Mechanical Performances of Phenolic Modified Epoxy Resins at Room and High Temperatures
Abstract
:1. Introduction
2. Materials and Methods
2.1. Materials
2.2. Preparation of Phenolic Modified Epoxy
2.3. Preparation of Laminated Composite
2.4. Experiment
2.5. Statistical Analysis
3. Results and Discussion
3.1. Compressive Properties of Phenolic Modified Epoxy
3.2. Compressive Properties of Phenolic Modified Epoxy-Based Composites
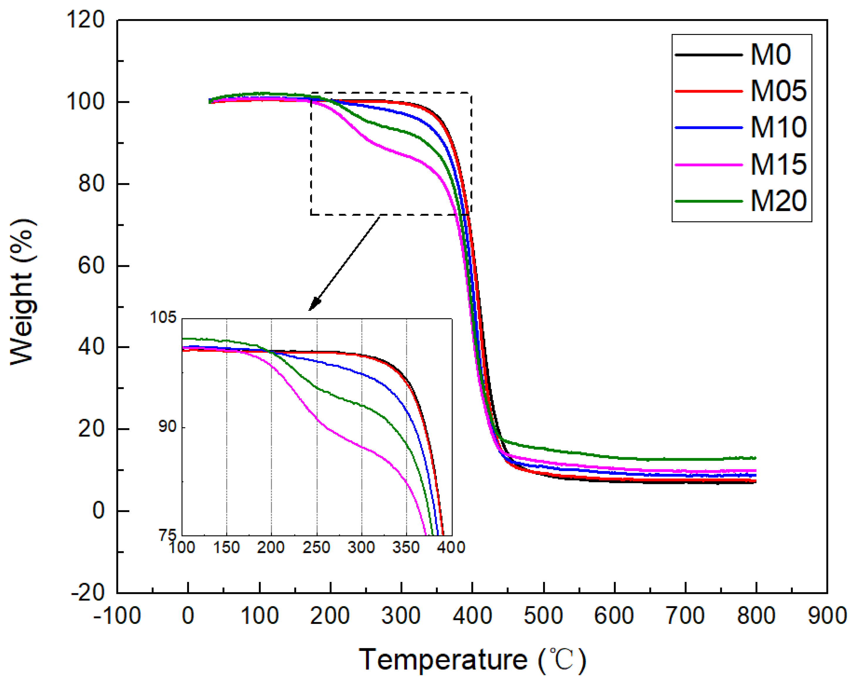
3.3. TG Analysis
4. Conclusions
Author Contributions
Funding
Institutional Review Board Statement
Informed Consent Statement
Data Availability Statement
Conflicts of Interest
References
- Hussian Siyal, S.; Jogi, S.A.; Muhammadi, S.; Laghari, Z.A.; Khichi, S.A.; Naseem, K.; Algarni, T.S.; Alothman, A.; Hussain, S.; Javed, M.S. Mechanical Characteristics and Adhesion of Glass-Kevlar Hybrid Composites by Applying Different Ratios of Epoxy in Lamination. Coatings 2021, 11, 94. [Google Scholar] [CrossRef]
- Zhou, H.; Liu, H.-Y.; Fu, K.; Yuan, H.; Du, X.; Mai, Y.-W. Numerical Simulation of Failure of Composite Coatings due to Thermal and Hygroscopic Stresses. Coatings 2019, 9, 243. [Google Scholar] [CrossRef] [Green Version]
- Jin, F.-L.; Li, X.; Park, S.-J. Synthesis and application of epoxy resins: A review. J. Ind. Eng. Chem. 2015, 29, 1–11. [Google Scholar] [CrossRef]
- Bhargav, M.; Babu, V.S. Experimental investigation of fiber orientation effect on mechanical and erosive wear performance of TiO2 filled woven jute fiber based epoxy composites. Mater. Today Proc. 2021, 44, 2617–2622. [Google Scholar] [CrossRef]
- Deng, S.; Djukic, L.; Paton, R.; Ye, L. Thermoplastic-epoxy interactions and their potential applications in joining composite structures—A review. Compos. Part A Appl. Sci. Manuf. 2015, 68, 121–132. [Google Scholar] [CrossRef]
- Kumar, S.; Prasad, L.; Patel, V.K.; Kumar, V.; Kumar, A.; Yadav, A.; Winczek, J. Physical and Mechanical Properties of Natural Leaf Fiber-Reinforced Epoxy Polyester Composites. Polymers 2021, 13, 1369. [Google Scholar] [CrossRef]
- Uflyand, I.E.; Irzhak, V.I. Recent advances in the study of structure and properties of fiber composites with an epoxy matrix. J. Polym. Res. 2021, 28, 440. [Google Scholar] [CrossRef]
- Ke, J.; Li, X.; Jiang, S.; Wang, J.; Kang, M.; Li, Q.; Zhao, Y. Critical transition of epoxy resin from brittleness to toughness by incorporating CO2-sourced cyclic carbonate. J. CO2 Util. 2018, 26, 302–313. [Google Scholar] [CrossRef]
- Zhu, T.; Lu, C.; Lu, X.; Zhi, J.; Song, Y. Curing process optimization and mechanical properties improvement of epoxy resin copolymer modified by epoxy-terminated hyperbranched polyether sulfone. Polymer 2022, 241, 124535. [Google Scholar] [CrossRef]
- Kim, T.H.; Kim, M.; Lee, W.; Kim, H.-G.; Lim, C.-S.; Seo, B. Synthesis and Characterization of a Polyurethane Phase Separated to Nano Size in an Epoxy Polymer. Coatings 2019, 9, 319. [Google Scholar] [CrossRef] [Green Version]
- Yung, T.-Y.; Lu, Y.-C.; Chen, J.-S.; Cheng, Y.-W.; Liu, T.-Y.; Chen, P.-T. Reinforcement of Epoxy Resin by Additives of Amine-Functionalized Graphene Nanosheets. Coatings 2021, 11, 35. [Google Scholar] [CrossRef]
- Cui, M.; Zhang, L.; Lou, P.; Zhang, X.; Han, X.; Zhang, Z.; Zhu, S. Study on thermal degradation mechanism of heat-resistant epoxy resin modified with carboranes. Polym. Degrad. Stab. 2020, 176, 109143. [Google Scholar] [CrossRef]
- Kim, M., II; Kim, S.; Kim, T.; Lee, D.K.; Seo, B.; Lim, C.-S. Mechanical and Thermal Properties of Epoxy Composites Containing Zirconium Oxide Impregnated Halloysite Nanotubes. Coatings 2017, 7, 231. [Google Scholar] [CrossRef] [Green Version]
- Kong, X.; Xu, Z.; Guan, L.; Di, M. Study on polyblending epoxy resin adhesive with lignin I-curing temperature. Int. J. Adhes. Adhes. 2014, 48, 75–79. [Google Scholar] [CrossRef]
- Zeng, D.; Liu, Z.; Zou, L.; Wu, H. Corrosion Resistance of Epoxy Coatings Modified by Bis-Silane Prepolymer on Aluminum Alloy. Coatings 2021, 11, 842. [Google Scholar] [CrossRef]
- Qin, T.; Zhao, L.; Zhang, J. Fastener effects on mechanical behaviors of double-lap composite joints. Compos. Struct. 2013, 100, 413–423. [Google Scholar] [CrossRef]
- Khosravani, M.R. Composite Materials Manufacturing Processes. Appl. Mech. Mater. 2011, 110–116, 1361–1367. [Google Scholar] [CrossRef]
- He, C.; Ge, J.; Zhang, B.; Gao, J.; Zhong, S.; Liu, W.K.; Fang, D. A hierarchical multiscale model for the elastic-plastic damage behavior of 3D braided composites at high temperature. Compos. Sci. Technol. 2020, 196, 108230. [Google Scholar] [CrossRef]
- Wang, H.; Sun, B.; Gu, B. Coupling effect of temperature and braided angle on compressive behaviors of 3D braided carbon-epoxy composite at low temperature. J. Compos. Mater. 2017, 51, 2531–2547. [Google Scholar] [CrossRef]
- Zuo, H.-m.; Li, D.-s.; Jiang, L. High Temperature Mechanical Response and Failure Analysis of 3D Five-Directional Braided Composites with Different Braiding Angles. Materials 2019, 12, 3506. [Google Scholar] [CrossRef] [Green Version]
- Guo, F.-L.; Zhou, Z.-L.; Wu, T.; Hu, J.-M.; Li, Y.-Q.; Huang, P.; Hu, N.; Fu, S.-Y.; Hong, Y. Experimental and multiscale modeling investigations of cryo-thermal cycling effects on the mechanical behaviors of carbon fiber reinforced epoxy composites. Compos. Part B Eng. 2022, 230, 109534. [Google Scholar] [CrossRef]
- Wu, L.; Maillard, E.; Noels, L. Tensile failure model of carbon fibre in unidirectionally reinforced epoxy composites with mean-field homogenisation. Compos. Struct. 2021, 273, 114270. [Google Scholar] [CrossRef]
- Balguri, P.K.; Samuel, D.G.H.; Thumu, U. A review on mechanical properties of epoxy nanocomposites. Mater. Today Proc. 2021, 44, 346–355. [Google Scholar] [CrossRef]
- Liu, N.; Wang, H.; Ma, B.; Xu, B.; Qu, L.; Fang, D.; Yang, Y. Enhancing cryogenic mechanical properties of epoxy resins toughened by biscitraconimide resin. Compos. Sci. Technol. 2022, 220, 109252. [Google Scholar] [CrossRef]
- Zhu, C.; Liu, M.; Wei, N.; Zhao, J. Molecular dynamics study on mechanical properties of helical graphenes/epoxy nanocomposites. Comput. Mater. Sci. 2022, 209, 111408. [Google Scholar] [CrossRef]
- Korkmaz, Y.; Gültekin, K. Improvement of structural, thermal and mechanical properties of epoxy composites and bonded joints exposed to water environment by incorporating boron nanoparticles. Int. J. Adhes. Adhes. 2022, 116, 103141. [Google Scholar] [CrossRef]
- Shen, W.; Zhang, T.; Ge, Y.; Feng, L.; Feng, H.; Li, P. Multifunctional AgO/epoxy nanocomposites with enhanced mechanical, anticorrosion and bactericidal properties. Prog. Org. Coat. 2021, 152, 106130. [Google Scholar] [CrossRef]
- El Gazzani, S.; Nassiet, V.; Habas, J.-P.; Freydier, C.; Hilleshein, A. High Temperature Epoxy Foam: Optimization of Process Parameters. Polymers 2016, 8, 215. [Google Scholar] [CrossRef] [Green Version]
- Zhang, J.; Hu, M.; Liu, S.; Wang, L.; Gu, B.; Sun, B. High strain rate compressive behaviors and adiabatic shear band localization of 3-D carbon/epoxy angle-interlock woven composites at different loading directions. Compos. Struct. 2019, 211, 502–521. [Google Scholar] [CrossRef]
- Huang, Z.-M. Simulation of the mechanical properties of fibrous composites by the bridging micromechanics model. Compos. Part A Appl. Sci. Manuf. 2001, 32, 143–172. [Google Scholar] [CrossRef]














| Symbol of Matrix | Symbol of Composite | Weight Ratio of Phenolic to Epoxy |
|---|---|---|
| M0 | P0 | 0:10 |
| M05 | P05 | 0.5:9.5 |
| M10 | P10 | 1:9 |
| M15 | / | 1.5:8.5 |
| M20 | / | 2:8 |
| E11 (GPa) | E22 = E33 (GPa) | υ12 = υ13 = υ23 | G12 = G13 (GPa) | Strength (MPa) |
|---|---|---|---|---|
| 230 | 14 | 0.25 | 9 | 4900 |
Publisher’s Note: MDPI stays neutral with regard to jurisdictional claims in published maps and institutional affiliations. |
© 2022 by the authors. Licensee MDPI, Basel, Switzerland. This article is an open access article distributed under the terms and conditions of the Creative Commons Attribution (CC BY) license (https://creativecommons.org/licenses/by/4.0/).
Share and Cite
Zhao, Y.; Xu, R.; Xiao, Y.; Wang, H.; Zhang, W.; Zhang, G. Mechanical Performances of Phenolic Modified Epoxy Resins at Room and High Temperatures. Coatings 2022, 12, 643. https://doi.org/10.3390/coatings12050643
Zhao Y, Xu R, Xiao Y, Wang H, Zhang W, Zhang G. Mechanical Performances of Phenolic Modified Epoxy Resins at Room and High Temperatures. Coatings. 2022; 12(5):643. https://doi.org/10.3390/coatings12050643
Chicago/Turabian StyleZhao, Yixin, Rui Xu, Yao Xiao, Hailou Wang, Wei Zhang, and Guangyu Zhang. 2022. "Mechanical Performances of Phenolic Modified Epoxy Resins at Room and High Temperatures" Coatings 12, no. 5: 643. https://doi.org/10.3390/coatings12050643
APA StyleZhao, Y., Xu, R., Xiao, Y., Wang, H., Zhang, W., & Zhang, G. (2022). Mechanical Performances of Phenolic Modified Epoxy Resins at Room and High Temperatures. Coatings, 12(5), 643. https://doi.org/10.3390/coatings12050643

