Synthesis, Spectroscopic Characterization, Structural Analysis, and Evaluation of Anti-Tumor, Antimicrobial, and Antibiofilm Activities of Halogenoaminopyrazoles Derivatives
Abstract
1. Introduction
2. Results
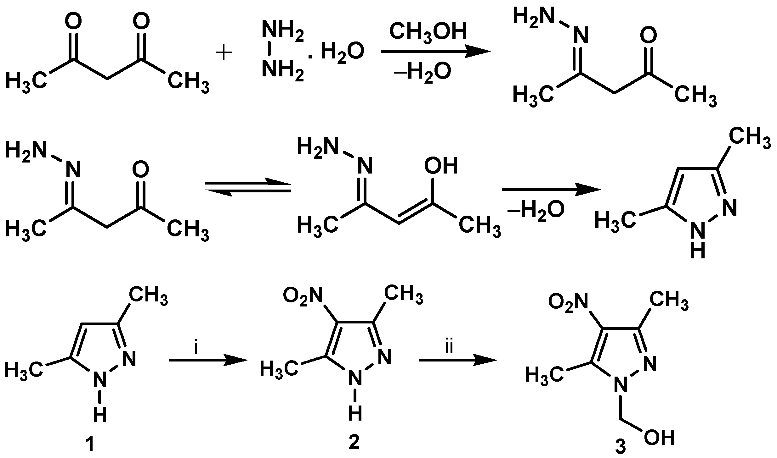
2.1. Chemistry
2.2. Spectroscopic Characterization of Compounds 4a–f and 5a–e
2.2.1. IR Spectra
2.2.2. Electronic Spectra
2.2.3. NMR Spectral Analysis
2.2.4. X-Ray Crystallography
2.3. Biological Activity
2.3.1. Evaluation of the In Vitro Cytotoxicity of the New Compounds 4a–f and 5a–e
2.3.2. Antimicrobial Activity
Qualitative Antibacterial Analysis
Quantitative Antibacterial Analysis
Quantitative Antibiofilm Analysis
3. Materials and Methods
3.1. General Chemical Characterization Techniques
3.2. General Method for the Synthesis of Series Compounds 4a–f and 5a–e
3.3. Biological Tests
3.3.1. Cytotoxicity of Samples
3.3.2. Qualitative Evaluation of the Antimicrobial Activity
3.3.3. Testing the Antimicrobial Activity on Bacterial Strains Using Quantitative Methods
3.3.4. Antibiofilm Assay
3.4. Statistical Analysis
4. Conclusions
Supplementary Materials
Author Contributions
Funding
Institutional Review Board Statement
Informed Consent Statement
Data Availability Statement
Acknowledgments
Conflicts of Interest
References
- Küçükgüzel, S.G.; Senkardes, S. Recent advances in bioactive pyrazoles. Eur. J. Med. Chem. 2015, 97, 786–815. [Google Scholar] [CrossRef] [PubMed]
- Ramadan, S.K.; El-Ziaty, A.K.; Ali, R.S. Synthesis, antiproliferative activity, and molecular docking of some N-heterocycles bearing a pyrazole scaffold against liver and breast tumors. J. Heterocycl. Chem. 2021, 58, 290–304. [Google Scholar] [CrossRef]
- Alam, R.; Wahi, D.; Sinha, R.; Tandon, V.; Grover, A.; Rahisuddin, R. Design, synthesis, cytotoxicity, Hu Topollα inhibitory activity and molecular docking studies of pyrazole derivatives as potential anticancer agents. Bioorg. Chem. 2016, 69, 77–90. [Google Scholar] [CrossRef] [PubMed]
- Vishnu, W.K.; Abeesh, P.; Guruvayoorappan, C. Pyrazole (1, 2-diazole) induce apoptosis in lymphoma cells by targeting BCL-2 and BCL-XL genes and mitigate murine solid tumour development by regulating cyclin-D1 and Ki-67 expression. Toxicol. Appl. Pharmacol. 2021, 418, 115491. [Google Scholar] [CrossRef]
- Reddy, T.S.; Kulhari, H.; Reddy, V.G.; Bansal, V.; Kamal, A.; Shukla, R. Design, synthesis and biological evaluation of 1,3-diphenyl-1H-pyrazole derivatives containing benzimidazole skeleton as potential anticancer and apoptosis inducing agents. Eur. J. Med. Chem. 2015, 101, 790–805. [Google Scholar] [CrossRef]
- Shaker, A.M.M.; Shahin, M.I.; Aboul-Magd, A.M.; Aleem, S.A.A.; Abdel-Rahman, H.M.; El Ella, D.A.A. Novel 1,3-diaryl pyrazole derivatives bearing methylsulfonyl moiety: Design, synthesis, molecular docking and dynamics, with dual activities as anti-inflammatory and anticancer agents through selectively targeting COX-2. Bioorg. Chem. 2022, 129, 106143. [Google Scholar] [CrossRef]
- Bouabdallah, I.; M’Barek, L.A.; Zyad, A.; Ramdani, A.; Zidane, I.; Melhaoui, A. Anticancer effect of three pyrazole derivatives. Nat. Prod. Res. 2006, 20, 1024–1030. [Google Scholar] [CrossRef]
- Wei, F.; Zhao, B.X.; Huang, B.; Zhang, L.; Sun, C.H.; Dong, W.L.; Dong, S.S.; Miao, J.Y. Design, synthesis, and preliminary biological evaluation of novel ethyl 1-(2′-hydroxy-3′-aroxypropyl)-3-aryl-1H-pyrazole-5-carboxylate. Bioorg. Med. Chem. Lett. 2006, 16, 6342–6347. [Google Scholar] [CrossRef]
- Rostom, S.A.F. Polysubstituted pyrazoles, part 6. Synthesis of some 1-(4-chlorophenyl)-4- hydroxy-1H-pyrazol-3-carbonyl derivatives linked to nitrogenous heterocyclic ring systems as potential antitumor agents. Bioorg. Med. Chem. 2010, 18, 2767–2776. [Google Scholar] [CrossRef]
- Riyadh, S.M.; Farghaly, T.A.; Abdallah, M.A.; Abdalla, M.M.; El-Aziz, M.R.A. New pyrazoles incorporating pyrazolylpyrazole moiety: Synthesis, anti-HCV and antitumor activity. Eur. J. Med. Chem. 2010, 45, 1042–1050. [Google Scholar] [CrossRef]
- Abdel-Aziz, H.A.; El-Zahabi, H.S.A.; Dawood, K.M. Microwave-assisted synthesis and in vitro anti-tumor activity of 1,3,4-triaryl-5-N-arylpyrazole-carboxamides. Eur. J. Med. Chem. 2010, 45, 2427–2432. [Google Scholar] [CrossRef] [PubMed]
- Küçükgüzel, Ş.G.; Coşkun, İ.; Aydın, S.; Aktay, G.; Gürsoy, Ş.; Çevik, Ö.; Özakpınar, Ö.B.; Özsavcı, D.; Şener, A.; Basu, N.K.; et al. Synthesis and Characterization of Celecoxib Derivatives as Possible Anti-Inflammatory, Analgesic, Antioxidant, Anticancer and Anti-HCV Agents. Molecules 2013, 18, 3595–3614. [Google Scholar] [CrossRef] [PubMed]
- Cherukupalli, S.; Karpoormath, R.; Chandrasekaran, B.; Hampannavar, G.A.; Thapliyal, N.; Palakollu, V.N. An insight on synthetic and medicinal aspects of pyrazolo[1,5-a] pyrimidine scaffold. Eur. J. Med. Chem. 2017, 126, 298–352. [Google Scholar] [CrossRef] [PubMed]
- Bekhit, A.A.; Fahmy, H.T.Y.; Rostom, S.A.F.; Bekhit, A.E.-D.A. Synthesis and biological evaluation of some thiazolylpyrazole derivatives as dual anti-inflammatory antimicrobial agents. Eur. J. Med. Chem. 2010, 45, 6027–6038. [Google Scholar] [CrossRef]
- Tewari, A.K.; Singh, V.P.; Yadav, P.; Gupta, G.; Singh, A.; Goel, R.K.; Shinde, P.; Mohan, C.G. Synthesis, biological evaluation and molecular modeling study of pyrazole derivatives as selective COX-2 inhibitors and anti-inflammatory agents. Bioorg. Chem. 2014, 56, 8–15. [Google Scholar] [CrossRef]
- Tewari, A.K.; Mishra, A. Synthesis and anti-inflammatory activities of N4, N5-disubstituted-3-methyl-1H-pyrazolo[3,4-c]pyridazines. Bioorg. Med. Chem. 2001, 9, 715–718. [Google Scholar] [CrossRef]
- Thumar, N.J.; Patel, M.P. Synthesis and Antimicrobial Activity of Some New N-Substituted Quinoline Derivatives of 1H-Pyrazole. Arch. Pharm. Chem. Life Sci. 2011, 344, 91–101. [Google Scholar] [CrossRef]
- Sharma, P.K.; Chandak, N.; Kumar, P.; Sharma, C.; Aneja, K.R. Synthesis and biological evaluation of some 4-functionalized-pyrazoles as antimicrobial agents. Eur. J. Med. Chem. 2011, 46, 1425–1432. [Google Scholar] [CrossRef]
- Ningaiah, S.; Bhadraiah, U.K.; Doddaramapp, S.D.; Keshavamurthy, S.; Javarasetty, C. Novel pyrazole integrated 1,3,4-oxadiazoles: Synthesis, characterization and antimicrobial evaluation. Bioorg. Med. Chem. Lett. 2014, 24, 245–248. [Google Scholar] [CrossRef]
- Xu, L.L.; Zheng, C.J.; Sun, L.P.; Miao, J.; Piao, H.R. Synthesis of novel 1,3-diaryl pyrazole derivatives bearing rhodanine-3-fatty acid moieties as potential antibacterial agents. Eur. J. Med. Chem. 2012, 48, 174–178. [Google Scholar] [CrossRef]
- Kaushik, D.; Khan, S.A.; Chawla, G.; Kumar, S. N′-[(5-chloro-3-methyl-1-phenyl-1H-pyrazol-4-yl)methylene] 2/4-substituted hydrazides: Synthesis and anticonvulsant activity. Eur. J. Med. Chem. 2010, 45, 3943–3949. [Google Scholar] [CrossRef] [PubMed]
- Bekhit, A.A.; Hymete, A.; Asfaw, H.; Bekhit, A.E.-D.A. Synthesis and Biological Evaluation of Some Pyrazole Derivatives as Anti-Malarial Agents. Arch. Pharm. Chem. Life Sci. 2012, 345, 147–154. [Google Scholar] [CrossRef] [PubMed]
- Zalaru, C.; Dumitrascu, F.; Draghici, C.; Iovu, M.; Marinescu, M.; Tarcomnicu, I.; Nitulescu, G.M. Synthesis and biological screening of some novel 2-(1H-pyrazol-1-yl)-acetamides as lidocaine analogue. Ind. J. Chem. B 2014, 53B, 733–739. [Google Scholar]
- Zalaru, C.; Dumitrascu, F.; Draghici, C.; Cristea, E.; Tarcomnicu, I. Pharmacologically active 2-(1H-pyrazol-1-yl)acetamides. Arkivoc 2009, ii, 308–314. [Google Scholar] [CrossRef]
- Bovens, M.; Togni, A.; Venanzi, L.M. Asymmetric allylic alkylation with palladium coordinated to a new optically active pyrazolylmethane ligand. J. Organomet. Chem. 1993, 451, C28–C31. [Google Scholar] [CrossRef]
- Ciobanu, A.; Zalaru, F.; Zalaru, C.; Dumitraşcu, F.; Drăghici, C. Coordination compounds of Cu (II) with Schiff bases derived from formylmenthone and aromatic amines. Acta Chim. Slovenica 2003, 50, 441–450. [Google Scholar]
- Fujisawa, K.; Ageishi, K.; Iwai, K.; Okano, M.; Williams-Sekiguchi, R.Y.; Tiekink, E.R.Y. Coordination chemistry of 4-aminopyrazole: Structure and physicochemical properties of cobalt(II) chlorido complexes, and amino group reactivity towards a ketone to yield an imine bond. Inorg. Chim. Acta 2024, 572, 122283. [Google Scholar] [CrossRef]
- Ghorbanpour, M.; Shayanfar, A.; Soltani, B. Copper pyrazole complexes as potential anticancer agents: Evaluation of cytotoxic response against cancer cells and their mechanistic action at the molecular level. Coord. Chem. Rev. 2024, 498, 215459. [Google Scholar] [CrossRef]
- Chkirate, K.; Karrouchi, K.; Chakchak, H.; Mague, J.T.; Radi, S.; Adarsh, N.N.; Li, W.; Talbaoui, A.; Essassi, E.M.; Garcia, Y. Coordination complexes constructed from pyrazole–acetamide and pyrazole–quinoxaline: Effect of hydrogen bonding on the self-assembly process and antibacterial activity. RSC Adv. 2022, 12, 5324–5339. [Google Scholar] [CrossRef]
- Harison’s Principles of Internal Medicine, XIII ed.; Orizonturi: Bucharest, Romania, 1991; ISBN 973-9342-13-2.
- Nagendra, C.B.; Preetham, H.D.; Verma, S.K.; Hamse, V.K.; Umashankara, M.; Niranjan, R.S.; Pramoda, K.; Kumar, K.S.S.; Selvi, G. A short hydrophobic peptide conjugated 3,5-disubstituted pyrazoles as antibacterial agents with DNA gyrase inhibition. J. Mol. Struct. 2023, 1276, 1344661. [Google Scholar] [CrossRef]
- Finn, J.; Mattia, K.; Morytko, M.; Ram, S.; Yang, Y.; Wu, X.; Mak, E.; Gallant, P.; Keith, D. Discovery of a potent and selective series of pyrazole bacterial methionyl-tRNA synthetase inhibitors. Bioorg. Med. Chem. Lett. 2003, 13, 2231–2234. [Google Scholar] [CrossRef] [PubMed]
- Marinescu, M.; Zalaru, C.M. Synthesis, Antibacterial and Anti-Tumor Activity of Pyrazole Derivatives. In Recent Trends in Biochemistry; MedDocs eBooks, Ed.; MedDocs Publishers LLC: Reno, NV, USA, 2021; Chapter 3; pp. 18–27. Available online: http://meddocsonline.org/ (accessed on 1 January 2020).
- Zalaru, C.M.; Dumitrascu, F.; Draghici, C.; Tarcomnicu, I.; Tatia, R.; Moldovan, L.; Chifiriuc, M.C.; Lazar, V.; Marinescu, M.; Nitulescu, M.G.; et al. Synthesis, spectroscopic characterization, DFT study and antimicrobial activity of novel alkylaminopyrazole derivatives. J. Mol. Struct. 2018, 1156, 12–21. [Google Scholar] [CrossRef]
- Zalaru, C.M.; Dumitrascu, F.; Draghici, C.; Tarcomnicu, I.; Marinescu, M.; Nitulescu, G.M.; Tatia, R.; Moldovan, L.; Popa, M.; Chifiriuc, M.C. New pyrazolo-benzimidazole Mannich Bases with antimicrobial and antibiofilm activities. Antibiotics 2022, 11, 1094. [Google Scholar] [CrossRef] [PubMed]
- Huang, X.-F.; Lu, X.; Zhang, Y.; Song, G.-Q.; He, Q.-L.; Li, Q.-S.; Yang, X.-H.; Wei, Y.; Zhu, H.-L. Synthesis, biological evaluation, and molecular docking studies of N-((1,3-diphenyl-1H-pyrazol-4-yl)methyl)aniline derivatives as novel anticancer agents. Bioorg. Med. Chem. 2012, 20, 4895–4900. [Google Scholar] [CrossRef] [PubMed]
- Pflégr, V.; Horváth, L.; Stolaříková, J.; Pál, A.; Korduláková, J.; Bősze, S.; Vinšová, J.; Krátký, M. Design and synthesis of 2-(2-isonicotinoylhydrazineylidene)propanamides as InhA inhibitors with high antitubercular activity. Eur. J. Med. Chem. 2021, 223, 113668. [Google Scholar] [CrossRef]
- Tanitame, A.; Oyamada, Y.; Ofuji, K.; Fujimoto, M.; Suzuki, K.; Ueda, T.; Terauchi, H.; Kawasaki, M.; Nagai, K.; Wachie, M.; et al. Synthesis and antibacterial activity of novel and potent DNA gyrase inhibitors with azole ring. Bioorg. Med. Chem. 2004, 12, 5515–5524. [Google Scholar] [CrossRef]
- Morgan, G.T.; Ackerman, I. CLII.—Substitution in the pyrazole series. Halogen derivatives of 3:5-dimethylpyrazole. J. Chem. Soc. Trans. 1923, 123, 1308–1318. [Google Scholar] [CrossRef]
- Hüttel, R.; Schäfer, O.; Jochum, P. Die Jodierung der Pyrazole. Eur. J. Org. Chem. 1955, 593, 200–207. [Google Scholar] [CrossRef]
- Hüttel, R.; Jochum, P. Die Mannische Reaktion der Pyrazole. Eur. J. Inorg. Chem. 1952, 85, 820–826. [Google Scholar] [CrossRef]
- Dvoretzky, I.; Richter, J.H. Formaldehyde condensation in the pyrazole series. J. Org. Chem. 1950, 15, 1285–1288. [Google Scholar] [CrossRef]
- Zalaru, C.M.; Putina, G.; Dumitrascu, F.; Draghici, C. New Mannich bases with pharmacological activity. Rev. Chim. 2007, 58, 773–775. [Google Scholar]
- Sheldrick, G.M. A short history of SHELX. Acta Cryst. 2008, A64, 112–122. [Google Scholar] [CrossRef] [PubMed]
- Dolomanov, O.V.; Bourhis, L.J.; Gildea, R.J.; Howard, J.A.K.; Puschmann, H. OLEX2: A complete structure solution, refinament and analysis program. J. Appl. Cryst. 2009, 42, 339–341. [Google Scholar] [CrossRef]










| Sample | Structure of the Synthesized Compounds | IC50 µg/mL on NCTC Cells 48 h | IC50 µg/mL on HEp-2 Cells 48 h |
|---|---|---|---|
| 4a | ![]() | 46.42 ± 1.33 | 40.21 ± 1.26 |
| 4b | ![]() | 36.11 ± 1.23 | 47.31 ± 3.38 |
| 5a | ![]() | >50 | 40.53 ± 0.79 |
| 5b | ![]() | 29.81 ± 0.32 | >50 |
| 5d | ![]() | >50 | 26.61 ± 0.11 |
| 5e | ![]() | 20.30 ± 0.45 | 31.73 ± 0.48 |
| dioscin | 15.78 ± 2.19 | 14.65 ± 2.07 |
| Compound | Gram-Positive Bacteria | Gram-Negative Bacteria | ||
|---|---|---|---|---|
| Staphylococcus aureus ATCC25923 | Enterococcus faecalis ATCC29212 | Pseudomonas aeruginosa ATCC27853 | Escherichia coli ATCC25922 | |
| 4a | + | - | + | + |
| 4b | + | + | + | + |
| 4c | - | - | - | - |
| 4d | - | - | - | - |
| 4e | + | - | + | + |
| 4f | + | - | + | + |
| 5a | + | - | + | + |
| 5b | + | + | + | + |
| 5c | - | - | - | - |
| 5d | - | - | - | - |
| 5e | - | - | - | - |
| Metronidazole | + | + | + | + |
| Nitrofurantoin | + | + | + | + |
| Compound | Gram-Positive Bacteria | Gram-Negative Bacteria | ||
|---|---|---|---|---|
| Staphylococcus aureus ATCC25923 | Enterococcus faecalis ATCC29212 | Pseudomonas aeruginosa ATCC27853 | Escherichia coli ATCC25922 | |
| 4a | 230 ± 0.13 | 930 ± 0.25 | 930 ± 0.27 | 930 ± 0.14 |
| 4b | 460 ± 0.02 | 460 ± 0.02 | 460 ± 0.01 | 460 ± 0.05 |
| 4c | 930 ± 0.04 | 930 ± 0.03 | 930 ± 1.08 | 930 ± 1.05 |
| 4d | 930 ± 0.55 | 930 ± 0.53 | 930 ± 0.02 | 930 ± 0.10 |
| 4e | 460 ± 0.03 | 930 ± 0.02 | 930 ± 0.53 | 460 ± 0.52 |
| 4f | 460 ± 0.01 | 930 ± 0.04 | 460 ± 0.03 | 460 ± 0.02 |
| 5a | 460 ± 0.03 | 930 ± 0.06 | 460 ± 0.04 | 460 ± 0.06 |
| 5b | 460 ± 0.01 | 460 ± 0.54 | 460 ± 0.58 | 460 ± 0.27 |
| 5c | 3750 ± 0.04 | 3750 ± 0.08 | 3750 ± 0.51 | 3750 ± 0.54 |
| 5d | 1870 ± 0.07 | 1870 ± 0.05 | 1870 ± 0.04 | 1870 ± 0.04 |
| 5e | 930 ± 0.04 | 1870 ± 0.09 | 1870 ± 0.04 | 1870 ± 0.08 |
| Metronidazole | 1950 ± 0.05 | 970 ± 0.17 | 1562 ± 0.03 | 1950 ± 0.05 |
| Nitrofurantoin | 600 ± 0.04 | 600 ± 0.12 | 3571 ± 0.08 | 600 ± 0.02 |
| Compound | Gram-Positive Bacteria | Gram-Negative Bacteria | ||
|---|---|---|---|---|
| Staphylococcus aureus ATCC25923 | Enterococcus faecalis ATCC29212 | Pseudomonas aeruginosa ATCC27853 | Escherichia coli ATCC25922 | |
| 4a | 230 ± 0.11 | 930 ± 0.27 | 930 ± 0.28 | 930 ± 0.05 |
| 4b | 460 ± 0.01 | 930 ± 0.15 | 460 ± 0.02 | 930 ± 0.04 |
| 4c | 930 ± 0.06 | 930 ± 1.09 | 930 ± 0.52 | 930 ± 0.11 |
| 4d | 930 ± 0.03 | 930 ± 0.53 | 460 ± 0.05 | 930 ± 0.18 |
| 4e | 460 ± 0.04 | 930 ± 0.04 | 930 ± 0.02 | 930 ± 0.09 |
| 4f | 460 ± 0.02 | 930 ± 0.03 | 460 ± 0.01 | 460 ± 0.02 |
| 5a | 230 ± 0.05 | 930 ± 0.14 | 460 ± 0.12 | 460 ± 0.12 |
| 5b | 460 ± 0.01 | 930 ± 0.09 | 460 ± 0.51 | 460 ± 0.03 |
| 5c | 1870 ± 0.15 | 1870 ± 0.06 | 1870 ± 0.53 | 3750 ± 0.48 |
| 5d | 930 ± 0.15 | 1870 ± 0.15 | 930 ± 0.15 | 1870 ± 0.15 |
| 5e | 930 ± 0.15 | 930 ± 0.15 | 930 ± 0.15 | 930 ± 0.15 |
| Metronidazole | 1950 ± 0.09 | 970 ± 0.21 | 1562 ± 0.11 | 1950 ± 0.04 |
| Nitrofurantoin | 2230 ± 0.13 | 600 ± 0.17 | 550 ± 0.23 | 600 ± 0.03 |
Disclaimer/Publisher’s Note: The statements, opinions and data contained in all publications are solely those of the individual author(s) and contributor(s) and not of MDPI and/or the editor(s). MDPI and/or the editor(s) disclaim responsibility for any injury to people or property resulting from any ideas, methods, instructions or products referred to in the content. |
© 2024 by the authors. Licensee MDPI, Basel, Switzerland. This article is an open access article distributed under the terms and conditions of the Creative Commons Attribution (CC BY) license (https://creativecommons.org/licenses/by/4.0/).
Share and Cite
Zalaru, C.; Dumitrascu, F.; Draghici, C.; Ferbinteanu, M.; Tarcomnicu, I.; Marinescu, M.; Moldovan, Z.; Nitulescu, G.M.; Tatia, R.; Popa, M. Synthesis, Spectroscopic Characterization, Structural Analysis, and Evaluation of Anti-Tumor, Antimicrobial, and Antibiofilm Activities of Halogenoaminopyrazoles Derivatives. Antibiotics 2024, 13, 1119. https://doi.org/10.3390/antibiotics13121119
Zalaru C, Dumitrascu F, Draghici C, Ferbinteanu M, Tarcomnicu I, Marinescu M, Moldovan Z, Nitulescu GM, Tatia R, Popa M. Synthesis, Spectroscopic Characterization, Structural Analysis, and Evaluation of Anti-Tumor, Antimicrobial, and Antibiofilm Activities of Halogenoaminopyrazoles Derivatives. Antibiotics. 2024; 13(12):1119. https://doi.org/10.3390/antibiotics13121119
Chicago/Turabian StyleZalaru, Christina, Florea Dumitrascu, Constantin Draghici, Marilena Ferbinteanu, Isabela Tarcomnicu, Maria Marinescu, Zenovia Moldovan, George Mihai Nitulescu, Rodica Tatia, and Marcela Popa. 2024. "Synthesis, Spectroscopic Characterization, Structural Analysis, and Evaluation of Anti-Tumor, Antimicrobial, and Antibiofilm Activities of Halogenoaminopyrazoles Derivatives" Antibiotics 13, no. 12: 1119. https://doi.org/10.3390/antibiotics13121119
APA StyleZalaru, C., Dumitrascu, F., Draghici, C., Ferbinteanu, M., Tarcomnicu, I., Marinescu, M., Moldovan, Z., Nitulescu, G. M., Tatia, R., & Popa, M. (2024). Synthesis, Spectroscopic Characterization, Structural Analysis, and Evaluation of Anti-Tumor, Antimicrobial, and Antibiofilm Activities of Halogenoaminopyrazoles Derivatives. Antibiotics, 13(12), 1119. https://doi.org/10.3390/antibiotics13121119







