Effect of the Hybrid Hydrophobic-Hydrophilic Nanostructured Surface on Explosive Boiling
Abstract
1. Introduction
2. Simulation Method
3. Results and Discussion
4. Conclusions
- The hybrid nanostructure can decrease the onset temperature compared to the pure hydrophilic surface. By comparing the snapshots of the evolution of explosive boiling on the pure hydrophilic and hybrid nanostructured surfaces, it is found that the hydrophobic coating can promote the formation of bubbles and cause a quicker liquid film break, resulting in the onset temperature of explosive boiling decrease.
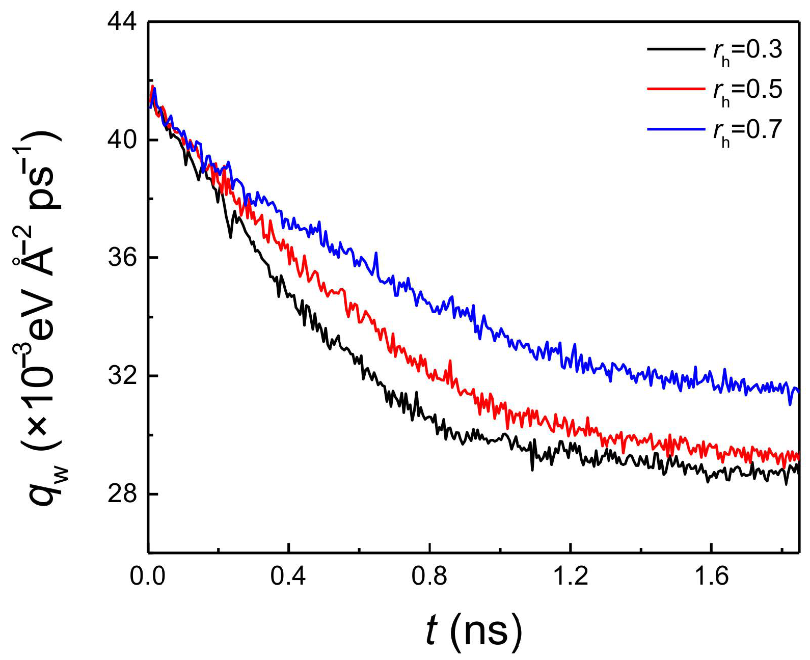
- With the increase of the hydrophobic coating thickness, the onset temperature of explosive boiling decreases for both pillar widths and liquid film thicknesses. The main reason is that the hydrophobic coating inevitably enhances the process of heat transfer between the liquid film and the hybrid nanostructured surface. Therefore, the average heat flux on the hydrophilic nanostructured surface with a thicker hydrophobic coating is larger.
- When the liquid film thickness and coating thickness ratio are the same, the onset temperature of explosive boiling on the hybrid wetting surface with 1.224 nm pillar width is smaller than that on the surface with 0.816 nm pillar width. This is because the potential energy with 1.224 nm pillar width is obviously greater than that with 0.816 nm pillar width, indicating that the adsorption capacity of the liquid film on hybrid wetting surface with 1.224 nm pillar width is stronger.
- The onset temperature of explosive boiling decreases with the increase of liquid film thickness, which is attributed to the temperature distribution in the liquid films. When the hydrophobic coating thickness and pillar width are the same, a larger temperature gradient is discovered with thicker liquid film, which benefits to trigger the bubble nucleation.
Supplementary Materials
Author Contributions
Funding
Institutional Review Board Statement
Informed Consent Statement
Data Availability Statement
Conflicts of Interest
References
- Frost, D.L. Dynamics of explosive boiling of a droplet. Phys. Fluids 1988, 31, 2554–2561. [Google Scholar] [CrossRef]
- Blander, M. Bubble nucleation in liquids. Adv. Colloid Interface Sci. 1979, 10, 1–32. [Google Scholar] [CrossRef]
- Gu, X.; Urbassek, H.M. Atomic dynamics of explosive boiling of liquid-argon films. Appl. Phys. B-Lasers Opt. 2005, 81, 675–679. [Google Scholar] [CrossRef]
- Tam, A.C.; Park, H.K.; Grigoropoulos, C.P. Laser cleaning of surface contaminants. Appl. Surf. Sci. 1998, 127, 721–725. [Google Scholar] [CrossRef]
- Juhasz, T.; Hu, X.H.; Turi, L.; Bor, Z. Dynamics of shock waves and cavitation bubbles generated by picosecond laser pulses in corneal tissue and water. Lasers Surg. Med. 1994, 15, 91–98. [Google Scholar] [CrossRef]
- Agostini, B.; Fabbri, M.; Park, J.E.; Wojtan, L.; Thome, J.R.; Michel, B. State of the art of high heat flux cooling technologies. Heat Transf. Eng. 2007, 28, 258–281. [Google Scholar] [CrossRef]
- Riofrío, M.C.; Caney, N.; Gruss, J.A. State of the art of efficient pumped two-phase flow cooling technologies. Appl. Therm. Eng. 2016, 104, 333–343. [Google Scholar] [CrossRef]
- Zhang, S.; Yuan, W.; Tang, Y.; Chen, J.; Li, Z. Enhanced flow boiling in an interconnected microchannel net at different inlet subcooling. Appl. Therm. Eng. 2016, 104, 659–667. [Google Scholar] [CrossRef]
- Jia, J.; Guo, Y.; Wang, W.; Zhou, S. Modeling and Experimental Research on Spray Cooling. In Proceedings of the 2008 Twenty-fourth Annual IEEE Semiconductor Thermal Measurement and Management Symposium, San Jose, CA, USA, 6–20 May 2008; pp. 118–123. [Google Scholar]
- Van Gils, R.W.; Danilov, D.; Notten, P.H.L.; Speetjens, M.F.M.; Nijmeijer, H. Battery thermal management by boiling heat-transfer. Energy Convers. Manag. 2014, 79, 9–17. [Google Scholar] [CrossRef]
- Seyf, H.R.; Zhang, Y. Effect of nanotextured array of conical features on explosive boiling over a flat substrate: A nonequilibrium molecular dynamics study. Int. J. Heat Mass Transf. 2013, 66, 613–624. [Google Scholar] [CrossRef]
- Seyf, H.R.; Zhang, Y. Molecular dynamics simulation of normal and explosive boiling on nanostructured surface. J. Heat Transfer 2013, 135, 121503. [Google Scholar] [CrossRef]
- Fu, T.; Mao, Y.; Tang, Y.; Zhang, Y.; Yuan, W. Molecular Dynamics Simulation on Rapid Boiling of Thin Water Films on Cone-Shaped Nanostructure Surfaces. Nanoscale Microscale Thermophys. Eng. 2015, 19, 17–30. [Google Scholar] [CrossRef]
- Qasemian, A.; Qanbarian, M.; Arab, B. Molecular dynamics simulation on explosive boiling of thin liquid argon films on cone-shaped Al–Cu-based nanostructures. J. Therm. Anal. Calorim. 2020. [Google Scholar] [CrossRef]
- Fu, T.; Mao, Y.; Tang, Y.; Zhang, Y.; Yuan, W. Effect of nanostructure on rapid boiling of water on a hot copper plate: A molecular dynamics study. Heat Mass Transf. 2015, 52, 1469–1478. [Google Scholar] [CrossRef]
- Wang, W.; Zhang, H.; Tian, C.; Meng, X. Numerical experiments on evaporation and explosive boiling of ultra-thin liquid argon film on aluminum nanostructure substrate. Nanoscale Res. Lett. 2015, 10, 158. [Google Scholar] [CrossRef]
- Morshed, A.K.M.M.; Paul, T.C.; Khan, J.A. Effect of nanostructures on evaporation and explosive boiling of thin liquid films: A molecular dynamics study. Appl. Phys. A 2011, 105, 445–451. [Google Scholar] [CrossRef]
- Zhanga, H.; Lia, C.; Wanga, Y.; Zhub, Y.; Wangb, W. Effect of heat source temperature, nanostructure, and wettability on explosive boiling of ultra-thin liquid argon film over graphene substrate: A molecular dynamics study. Curr. Nanosci. 2021, 17, 1–11. [Google Scholar]
- Zhang, S.; Hao, F.; Chen, H.; Yuan, W.; Tang, Y.; Chen, X. Molecular dynamics simulation on explosive boiling of liquid argon film on copper nanochannels. Appl. Therm. Eng. 2017, 113, 208–214. [Google Scholar] [CrossRef]
- Zhang, H.; Li, C.; Zhao, M.; Zhu, Y.; Wang, W. Influence of interface wettability on normal and explosive boiling of ultra-thin liquid films on a heated substrate in nanoscale: A molecular dynamics study. Micro Nano Lett. 2017, 12, 843–848. [Google Scholar] [CrossRef]
- Hens, A.; Agarwal, R.; Biswas, G. Nanoscale study of boiling and evaporation in a liquid Ar film on a Pt heater using molecular dynamics simulation. Int. J. Heat Mass Transf. 2014, 71, 303–312. [Google Scholar] [CrossRef]
- Shavik, S.M.; Hasan, M.N.; Monjur Morshed, A.K.M. Molecular dynamics study on explosive boiling of thin liquid argon film on nanostructured surface under different wetting conditions. J. Electron. Packag. 2016, 138, 010904. [Google Scholar] [CrossRef]
- Betz, A.R.; Xu, J.; Qiu, H.; Attinger, D. Do surfaces with mixed hydrophilic and hydrophobic areas enhance pool boiling? Appl. Phys. Lett. 2010, 97, 141909. [Google Scholar] [CrossRef]
- Jo, H.; Ahn, H.S.; Kang, S.; Kim, M.H. A study of nucleate boiling heat transfer on hydrophilic, hydrophobic and heterogeneous wetting surfaces. Int. J. Heat Mass Transf. 2011, 54, 5643–5652. [Google Scholar] [CrossRef]
- Suroto, B.J.; Tashiro, M.; Hirabayashi, S.; Hidaka, S.; Kohno, M.; Takata, Y. Effects of hydrophobic-spot periphery and subcooling on nucleate pool boiling from a mixed-wettability surface. J. Therm. Sci. Technol. 2013, 8, 294–308. [Google Scholar] [CrossRef]
- Plimpton, S. Fast parallel algorithms for short-range molecular dynamics. J. Comput. Phys. 1995, 117, 1–19. [Google Scholar] [CrossRef]
- LAMMPS Users Manual. Available online: http://lammps.sandia.gov (accessed on 10 February 2021).
- Rabbi, K.F.; Tamim, S.I.; Faisal, A.H.M.; Mukut, K.M.; Hasan, M.N. A molecular dynamics study on thin film liquid boiling characteristics under rapid linear boundary heating: Effect of liquid film thickness. AIP Conf. Proc. 2017, 1851, 020102. [Google Scholar]
- Liao, M.J.; Duan, L.Q. Explosive Boiling of Liquid Argon Films on Flat and Nanostructured Surfaces. Numer. Heat Transf. 2020, 78, 94–105. [Google Scholar] [CrossRef]
- Johnson, R.A. Alloy models with the embedded-atom method. Phys. Rev. B 1989, 39, 12554–12559. [Google Scholar] [CrossRef] [PubMed]
- Hoover, W. Canonical dynamics: Equilibrium phase-space distributions. Phys. Rev. A 1985, 31, 1695–1697. [Google Scholar] [CrossRef] [PubMed]
- Nosé, S. A unified formulation of the constant temperature molecular dynamics methods. J. Chem. Phys. 1984, 81, 511–519. [Google Scholar] [CrossRef]
- Dou, Y.; Zhigilei, L.V.; Postawa, Z.; Winograd, N.; Garrison, B.J. Thickness effects of water overlayer on its explosive evaporation at heated metal surfaces. Nucl. Instrum. Meth. B. 2001, 180, 105–111. [Google Scholar] [CrossRef]
- Wang, Y.H.; Wang, S.Y.; Lu, G.; Wang, X.D. Explosive boiling of nano-liquid argon films on high temperature platinum walls: Effects of surface wettability and film thickness. Int. J Therm. Sci. 2018, 132, 610–617. [Google Scholar] [CrossRef]







Publisher’s Note: MDPI stays neutral with regard to jurisdictional claims in published maps and institutional affiliations. |
© 2021 by the authors. Licensee MDPI, Basel, Switzerland. This article is an open access article distributed under the terms and conditions of the Creative Commons Attribution (CC BY) license (http://creativecommons.org/licenses/by/4.0/).
Share and Cite
Liao, M.-J.; Duan, L.-Q. Effect of the Hybrid Hydrophobic-Hydrophilic Nanostructured Surface on Explosive Boiling. Coatings 2021, 11, 212. https://doi.org/10.3390/coatings11020212
Liao M-J, Duan L-Q. Effect of the Hybrid Hydrophobic-Hydrophilic Nanostructured Surface on Explosive Boiling. Coatings. 2021; 11(2):212. https://doi.org/10.3390/coatings11020212
Chicago/Turabian StyleLiao, Ming-Jun, and Li-Qiang Duan. 2021. "Effect of the Hybrid Hydrophobic-Hydrophilic Nanostructured Surface on Explosive Boiling" Coatings 11, no. 2: 212. https://doi.org/10.3390/coatings11020212
APA StyleLiao, M.-J., & Duan, L.-Q. (2021). Effect of the Hybrid Hydrophobic-Hydrophilic Nanostructured Surface on Explosive Boiling. Coatings, 11(2), 212. https://doi.org/10.3390/coatings11020212
