Enhanced Red Emissions of Europium (III) Chelates in RNA–OTMA Complexes
Abstract
1. Introduction
2. Experimental Section
2.1. Materials
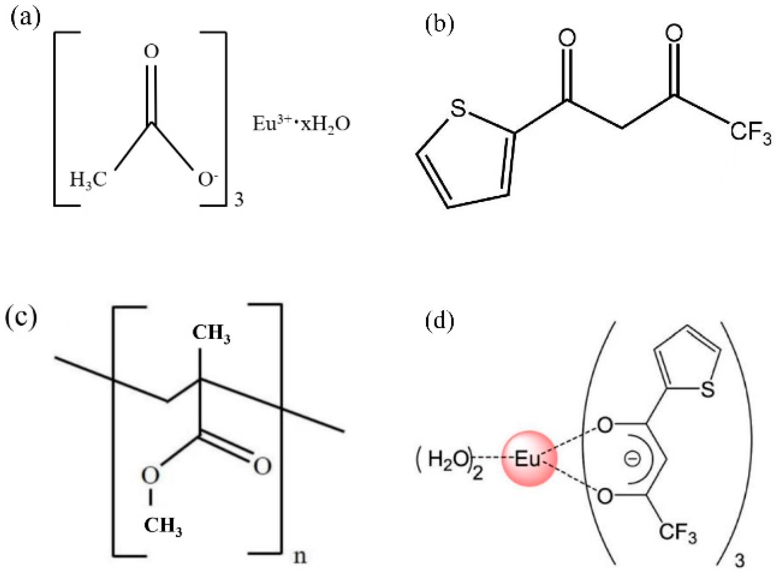
2.2. Preparation of Eu (TTA)3 (H2O)2 Complexes
2.3. Preparation of RNA–OTMA Lipid Complexes
2.4. Preparation of RNA–OTMA/Eu (TTA)3 (H2O)2 Films and PMMA/Eu (TTA)3 (H2O)2 Films
2.5. Apparatus
3. Results and Discussion
3.1. Study of the Luminescence Properties of Eu (TTA)3 (H2O)2 Complexes
3.2. Physicochemical Properties of RNA–OTMA Lipid Composite Films
3.3. The Interaction between Eu (TTA)3 (H2O)2 Complexes and RNA–OTMA
3.4. Emission Properties of RNA–OTMA/Eu (TTA)3 (H2O)2 Films
4. Conclusions
Author Contributions
Funding
Institutional Review Board Statement
Informed Consent Statement
Data Availability Statement
Conflicts of Interest
References
- Kesama, M.R.; Dugasani, S.R.; Gnapareddy, B.; Park, S.H. Spectroscopic and Capacitance Characteristics of DNA Thin Layers Embedded with Semiconducting ZnO and CuO Nanoparticles. ACS Appl. Electron. Mater. 2019, 1, 991–1002. [Google Scholar] [CrossRef]
- Lin, P.-C.; Wong, Y.-T.; Su, Y.-A.; Chen, W.-C.; Chueh, C.-C. Interlayer Modification Using Eco-friendly Glucose-Based Natural Polymers in Polymer Solar Cells. ACS Sustain. Chem. Eng. 2018, 6, 14621–14630. [Google Scholar] [CrossRef]
- Fukuzaki, A.; Kawai, H.; Sano, T.; Takehara, K.; Nagamura, T. Efficient Upconversion by Highly Water-Soluble Cationic Sensitizer and Emitter in Aqueous Solutions with DNA. ACS Biomater. Sci. Eng. 2017, 3, 1809–1814. [Google Scholar] [CrossRef]
- Jin, L.; Tan, Y.-L.; Wu, Y.; Wang, X.; Shi, Y.-Z.; Tan, Z.-J. Structure folding of RNA kissing complexes in salt solutions: Predicting 3D structure, stability, and folding pathway. RNA 2019, 25, 1532–1548. [Google Scholar] [CrossRef]
- Zhao, X.; Wu, H.; Guo, B.; Dong, R.; Qiu, Y.; Ma, P.X. Antibacterial anti-oxidant electroactive injectable hydrogel as self-healing wound dressing with hemostasis and adhesiveness for cutaneous wound healing. Biomaterials 2017, 122, 34–47. [Google Scholar] [CrossRef]
- Cui, L.; Wu, J.; Ju, H. Electrochemical sensing of heavy metal ions with inorganic, organic and bio-materials. Biosens. Bioelectron. 2015, 63, 276–286. [Google Scholar] [CrossRef] [PubMed]
- Zou, J.; Li, S.; Wang, H.; Wang, W.; Shi, Z.; Jiang, Y.; Cui, Z.; Yan, D. High-k polymer materials containing cyclic carbonate as gate dielectrics for application in low-voltage operating organic thin-film transistors. J. Mater. Chem. C 2019, 7, 15357–15363. [Google Scholar] [CrossRef]
- Kaplan, D.L. Introduction to biopolymers from renewable resources. In Biopolymers from Renewable Resources; Springer: Berlin/Heidelberg, Germany, 1998; pp. 1–29. [Google Scholar]
- Mohanty, A.K.; Misra, M.; Drzal, L.T. Natural Fibers, Biopolymers, and Biocomposites; CRC Press: Boca Raton, FL, USA, 2005. [Google Scholar]
- Klemm, D.; Heublein, B.; Fink, H.-P.; Bohn, A. Cellulose: Fascinating Biopolymer and Sustainable Raw Material. Angew. Chem. Int. Ed. 2005, 44, 3358–3393. [Google Scholar] [CrossRef]
- Hagen, J.A.; Li, W.; Steckl, A.J.; Grote, J.G. Enhanced emission efficiency in organic light-emitting diodes using deoxyribonucleic acid complex as an electron blocking layer. Appl. Phys. Lett. 2006, 88, 171109. [Google Scholar] [CrossRef]
- Liang, L.; Fu, Y.; Li, L.; Zheng, H.; Wei, X.; Wei, Y.; Kobayashi, N. RNA–CTMA Dielectrics in Organic Field Effect Transistor Memory. Appl. Sci. 2018, 8, 887. [Google Scholar] [CrossRef]
- Eliseeva, S.V.; Bünzli, J.-C.G. Lanthanide luminescence for functional materials and bio-sciences. Chem. Soc. Rev. 2009, 39, 189–227. [Google Scholar] [CrossRef] [PubMed]
- Bünzli, J.-C.G. Lanthanide light for biology and medical diagnosis. J. Lumin. 2016, 170, 866–878. [Google Scholar] [CrossRef]
- De Bettencourt-Dias, A. Lanthanide-based emitting materials in light-emitting diodes. Dalton Trans. 2007, 22, 2229–2241. [Google Scholar] [CrossRef] [PubMed]
- Kido, J.; Hayase, H.; Hongawa, K.; Nagai, K.; Okuyama, K. Bright red light-emitting organic electroluminescent devices having a europium complex as an emitter. Appl. Phys. Lett. 1994, 65, 2124–2126. [Google Scholar] [CrossRef]
- Ogasawara, K.; Nakamura, K.; Kobayashi, N. Thermally controlled dual-mode display media with red-green-blue coloration and fluorescence via energy transfer between emission materials and leuco dyes. J. Mater. Chem. C 2016, 4, 4805–4813. [Google Scholar] [CrossRef]
- Butler, S.J.; Parker, D. Anion binding in water at lanthanide centres: From structure and selectivity to signalling and sensing. Chem. Soc. Rev. 2013, 42, 1652–1666. [Google Scholar] [CrossRef]
- Miyata, K.; Konno, Y.; Nakanishi, T.; Kobayashi, A.; Kato, M.; Fushimi, K.; Hasegawa, Y. Chameleon Luminophore for Sensing Temperatures: Control of Metal-to-Metal and Energy Back Transfer in Lanthanide Coordination Polymers. Angew. Chem. Int. Ed. 2013, 52, 6413–6416. [Google Scholar] [CrossRef]
- Ogata, S.; Shimizu, T.; Ishibashi, T.; Ishiyone, Y.; Hanami, M.; Ito, M.; Ishii, A.; Kawaguchi, S.; Sugimoto, K.; Hasegawa, M. Water-soluble lanthanide complexes with a helical ligand modified for strong luminescence in a wide pH region. New J. Chem. 2017, 41, 6385–6394. [Google Scholar] [CrossRef]
- Kobayashi, N.; Uemura, S.; Kusabuka, K.; Nakahira, T.; Takahashi, H. An organic red-emitting diode with a water-soluble DNA–polyaniline complex containing Ru(bpy)32+. J. Mater. Chem. 2001, 11, 1766–1768. [Google Scholar] [CrossRef]
- Nakamura, K.; Minami, H.; Sagara, A.; Itamoto, N.; Kobayashi, N. Enhanced red emissions of europium(iii) chelates in DNA–CTMA complexes. J. Mater. Chem. C 2018, 6, 4516–4522. [Google Scholar] [CrossRef]
- Minami, H.; Itamoto, N.; Watanabe, W.; Li, Z.; Nakamura, K.; Kobayashi, N. Chiroptical property enhancement of chiral Eu(III) complex upon association with DNA-CTMA. Sci. Rep. 2020, 10, 18917. [Google Scholar] [CrossRef]
- Peng, D. Synthesis Characterization and LED of a List of -Diketonate-Europiem(III) Complex; Hunan University: Changsha, China, 2013. [Google Scholar]
- Steckl, A.J.; Spaeth, H.; You, H.; Gomez, E.; Grote, J. DNA as an optical material. Opt. Photonics News 2011, 22, 34–39. [Google Scholar] [CrossRef]
- Miljanic’, S.; Kenđel, A.; Novak, M.; Deliqeorqiev, T.G.; Crnolatac, I.; Piantanida, I.; Chiş, V. Distinguishing binding modes of a new phosphonium dye with DNA by surface-enhanced Raman spectroscopy. RSC Adv. 2016, 6, 41927–41936. [Google Scholar] [CrossRef][Green Version]
- Kawabe, Y.; Wang, L.; Nakamura, T.; Ogata, N. Thin-film lasers based on dye-deoxyribonucleic acid-lipid complexes. Appl. Phys. Lett. 2002, 81, 1372–1374. [Google Scholar] [CrossRef]
- Nakamura, K.; Hasegawa, Y.; Kawai, H.; Yasuda, N.; Kanehisa, N.; Kai, Y.; Nagamura, T.; Yanagida, A.S.; Wada, Y. Enhanced Lasing Properties of Dissymmetric Eu(III) Complex with Bidentate Phosphine Ligands. J. Phys. Chem. A 2007, 111, 3029–3037. [Google Scholar] [CrossRef]











Publisher’s Note: MDPI stays neutral with regard to jurisdictional claims in published maps and institutional affiliations. |
© 2022 by the authors. Licensee MDPI, Basel, Switzerland. This article is an open access article distributed under the terms and conditions of the Creative Commons Attribution (CC BY) license (https://creativecommons.org/licenses/by/4.0/).
Share and Cite
Liang, L.; Zhang, N.; Cao, R.; Wang, S.; Liu, S.; Yu, Z.; Liu, Q.; Wang, J.; Li, Z.; Jiang, T. Enhanced Red Emissions of Europium (III) Chelates in RNA–OTMA Complexes. Coatings 2022, 12, 1467. https://doi.org/10.3390/coatings12101467
Liang L, Zhang N, Cao R, Wang S, Liu S, Yu Z, Liu Q, Wang J, Li Z, Jiang T. Enhanced Red Emissions of Europium (III) Chelates in RNA–OTMA Complexes. Coatings. 2022; 12(10):1467. https://doi.org/10.3390/coatings12101467
Chicago/Turabian StyleLiang, Lijuan, Nianjie Zhang, Rong Cao, Suyun Wang, Shengzhen Liu, Zhaohui Yu, Quanxiao Liu, Jigang Wang, Zhenjun Li, and Tao Jiang. 2022. "Enhanced Red Emissions of Europium (III) Chelates in RNA–OTMA Complexes" Coatings 12, no. 10: 1467. https://doi.org/10.3390/coatings12101467
APA StyleLiang, L., Zhang, N., Cao, R., Wang, S., Liu, S., Yu, Z., Liu, Q., Wang, J., Li, Z., & Jiang, T. (2022). Enhanced Red Emissions of Europium (III) Chelates in RNA–OTMA Complexes. Coatings, 12(10), 1467. https://doi.org/10.3390/coatings12101467

