15. Micrograph of the contaminated surface of a car’s paintwork. (a) 10× magnification with greyscale conversion applied; (b) 20× magnification with greyscale conversion applied.
Figure 15. Micrograph of the contaminated surface of a car’s paintwork. (a) 10× magnification with greyscale conversion applied; (b) 20× magnification with greyscale conversion applied.
Coatings 12 00807 g015
Figure 16. Histogram of the distribution of pollution particles on the untreated surface of a car’s paintwork.
Figure 16. Histogram of the distribution of pollution particles on the untreated surface of a car’s paintwork.
Coatings 12 00807 g016
Figure 17. EDS spectrum of the contaminated surface of a car’s paintwork.
Figure 17. EDS spectrum of the contaminated surface of a car’s paintwork.
Coatings 12 00807 g017
Figure 18. SEM micrograph and multilayer map of energy-dispersion analysis of the contaminated surface of the paint coating.
Figure 18. SEM micrograph and multilayer map of energy-dispersion analysis of the contaminated surface of the paint coating.
Coatings 12 00807 g018
Figure 19. SEM micrographs and element-by-element maps of the energy-dispersion analysis of the contaminated paint surface: (a) Fe, (b) K, (c) Mg, (d) Al, (e) Na, (f) Si, (g) Cl, (h) Ca, (i) O and (j) C.
Figure 19. SEM micrographs and element-by-element maps of the energy-dispersion analysis of the contaminated paint surface: (a) Fe, (b) K, (c) Mg, (d) Al, (e) Na, (f) Si, (g) Cl, (h) Ca, (i) O and (j) C.
Coatings 12 00807 g019aCoatings 12 00807 g019b
Figure 20. SEM micrograph and multilayer map of energy-dispersion analysis of road dust.
Figure 20. SEM micrograph and multilayer map of energy-dispersion analysis of road dust.
Coatings 12 00807 g020
Figure 21. SEM micrographs and element-by-element maps of energy-dispersion analysis of road dust: (a) Cl, (b) S, (c) Ti, (d) Na, (e) K, (f) Mg, (g) Fe, (h) C, (i) Ca, (j) Al, (k) Si, (l) O and (m) Mn.
Figure 21. SEM micrographs and element-by-element maps of energy-dispersion analysis of road dust: (a) Cl, (b) S, (c) Ti, (d) Na, (e) K, (f) Mg, (g) Fe, (h) C, (i) Ca, (j) Al, (k) Si, (l) O and (m) Mn.
Coatings 12 00807 g021aCoatings 12 00807 g021b
Figure 22. EDS spectrum of a road dust sample.
Figure 22. EDS spectrum of a road dust sample.
Coatings 12 00807 g022
Figure 23. Photos of the car’s paintwork surface with the developed tool for removing metal inclusions applied: (a) after 0 s; (b) after 15 s; (c) after 30; (d) after 45 s; (e) after 60 s.
Figure 23. Photos of the car’s paintwork surface with the developed tool for removing metal inclusions applied: (a) after 0 s; (b) after 15 s; (c) after 30; (d) after 45 s; (e) after 60 s.
Coatings 12 00807 g023aCoatings 12 00807 g023b
Figure 24. Micrograph of the treated surface of the car’s paintwork. (a) 10× magnification with greyscale conversion applied; (b) 20× magnification with greyscale conversion applied.
Figure 24. Micrograph of the treated surface of the car’s paintwork. (a) 10× magnification with greyscale conversion applied; (b) 20× magnification with greyscale conversion applied.
Coatings 12 00807 g024
Figure 25. EDS spectrum of the surface of the treated paint coating.
Figure 25. EDS spectrum of the surface of the treated paint coating.
Coatings 12 00807 g025
Table 1. Hardware characteristics of the EDS spectrum measurement.
Table 1. Hardware characteristics of the EDS spectrum measurement.
IndexTotal Spectrum of the Map
Type of the list of elementsCurrent spectrum
Processing optionsAll elements
Coating (sputtering layer) of the sampleEnabled
Spray layer of the probe calibration elementEnabled
Coating elementAu
Coating thickness100 nm
Coating density19.32 g∙cm−3
Automatic line selectionDisabled
NormalizationDisabled
Adjusting the threshold (significance level)Disabled
Correction for the detector windowDisabled
Elements for deconvolutionNone
Selected standardsQuant standardizations (extended set) (pre-installed)
Correction of summation peaksCompleted successfully
Detector fileX-Max 6
EffectivenessBased on the file
Table 2. Preparation parameters of buffer solutions.
Table 2. Preparation parameters of buffer solutions.
pHV(NaOH), mLpHV(NaOH), mLpHV(NaOH), mL
4.1025.07.0052.59.9177.5
5.0235.07.9660.011.2085.0
6.0967.58.9567.511.98100.0
For pH = 13, a 0.2 N NaOH solution was used.
Table 3. Levels of variation of the main variable parameters.
Table 3. Levels of variation of the main variable parameters.
ParameterParameter DesignationLevels
of Variable Variation
ω (sulfosalicylic acid), %a0.547.511
ω (citric acid), %b0102030
ω (H2O2), %c051015
ω (sodium laureth sulfate), %d051015
Table 4. Experiment planning matrix.
Table 4. Experiment planning matrix.
Experiment No.ParametersExperiment No.Parameters
1a1b1c1d19a3b1c3d4
2a1b2c2d210a3b2c4d3
3a1b3c3d311a3b3c1d2
4a1b4c4d412a3b4c2d1
5a2b1c2d313a4b1c4d2
6a2b2c1d414a4b2c3d1
7a2b3c4d115a4b3c2d4
8a2b4c3d216a4b4c1d3
Table 5. Numerical values of variable parameters.
Table 5. Numerical values of variable parameters.
Experiment No.abcd
10.5000
20.55510
30.5101020
40.5151530
5401510
645100
7410530
8415020
97.50520
107.55030
117.510150
127.5151010
131101030
141151520
151110010
16111550
Table 6. Numerical values of response functions.
Table 6. Numerical values of response functions.
Experiment No.σ, mN·m−1pHE, mVη, mPa·s
1755.885349.17
21735.0754614.45
32014.795559.32
42584.57583113.77
51704.8654610.27
6794.6255812.08
72634.67566331.26
82114.5258215.55
91834.6354614.45
102664.5757362.64
11794.4656513.55
122044.4157419.08
132704.4857063.03
142064.45674.48
151964.55809.43
16814.4557511.93
Table 7. Calculated data of the chemical energy of iron monosulfosalicylate molecules.
Table 7. Calculated data of the chemical energy of iron monosulfosalicylate molecules.
Type of InteractionChemical Energy, kJ/mol
Interaction of the Fe3+ ion with the carboxyl group48.2046
Interaction of the Fe3+ ion with the hydroxo group46.2694
Interaction of the Fe3+ ion with the sulfo group23.9315
Table 8. Calculated data of the chemical energy of iron disulfosalicylate molecules.
Table 8. Calculated data of the chemical energy of iron disulfosalicylate molecules.
Type of InteractionChemical Energy, kJ/mol
Interaction of the Fe3+ ion with carboxyl and hydroxyl groups of two sulfosalicylic acid molecules246.6674
Interaction of the Fe3+ ion with the carboxyl and hydroxyl groups of a sulfosalicylic acid molecule and the sulfo group of another molecule100.598
Interaction of the Fe3+ ion with the sulfo groups of two sulfosalicylic acid molecules34.5888
Table 9. Characteristics of possible types of interaction of three sulfosalicylic acid molecules with the Fe3+ ion.
Table 9. Characteristics of possible types of interaction of three sulfosalicylic acid molecules with the Fe3+ ion.
No.Type of Interaction of Three Sulfosalicylic Acid Molecules with the Fe3+ IonStructural Formula
1Through carboxyl and hydroxo groups of sulfosalicylic acidCoatings 12 00807 i001
2Through the carboxyl and hydroxo groups of two molecules and the sulfo group of the third molecule of sulfosalicylic acidCoatings 12 00807 i002
3Through the carboxyl and hydroxo groups of the molecule and the sulfo groups of the other two molecules of sulfosalicylic acidCoatings 12 00807 i003
4Through sulfo groups of sulfosalicylic acid moleculesCoatings 12 00807 i004
Table 10. Decoding results of the EDS spectrum of the contaminated surface of a car’s paintwork.
Table 10. Decoding results of the EDS spectrum of the contaminated surface of a car’s paintwork.
ElementLine TypeAtom.%
CK seria81.33
NK seria3.53
OK seria14.85
NaK seria0.02
AlK seria0.05
SiK seria0.02
SK seria0.02
ClK seria0.06
CaK seria0.01
TiK seria0.06
FeK seria0.05
Summ:-100.00
Table 11. Decoding results of the EDS spectrum of road dust.
Table 11. Decoding results of the EDS spectrum of road dust.
ElementLine TypeAtom.%
CK seria38.40
OK seria45.26
NaK seria0.66
MgK seria0.68
AlK seria1.94
SiK seria9.94
PK seria0.03
SK seria0.05
ClK seria0.03
KK seria0.40
CaK seria1.28
TiK seria0.24
MnK seria0.02
FeK seria1.07
Summ:-100.00
Table 12. Decoding results of the EDS spectrum of the surface of the treated car’s paintwork.
Table 12. Decoding results of the EDS spectrum of the surface of the treated car’s paintwork.
ElementLine TypeAtom.%
CK seria70.81
OK seria28.78
MgK seria0.13
AlK seria0.01
SiK seria0.08
SK seria0.02
CaK seria0.14
TiK seria0.03
BaL seria0.01
Cymma:-100.00
Publisher’s Note: MDPI stays neutral with regard to jurisdictional claims in published maps and institutional affiliations.

Share and Cite

MDPI and ACS Style

Blinov, A.V.; Nagdalian, A.A.; Gvozdenko, A.A.; Blinova, A.A.; Maglakelidze, D.G.; Golik, A.B.; Slyadneva, K.S.; Makeenko, I.P.; Mikhaylenko, V.V.; Shpak, T.I.; et al. A Tool for Removing Metal Inclusions from the Surface of Paint and Varnish Car Coatings. Coatings 2022, 12, 807. https://doi.org/10.3390/coatings12060807

AMA Style

Blinov AV, Nagdalian AA, Gvozdenko AA, Blinova AA, Maglakelidze DG, Golik AB, Slyadneva KS, Makeenko IP, Mikhaylenko VV, Shpak TI, et al. A Tool for Removing Metal Inclusions from the Surface of Paint and Varnish Car Coatings. Coatings. 2022; 12(6):807. https://doi.org/10.3390/coatings12060807

Chicago/Turabian Style

Blinov, Andrey Vladimirovich, Andrey Ashotovich Nagdalian, Alexey Alekseevich Gvozdenko, Anastasiya Aleksandrovna Blinova, David Guramievich Maglakelidze, Alexey Borisovich Golik, Kristina Sergeevna Slyadneva, Igor Petrovich Makeenko, Viktor Vasilievich Mikhaylenko, Tatyana Ivanovna Shpak, and et al. 2022. "A Tool for Removing Metal Inclusions from the Surface of Paint and Varnish Car Coatings" Coatings 12, no. 6: 807. https://doi.org/10.3390/coatings12060807

APA Style

Blinov, A. V., Nagdalian, A. A., Gvozdenko, A. A., Blinova, A. A., Maglakelidze, D. G., Golik, A. B., Slyadneva, K. S., Makeenko, I. P., Mikhaylenko, V. V., Shpak, T. I., Baklanov, I. S., Povetkin, S. N., Thiruvengadam, M., & Shariati, M. A. (2022). A Tool for Removing Metal Inclusions from the Surface of Paint and Varnish Car Coatings. Coatings, 12(6), 807. https://doi.org/10.3390/coatings12060807

Note that from the first issue of 2016, this journal uses article numbers instead of page numbers. See further details here.

Article Metrics

Back to TopTop