Investigation on High Temperature Rheological Behaviors and Fatigue Performance of Trans-Polyoctenamer-Activated Crumb Rubber Modified Asphalt Binder
Abstract
1. Introduction
2. Materials and Experimental
2.1. Materials
2.2. Preparation TOR-Activated CR and Various Modified Asphalt Binders
2.3. Test Methods
2.3.1. Ageing Procedure
2.3.2. Physical Properties Test
2.3.3. Dynamic Shear Rheometer Test
3. Results and Discussion
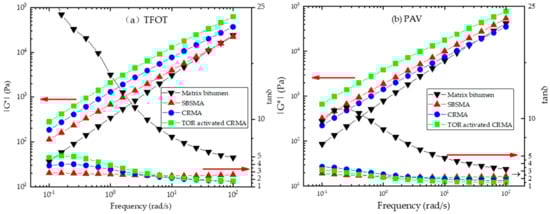
3.1. Viscoelastic Behavior
3.2. Rutting Resistance
3.3. Temperature Sensitivity
3.4. Fatigue Resistance
4. Conclusions
Author Contributions
Funding
Conflicts of Interest
References
- Fu, Z.; Sun, Q.; Li, J. Preparation and performance characterization of asphalt sustained-release capsules. Int. J. Pavement Res. Technol. 2018, 11, 229–237. [Google Scholar] [CrossRef]
- Gudipudi, P.P.; Underwood, B.S.; Zalghout, A. Impact of climate change on pavement structural performance in the United States. Transp. Res. Part D Transp. Environ. 2017, 57, 172–184. [Google Scholar] [CrossRef]
- Ma, F.; Chao, Z. Road performance of asphalt binder modified with natural rock asphalt. Adv. Mater. Res. 2013, 634, 2729–2732. [Google Scholar] [CrossRef]
- Yut, I.; Adam, Z. Correlation between rheology and chemical composition of aged polymer-modified asphalts. Constr. Build. Mater. 2014, 62, 109–117. [Google Scholar] [CrossRef]
- Bernier, A.; Adam, Z.; Iliya, Y. Laboratory evaluation of rutting susceptibility of polymer-modified asphalt mixtures containing recycled pavements. Constr. Build. Mater. 2012, 31, 58–66. [Google Scholar] [CrossRef]
- Kim, H.H.; Mazumder, M.; Lee, S.J.; Lee, M.S. Characterization of recycled crumb rubber modified binders containing wax warm additives. J. Traffic Transp. Eng. 2018, 5, 197–206. [Google Scholar] [CrossRef]
- Bahia, H.U.; Davies, R. Effects of crumb rubber type and content on performance related properties of asphalt binders. In Proceedings of the Infrastructure: New Materials and Methods of Repair, San Diego, CA, USA, 13–16 November 1994; pp. 449–466. [Google Scholar]
- Presti, D.L. Recycled tyre rubber modified bitumens for road asphalt mixtures: A literature review. Constr. Build. Mater. 2013, 49, 863–881. [Google Scholar] [CrossRef]
- Moreno, F.; Sol, M.; Martín, J.; Pérez, M.; Rubio, M.C. The effect of crumb rubber modfier on the resistance of asphalt mixes to plastic deformation. Mater. Des. 2013, 47, 274–280. [Google Scholar] [CrossRef]
- Phetcharat, S. Properties comparisons and cost analysis of asphaltic cement grade 80/100 and 60/70 modified with crumb rubber and SBS polymer. Adv. Mater. Res. 2014, 911, 484–488. [Google Scholar] [CrossRef]
- Mannan, U.A.; Islam, M.; Weldegiorgis, M.; Tarefder, R. Experimental investigation on rheological properties of recycled asphalt pavement mastics. Appl. Rheol. 2015, 25, 1–9. [Google Scholar]
- Girimath, S.; Singh, D.; Manthos, E.; Mampearachchi, W.K. Effects of reclaimed asphalt binder on rheological properties and cohesion energy of crumb rubber modified binder. Innov. Infrastruct. Solut. 2018, 3, 57. [Google Scholar] [CrossRef]
- Girimath, S.; Singh, D.; Manthos, E.; Mampearachchi, W.K. Investigating the properties of crumb rubber modified bitumen using classic and shrp testing methods. Constr. Build. Mater. 2012, 26, 481–489. [Google Scholar]
- Yadollahi, G.; Mollahosseini, H.S. Improving the performance of crumb rubber bitumen by means of poly phosphoric acid (PPA) and vestenamer additives. Constr. Build. Mater. 2011, 25, 3108–3116. [Google Scholar] [CrossRef]
- Miró, R.; Martínez, A.H.; Moreno-Navarro, F.; del Carmen, R.-G.M. Effect of of ageing and temperature on the fatigue behaviour of bitumens. Mater. Des. 2015, 86, 129–137. [Google Scholar] [CrossRef]
- Colbert, B.; You, Z. The properties of asphalt binder blended with variable quantities of recycled asphalt using short term and long term aging simulations. Constr. Build. Mater. 2012, 26, 552–557. [Google Scholar] [CrossRef]
- Abdullah, M.E.; Kemas, A.Z.; Rosnawati, B.; Mohd, N.N.; Mohd, R.H. Short term and long term aging effects of asphalt binder modified with montmorillonite. Key Eng. Mater. 2013, 594, 996–1002. [Google Scholar] [CrossRef]
- Al-Khateeb, G.G.; Khalid, A.G. The combined effect of loading frequency, temperature, and stress level on the fatigue life of asphalt paving mixtures using the Idt test configuration. Int. J. Fatigue 2014, 59, 254–261. [Google Scholar] [CrossRef]
- Cui, Y.; Yu, Q.; Han, J.; Chen, C. Low temperature performance of rubber-modified asphalt under complex climate. Mater. Rev. 2018, 32, 2078–2084. [Google Scholar]
- Das, S.; Murthy, V.S.R.; Murty, G.S. Particulate size effect on the rheology of sic-glass composites. J. Mater. Sci. 1999, 34, 1347–1352. [Google Scholar] [CrossRef]
- Asli, H.; Ahmadinia, E.; Zargar, M.; Karim, M.R. Investigation on physical properties of waste cooking oil–rejuvenated bitumen binder. Constr. Build. Mater. 2012, 37, 398–405. [Google Scholar] [CrossRef]
- Mohamed, M.; Mohamed, A.R.; Williams, R.C. Development of Non-Petroleum Based Binders for Use in Flexible Pavements; Final Report to Iowa Department of Transportation, TR-594; Iowa Department of Transportation: Ames, IA, USA, 2010. [Google Scholar]
- Mandal, T.; Ryan, S.; Hussain, U.B.; Shayan, B. Effect of cross-linking agents on the rheological properties of polymer-modified bitumen. Road Mater. Pavement Des. 2015, 16, 349–361. [Google Scholar] [CrossRef]
- Padhan, R.K.; Gupta, A.A.; Mohanta, C.S.; Badoni, R.P.; Bhatnagar, A.K. Performance improvement of a crumb rubber modified bitumen using polyoctenamer and cross linking agent. Road Mater. Pavement Des. 2016, 18, 999–1006. [Google Scholar] [CrossRef]
- Puga, K.L.N.N. Rheology and Performance Evaluation of Polyoctenamer as Asphalt Rubber Modifier in Hot Mix Asphalt. Master’s Thesis, Iowa State University, Ames, IA, USA, 2013. [Google Scholar]
- Padhan, R.K.; Sreeram, A.; Gupta, A. Evaluation of trans-polyoctenamer and cross-linking agents on the performance of waste polystyrene modified asphalt. Road Mater. Pavement Des. 2020, 21, 1170–1182. [Google Scholar] [CrossRef]
- Liang, M.; Ren, S.; Fan, W.; Wang, H.; Cui, W.; Zhao, P. Characterization of fume composition and rheological properties of asphalt with crumb rubber activated by microwave and TOR. Constr. Build. Mater. 2017, 154, 310–322. [Google Scholar] [CrossRef]
- Peng, X.; Wu, M.; Zhou, X. Experiments on Rheological Properties of Tor Asphalt Rubber. J. Jiangsu Univ. 2010, 33, 440–444. [Google Scholar]
- Kang, A.H.; Zhang, Q.; Li, P. Research on the influences of the molding processes of TOR asphalt rubber mixtures upon the pavement performance. Adv. Mater. Res. 2012, 535, 1819–1824. [Google Scholar] [CrossRef]
- Liu, H.; Chen, Z.; Wang, W.; Wang, H.; Hao, P. Investigation of the rheological modification mechanism of crumb rubber modified asphalt (CRMA) containing TOR additive. Constr. Build. Mater. 2014, 6, 225–233. [Google Scholar] [CrossRef]
- Liang, M.; Xin, X.; Fan, W.; Ren, S.; Shi, J.; Luo, H. Thermo-stability and aging performance of modified asphalt with crumb rubber activated by microwave and TOR. Mater. Des. 2017, 127, 84–96. [Google Scholar] [CrossRef]
- Ma, F.; Dai, J.; Fu, Z.; Liu, J.; Dong, W.; Huang, Z. A new type of crumb rubber asphalt mixture: A dry process design and performance evaluation. Appl. Sci. 2020, 10, 372. [Google Scholar] [CrossRef]
- Hao, G.; Huang, W.; Yuan, J.; Tang, N.; Xiao, F. Effect of aging on chemical and rheological properties of sbs modified asphalt with different compositions. Constr. Build. Mater. 2017, 156, 902–910. [Google Scholar] [CrossRef]
- Wang, H.; You, Z.; Mills-Beale, J.; Hao, P. Laboratory evaluation on high temperature viscosity and low temperature stiffness of asphalt binder with high percent scrap tire rubber. Constr. Build. Mater. 2012, 26, 583–590. [Google Scholar] [CrossRef]
- Wang, P.; Dong, Z.J.; Tan, Y.Q.; Liu, Z.Y. Effect of multi-walled carbon nanotubes on the performance of styrene-butadiene-styrene copolymer modified asphalt. Mater. Struct. 2017, 50, 17. [Google Scholar] [CrossRef]
- Gao, J.; Wang, H.; Liu, C.; Ge, D.; You, Z.; Yu, M. High-temperature rheological behavior and fatigue performance of lignin modified asphalt binder. Constr. Build. Mater. 2020, 230, 117063. [Google Scholar] [CrossRef]
- Kim, Y.; Lee, H.J.; Little, D.N.; Kim, Y.R.; Gibson, N.; King, G.; Pellinen, T.; Fee, F. A Simple Testing Method to Evaluate Fatigue Fracture and Damage Performance of Asphalt Mixtures. In Proceedings of the Association of Asphalt Paving Technologists-Proceedings of the Technical Sessions 2006 Annual Meeting, Savannah, GA, USA, 27–29 March 2006; pp. 755–788. [Google Scholar]
- Sabouri, M.; Mirzaiyan, D.; Moniri, A. Effectiveness of linear amplitude sweep (Las) asphalt binder test in predicting asphalt mixtures fatigue performance. Constr. Build. Mater. 2018, 171, 281–290. [Google Scholar] [CrossRef]
- Graessley, W.W. Linear viscoelasticity in entangling polymer systems. J. Chem. Phys. 1971, 54, 5143–5157. [Google Scholar] [CrossRef]
- Zhan, X.; Wang, D. Analysis of viscoelastic properties of modified asphalt via dynamic mechanical method. J. South China Univ. Technol. 2010, 38, 37. [Google Scholar]
- Khonakdar, H.A.; Wagenknecht, U.; Jafari, S.H.; Hässler, R.; Eslami, H. Dynamic mechanical properties and morphology of polyethylene/ethylene vinyl acetate copolymer blends. Adv. Polym. Technol. 2010, 23, 307–315. [Google Scholar] [CrossRef]












| Items | Measured Values | Specified Values |
|---|---|---|
| Penetration (25 °C, 0.1 mm) | 111 | 100~120 |
| Ductility (15 °C/10 °C, cm) | >150 | ≥60/≥40 |
| Softening point (°C) | 45.8 | ≥43 |
| Project | Relative Density | Moisture (%) | Metal Content (%) | Fiber Content (%) | |
|---|---|---|---|---|---|
| Technical indicators | - | <1.0 | <0.01 | <1.0 | |
| Test results | Crumb rubber | 1.15 | 0.4 | 0.007 | 0.002 |
| TOR-activated crumb rubber | 1.21 | 0.53 | 0.004 | 0.003 | |
© 2020 by the authors. Licensee MDPI, Basel, Switzerland. This article is an open access article distributed under the terms and conditions of the Creative Commons Attribution (CC BY) license (http://creativecommons.org/licenses/by/4.0/).
Share and Cite
Mu, Y.; Ma, F.; Dai, J.; Li, C.; Fu, Z.; Yang, T.; Jia, M. Investigation on High Temperature Rheological Behaviors and Fatigue Performance of Trans-Polyoctenamer-Activated Crumb Rubber Modified Asphalt Binder. Coatings 2020, 10, 771. https://doi.org/10.3390/coatings10080771
Mu Y, Ma F, Dai J, Li C, Fu Z, Yang T, Jia M. Investigation on High Temperature Rheological Behaviors and Fatigue Performance of Trans-Polyoctenamer-Activated Crumb Rubber Modified Asphalt Binder. Coatings. 2020; 10(8):771. https://doi.org/10.3390/coatings10080771
Chicago/Turabian StyleMu, Yan, Feng Ma, Jiasheng Dai, Chen Li, Zhen Fu, Tiantian Yang, and Meng Jia. 2020. "Investigation on High Temperature Rheological Behaviors and Fatigue Performance of Trans-Polyoctenamer-Activated Crumb Rubber Modified Asphalt Binder" Coatings 10, no. 8: 771. https://doi.org/10.3390/coatings10080771
APA StyleMu, Y., Ma, F., Dai, J., Li, C., Fu, Z., Yang, T., & Jia, M. (2020). Investigation on High Temperature Rheological Behaviors and Fatigue Performance of Trans-Polyoctenamer-Activated Crumb Rubber Modified Asphalt Binder. Coatings, 10(8), 771. https://doi.org/10.3390/coatings10080771

