Large Two-Magnon Raman Hysteresis Observed in a Magnetically Uncompensated Hematite Coating across the Morin Transition
Abstract
1. Introduction
2. Materials and Methods
2.1. Growth of Nanoparticulated Hematite Coatings
2.2. Experimental and Characterization Techniques
3. Results
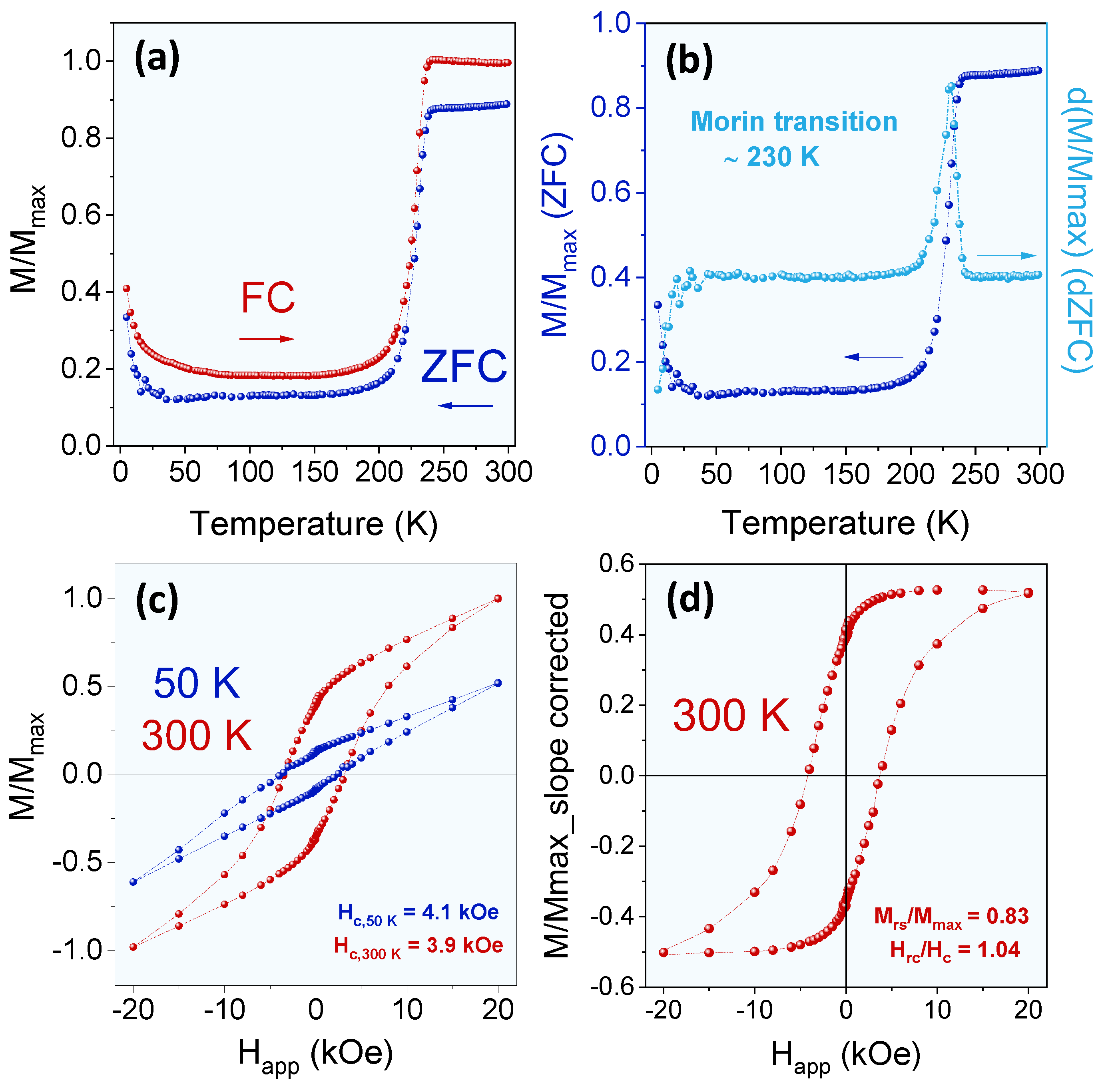
3.1. Morphological, Structural, and Magnetic Properties of the Nanoparticulated Hematite Coating
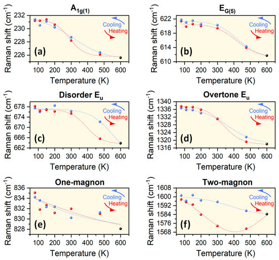
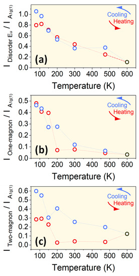
3.2. Thermal Study of the Raman Signal for the Nanoparticulated Hematite Coating across the Morin Transition
4. Conclusions
Author Contributions
Funding
Institutional Review Board Statement
Informed Consent Statement
Data Availability Statement
Conflicts of Interest
References
- Suturin, S.M.; Korovin, A.M.; Gastev, S.V.; Volkov, M.P.; Sitnikova, A.A.; Kirilenko, D.A.; Tabuchi, M.; Sokolov, N.S. Tunable polymorphism of epitaxial iron oxides in the four-in-one ferroic-on-GaN system with magnetically ordered α-, γ-, ɛ-Fe2O3, and Fe3O4 layers. Phys. Rev. Mater. 2018, 2, 073403. [Google Scholar] [CrossRef]
- MacHala, L.; Tuček, J.; Zbořil, R. Polymorphous transformations of nanometric iron(III) oxide: A review. Chem. Mater. 2011, 23, 3255–3272. [Google Scholar] [CrossRef]
- Tran, H.V.; Ngo, N.M.; Medhi, R.; Srinoi, P.; Liu, T.; Rittikulsittichai, S.; Lee, T.R. Multifunctional iron oxide magnetic nanoparticles for biomedical applications: A review. Materials 2022, 15, 503. [Google Scholar] [CrossRef] [PubMed]
- Creţu, B.E.B.; Dodi, G.; Shavandi, A.; Gardikiotis, I.; Şerban, I.L.; Balan, V. Imaging Constructs: The rise of iron oxide nanoparticles. Molecules 2021, 26, 3437. [Google Scholar] [CrossRef]
- López-Sánchez, J.; Palencia-Ortas, A.; del Campo, A.; McIntosh, G.; Kovacheva, M.; Martín-Hernández, F.; Carmona, N.; Rodríguez de la Fuente, O.; Marín, P.; Molina-Cardín, A.; et al. Further progress in the study of epsilon iron oxide in archaeological baked clays. Phys. Earth Planet. Inter. 2020, 307, 106554. [Google Scholar] [CrossRef]
- Xu, H.; Lee, S.; Xu, H. Luogufengite: A new nano-mineral of Fe2O3 polymorph with giant coercive field. Am. Mineral. 2017, 102, 711–719. [Google Scholar] [CrossRef]
- McIntosh, G.; Kovacheva, M.; Catanzariti, G.; Donadini, F.; Osete, M.L. High coercivity remanence in baked clay materials used in archeomagnetism. Geochem. Geophys. Geosyst. 2011, 12, Q02003. [Google Scholar] [CrossRef]
- López-Sánchez, J.; McIntosh, G.; Osete, M.L.; del Campo, A.; Villalaín, J.J.; Pérez, L.; Kovacheva, M.; Rodríguez de la Fuente, O. Epsilon iron oxide: Origin of the high coercivity stable low curie temperature magnetic phase found in heated archeological materials. Geochem. Geophys. Geosyst. 2017, 18, 2646–2656. [Google Scholar] [CrossRef]
- López-Sánchez, J.; Serrano, A.; del Campo, A.; Muñoz-Noval, Á.; Salas-Colera, E.; Cabero, M.; Varela, M.; Abuín, M.; Castro, G.R.; Rubio-Zuazo, J.; et al. A combined micro-raman, x-ray absorption and magnetic study to follow the glycerol-assisted growth of epsilon-iron oxide sol-gel coatings. J. Alloys Compd. 2022, 892, 162061. [Google Scholar] [CrossRef]
- Lee, S.; Xu, H. Size-dependent phase map and phase transformation kinetics for nanometric iron(III) oxides (γ → ϵ → α pathway). J. Phys. Chem. C 2016, 120, 13316–13322. [Google Scholar] [CrossRef]
- Tadic, M.; Milosevic, I.; Kralj, S.; Hanzel, D.; Barudzija, T.; Motte, L.; Makovec, D. Surface-induced reversal of a phase transformation for the synthesis of ε-Fe2O3 nanoparticles with high coercivity. Acta Mater. 2020, 188, 16–22. [Google Scholar] [CrossRef]
- Morrish, A.H. Canted Antiferromagnetism: Hematite; WORLD SCIENTIFIC: Singapore, 1995; ISBN 978-981-02-2007-5. [Google Scholar]
- Bødker, F.; Mørup, S. Size dependence of the properties of hematite nanoparticles. Europhys. Lett. 2007, 52, 217–223. [Google Scholar] [CrossRef]
- Özdemir, Ö.; Dunlop, D.J.; Berquó, T.S. Morin transition in hematite: Size dependence and thermal hysteresis. Geochem. Geophys. Geosyst. 2008, 9, Q10Z01. [Google Scholar] [CrossRef]
- Bødker, F.; Hansen, M.; Koch, C.; Lefmann, K.; Mørup, S. Magnetic properties of hematite nanoparticles. Phys. Rev. B 2000, 61, 6826–6838. [Google Scholar] [CrossRef]
- Serrano, A.; Rubio-Zuazo, J.; López-Sánchez, J.; Arnay, I.; Salas-Colera, E.; Castro, G.R. Stabilization of epitaxial α-Fe2O3 thin films grown by pulsed laser deposition on oxide substrates. J. Phys. Chem. C 2018, 122, 16042–16047. [Google Scholar] [CrossRef]
- Guerrero-Suarez, S.; Martín-Hernández, F. Haematite natural crystals: Non-linear initial susceptibility at low temperature. Geophys. J. Int. 2016, 205, 1886–1899. [Google Scholar] [CrossRef][Green Version]
- López-Sánchez, J.; Serrano, A.; del Campo, A.; Abuín, M.; Salas-Colera, E.; Muñoz-Noval, A.; Castro, G.R.; de la Figuera, J.; Marco, J.F.; Marín, P.; et al. Self-assembly of iron oxide precursor micelles driven by magnetic stirring time in sol–gel coatings. RSC Adv. 2019, 9, 17571–17580. [Google Scholar] [CrossRef]
- López-Sánchez, J.; Muñoz-Noval, A.; Serrano, A.; Abuín, M.; de la Figuera, J.; Marco, J.F.; Pérez, L.; Carmona, N.; Rodríguez de la Fuente, O. Growth, structure and magnetism of ε-Fe2O3 in nanoparticle form. RSC Adv. 2016, 6, 46380. [Google Scholar] [CrossRef]
- Colomban, P.; Kirmizi, B.; Zhao, B.; Clais, J.B.; Yang, Y.; Droguet, V. Non-invasive on-site Raman study of pigments and glassy matrix of 17th–18th century painted enamelled chinese metalwares: Comparison with french enamelling technology. Coatings 2020, 10, 471. [Google Scholar] [CrossRef]
- Nyarige, J.S.; Paradzah, A.T.; Krüger, T.P.J.; Diale, M. Mono-doped and Co-doped nanostructured hematite for improved photoelectrochemical water splitting. Nanomaterials 2022, 12, 366. [Google Scholar] [CrossRef]
- Baldovi, H.G. Optimization of α-Fe2O3 nanopillars diameters for photoelectrochemical enhancement of α-Fe2O3-TiO2 Heterojunction. Nanomaterials 2021, 11, 2019. [Google Scholar] [CrossRef] [PubMed]
- Roy, S.; Botte, G.G. Perovskite solar cell for photocatalytic water splitting with a TiO2/Co-doped hematite electron transport bilayer. RSC Adv. 2018, 8, 5388–5394. [Google Scholar] [CrossRef]
- Katikaneani, P.; Vaddepally, A.K.; Reddy Tippana, N.; Banavath, R.; Kommu, S. Phase transformation of iron oxide nanoparticles from hematite to maghemite in presence of polyethylene glycol: Application as corrosion resistant nanoparticle paints. J. Nanosci. 2016, 2016, 1328463. [Google Scholar] [CrossRef]
- Ma, T.; Zheng, L.; Zhao, Y.; Xu, Y.; Zhang, J.; Liu, X. Highly porous double-shelled hollow hematite nanoparticles for gas sensing. ACS Appl. Nano Mater. 2019, 2, 2347–2357. [Google Scholar] [CrossRef]
- Serrano, A.; López-Sánchez, J.; Arnay, I.; Cid, R.; Vila, M.; Salas-Cólera, E.; Castro, G.R.; Rubio-Zuazo, J. Improving the CO and CH4 gas sensor response at room temperature of α-Fe2O3(0001) epitaxial thin films grown on SrTiO3(111) incorporating Au(111) islands. Coatings 2021, 11, 848. [Google Scholar] [CrossRef]
- Sprain, C.J.; Feinberg, J.M.; Renne, P.R.; Jackson, M. Importance of titanohematite in dentrial remanent magnetizations of strata spanning the cretaceous-paleogene boundary, Hell Creek region, Montana. Geochem. Geophys. Geosyst. 2016, 17, 660–678. [Google Scholar] [CrossRef][Green Version]
- Lebrun, R.; Ross, A.; Gomonay, O.; Baltz, V.; Ebels, U.; Barra, A.L.; Qaiumzadeh, A.; Brataas, A.; Sinova, J.; Kläui, M. Long-distance spin-transport across the morin phase transition up to room temperature in ultra-low damping single crystals of the antiferromagnet α-Fe2O3. Nat. Commun. 2020, 11, 6332. [Google Scholar] [CrossRef]
- Baca-Arroyo, R. Iron oxide-coupled graphite/fe–si steel structure for analog computing from recycling principle. Coatings 2021, 11, 607. [Google Scholar] [CrossRef]
- Pattanayak, N.; Bhattacharyya, A.; Chakravarty, S.; Bajpai, A. Weak ferromagnetism and time-stable remanence in hematite: Effect of shape, size and morphology. J. Phys. Condens. Matter 2019, 31, 365802. [Google Scholar] [CrossRef]
- Serrano, A. Modified Au-Based Nanomaterials Studied by Surface Plasmon Resonance Spectroscopy; Springer: Berlin/Heidelberg, Germany, 2015; ISBN 331919402X. [Google Scholar] [CrossRef]
- Ross, A.; Lebrun, R.; Evers, M.; Deák, A.; Szunyogh, L.; Nowak, U.; Kläui, M. Exceptional sign changes of the nonlocal spin seebeck effect in antiferromagnetic hematite. Phys. Rev. B 2021, 103, 224433. [Google Scholar] [CrossRef]
- Horcas, I.; Fernández, R.; Gómez-Rodríguez, J.M.; Colchero, J.; Gómez-Herrero, J.; Baro, A.M. WSXM: A software for scanning probe microscopy and a tool for nanotechnology. Rev. Sci. Instrum. 2007, 78, 013705. [Google Scholar] [CrossRef] [PubMed]
- Coey, J.M.D.; Sawatzky, G.A. A study of hyperfine interactions in the system (Fe1-xRhx)2O3, using the Mössbauer effect. J. Phys. C Solid State Phys. 1971, 4, 2386–2407. [Google Scholar] [CrossRef]
- Patterson, A.L. The Scherrer formula for X-ray particle size determination. Phys. Rev. 1939, 56, 978–982. [Google Scholar] [CrossRef]
- López Sánchez, J.; Navarro, E.; Serrano, A.; Granados-Miralles, C.; del Campo, A.; Quesada, A.; Marín, P. Ultrafast particle size reduction of Fe73.9Si15.5Cu1Nb3B6.6 by high-energy milling: Nb2O5 as a marker of permeability enhancement and magnetic hardening. ACS Appl. Electron. Mater. 2020, 2, 1484–1496. [Google Scholar] [CrossRef]
- Serrano, A.; Rodríguez de la Fuente, O.; García, M.A. Extended and localized surface plasmons in annealed au films on glass substrates. J. Appl. Phys. 2010, 108, 074303. [Google Scholar] [CrossRef]
- Zhou, G. Nucleation-induced kinetic hindrance to the oxide formation during the initial oxidation of metals. Phys. Rev. B Condens. Matter Mater. Phys. 2010, 81, 195440. [Google Scholar] [CrossRef]
- Serrano, A.; Fernández, J.F.; Rodríguez de la Fuente, O.; García, M.A. A novel route to obtain metal and oxide nanoparticles co-existing on a substrate. Mater. Today Chem. 2017, 4, 64–72. [Google Scholar] [CrossRef]
- Aggarwal, S.; Ogale, S.B.; Ganpule, C.S.; Shinde, S.R.; Novikov, V.A.; Monga, A.P.; Burr, M.R.; Ramesh, R.; Ballarotto, V.; Williams, E.D. Oxide nanostructures through self-assembly. Appl. Phys. Lett. 2001, 78, 1442–1444. [Google Scholar] [CrossRef]
- Ogale, A.S. Self-Organized Pattern Formation in the Oxidation of Supported Iron Thin Films. II. A Simulation Study. Phys. Rev. B Condens. Matter Mater. Phys. 2001, 64, 035409. [Google Scholar] [CrossRef]
- Özdemir, Ö.; Dunlop, D.J. Hysteresis and coercivity of hematite. J. Geophys. Res. Solid Earth 2014, 119, 2582–2594. [Google Scholar] [CrossRef]
- Theil Kuhn, L.; Lefmann, K.; Bahl, C.R.H.; Nyborg Ancona, S.; Lindgard, P.-A.; Frandsen, C.; Madsen, D.E.; Mørup, S. Neutron study of magnetic excitations in 8-nm α-Fe2O3 nanoparticles. Phys. Rev. B 2006, 74, 184406. [Google Scholar] [CrossRef]
- Bercoff, P.G.; Bertorello, H.R. Magnetic properties of hematite with large coercivity. Appl. Phys. A Mater. Sci. Process. 2010, 100, 1019–1027. [Google Scholar] [CrossRef]
- Hayward, T.J.; Bryan, M.T.; Fry, P.W.; Fundi, P.M.; Gibbs, M.R.J.; Im, M.Y.; Fischer, P.; Allwood, D.A. Pinning induced by inter-domain wall interactions in planar magnetic nanowires. Appl. Phys. Lett. 2010, 96, 052502. [Google Scholar] [CrossRef]
- López-Sánchez, J.; Navarro, E.; Rodríguez-Granado, F.; Serrano, A.; Marín, P. Multiphase materials based on the Fe73.9Si15.5Cu1Nb3B6.6 alloy obtained by dry and wet high-energy ball milling processes. J. Alloys Compd. 2020, 864, 158136. [Google Scholar] [CrossRef]
- Perzanowski, M.; Zarzycki, A.; Gregor-Pawlowski, J.; Marszalek, M. Magnetization reversal mechanism in exchange-biased spring-like thin-film composite. ACS Appl. Mater. Interfaces 2020, 12, 39926–39934. [Google Scholar] [CrossRef]
- Liu, Q.; Barrón, V.; Torrent, J.; Qin, H.; Yu, Y. The magnetism of micro-sized hematite explained. Phys. Earth Planet. Inter. 2010, 183, 387–397. [Google Scholar] [CrossRef]
- Tadic, M.; Kopanja, L.; Panjan, M.; Lazovic, J.; Tadic, B.V.; Stanojevic, B.; Motte, L. Rhombohedron and plate-like hematite (α-Fe2O3) nanoparticles: Synthesis, structure, morphology, magnetic properties and potential biomedical applications for MRI. Mater. Res. Bull. 2021, 133, 111055. [Google Scholar] [CrossRef]
- López-Sánchez, J.; Serrano, A.; el Campo, A.; Abuín, M.; Rodríguez de la Fuente, O.; Carmona, N. Sol−gel synthesis and micro-raman characterization of ε-Fe2O3 micro- and nanoparticles. Chem. Mater. 2016, 28, 511–518. [Google Scholar] [CrossRef]
- Jubb, A.M.; Allen, H.C. Vibrational spectroscopic characterization of hematite, maghemite, and magnetite thin films produced by vapor deposition. ACS Appl. Mater. Interfaces 2010, 2, 2804–2812. [Google Scholar] [CrossRef]
- Kroumova, E.; Aroyo, M.I.; Perez-Mato, J.M.; Kirov, A.; Capillas, C.; Ivantchev, S.; Wondratschek, H. Bilbao Crystallographic Server: Useful databases and tools for phase-transition studies. Phase Transit. 2003, 76, 155–170. [Google Scholar] [CrossRef]
- Bersani, D.; Lottici, P.P.; Montenero, A. A micro-Raman investigation of iron oxide films and powders produced by sol–gel syntheses. J. Raman Spectrosc. 1999, 30, 355–360. [Google Scholar] [CrossRef]
- Cao, H.; Wang, G.; Zhang, L.; Liang, Y.; Zhang, S.; Zhang, X. Shape and magnetic properties of single-crystalline hematite (α-Fe2O3) nanocrystals. Chem. Phys. Chem. 2006, 7, 1897–1901. [Google Scholar] [CrossRef] [PubMed]
- Martin, T.P.; Merlin, R.; Huffman, D.R.; Cardona, M. Resonant two magnon Raman scattering in α-Fe2O3. Solid State Commun. 1977, 22, 565–567. [Google Scholar] [CrossRef]
- Owens, F.J.; Orosz, J. Effect of nanosizing on lattice and magnon modes of hematite. Solid State Commun. 2006, 138, 95–98. [Google Scholar] [CrossRef]
- Massey, M.J.; Baier, U.; Merlin, R.; Weber, W.H. Effects of pressure and isotopic substitution on the Raman spectrum of α-Fe2O3: Identification of two-magnon scattering. Phys. Rev. B 1990, 41, 7822–7827. [Google Scholar] [CrossRef]
- Kumar, P.; Bera, A.; Muthu, D.V.S.; Shirodkar, S.N.; Saha, R.; Shireen, A.; Sundaresan, A.; Waghmare, U.V.; Sood, A.K.; Rao, C.N.R. Coupled phonons, magnetic excitations, and ferroelectricity in AlFeO3: Raman and first-principles studies. Phys. Rev. B Condens. Matter Mater. Phys. 2012, 85, 134449. [Google Scholar] [CrossRef]
- Ramírez, M.O.; Kumar, A.; Denev, S.A.; Chu, Y.H.; Seidel, J.; Martin, L.W.; Yang, S.Y.; Rai, R.C.; Xue, X.S.; Ihlefeld, J.F.; et al. Spin-charge-lattice coupling through resonant multimagnon excitations in multiferroic BiFeO3. Appl. Phys. Lett. 2009, 94, 92–95. [Google Scholar] [CrossRef]
- Fleury, P.A.; Loudon, R. Scattering of light by one- and two-magnon excitations. Phys. Rev. 1968, 166, 514–530. [Google Scholar] [CrossRef]
- Moriya, T. Theory of light scattering by magnetic crystals. J. Phys. Soc. Jpn. 1967, 23, 490–500. [Google Scholar] [CrossRef]
- Willes, H.; Weber, R.M. Raman Scattering in Materials Science; Springer Science & Business Media: Berlin/Heidelberg, Germany, 2013. [Google Scholar] [CrossRef]
- Suber, L.; Imperatori, P.; Mari, A.; Marchegiani, G.; Mansilla, M.V.; Fiorani, D.; Plunkett, W.R.; Rinaldi, D.; Cannas, C.; Ennas, G.; et al. Thermal hysteresis of Morin transition in hematite particles. Phys. Chem. Chem. Phys. 2010, 12, 6984–6989. [Google Scholar] [CrossRef]
- Mukherjee, S.; Garg, A.; Gupta, R. Probing magnetoelastic coupling and structural changes in magnetoelectric gallium ferrite. J. Phys. Condens. Matter 2011, 23, 445403. [Google Scholar] [CrossRef] [PubMed]
- Postmus, C.; Ferraro, J.R.; Mitra, S.S. Pressure dependence of infrared eigenfrequencies of KC1 and KBr. Phys. Rev. 1968, 174, 983–987. [Google Scholar] [CrossRef]
- Pattanayak, N.; Kumar, J.; Pratim Patra, P.; Kumar, G.V.P.; Bajpai, A. Signatures of spin-phonon coupling in hematite crystallites through dielectric and Raman spectroscopy. EPL (Europhys. Lett.) 2021, 134, 47003. [Google Scholar] [CrossRef]
- Donev, E.U.; Lopez, R.; Feldman, L.C.; Haglund, R.F. Confocal Raman microscopy across the metal insulator transition of single vanadium dioxide nanoparticles. Nano Lett. 2009, 9, 702–706. [Google Scholar] [CrossRef] [PubMed]
- Zhang, K.; Bao, C.; Gu, Q.; Ren, X.; Zhang, H.; Deng, K.; Wu, Y.; Li, Y.; Feng, J.; Zhou, S. Raman signatures of inversion symmetry breaking and structural phase transition in Type-II Weyl semimetal MoTe2. Nat. Commun. 2016, 7, 3552. [Google Scholar] [CrossRef] [PubMed]






| Modes | Raman Shift (cm−1) | Modes | Raman Shift (cm−1) |
|---|---|---|---|
| A1g(1) | 231.64(4) | Eg(5) | 621.69(2) |
| Eg(1) | 250.66(2) | Disorder Eu | 678.62(1) |
| Eg(2) + Eg(3) | 299.04(3) | One-magnon | 835.06(9) |
| Eg(4) | 420.04(1) | Overtone Eu | 1337.62(1) |
| A1g(2) | 508.13(2) | Two-magnon | 1597.23(9) |
Publisher’s Note: MDPI stays neutral with regard to jurisdictional claims in published maps and institutional affiliations. |
© 2022 by the authors. Licensee MDPI, Basel, Switzerland. This article is an open access article distributed under the terms and conditions of the Creative Commons Attribution (CC BY) license (https://creativecommons.org/licenses/by/4.0/).
Share and Cite
López-Sánchez, J.; del Campo, A.; Román-Sánchez, S.; Rodríguez de la Fuente, Ó.; Carmona, N.; Serrano, A. Large Two-Magnon Raman Hysteresis Observed in a Magnetically Uncompensated Hematite Coating across the Morin Transition. Coatings 2022, 12, 540. https://doi.org/10.3390/coatings12040540
López-Sánchez J, del Campo A, Román-Sánchez S, Rodríguez de la Fuente Ó, Carmona N, Serrano A. Large Two-Magnon Raman Hysteresis Observed in a Magnetically Uncompensated Hematite Coating across the Morin Transition. Coatings. 2022; 12(4):540. https://doi.org/10.3390/coatings12040540
Chicago/Turabian StyleLópez-Sánchez, Jesús, Adolfo del Campo, Sara Román-Sánchez, Óscar Rodríguez de la Fuente, Noemí Carmona, and Aída Serrano. 2022. "Large Two-Magnon Raman Hysteresis Observed in a Magnetically Uncompensated Hematite Coating across the Morin Transition" Coatings 12, no. 4: 540. https://doi.org/10.3390/coatings12040540
APA StyleLópez-Sánchez, J., del Campo, A., Román-Sánchez, S., Rodríguez de la Fuente, Ó., Carmona, N., & Serrano, A. (2022). Large Two-Magnon Raman Hysteresis Observed in a Magnetically Uncompensated Hematite Coating across the Morin Transition. Coatings, 12(4), 540. https://doi.org/10.3390/coatings12040540

