Prevalence and Phage-Based Biocontrol of Methicillin-Resistant Staphylococcus aureus Isolated from Raw Milk of Cows with Subclinical Mastitis in Vietnam
Abstract
1. Introduction
2. Results
2.1. Prevalence of S. aureus in Raw Milk
2.2. Antimicrobial Susceptibility Profile of S. aureus Isolates
2.3. Molecular Characterization of Methicillin-Resistant S. aureus Isolates
2.4. Isolation of Bacteriophages against MRSA
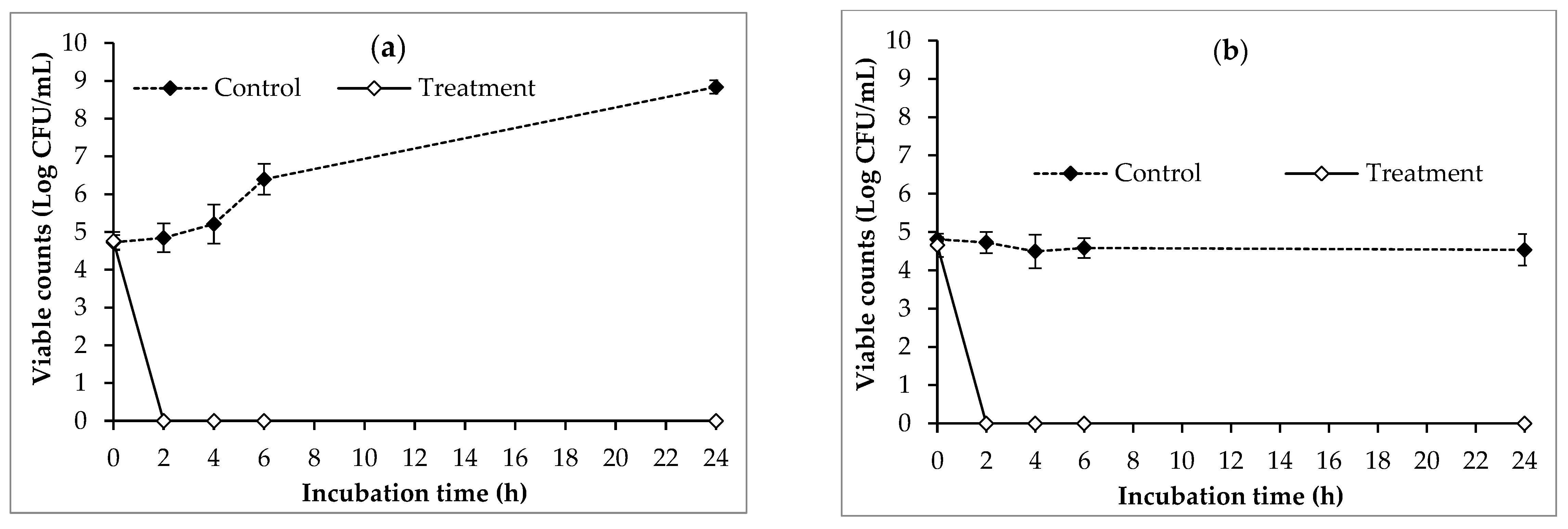
2.5. Phage Characterization
3. Discussion
4. Materials and Methods
4.1. Isolation of S. aureus from Raw Milk
4.2. Antimicrobial Susceptibility Profile of S. aureus Isolates
4.3. Molecular Characterization of Methicillin-Resistant S. aureus Isolates
4.4. Isolation of Bacteriophages against Methicillin-Resistant S. aureus Isolates
4.5. Characterization of Isolated Phages
4.5.1. Host Range of Isolated Phages
4.5.2. One-Step Growth Curve of Isolated Phage PSA2
4.5.3. Stability of Isolated Phage PSA2
4.5.4. Evaluation of the Effect of Phage PSA2 on the Viability of MRSA SA33 in Raw Milk
4.6. Statistical Analysis
5. Conclusions
Author Contributions
Funding
Institutional Review Board Statement
Informed Consent Statement
Data Availability Statement
Acknowledgments
Conflicts of Interest
References
- Mora-Hernández, Y.; Vera Murguía, E.; Stinenbosch, J.; Hernández Jauregui, P.; van Dijl, J.M.; Buist, G. Molecular typing and antimicrobial resistance profiling of 33 mastitis-related Staphylococcus aureus isolates from cows in the Comarca Lagunera region of Mexico. Sci. Rep. 2021, 11, 6912. [Google Scholar] [CrossRef] [PubMed]
- Sordillo, L.M.; Streicher, K.L. Mammary Gland Immunity and Mastitis Susceptibility. J. Mammary Gland. Biol. Neoplasia 2002, 7, 135–146. [Google Scholar] [CrossRef] [PubMed]
- Lubna; Hussain, T.; Shami, A.; Rafiq, N.; Khan, S.; Kabir, M.; Khan, N.U.; Khattak, I.; Kamal, M.; Usman, T. Antimicrobial Usage and Detection of Multidrug-Resistant Staphylococcus aureus: Methicillin- and Tetracycline-Resistant Strains in Raw Milk of Lactating Dairy Cattle. Antibiotics 2023, 12, 673. [Google Scholar] [CrossRef] [PubMed]
- Kovačević, Z.; Mihajlović, J.; Mugoša, S.; Horvat, O.; Tomanić, D.; Kladar, N.; Samardžija, M. Pharmacoeconomic Analysis of the Different Therapeutic Approaches in Control of Bovine Mastitis: Phytotherapy and Antimicrobial Treatment. Antibiotics 2023, 12, 11. [Google Scholar] [CrossRef] [PubMed]
- Pedersen, R.R.; Krömker, V.; Bjarnsholt, T.; Dahl-Pedersen, K.; Buhl, R.; Jørgensen, E. Biofilm Research in Bovine Mastitis. Front. Vet. Sci. 2021, 8, 656810. [Google Scholar] [CrossRef] [PubMed]
- Ararsa, D. Isolation and Identification of Staphylococcus aureus from Dairy Farms in Bishoftu Town, Ethiopia. Juniper Online J. Public Health 2018, 3, 9–13. [Google Scholar] [CrossRef]
- Sarker, S.C.; Parvin, M.S.; Rahman, A.K.M.A.; Islam, T. Prevalence and risk factors of subclinical mastitis in lactating dairy cows in north and south regions of Bangladesh. Trop. Anim. Health Prod. 2013, 45, 1171–1176. [Google Scholar] [CrossRef] [PubMed]
- Kateete, D.P.; Kabugo, U.; Baluku, H.; Nyakarahuka, L.; Kyobe, S.; Okee, M.; Najjuka, C.F.; Joloba, M.L. Prevalence and Antimicrobial Susceptibility Patterns of Bacteria from Milkmen and Cows with Clinical Mastitis in and around Kampala, Uganda. PLoS ONE 2013, 8, e63413. [Google Scholar] [CrossRef] [PubMed]
- Basanisi, M.; La Bella, G.; Nobili, G.; Franconieri, I.; La Salandra, G. Genotyping of methicillin-resistant Staphylococcus aureus (MRSA) isolated from milk and dairy products in South Italy. Food Microbiol. 2017, 62, 141–146. [Google Scholar] [CrossRef] [PubMed]
- Schmidt, T.; Kock, M.M.; Ehlers, M.M. Molecular Characterization of Staphylococcus aureus Isolated from Bovine Mastitis and Close Human Contacts in South African Dairy Herds: Genetic Diversity and Inter-Species Host Transmission. Front. Microbiol. 2017, 8, 511. [Google Scholar] [CrossRef]
- Pexara, A.; Solomakos, N.; Sergelidis, D.; Govaris, A. Fate of enterotoxigenic Staphylococcus aureus and staphylococcal enterotoxins in Feta and Galotyri cheeses. J. Dairy Res. 2012, 79, 405–413. [Google Scholar] [CrossRef]
- De Buyser, M.-L.; Dufour, B.; Maire, M.; Lafarge, V. Implication of milk and milk products in food-borne diseases in France and in different industrialised countries. Int. J. Food Microbiol. 2001, 67, 1–17. [Google Scholar] [CrossRef] [PubMed]
- EFSA. Scientific Opinion on the public health risks related to the consumption of raw drinking milk. EFSA J. 2015, 13, 3940. [Google Scholar] [CrossRef]
- Oliver, S.P.; Boor, K.J.; Murphy, S.C.; Murinda, S.E. Food Safety Hazards Associated with Consumption of Raw Milk. Foodborne Pathog. Dis. 2009, 6, 793–806. [Google Scholar] [CrossRef] [PubMed]
- Potter, M.E.; Kaufmann, A.F.; Blake, P.A.; Feldman, R.A. Unpasteurized Milk: The Hazards of a Health Fetish. JAMA J. Am. Med. Assoc. 1984, 252, 2048–2052. [Google Scholar] [CrossRef]
- Jay-Russell, M.T. Raw (Unpasteurized) Milk: Are Health-Conscious Consumers Making an Unhealthy Choice? Clin. Infect. Dis. 2010, 51, 1418–1419. [Google Scholar] [CrossRef] [PubMed]
- Wang, X.; Liu, Q.; Zhang, H.; Li, X.; Huang, W.; Fu, Q.; Li, M. Molecular Characteristics of Community-Associated Staphylococcus aureus Isolates from Pediatric Patients with Bloodstream Infections between 2012 and 2017 in Shanghai, China. Front. Microbiol. 2018, 9, 1211. [Google Scholar] [CrossRef]
- Neelam; Jain, V.K.; Singh, M.; Joshi, V.G.; Chhabra, R.; Singh, K.; Rana, Y.S. Virulence and antimicrobial resistance gene profiles of Staphylococcus aureus associated with clinical mastitis in cattle. PLoS ONE 2022, 17, e0264762. [Google Scholar] [CrossRef]
- de Jong, A.; El Garch, F.; Simjee, S.; Moyaert, H.; Rose, M.; Youala, M.; Siegwart, E. Monitoring of antimicrobial susceptibility of udder pathogens recovered from cases of clinical mastitis in dairy cows across Europe: VetPath results. Vet. Microbiol. 2018, 213, 73–81. [Google Scholar] [CrossRef]
- Oliver, S.P.; Murinda, S.E.; Jayarao, B.M. Impact of Antibiotic Use in Adult Dairy Cows on Antimicrobial Resistance of Veterinary and Human Pathogens: A Comprehensive Review. Foodborne Pathog. Dis. 2011, 8, 337–355. [Google Scholar] [CrossRef]
- Titouche, Y.; Akkou, M.; Houali, K.; Auvray, F.; Hennekinne, J. Role of milk and milk products in the spread of methicillin-resistant Staphylococcus aureus in the dairy production chain. J. Food Sci. 2022, 87, 3699–3723. [Google Scholar] [CrossRef] [PubMed]
- Wörmann, M.; Pech, J.; Reich, F.; Tenhagen, B.-A.; Wichmann-Schauer, H.; Lienen, T. Growth of methicillin-resistant Staphylococcus aureus during raw milk soft cheese-production and the inhibitory effect of starter cultures. Food Microbiol. 2024, 119, 104451. [Google Scholar] [CrossRef] [PubMed]
- Kamal, R.M.; Bayoumi, M.A.; El Aal, S.F.A. MRSA detection in raw milk, some dairy products and hands of dairy workers in Egypt, a mini-survey. Food Control 2013, 33, 49–53. [Google Scholar] [CrossRef]
- Zhang, Z.; Wang, J.; Wang, H.; Zhang, L.; Shang, W.; Li, Z.; Song, L.; Li, T.; Cheng, M.; Zhang, C.; et al. Molecular Surveillance of MRSA in Raw Milk Provides Insight into MRSA Cross Species Evolution. Microbiol. Spectr. 2023, 11, e0031123. [Google Scholar] [CrossRef] [PubMed]
- Duc, H.M.; Son, H.M.; Ngan, P.H.; Sato, J.; Masuda, Y.; Honjoh, K.-I.; Miyamoto, T. Isolation and application of bacteriophages alone or in combination with nisin against planktonic and biofilm cells of Staphylococcus aureus. Appl. Microbiol. Biotechnol. 2020, 104, 5145–5158. [Google Scholar] [CrossRef] [PubMed]
- Hamdi, S.; Rousseau, G.M.; Labrie, S.J.; Tremblay, D.M.; Kourda, R.S.; Slama, K.B.; Moineau, S. Characterization of two polyvalent phages infecting Enterobacteriaceae. Sci. Rep. 2017, 7, 40349. [Google Scholar] [CrossRef] [PubMed]
- Duc, H.M.; Son, H.M.; Yi, H.P.S.; Sato, J.; Ngan, P.H.; Masuda, Y.; Honjoh, K.-I.; Miyamoto, T. Isolation, characterization and application of a polyvalent phage capable of controlling Salmonella and Escherichia coli O157:H7 in different food matrices. Food Res. Int. 2020, 131, 108977. [Google Scholar] [CrossRef] [PubMed]
- García-Anaya, M.C.; Sepulveda, D.R.; Sáenz-Mendoza, A.I.; Rios-Velasco, C.; Zamudio-Flores, P.B.; Acosta-Muñiz, C.H. Phages as biocontrol agents in dairy products. Trends Food Sci. Technol. 2020, 95, 10–20. [Google Scholar] [CrossRef]
- Principi, N.; Silvestri, E.; Esposito, S. Advantages and limitations of bacteriophages for the treatment of bacterial infections. Front. Pharmacol. 2019, 10, 513. [Google Scholar] [CrossRef] [PubMed]
- Loc-Carrillo, C.; Abedon, S.T. Pros and cons of phage therapy. Bacteriophage 2011, 1, 111–114. [Google Scholar] [CrossRef]
- Kiani, A.K.; Anpilogov, K.; Dautaj, A.; Marceddu, G.; Sonna, W.N.; Percio, M.; Dundar, M.; Beccari, T.; Bertelli, M. Bacteriophages in food supplements obtained from natural sources. Acta Biomed. 2020, 91, e2020025. [Google Scholar] [CrossRef]
- Chai, Z.; Wang, J.; Tao, S.; Mou, H. Application of bacteriophage-borne enzyme combined with chlorine dioxide on controlling bacterial biofilm. LWT Food Sci. Technol. 2014, 59, 1159–1165. [Google Scholar] [CrossRef]
- Shrestha, A.; Bhattarai, R.K.; Luitel, H.; Karki, S.; Basnet, H.B. Prevalence of methicillin-resistant Staphylococcus aureus and pattern of antimicrobial resistance in mastitis milk of cattle in Chitwan, Nepal. BMC Vet. Res. 2021, 17, 1–7. [Google Scholar] [CrossRef] [PubMed]
- Király, J.; Hajdučková, V.; Gregová, G.; Szabóová, T.; Pilipčinec, E. Resistant S. aureus Isolates Capable of Producing Biofilm from the Milk of Dairy Cows with Subclinical Mastitis in Slovakia. Agriculture 2024, 14, 571. [Google Scholar] [CrossRef]
- Liu, J.; Wang, X.; Bi, C.; Mehmood, K.; Ali, F.; Qin, J.; Han, Z. Molecular characterization of multi-drug-resistant Staphylococcus aureus in mastitis bovine milk from a dairy farm in Anhui, China. Front. Vet. Sci. 2022, 9, 966533. [Google Scholar] [CrossRef] [PubMed]
- Wang, W.; Lin, X.; Jiang, T.; Peng, Z.; Xu, J.; Yi, L.; Li, F.; Fanning, S.; Baloch, Z. Prevalence and Characterization of Staphylococcus aureus Cultured from Raw Milk Taken from Dairy Cows with Mastitis in Beijing, China. Front. Microbiol. 2018, 9, 1123. [Google Scholar] [CrossRef]
- Ren, Q.; Liao, G.; Wu, Z.; Lv, J.; Chen, W. Prevalence and characterization of Staphylococcus aureus isolates from subclinical bovine mastitis in southern Xinjiang, China. J. Dairy Sci. 2020, 103, 3368–3380. [Google Scholar] [CrossRef]
- Salam, A.; Al-Amin, Y.; Salam, M.T.; Pawar, J.S.; Akhter, N.; Rabaan, A.A.; Alqumber, M.A.A. Antimicrobial Resistance: A Growing Serious Threat for Global Public Health. Healthcare 2023, 11, 1946. [Google Scholar] [CrossRef]
- Martin, M.J.; Thottathil, S.E.; Newman, T.B. Antibiotics Overuse in Animal Agriculture: A Call to Action for Health Care Providers. Am. J. Public Health 2015, 105, 2409–2410. [Google Scholar] [CrossRef]
- Xu, C.; Kong, L.; Gao, H.; Cheng, X.; Wang, X. A Review of Current Bacterial Resistance to Antibiotics in Food Animals. Front. Microbiol. 2022, 13, 822689. [Google Scholar] [CrossRef]
- Van, T.T.H.; Yidana, Z.; Smooker, P.M.; Coloe, P.J. Antibiotic use in food animals worldwide, with a focus on Africa: Pluses and minuses. J. Glob. Antimicrob. Resist. 2020, 20, 170–177. [Google Scholar] [CrossRef] [PubMed]
- Tiseo, K.; Huber, L.; Gilbert, M.; Robinson, T.P.; Van Boeckel, T.P. Global Trends in Antimicrobial Use in Food Animals from 2017 to 2030. Antibiotics 2020, 9, 918. [Google Scholar] [CrossRef] [PubMed]
- Gao, J.; Ferreri, M.; Yu, F.; Liu, X.; Chen, L.; Su, J.; Han, B. Molecular types and antibiotic resistance of Staphylococcus aureus isolates from bovine mastitis in a single herd in China . Vet. J. 2012, 192, 550–552. [Google Scholar] [CrossRef] [PubMed]
- Virto, M.; Santamarina-García, G.; Amores, G.; Hernández, I. Antibiotics in Dairy Production: Where Is the Problem? Dairy 2022, 3, 541–564. [Google Scholar] [CrossRef]
- Wang, H.; Shen, J.; Zhu, C.; Ma, K.; Fang, M.; Li, B.; Wang, W.; Xue, T. Antibiotics Resistance and Virulence of Staphylococcus aureus Isolates Isolated from Raw Milk from Handmade Dairy Retail Stores in Hefei City, China. Foods 2022, 11, 2185. [Google Scholar] [CrossRef] [PubMed]
- Qolbaini, E.N.; Khoeri, M.M.; Salsabila, K.; Paramaiswari, W.T.; Tafroji, W.; Artika, I.M.; Safari, D. Identification and antimicrobial susceptibility of methicillin-resistant Staphylococcus aureus-associated subclinical mastitis isolated from dairy cows in Bogor, Indonesia. Vet. World 2021, 14, 1180–1184. [Google Scholar] [CrossRef] [PubMed]
- Khazaie, F.; Ahmadi, E. Bovine subclinical mantis-associated methicillin-resistant Staphylococcus aureus, selective genotyping and antimicrobial susceptibility profile of the isolates in Kurdistan province of Iran. Iran. J. Microbiol. 2021, 13, 65–73. [Google Scholar] [CrossRef] [PubMed]
- Deurenberg, R.; Vink, C.; Kalenic, S.; Friedrich, A.; Bruggeman, C.; Stobberingh, E. The molecular evolution of methicillin-resistant Staphylococcus aureus. Clin. Microbiol. Infect. 2007, 13, 222–235. [Google Scholar] [CrossRef] [PubMed]
- Spanu, V.; Spanu, C.; Virdis, S.; Cossu, F.; Scarano, C.; De Santis, E.P.L. Virulence factors and genetic variability of Staphylococcus aureus strains isolated from raw sheep’s milk cheese. Int. J. Food Microbiol. 2012, 153, 53–57. [Google Scholar] [CrossRef]
- Ortega, E.; Abriouel, H.; Lucas, R.; Gálvez, A. Multiple Roles of Staphylococcus aureus Enterotoxins: Pathogenicity, Superantigenic Activity, and Correlation to Antibiotic Resistance. Toxins 2010, 2, 2117–2131. [Google Scholar] [CrossRef]
- Monistero, V.; Graber, H.U.; Pollera, C.; Cremonesi, P.; Castiglioni, B.; Bottini, E.; Ceballos-Marquez, A.; Lasso-Rojas, L.; Kroemker, V.; Wente, N.; et al. Staphylococcus aureus Isolates from Bovine Mastitis in Eight Countries: Genotypes, Detection of Genes Encoding Different Toxins and Other Virulence Genes. Toxins 2018, 10, 247. [Google Scholar] [CrossRef] [PubMed]
- Atterbury, R.J. Bacteriophage biocontrol in animals and meat products. Microb. Biotechnol. 2009, 2, 601–612. [Google Scholar] [CrossRef] [PubMed]
- Hagens, S.; Loessner, M.J. Bacteriophage for Biocontrol of Foodborne Pathogens: Calculations and Considerations. Curr. Pharm. Biotechnol. 2010, 11, 58–68. [Google Scholar] [CrossRef] [PubMed]
- Mohammadian, F.; Rahmani, H.K.; Bidarian, B.; Khoramian, B. Isolation and evaluation of the efficacy of bacteriophages against multidrug-resistant (MDR), methicillin-resistant (MRSA) and biofilm-producing strains of Staphylococcus aureus recovered from bovine mastitis. BMC Vet. Res. 2022, 18, 406. [Google Scholar] [CrossRef] [PubMed]
- Duc, H.M.; Son, H.M.; Honjoh, K.-I.; Miyamoto, T. Isolation and application of bacteriophages to reduce Salmonella contamination in raw chicken meat. LWT 2018, 91, 353–360. [Google Scholar] [CrossRef]
- Galarce, N.E.; Bravo, J.L.; Robeson, J.P.; Borie, C.F. Bacteriophage cocktail reduces Salmonella enterica serovar Enteritidis counts in raw and smoked salmon tissues. Rev. Argent. Microbiol. 2014, 46, 333–337. [Google Scholar] [CrossRef] [PubMed]
- Hungaro, H.M.; Mendonça, R.C.S.; Gouvêa, D.M.; Vanetti, M.C.D.; de Oliveira Pinto, C.L. Use of bacteriophages to reduce Salmonella in chicken skin in comparison with chemical agents. Food Res. Int. 2013, 52, 75–81. [Google Scholar] [CrossRef]
- da Silva, N.; Taniwaki, M.H.; Junqueira, V.C.A.; Silveira, N.; Okazaki, M.M.; Romeiro Gomes, R.A. Microbiological Examination Methods of Food and Water: A Laboratory Manual; Informa UK Limited: London, UK, 2012. [Google Scholar] [CrossRef]
- Louie, L.; Goodfellow, J.; Mathieu, P.; Glatt, A.; Louie, M.; Simor, A.E. Rapid Detection of Methicillin-Resistant Staphylococci from Blood Culture Bottles by Using a Multiplex PCR Assay. J. Clin. Microbiol. 2002, 40, 2786–2790. [Google Scholar] [CrossRef] [PubMed]
- CLSI. Performance Standards for Antimicrobial Susceptibility Testing, 27th ed.; CLSI supplement M100; Clinical and Laboratory Standards Institute: Wayne, PA, USA, 2017. [Google Scholar] [CrossRef]
- EURL-AR. Protocol for PCR amplification of mecA, mecC (mecAlga251), spa and pvl. September 2012, pp. 1–5. Available online: https://www.eurl-ar.eu/CustomerData/Files/Folders/21-protocols/279_pcr-spa-pvl-meca-mecc-sept12.pdf (accessed on 18 February 2024).
- Savariraj, W.R.; Ravindran, N.B.; Kannan, P.; Paramasivam, R.; Senthilkumar, T.; Kumarasamy, P.; Rao, V.A. Prevalence, antimicrobial susceptibility and virulence genes of Staphylococcus aureus isolated from pork meat in retail outlets in India. J. Food Saf. 2019, 39, e12589. [Google Scholar] [CrossRef]
- Minh, D.H.; Minh, S.H.; Honjoh, K.-I.; Miyamoto, T. Isolation and bio-control of Extended Spectrum Beta-Lactamase (ESBL)-producing Escherichia coli contamination in raw chicken meat by using lytic bacteriophages. LWT Food Sci. Technol. 2016, 71, 339–346. [Google Scholar] [CrossRef]




| Antibiotic Group | Antibiotic | No. Resistant Isolates (n = 48) | Resistance Rate (%) |
|---|---|---|---|
| Penicillins | penicillin | 35 | 72.92 |
| Cephalosporins | cefoxitin | 6 | 12.50 |
| Aminoglycosides | gentamicin | 12 | 25.00 |
| Tetracyclines | tetracycline | 19 | 39.58 |
| Phenicols | chloramphenicol | 10 | 20.83 |
| Macrolides | erythromycin | 21 | 43.75 |
| Lincosamides | clindamycin | 9 | 18.75 |
| Fluoroquinolones | ciprofloxacin | 8 | 16.67 |
| Sulfonamides | trimethoprim/sulfamethoxazole | 13 | 27.08 |
| No. of Antibiotics | Antibiotic Resistance Phenotype | No. of Resistance Isolates | Rate (%) |
|---|---|---|---|
| 0 | - | 2 | 4.17 |
| 1 | -PEN | 13 | 27.08 |
| 1 | -TET | 2 | 4.17 |
| 1 | -SXT | 2 | 4.17 |
| 1 | -ERY | 3 | 6.25 |
| 2 | -PEN-ERY | 3 | 6.25 |
| 2 | -PEN-TET | 4 | 8.33 |
| 2 | -PEN-GEN | 1 | 2.08 |
| 2 | -PEN-SXT | 1 | 2.08 |
| 3 | -TET-CHL-SXT | 1 | 2.08 |
| 3 | -ERY-CIP-SXT | 1 | 2.08 |
| 4 | -CHL-ERY-CLI-CIP | 1 | 2.08 |
| 4 | -GEN-ERY-CIP-SXT | 1 | 2.08 |
| 4 | -PEN-TET-ERY-SXT | 1 | 2.08 |
| 4 | -PEN-GEN-TET-CHL | 1 | 2.08 |
| 5 | -PEN-TET-CHL-ERY-SXT | 1 | 2.08 |
| 5 | -PEN-FOX-TET-ERY-SXT | 1 | 2.08 |
| 6 | -PEN-GEN-TET-CHL-ERY-SXT | 1 | 2.08 |
| 6 | -PEN-GEN-CHL-ERY-CLI-CIP | 1 | 2.08 |
| 6 | -PEN-GEN-TET-ERY-CLI-SXT | 1 | 2.08 |
| 6 | -PEN-FOX-GEN-TET-ERY-CLI | 1 | 2.08 |
| 7 | -PEN-GEN-TET-CHL-ERY-CLI-CIP | 1 | 2.08 |
| 7 | -PEN-FOX-GEN-TET-ERY-CLI-SXT | 1 | 2.08 |
| 8 | -PEN-FOX-GEN-TET-CHL-ERY-CLI-CIP | 2 | 4.17 |
| 9 | -PEN-FOX-GEN-TET-CHL-ERY-CLI-CIP-SXT | 1 | 2.08 |
| Resistant ≥ 1 | 46 | 95.83 | |
| MDR | 17 | 35.42 | |
| Isolate ID | Antibiotic Resistance and Virulence-Associated Genes | Resistance Pattern | ||||
|---|---|---|---|---|---|---|
| spa | mecA | mecC | pvl | se | ||
| SA6 | + | + | − | − | − | PEN-FOX-GEN-TET-ERY-CLI |
| SA11 | + | + | − | − | − | PEN-FOX-GEN-TET-CHL-ERY-CLI-CIP |
| SA14 | + | + | − | − | − | PEN-FOX-GEN-TET-ERY-CLI-SXT |
| SA19 | + | + | − | − | − | PEN-FOX-TET-ERY-SXT |
| SA33 | + | + | − | − | sea | PEN-FOX-GEN-TET-CHL-ERY-CLI-CIP |
| SA45 | + | + | − | − | − | PEN-FOX-GEN-TET-CHL-ERY-CLI-CIP-SXT |
| MRSA Isolates | PSA1 | PSA2 | PSA3 | PSA4 | PSA5 |
|---|---|---|---|---|---|
| SA6 | ++ | ++ | ++ | ++ | ++ |
| SA11 | ++ | ++ | ++ | ++ | ++ |
| SA14 | + | ++ | + | ++ | + |
| SA19 | + | ++ | ++ | + | − |
| SA33 | ++ | ++ | + | + | ++ |
| SA45 | ++ | ++ | ++ | ++ | ++ |
| Total infected strains | 6 (100%) | 6 (100%) | 6 (100%) | 6 (100%) | 83.33% (5/6) |
| Gene | Oligonucleotide Sequence (5′–3′) | Product Size (bp) | Reference |
|---|---|---|---|
| spa | F-TAAAGACGATCCTTCGGTGAGC R-CAGCAGTAGTGCCGTTTGCTT | 180–600 | [61] |
| mecA | F-TCCAGATTACAACTTCACCAGG R-CCACTTCATATCTTGTAACG | 162 | |
| mecC | F-GAAAAAAAGGCTTAGAACGCCTC R-GAAGATCTTTTCCGTTTTCAGC | 138 | |
| pvl | F-GCTGGACAAAACTTCTTGGAATAT R-GATAGGACACCAATAAATTCTGGATTG | 85 | |
| sea | F-GCAGGGAACAGCTTTAGGC R-GTTCTGTAGAAGTATGAAACACG | 520 | [62] |
| seb | F-ACATGTAATTTTGATATTCGCACTG R-TGCAGGCATCATGTCATACCA | 667 | |
| sec | F-CTTGTATGTATGGAGGAATAACAA R-TGCAGGCATCATATCATACCA | 284 | |
| sed | F-GTGGTGAAATAGATAGGACTGC R-ATATGAAGGTGCTCTGTGG | 171 | |
| see | F-TACCAATTAACTTGTGGATAGAC R-CTCTTTGCACCTTACCGC | 385 | |
| seg | F-AAGTAGACATTTTTGGCGTTCC R-AGAACCATCAAACTCGTATAGC | 287 | |
| seh | F-CAACTGCTGATTTAGCTCAG R-GTCGAATGAGTAATCTCTAGG | 359 | |
| sei | F-CAACTCGAATTTTCAACAGGTACC R-CAGGCAGTCCATCTCCTG | 466 |
Disclaimer/Publisher’s Note: The statements, opinions and data contained in all publications are solely those of the individual author(s) and contributor(s) and not of MDPI and/or the editor(s). MDPI and/or the editor(s) disclaim responsibility for any injury to people or property resulting from any ideas, methods, instructions or products referred to in the content. |
© 2024 by the authors. Licensee MDPI, Basel, Switzerland. This article is an open access article distributed under the terms and conditions of the Creative Commons Attribution (CC BY) license (https://creativecommons.org/licenses/by/4.0/).
Share and Cite
Son, H.M.; Duc, H.M. Prevalence and Phage-Based Biocontrol of Methicillin-Resistant Staphylococcus aureus Isolated from Raw Milk of Cows with Subclinical Mastitis in Vietnam. Antibiotics 2024, 13, 638. https://doi.org/10.3390/antibiotics13070638
Son HM, Duc HM. Prevalence and Phage-Based Biocontrol of Methicillin-Resistant Staphylococcus aureus Isolated from Raw Milk of Cows with Subclinical Mastitis in Vietnam. Antibiotics. 2024; 13(7):638. https://doi.org/10.3390/antibiotics13070638
Chicago/Turabian StyleSon, Hoang Minh, and Hoang Minh Duc. 2024. "Prevalence and Phage-Based Biocontrol of Methicillin-Resistant Staphylococcus aureus Isolated from Raw Milk of Cows with Subclinical Mastitis in Vietnam" Antibiotics 13, no. 7: 638. https://doi.org/10.3390/antibiotics13070638
APA StyleSon, H. M., & Duc, H. M. (2024). Prevalence and Phage-Based Biocontrol of Methicillin-Resistant Staphylococcus aureus Isolated from Raw Milk of Cows with Subclinical Mastitis in Vietnam. Antibiotics, 13(7), 638. https://doi.org/10.3390/antibiotics13070638
