Laser-Induced Thermal Stresses in Dense and Porous Silicon Dioxide Films
Abstract
1. Introduction
2. Method
- Simulation of the deposition of SiO2 thin films as described in the section below.
- Equilibration of the deposited structure in the NPT (constant number of particles, pressure and temperature) ensemble. The asymmetric barostat is applied to ensure independent variation in the cluster dimensions during equilibration. This step is necessary to eliminate stresses that appear during thin-film deposition;
- Modeling the absorption of laser radiation in the film by increasing the cluster temperature to the value Tf. The heating is assumed to be uniform over the film volume since the cluster thickness of 40 nm is insufficient to consider the distribution of the laser radiation intensity along the z-axis inside the film. The calculations of stresses are averaged over the film volume during the film heating;
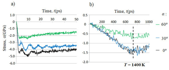
- In the case of the fast laser pulses with durations of τ = 1 ps and τ = 10 ps, the stresses are also calculated during the relaxation time τr after the end of the film heating. The temperature during this period is kept equal to Tf.
3. Results and Discussion
4. Conclusions
Author Contributions
Funding
Institutional Review Board Statement
Informed Consent Statement
Data Availability Statement
Conflicts of Interest
Abbreviations
| GLAD | glancing angle deposition; |
| MD | molecular dynamics; |
| NPT | constant number of particles, pressure and temperature; |
| NVT | constant number of particles, volume and temperature; |
| LIDT | laser induced damage threshold. All other abbreviations refer to program names; |
| DESIL | DEposition of SILica; |
| VMD | Visual Molecular Dynamics. |
Appendix A


References
- Manenkov, A.A. Fundamental mechanisms of laser-induced damage in optical materials: today’s state of understanding and problems. Opt. Eng. 2014, 53, e010901. [Google Scholar] [CrossRef]
- Feit, M.D.; Campbell, J.H.; Faux, D.R.; Genin, F.Y.; Kozlowski, M.R.; Rubenchik, A.M.; Riddle, R.A.; Salleo, A.; Yoshiyama, J.M. Modeling of laser-induced surface cracks in silica at 355 nm. Laser-Induc. Damage Opt. Mater. 1997 1998, 3244, 350–355. [Google Scholar] [CrossRef]
- Wang, J.; Weaver, R.L.; Sottos, N.R. A parametric study of laser induced thin film spallation. Exp. Mech. 2002, 42, 74–83. [Google Scholar] [CrossRef]
- Sherman, B.; Liou, H.-C.; Balogun, O. Thin film interface stresses produced by high amplitude laser generated surface acoustic waves. J. Appl. Phys. 2015, 118, 135303. [Google Scholar] [CrossRef]
- Ben McMillen, B.; Bellouard, Y.Y. On the anisotropy of stress-distribution induced in glasses and crystals by non-ablative femtosecond laser exposure. Opt. Express 2015, 23, 86–100. [Google Scholar] [CrossRef] [PubMed]
- Gracewski, S.M.; Boylan, S.; Lambropoulos, J.C.; Oliver, J.B.; Kessler, T.J.; Demos, S.G. Simulation of internal stress waves generated by laser-induced damage in multilayer dielectric gratings. Opt. Express 2018, 26, 18412–18422. [Google Scholar] [CrossRef] [PubMed]
- Cao, Q.; Su, J. Study on thermal effect and thermal stress effect of multilayer thin films induced by pulsed laser. In Proceedings of the Pacific Rim Laser Damage 2019: Optical Materials for High-Power Lasers, Qingdao, China, 8 July 2019. [Google Scholar]
- Firth, A.; Srinivasan, U. Laser Induced Thermal Stress in Optical Thin Films. In Proceedings of the Optical Interference Coatings Conference (OIC) 2019: OSA Technical Digest, Santa Ana PuebloNM, USA, 2–7 June 2019. [Google Scholar] [CrossRef]
- Demaske, B.J.; Zhakhovsky, V.V.; Inogamov, N.; White, C.T.; Oleynik, I.I. MD Simulations of Laser-Induced Ultrashort Shock Waves in Nickel. In Proceedings of the Conference of the American Physical Society Topical Group on Shock Compression of Condensed Matter, Chicago, IL, USA, 26 June–1 July 2011; AIP Publishing: Melville, NY, USA, 2012; pp. 1163–1166. [Google Scholar] [CrossRef]
- Grigoriev, F.V.; Sulimov, V.B.; Tikhonravov, A.V. Atomistic Simulation of Stresses in Growing Silicon Dioxide Films. Coatings 2020, 10, 220. [Google Scholar] [CrossRef]
- Grigoriev, F.V.; Sulimov, A.V.; Kochikov, I.V.; Kondakova, O.A.; Sulimov, V.B.; Tikhonravov, A.V. Supercomputer modeling of the ion beam sputtering process: Full-atomistic level. In Proceedings of the Optical Systems Design 2015: Advances in Optical Thin Films V, International Society for Optics and Photonics, Bellingham, WA, USA, 7–10 September 2015; Volume 9627, p. 962708. [Google Scholar] [CrossRef]
- Grigoriev, F.; Sulimov, V.; Tikhonravov, A. Atomistic simulation of the glancing angle deposition of SiO2 thin films. J. Non-Cryst. Solids 2019, 512, 98–102. [Google Scholar] [CrossRef]
- Grigoriev, F.; Sulimov, V.; Tikhonravov, A. Structure of Highly Porous Silicon Dioxide Thin Film: Results of Atomistic Simulation. Coatings 2019, 9, 568. [Google Scholar] [CrossRef]
- Berendsen, H.J.C.; Postma, J.P.M.; Van Gunsteren, W.F.; DiNola, A.; Haak, J.R. Molecular dynamics with coupling to an external bath. J. Chem. Phys. 1984, 81, 3684–3690. [Google Scholar] [CrossRef]
- Abraham, M.J.; Murtola, T.; Schulz, R.; Páll, S.; Smith, J.C.; Hess, B.; Lindahl, E. GROMACS: High performance molecular simulations through multi-level parallelism from laptops to supercomputers. SoftwareX 2015, 1, 19–25. [Google Scholar] [CrossRef]
- Thompson, A.P.; Plimpton, S.J.; Mattson, W. General formulation of pressure and stress tensor for arbitrary many-body interaction potentials under periodic boundary conditions. J. Chem. Phys. 2009, 131, 154107. [Google Scholar] [CrossRef] [PubMed]
- Humphrey, W.; Dalke, A.; Schulten, K. VMD: Visual molecular dynamics. J. Mol. Graph. 1996, 14, 33–38. [Google Scholar] [CrossRef]
- Supercomputer Lomonosov-2: Large Scale, Deep Monitoring and Fine Analytics for the User Community. Supercomput. Front. Innov. 2019, 6, 4–11. [CrossRef]
- Nürnberg, F.; Kühn, B.; Rollmann, K. Metrology of fused silica. Laser-Induc. Damage Opt. Mater. 2016, 10014, 100140. [Google Scholar] [CrossRef]
- Chorel, M. Study of High Damage Threshold Optical Coatings Used in Environment with very Low Hygrometry for Fusion Class Laser System. Ph.D. Thesis, Université de Bordeaux, Bordeaux, France, 2019. [Google Scholar]
- Smy, T.; Vick, D.; Brett, M.J.; Dew, S.K.; Wu, A.T.; Sit, J.C.; Harris, K.D. Three-dimensional simulation of film microstructure produced by glancing angle deposition. J. Vac. Sci. Technol. A 2000, 18, 2507. [Google Scholar] [CrossRef]
- Grinevičiūtė, L.; Abromavicius, G.; Mažule, L.; Buzelis, R.; Smalakys, L.; Ščiuka, M.; Kičas, S.; Pupka, E.; Melninkaitis, A. Next-generation all-silica coatings for UV applications. Proceedings of Laser-Induced Damage in Optical Materials 2017, Boulder, CO, USA, 24–27 September 2017; International Society for Optics and Photonics: Bellingham, WA, USA, 2017. [Google Scholar] [CrossRef]
- Qiao, Z.; Pu, Y.; Liu, H.; Luo, K.; Wang, G.; Liu, Z.; Ma, P. Residual stress and laser-induced damage of ion-beam sputtered Ta 2 O 5/SiO 2 mixture coatings. Thin Solid Films 2015, 592, 221–224. [Google Scholar] [CrossRef]
- Kozlov, A.A.; Lambropoulos, J.C.; Oliver, J.B.; Hoffman, B.N.; Demos, S.G. Mechanisms of picosecond laser-induced damage in common multilayer dielectric coatings. Sci. Rep. 2019, 9, 1–15. [Google Scholar] [CrossRef] [PubMed]
- Leko, V.K.; Mazurin, O.V. Properties of Quartz Glass; Nauka Publ.: Leningrad, Russia, 1985. (In Russian) [Google Scholar]




| E(Si) → | 0.1 eV | 10 eV | ||||
|---|---|---|---|---|---|---|
| α | 0° | 30° | 60° | 0° | 30° | 60° |
| ρ | 2.0 | 1.9 | 1.3 | 2.4 | 2.4 | 2.1 |
Publisher’s Note: MDPI stays neutral with regard to jurisdictional claims in published maps and institutional affiliations. |
© 2021 by the authors. Licensee MDPI, Basel, Switzerland. This article is an open access article distributed under the terms and conditions of the Creative Commons Attribution (CC BY) license (https://creativecommons.org/licenses/by/4.0/).
Share and Cite
Grigoriev, F.V.; Sulimov, V.B.; Tikhonravov, A.V. Laser-Induced Thermal Stresses in Dense and Porous Silicon Dioxide Films. Coatings 2021, 11, 394. https://doi.org/10.3390/coatings11040394
Grigoriev FV, Sulimov VB, Tikhonravov AV. Laser-Induced Thermal Stresses in Dense and Porous Silicon Dioxide Films. Coatings. 2021; 11(4):394. https://doi.org/10.3390/coatings11040394
Chicago/Turabian StyleGrigoriev, Fedor Vasilievich, Vladimir Borisovich Sulimov, and Alexander Vladimirovich Tikhonravov. 2021. "Laser-Induced Thermal Stresses in Dense and Porous Silicon Dioxide Films" Coatings 11, no. 4: 394. https://doi.org/10.3390/coatings11040394
APA StyleGrigoriev, F. V., Sulimov, V. B., & Tikhonravov, A. V. (2021). Laser-Induced Thermal Stresses in Dense and Porous Silicon Dioxide Films. Coatings, 11(4), 394. https://doi.org/10.3390/coatings11040394
