Molecular Dynamics Study of Phase Transition Heat Transfer in Water Nanofilm on Nanorough Surfaces
Abstract
1. Introduction
2. Simulation Methods
3. Results and Discussion
3.1. Spatial Distribution of Atoms and Shift in Phase Transition Modes
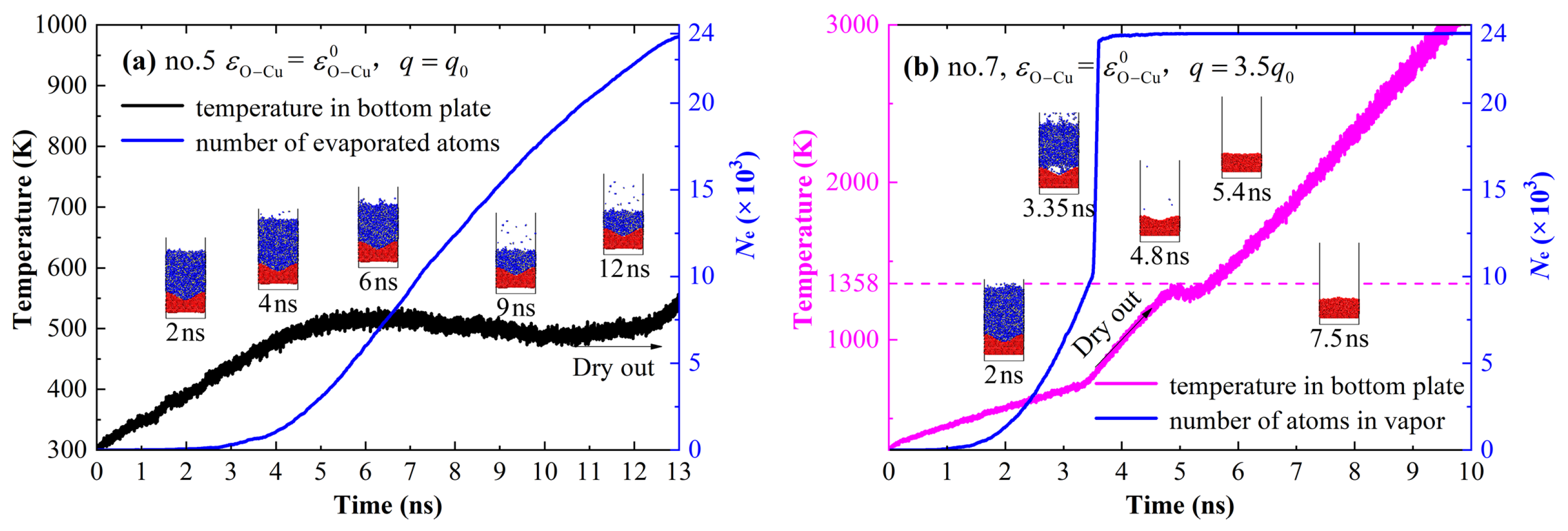
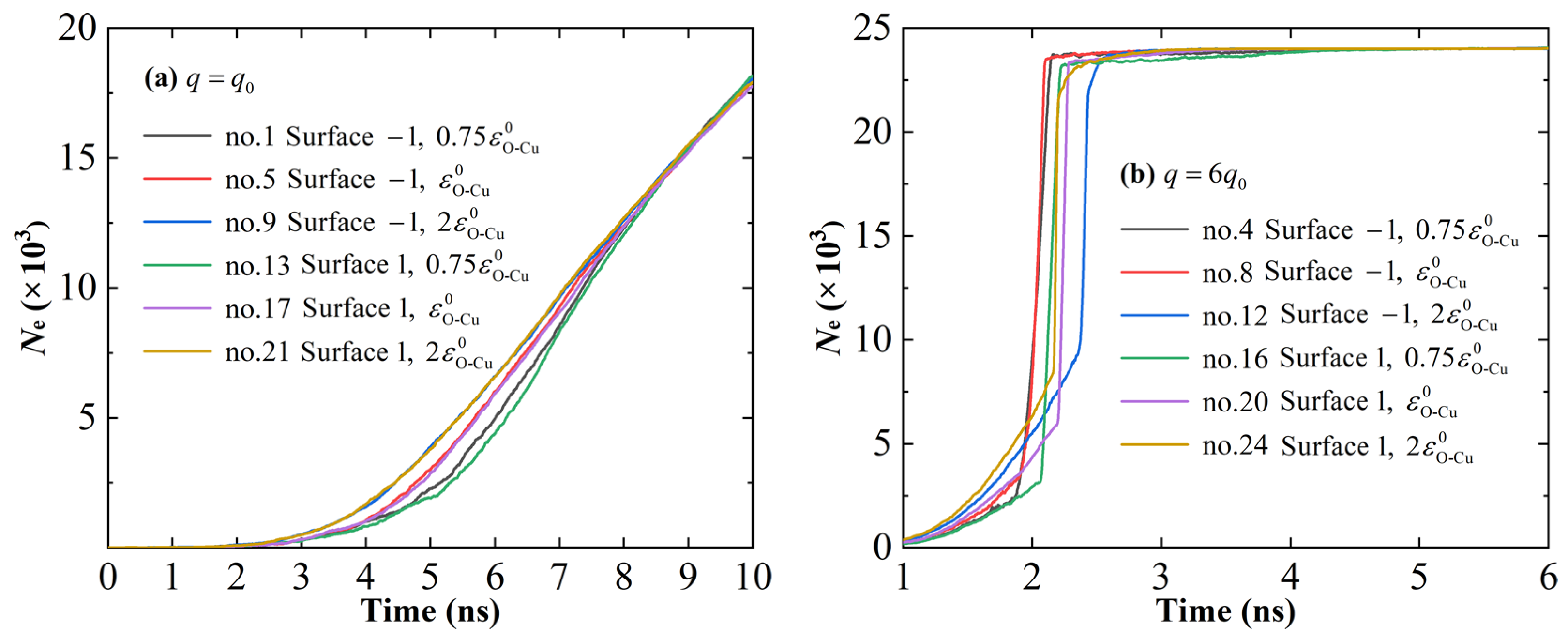
3.2. Temporal Variation in Bottom Plate Temperature and Number of Atoms
3.3. Temporal Variation in Bottom Plate Temperature and Number of Atoms
4. Conclusions
Author Contributions
Funding
Institutional Review Board Statement
Informed Consent Statement
Data Availability Statement
Conflicts of Interest
References
- Akhlaghi, H.; Roohi, E.; Stefanov, S. A new iterative wall heat flux specifying technique in dsmc for heating/cooling simulations of MEMS/NEMS. Int. J. Therm. Sci. 2012, 59, 111–125. [Google Scholar] [CrossRef]
- Nazari, M.; Masoudi, A.; Jafari, P.; Irajizad, P.; Kashyap, V.; Ghasemi, H. Ultrahigh evaporative heat fluxes in nanoconfined geometries. Langmuir 2019, 35, 78–85. [Google Scholar] [CrossRef] [PubMed]
- Zhang, S.; Yuan, W.; Tang, Y.; Chen, J.; Li, Z. Enhanced flow boiling in an interconnected microchannel net at different inlet subcooling. Appl. Therm. Eng. 2016, 104, 659–667. [Google Scholar] [CrossRef]
- Duncan, A.B.; Peterson, G.P. Review of microscale heat transfer. Appl. Mech. Rev. 1994, 47, 397–428. [Google Scholar] [CrossRef]
- Haas, C.; Kaiser, F.; Schulenberg, T.; Wetzel, T. Critical heat flux for flow boiling of water on micro-structured zircaloy tube surfaces. Int. J. Heat Mass Transf. 2018, 120, 793–806. [Google Scholar] [CrossRef]
- Kim, S.H.; Lee, G.C.; Kang, J.Y.; Moriyama, K.; Park, H.S.; Kim, M.H. The role of surface energy inheterogeneous bubble growth on idealsurface. Int. J. Heat Mass Transf. 2018, 108, 1901–1909. [Google Scholar] [CrossRef]
- Esmaeili, E.; Chaydareh, R.G.; Farsad, S.; Rounaghi, S.A.; Mollayi, N. Enhanced heat transfer properties of magnetite nanofluids due to neel and brownian relaxation mechanisms. Chem. Eng. Commun. 2016, 203, 1157–1164. [Google Scholar] [CrossRef]
- Karami, E.; Rahimi, M.; Azimi, N. Convective heat transfer enhancement in a pitted microchannel by stimulation of magnetic nanoparticles. Chem. Eng. Process. 2018, 126, 156–167. [Google Scholar] [CrossRef]
- Zhang, P. Molecular Dynamics Simulation of Rapid Boiling of Water on Copper Nanoscale Surface. Master’s Thesis, North China Electric Power University, Beijing, China, 2019. [Google Scholar]
- Zhang, S.W.; Hao, F.; Chen, H.M.; Yuan, W.; Tang, Y.; Chen, X. Molecular dynamics simulation on explosive boiling of liquid argon film on copper nanochannels. Appl. Therm. Eng. 2017, 113, 208–214. [Google Scholar] [CrossRef]
- Chen, Y.J.; Zou, Y.; Sun, D.L.; Wang, Y.; Yu, B. Molecular dynamics simulation of bubble nucleation on nanostructure surface. Int. J. Heat Mass Transf. 2018, 118, 1043–1151. [Google Scholar] [CrossRef]
- Wang, W.D.; Zhang, H.Y.; Tian, C.H.; Meng, X.J. Numerical experiments on evaporation and explosive boiling of ultra-thin liquid argon film on aluminum nanostructure substrate. Nanoscale Res. Lett. 2015, 10, 158. [Google Scholar] [CrossRef]
- Zhao, M.W. Molecular Dynamics Study on Boiling Heat Transfer of Ultra-Thin Water Film on MoS2 Substrate. Master’s Thesis, Xidian University, Xi’an, China, 2018. [Google Scholar]
- She, X.H.; Timothy, A.S.; Lindeman, B.; Yin, Y.G.; Zhang, X.S. Bubble formation on solid surface with a cavity based on molecular dynamics simulation. Int. J. Heat Mass Transf. 2016, 95, 278–287. [Google Scholar] [CrossRef]
- Liu, R.K.; Liu, Z.Y. Rapid thermal transport at rough solid-fluid interface: Evaporation and explosive boiling on concave nanostructure. Int. J. Heat Mass Transf. 2020, 154, 119676. [Google Scholar] [CrossRef]
- Seyf, R.H.; Zhang, Y.W. Effect of nanotextured array of conical features on explosive boiling over a flat substrate: A nonequilibrium molecular dynamics study. Int. J. Heat Mass Transf. 2013, 66, 613–624. [Google Scholar] [CrossRef]
- Seyf, R.H.; Zhang, Y.W. Molecular dynamics simulation of normal and explosive boiling on nanostructured surface. J. Heat Transfer 2013, 135, 121503. [Google Scholar] [CrossRef]
- Fu, T.; Mao, Y.J.; Tang, Y.; Zhang, Y.W.; Wei, Y. Molecular dynamics simulation on rapid boiling of thin water film on cone-shaped nanostructure surface. Nanoscale Microscale Thermophys. Eng. 2015, 19, 17–30. [Google Scholar] [CrossRef]
- Qasemian, A.; Qanbarian, M.; Arab, B. Molecular dynamics simulation on explosive boiling of thin liquid argon films on cone-shaped Al-Cu-based nanostructures. J. Therm. Anal. Calorim. 2020, 145, 269–278. [Google Scholar] [CrossRef]
- Tang, Y.Z.; Zhang, X.G.; Lin, Y.; Xue, J.; He, Y.; Ma, L.X. Molecular dynamics simulation of nanofilm boiling on graphene-Coated surface. Adv. Theory Simul. 2019, 2, 1900065. [Google Scholar] [CrossRef]
- Min, J.; Guo, Z.X. Pool boiling on defective graphene coated surface: A molecular dynamics study. J. Enhanced Heat Transf. 2020, 28, 85–89. [Google Scholar] [CrossRef]
- Diaz, R.; Guo, Z.X. Enhanced conduction and pool boiling heat transfer on single-layer graphene-coated substrates. J. Enhanced Heat Transf. 2019, 26, 127–143. [Google Scholar] [CrossRef]
- Zhou, H.R.; Ji, X.B.; Kong, Q.P.; Qiang, D. Research progress of pool boiling heat transferon different wettability surfaces. J. Eng. Therm. Energy Power 2019, 34, 1–8. [Google Scholar]
- Rafiee1, J.; Mi, X.; Gullapalli, H.; Thomas, A.V.; Yavari, F.; Shi, Y.F.; Ajayan, P.M.; Koratkar, N.A. Wetting transparency of grapheme. Nat. Mater. 2012, 11, 217–222. [Google Scholar] [CrossRef] [PubMed]
- Chen, Y.J.; Li, J.F.; Yu, B.; Sun, D.L.; Zou, Y.; Han, D.X. Nanoscale study of bubble nucleation on a cavity substrate using molecular dynamics simulation. J. Langmuir 2018, 34, 14234–14248. [Google Scholar] [CrossRef] [PubMed]
- Nagayama, G.; Tsuruta, T.; Cheng, P. Molecular dynamics simulation on bubble formation in a nanochannel. Int. J. Heat Mass Transf. 2006, 49, 4437–4443. [Google Scholar] [CrossRef]
- Zhang, S.Z.; Chen, Z.X.; Yang, L.; Miao, R.C.; Zhang, Z.J. Molecular dynamics simulation of liquid boiling on different wetting surface. JoChem. Ind. Eng. Prog. 2020, 39, 3892–3899. [Google Scholar]
- Wang, Y.H. Molecular Dynamics Simulation of the Effect Wettability on Explosive Boiling of a Nanoscale Thin Liquid Film. Master’s Thesis, Beijing North China Electric Power University, Beijing, China, 2018. [Google Scholar]
- Shavik, S.M.; Hasan, M.N.; Morshed, M.A.K.M. Molecular dynamics study on explosive boiling of thin liquid argon film on nanostructured surface under different wetting conditions. J. Electron. Packag. 2016, 138, 010904. [Google Scholar] [CrossRef]
- Zhang, H.Y.; Li, C.H.; Zhao, M.W.; Zhu, Y.M.; Wang, W.D. Influence of interface wettability on normal and explosive boiling of ultra-thin liquid films on a heated substrate in nanoscale: A molecular dynamics study. Micro Nano Lett. 2017, 12, 843–848. [Google Scholar] [CrossRef]
- Diaz, R.; Guo, Z.X. A molecular dynamics study of phobic/philic nano-patterning on pool boiling heat transfer. Heat Mass Transf. 2017, 53, 2061–2071. [Google Scholar] [CrossRef]
- Wang, Y.H.; Wang, S.Y.; Lu, G.; Wang, X.D. Explosive boiling of nano-liquid argon films on high temperature platinum walls: Effects of surface wettability and film thickness. Int. J. Therm. Sci. 2018, 132, 608–617. [Google Scholar] [CrossRef]
- Liu, R.K.; Liu, Z.Y. Study of boiling heat transfer on concave hemispherical nanostructure surface with MD simulation. Int. J. Heat Mass Transf. 2019, 143, 118534. [Google Scholar] [CrossRef]
- Zhang, L.Y.; Xu, J.L.; Lei, J.P. Molecular dynamics study of bubble nucleation on a nanoscale. Acta Phys. Sin. 2018, 67, 172–182. [Google Scholar]
- Tang, Y.Z.; Wu, L.F.; Xue, J.; Li, H.F.; Gao, J.S.; He, Y.; Ma, L.X. Effects of wettability and heat flux on water nanofilm phase change over copper plate. Appl. Therm. Eng. 2022, 213, 118638. [Google Scholar] [CrossRef]
- Mishin, Y.; Mehl, M.J.; Papaconstantopoulos, D.A.; Voter, A.F.; Kress, J.D. Structural stability and lattice defects in copper: Ab initio; tight binding and embedded-atom calculations. Phys. Rev. B 2001, 63, 224106. [Google Scholar] [CrossRef]
- Berendsenm, H.J.C.; Grigera, J.R.; Straatsma, T.P.J. The missing term in effective pair potentials. J. Phys. Chem. 1987, 62, 6269–6271. [Google Scholar] [CrossRef]
- Ryckaert, J.P.; Ciccotti, G.; Berendsen, H.J.C. Numerical integration of the cartesian equations of motion of a system with constraints: Molecular dynamics of n-alkanes. J. Comput. Phys. 1977, 23, 327–341. [Google Scholar] [CrossRef]
- Wirnsberger, P.; Frenkel, D.; Dellago, C. An enhanced version of the heat exchange algorithm with excellent energy conservation properties. J. Chem. Phys. 2015, 143, 124104. [Google Scholar] [CrossRef]









| Parameter | Value | 
|---|---|
| Charge (O) | −0.8476e | 
| Charge (O) | 0.4238e | 
| Bond (O-H) | 0.1 nm | 
| Angle (H-O-H) | 109.47 | 
| Atoms Pairs | (meV) | (nm) | 
|---|---|---|
| O–O | 6.739 | 0.3166 | 
| O–Cu () | 7.370 | 0.2752 | 
| O–Cu (0.75) | 5.528 | 0.2752 | 
| O–Cu (2) | 14.740 | 0.2752 | 
| Q | Nos. | |||||
|---|---|---|---|---|---|---|
| Surface −1 | Surface 1 | |||||
| 0.75 | 2 | 0.75 | 2 | |||
| 237.182 ( ) | 1 | 5 | 9 | 13 | 17 | 21 | 
| 355.774 (1.5) | 2 | —— | —— | 14 | —— | —— | 
| 474.365 (2) | 3 | —— | —— | 15 | —— | —— | 
| 711.547 (3) | —— | 6 | —— | —— | 18 | —— | 
| 830.137 (3.5) | —— | 7 | —— | —— | 19 | —— | 
| 1067.321 (4.5) | —— | —— | 10 | —— | —— | 22 | 
| 1185.912 (5) | —— | —— | 11 | —— | —— | 23 | 
| 1423.092 (6) | 4 | 8 | 12 | 16 | 20 | 24 | 
| Publisher’s Note: MDPI stays neutral with regard to jurisdictional claims in published maps and institutional affiliations. | 
© 2022 by the authors. Licensee MDPI, Basel, Switzerland. This article is an open access article distributed under the terms and conditions of the Creative Commons Attribution (CC BY) license (https://creativecommons.org/licenses/by/4.0/).
Share and Cite
Wang, S.; Wu, L.; Tang, Y.; He, Y. Molecular Dynamics Study of Phase Transition Heat Transfer in Water Nanofilm on Nanorough Surfaces. Coatings 2022, 12, 1943. https://doi.org/10.3390/coatings12121943
Wang S, Wu L, Tang Y, He Y. Molecular Dynamics Study of Phase Transition Heat Transfer in Water Nanofilm on Nanorough Surfaces. Coatings. 2022; 12(12):1943. https://doi.org/10.3390/coatings12121943
Chicago/Turabian StyleWang, Song, Lianfeng Wu, Yuanzheng Tang, and Yan He. 2022. "Molecular Dynamics Study of Phase Transition Heat Transfer in Water Nanofilm on Nanorough Surfaces" Coatings 12, no. 12: 1943. https://doi.org/10.3390/coatings12121943
APA StyleWang, S., Wu, L., Tang, Y., & He, Y. (2022). Molecular Dynamics Study of Phase Transition Heat Transfer in Water Nanofilm on Nanorough Surfaces. Coatings, 12(12), 1943. https://doi.org/10.3390/coatings12121943
 
        


 
       