Enhancing Antibacterial Efficacy: Combining Novel Bacterial Topoisomerase Inhibitors with Efflux Pump Inhibitors and Other Agents Against Gram-Negative Bacteria
Abstract
1. Introduction
2. Results
2.1. Intrinsic Antibacterial Activity of NBTIs
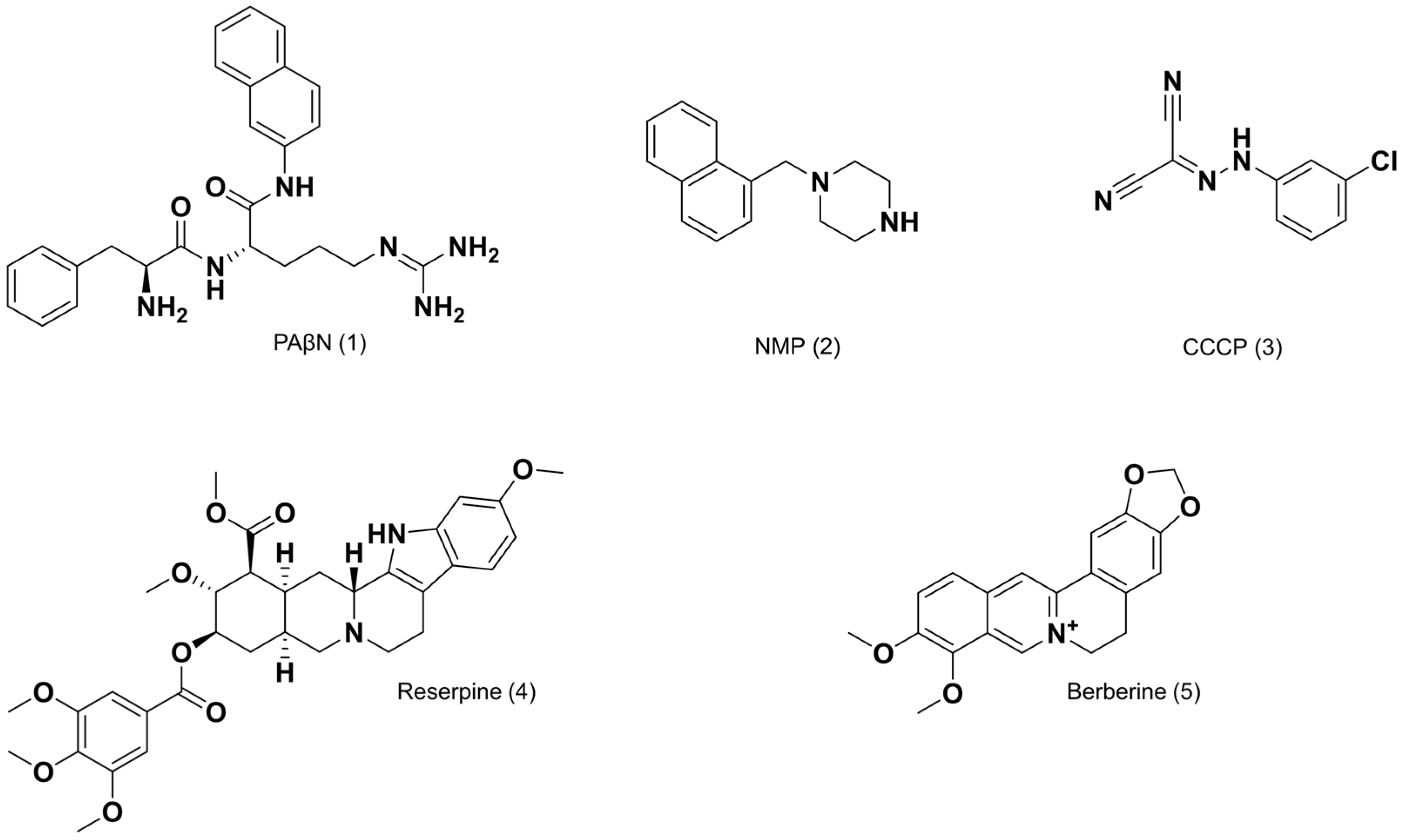
2.2. EPI Potentiation of NBTI Antibacterial Activity in Various Gram-Negative Bacteria
2.3. ACI and NBTI Checkerboard Assay Results
2.4. Inhibition of A. baumannii Biofilm Formation and Elimination of Mature Biofilms
3. Discussion
4. Materials and Methods
4.1. Bacterial Strains
4.2. Chemicals and Media
4.3. Determination of MIC—Susceptibility Testing
4.4. Determination of MPCn
4.5. Checkerboard Assay and the Determination of FIC Index
4.6. Biofilm Formation Inhibition Assay
4.7. Mature Biofilm Disruption Assay
4.8. Potentiation of Compounds’ Antibiofilm Activity with Efflux Pump Inhibitors
5. Conclusions
Supplementary Materials
Author Contributions
Funding
Institutional Review Board Statement
Informed Consent Statement
Data Availability Statement
Conflicts of Interest
References
- Antimicrobial Resistance Collaborators. Global Burden of Bacterial Antimicrobial Resistance in 2019: A Systematic Analysis. Lancet 2022, 399, 629–655. [Google Scholar] [CrossRef] [PubMed]
- De Oliveira, D.M.P.; Forde, B.M.; Kidd, T.J.; Harris, P.N.A.; Schembri, M.A.; Beatson, S.A.; Paterson, D.L.; Walker, M.J. Antimicrobial Resistance in ESKAPE Pathogens. Clin. Microbiol. Rev. 2020, 33, 10–1128. [Google Scholar] [CrossRef] [PubMed]
- WHO Publishes List of Bacteria for Which New Antibiotics Are Urgently Needed. Available online: https://www.who.int/news/item/27-02-2017-who-publishes-list-of-bacteria-for-which-new-antibiotics-are-urgently-needed (accessed on 21 August 2023).
- Blair, J.M.A.; Webber, M.A.; Baylay, A.J.; Ogbolu, D.O.; Piddock, L.J.V. Molecular Mechanisms of Antibiotic Resistance. Nat. Rev. Microbiol. 2014, 13, 42–51. [Google Scholar] [CrossRef]
- Reygaert, W.C. An Overview of the Antimicrobial Resistance Mechanisms of Bacteria. AIMS Microbiol. 2018, 4, 482. [Google Scholar] [CrossRef]
- Høiby, N.; Bjarnsholt, T.; Moser, C.; Bassi, G.L.; Coenye, T.; Donelli, G.; Hall-Stoodley, L.; Holá, V.; Imbert, C.; Kirketerp-Møller, K.; et al. ESCMID Guideline for the Diagnosis and Treatment of Biofilm Infections 2014. Clin. Microbiol. Infect. 2015, 21, S1–S25. [Google Scholar] [CrossRef]
- Lewis, K. Multidrug Tolerance of Biofilms and Persister Cells. Curr. Top. Microbiol. Immunol. 2008, 322, 107–131. [Google Scholar] [CrossRef] [PubMed]
- Santajit, S.; Indrawattana, N. Mechanisms of Antimicrobial Resistance in ESKAPE Pathogens. Biomed Res. Int. 2016, 2016, 2475067. [Google Scholar] [CrossRef] [PubMed]
- Masi, M.; Réfregiers, M.; Pos, K.M.; Pagès, J.M. Mechanisms of Envelope Permeability and Antibiotic Influx and Efflux in Gram-Negative Bacteria. Nat. Microbiol. 2017, 2, 17001. [Google Scholar] [CrossRef]
- Nikaido, H. Molecular Basis of Bacterial Outer Membrane Permeability Revisited. Microbiol. Mol. Biol. Rev. 2003, 67, 593–656. [Google Scholar] [CrossRef]
- Stewart, P.S.; Costerton, J.W. Antibiotic Resistance of Bacteria in Biofilms. Lancet 2001, 358, 135–138. [Google Scholar] [CrossRef]
- Pao, S.S.; Paulsen, I.T.; Saier, M.H., Jr. Major Facilitator Superfamily. Microbiol. Mol. Biol. Rev. 1998, 62, 1. [Google Scholar] [CrossRef]
- Tseng, T.T.; Gratwick, K.S.; Kollman, J.; Park, D.; Nies, D.H.; Goffeau, A.; Saier, M.H. The RND Permease Superfamily: An Ancient, Ubiquitous and Diverse Family That Includes Human Disease and Development Proteins. J. Mol. Microbiol. Biotechnol. 1999, 1, 107–125. [Google Scholar]
- Li, X.Z.; Nikaido, H. Efflux-Mediated Drug Resistance in Bacteria. Drugs 2004, 64, 159–204. [Google Scholar] [CrossRef]
- Poole, K. Efflux-Mediated Antimicrobial Resistance. J. Antimicrob. Chemother. 2005, 56, 20–51. [Google Scholar] [CrossRef]
- Piddock, L.J.V. Clinically Relevant Chromosomally Encoded Multidrug Resistance Efflux Pumps in Bacteria. Clin. Microbiol. Rev. 2006, 19, 382. [Google Scholar] [CrossRef]
- Stavri, M.; Piddock, L.J.V.; Gibbons, S. Bacterial Efflux Pump Inhibitors from Natural Sources. J. Antimicrob. Chemother. 2007, 59, 1247–1260. [Google Scholar] [CrossRef]
- Compagne, N.; Vieira Da Cruz, A.; Müller, R.T.; Hartkoorn, R.C.; Flipo, M.; Pos, K.M. Update on the Discovery of Efflux Pump Inhibitors against Critical Priority Gram-Negative Bacteria. Antibiotics 2023, 12, 180. [Google Scholar] [CrossRef]
- Pagès, J.M.; Masi, M.; Barbe, J. Inhibitors of Efflux Pumps in Gram-Negative Bacteria. Trends Mol. Med. 2005, 11, 382–389. [Google Scholar] [CrossRef]
- Marquez, B. Bacterial Efflux Systems and Efflux Pumps Inhibitors. Biochimie 2005, 87, 1137–1147. [Google Scholar] [CrossRef]
- Mahamoud, A.; Chevalier, J.; Alibert-Franco, S.; Kern, W.V.; Pagès, J.M. Antibiotic Efflux Pumps in Gram-Negative Bacteria: The Inhibitor Response Strategy. J. Antimicrob. Chemother. 2007, 59, 1223–1229. [Google Scholar] [CrossRef]
- Lomovskaya, O.; Bostian, K.A. Practical Applications and Feasibility of Efflux Pump Inhibitors in the Clinic—A Vision for Applied Use. Biochem. Pharmacol. 2006, 71, 910–918. [Google Scholar] [CrossRef] [PubMed]
- Renau, T.E.; Léger, R.; Flamme, E.M.; Sangalang, J.; She, M.W.; Yen, R.; Gannon, C.L.; Griffith, D.; Chamberland, S.; Lomovskaya, O.; et al. Inhibitors of Efflux Pumps in Pseudomonas Aeruginosa Potentiate the Activity of the Fluoroquinolone Antibacterial Levofloxacin. J. Med. Chem. 1999, 42, 4928–4931. [Google Scholar] [CrossRef]
- Lomovskaya, O.; Warren, M.S.; Lee, A.; Galazzo, J.; Fronko, R.; Lee, M.; Blais, J.; Cho, D.; Chamberland, S.; Renau, T.; et al. Identification and Characterization of Inhibitors of Multidrug Resistance Efflux Pumps in Pseudomonas Aeruginosa: Novel Agents for Combination Therapy. Antimicrob. Agents Chemother. 2001, 45, 105. [Google Scholar] [CrossRef] [PubMed]
- Coban, A.Y.; Ekinci, B.; Durupinar, B. A Multidrug Efflux Pump Inhibitor Reduces Fluoroquinolone Resistance in Pseudomonas Aeruginosa Isolates. Chemotherapy 2004, 50, 22–26. [Google Scholar] [CrossRef]
- Samosorn, S.; Bremner, J.B.; Ball, A.; Lewis, K. Synthesis of Functionalized 2-Aryl-5-Nitro-1H-Indoles and Their Activity as Bacterial NorA Efflux Pump Inhibitors. Bioorg. Med. Chem. 2006, 14, 857–865. [Google Scholar] [CrossRef] [PubMed]
- Lamut, A.; Peterlin Mašič, L.; Kikelj, D.; Tomašič, T. Efflux Pump Inhibitors of Clinically Relevant Multidrug Resistant Bacteria. Med. Res. Rev. 2019, 39, 2460–2504. [Google Scholar] [CrossRef]
- Reza, A.; Mark Sutton, J.; Rahman, K.M. Effectiveness of Efflux Pump Inhibitors as Biofilm Disruptors and Resistance Breakers in Gram-Negative (ESKAPEE) Bacteria. Antibiotics 2019, 8, 229. [Google Scholar] [CrossRef] [PubMed]
- Zechini, B.; Versace, I. Inhibitors of Multidrug Resistant Efflux Systems in Bacteria. Recent Pat. Anti-Infect. Drug Discov. 2009, 4, 37–50. [Google Scholar] [CrossRef]
- Donlan, R.M. Biofilms: Microbial Life on Surfaces. Emerg. Infect. Dis. 2002, 8, 881. [Google Scholar] [CrossRef]
- Roy, R.; Tiwari, M.; Donelli, G.; Tiwari, V. Strategies for Combating Bacterial Biofilms: A Focus on Anti-Biofilm Agents and Their Mechanisms of Action. Virulence 2018, 9, 522. [Google Scholar] [CrossRef]
- Desai, J.; Sachchidanand, S.; Kumar, S.; Sharma, R. Novel Bacterial Topoisomerase Inhibitors (NBTIs)—A Comprehensive Review. Eur. J. Med. Chem. Rep. 2021, 3, 100017. [Google Scholar] [CrossRef]
- Charrier, C.; Salisbury, A.M.; Savage, V.J.; Duffy, T.; Moyo, E.; Chaffer-Malam, N.; Ooi, N.; Newman, R.; Cheung, J.; Metzger, R.; et al. Novel Bacterial Topoisomerase Inhibitors with Potent Broad-Spectrum Activity against Drug-Resistant Bacteria. Antimicrob. Agents Chemother. 2017, 61. [Google Scholar] [CrossRef]
- Aldred, K.J.; Kerns, R.J.; Osheroff, N. Mechanism of Quinolone Action and Resistance. Biochemistry 2014, 53, 1565–1574. [Google Scholar] [CrossRef] [PubMed]
- Khan, T.; Sankhe, K.; Suvarna, V.; Sherje, A.; Patel, K.; Dravyakar, B. DNA Gyrase Inhibitors: Progress and Synthesis of Potent Compounds as Antibacterial Agents. Biomed. Pharmacother. 2018, 103, 923–938. [Google Scholar] [CrossRef]
- Durcik, M.; Nyerges, Á.; Skok, Ž.; Skledar, D.G.; Trontelj, J.; Zidar, N.; Ilaš, J.; Zega, A.; Cruz, C.D.; Tammela, P.; et al. New Dual ATP-Competitive Inhibitors of Bacterial DNA Gyrase and Topoisomerase IV Active against ESKAPE Pathogens. Eur. J. Med. Chem. 2021, 213, 113200. [Google Scholar] [CrossRef]
- Kokot, M.; Weiss, M.; Zdovc, I.; Hrast, M.; Anderluh, M.; Minovski, N. Structurally Optimized Potent Dual-Targeting NBTI Antibacterials with an Enhanced Bifurcated Halogen-Bonding Propensity. ACS Med. Chem. Lett. 2021, 12, 1478–1485. [Google Scholar] [CrossRef]
- Kokot, M.; Weiss, M.; Zdovc, I.; Senerovic, L.; Radakovic, N.; Anderluh, M.; Minovski, N.; Hrast, M. Amide Containing NBTI Antibacterials with Reduced HERG Inhibition, Retained Antimicrobial Activity against Gram-Positive Bacteria and in Vivo Efficacy. Eur. J. Med. Chem. 2023, 250, 115160. [Google Scholar] [CrossRef] [PubMed]
- Kolarič, A.; Kokot, M.; Hrast, M.; Weiss, M.; Zdovc, I.; Trontelj, J.; Žakelj, S.; Anderluh, M.; Minovski, N. A Fine-Tuned Lipophilicity/Hydrophilicity Ratio Governs Antibacterial Potency and Selectivity of Bifurcated Halogen Bond-Forming Nbtis. Antibiotics 2021, 10, 862. [Google Scholar] [CrossRef]
- Kokot, M.; Weiss, M.; Zdovc, I.; Anderluh, M.; Hrast, M.; Minovski, N. Diminishing HERG Inhibitory Activity of Aminopiperidine-Naphthyridine Linked NBTI Antibacterials by Structural and Physicochemical Optimizations. Bioorg. Chem. 2022, 128, 106087. [Google Scholar] [CrossRef]
- Kim, L. In Search of Natural Substrates and Inhibitors of MDR Pumps. J. Mol. Microbiol. Biotechnol. 2001, 3, 247–254. [Google Scholar]
- Bambeke, F.; Pages, J.-M.; Lee, V. Inhibitors of Bacterial Efflux Pumps as Adjuvants in Antibiotic Treatments and Diagnostic Tools for Detection of Resistance by Efflux. Recent Pat. Antiinfect. Drug Discov. 2006, 1, 157–175. [Google Scholar] [CrossRef] [PubMed]
- Bush, K. Synergistic Antibiotic Combinations. Top. Med. Chem. 2018, 25, 69–88. [Google Scholar] [CrossRef]
- Acar, J.F. Antibiotic Synergy and Antagonism. Med. Clin. N. Am. 2000, 84, 1391–1406. [Google Scholar] [CrossRef]
- Renau, T.E.; Léger, R.; Filonova, L.; Flamme, E.M.; Wang, M.; Yen, R.; Madsen, D.; Griffith, D.; Chamberland, S.; Dudley, M.N.; et al. Conformationally-Restricted Analogues of Efflux Pump Inhibitors That Potentiate the Activity of Levofloxacin in Pseudomonas Aeruginosa. Bioorg. Med. Chem. Lett. 2003, 13, 2755–2758. [Google Scholar] [CrossRef]
- Cotman, A.E.; Durcik, M.; Benedetto Tiz, D.; Fulgheri, F.; Secci, D.; Sterle, M.; Možina, Š.; Skok, Ž.; Zidar, N.; Zega, A.; et al. Discovery and Hit-to-Lead Optimization of Benzothiazole Scaffold-Based DNA Gyrase Inhibitors with Potent Activity against Acinetobacter Baumannii and Pseudomonas Aeruginosa. J. Med. Chem. 2023, 66, 1380–1425. [Google Scholar] [CrossRef]
- Cotman, A.E.; Fulgheri, F.; Piga, M.; Peršolja, P.; Benedetto Tiz, D.; Skok, Ž.; Durcik, M.; Sterle, M.; Dernovšek, J.; Cruz, C.D.; et al. New N-Phenylpyrrolamide Inhibitors of DNA Gyrase with Improved Antibacterial Activity. RSC Adv. 2024, 14, 28423–28454. [Google Scholar] [CrossRef] [PubMed]
- Durcik, M.; Cotman, A.E.; Toplak, Ž.; Možina, Š.; Skok, Ž.; Szili, P.E.; Czikkely, M.; Maharramov, E.; Vu, T.H.; Piras, M.V.; et al. New Dual Inhibitors of Bacterial Topoisomerases with Broad-Spectrum Antibacterial Activity and In Vivo Efficacy against Vancomycin-Intermediate Staphylococcus Aureus. J. Med. Chem. 2023, 66, 3968–3994. [Google Scholar] [CrossRef]
- The European Committee on Antimicrobial Susceptibility Testing. Breakpoint Tables for Interpretation of MICs and Zone Diameters. Version 14.0. 2024. Available online: https://www.eucast.org/ (accessed on 10 July 2024).
- Clinical Laboratory Standards Institute. M07 Ed12|Methods for Dilution Antimicrobial Susceptibility Tests for Bacteria That Grow Aerobically, 12th Edition. Available online: https://clsi.org/standards/products/microbiology/documents/m07/ (accessed on 10 July 2024).
- Merritt, J.H.; Kadouri, D.E.; O’Toole, G.A. Growing and Analyzing Static Biofilms. Curr. Protoc. Microbiol. 2005, 22, 1B-1. [Google Scholar] [CrossRef]




| Bacterial Strain | MIC (µg/mL) | ||||||||||
|---|---|---|---|---|---|---|---|---|---|---|---|
| EPI | NBTI | ACI | |||||||||
| 1 | 2 | 3 | 4 | 5 | 6 | 7 | 8 | 9 | 10 | 11 | |
| E. coli (ATCC 25922) | >128 | >256 | 32 | >128 | >64 | 0.5–1 | 2 | 128 | 8 | 1 | 8 |
| E. coli D22 a | ND | ND | ND | ND | ND | 0.25 | 0.016 | 128 | ND | ND | ND |
| E. coli N43 (CGSC# 5583) b | ND | ND | ND | ND | ND | 0.008 | <0.008 | 0.031 | ND | ND | ND |
| P. aeruginosa RDK 184 | >128 | >256 | 128 | >128 | >64 | 16 | 16 | >128 | 16 | 1 | 8 |
| K. pneumoniae RDK 070A | >128 | >256 | 64 | >128 | >64 | 2 | 8 | >128 | 16–32 | 2 | 16 |
| A. baumannii 8C6 (GES-14) | >128 | >256 | ND | ND | ND | 0.125–0.5 | 0.5–1 | >128 | 8–16 | 1 | 4 |
| Bacterial Strain | Cmpd | MIC of NBTI in the Presence of PAβN (µg/mL) | MPC8 b (µg/mL) | |||||||||
|---|---|---|---|---|---|---|---|---|---|---|---|---|
| PAβN a Concentration (µg/mL) | ||||||||||||
| 0 | 0.5 | 1 | 2 | 4 | 8 | 16 | 32 | 64 | 128 | |||
| E. coli | 6 | 1 | 0.5 | 0.5 | 0.25 | 0.125 | 0.063 | 0.031 | 0.016 | 0.016 | 0.016 | 4 |
| 7 | 2 | 2 | 2 | 1 | 0.5 | 0.25 | 0.063 | 0.031 | 0.031 | 0.031 | 8 | |
| P. aeruginosa | 6 | 16 | 8 | 8 | 8 | 8 | 8 | 1 | 0.25 | 0.063 | 0.031 | 16 |
| 7 | 16 | 8 | 8 | 8 | 8 | 8 | 2 | 0.5 | 0.25 | 0.125 | 16 | |
| 8 | >128 | >128 | >128 | >128 | >128 | >128 | >128 | 8 | 2 | 2 | 16–32 | |
| K. pneumoniae | 6 | 2 | 2 | 2 | 2 | 1 | 0.125 | 0.063 | 0.031 | 0.031 | 0.016 | 8 |
| 7 | 8 | 8 | 8 | 8 | 2 | 1 | 0.25 | 0.125 | 0.063 | 0.031 | 8 | |
| 8 | >128 | >128 | >128 | >128 | >128 | >128 | >128 | 2 | 2 | 2 | 16–32 | |
| A. baumannii | 6 | 0.25 | 0.063 | 0.063 | 0.031 | 0.031 | 0.031 | 0.016 | 0.016 | 0.016 | 0.016 | 2 |
| 7 | 0.5 | 0.5 | 0.5 | 0.5 | 0.25 | 0.25 | 0.125 | 0.063 | 0.031 | 0.031 | 32 | |
| Bacterial Strain | MIC (µg/mL) | |||||||||
|---|---|---|---|---|---|---|---|---|---|---|
| NBTI | ACI | |||||||||
| 6 | 9 | 10 | 11 | |||||||
| I a | C b, 9 | C b, 10 | C b, 11 | I a | C b, 6 | I a | C b, 6 | I a | C b, 6 | |
| E. coli | 0.5 | 0.25 | 0.25 | 0.125 | 8 | 4 | 1 | 0.5 | 8 | 4 |
| P. aeruginosa | 16 | 8 | 8 | 8 | 16 | 2 | 1 | 0.5 | 8 | 2 |
| K. pneumoniae | 2–4 | 2 | 2 | 1 | 16–32 | 8 | 2 | 1 | 16 | 8 |
| A. baumannii | 0.125 | 0.063 | 0.063 | 0.063 | 16 | 4 | 1 | 0.25 | 4 | 4 |
| Bacterial Strain | FIC | ||
|---|---|---|---|
| C b, 9 | C b, 10 | C b, 11 | |
| E. coli | 1.000 | 1.000 | 0.750 |
| P. aeruginosa | 0.625 | 1.000 | 0.750 |
| K. pneumoniae | 0.750 | 1.000 | 0.750 |
| A. baumannii | 0.750 | 0.750 | 1.500 |
Disclaimer/Publisher’s Note: The statements, opinions and data contained in all publications are solely those of the individual author(s) and contributor(s) and not of MDPI and/or the editor(s). MDPI and/or the editor(s) disclaim responsibility for any injury to people or property resulting from any ideas, methods, instructions or products referred to in the content. |
© 2024 by the authors. Licensee MDPI, Basel, Switzerland. This article is an open access article distributed under the terms and conditions of the Creative Commons Attribution (CC BY) license (https://creativecommons.org/licenses/by/4.0/).
Share and Cite
Zorman, M.; Kokot, M.; Zdovc, I.; Senerovic, L.; Mandic, M.; Zidar, N.; Cotman, A.E.; Durcik, M.; Peterlin Mašič, L.; Minovski, N.; et al. Enhancing Antibacterial Efficacy: Combining Novel Bacterial Topoisomerase Inhibitors with Efflux Pump Inhibitors and Other Agents Against Gram-Negative Bacteria. Antibiotics 2024, 13, 1081. https://doi.org/10.3390/antibiotics13111081
Zorman M, Kokot M, Zdovc I, Senerovic L, Mandic M, Zidar N, Cotman AE, Durcik M, Peterlin Mašič L, Minovski N, et al. Enhancing Antibacterial Efficacy: Combining Novel Bacterial Topoisomerase Inhibitors with Efflux Pump Inhibitors and Other Agents Against Gram-Negative Bacteria. Antibiotics. 2024; 13(11):1081. https://doi.org/10.3390/antibiotics13111081
Chicago/Turabian StyleZorman, Maša, Maja Kokot, Irena Zdovc, Lidija Senerovic, Mina Mandic, Nace Zidar, Andrej Emanuel Cotman, Martina Durcik, Lucija Peterlin Mašič, Nikola Minovski, and et al. 2024. "Enhancing Antibacterial Efficacy: Combining Novel Bacterial Topoisomerase Inhibitors with Efflux Pump Inhibitors and Other Agents Against Gram-Negative Bacteria" Antibiotics 13, no. 11: 1081. https://doi.org/10.3390/antibiotics13111081
APA StyleZorman, M., Kokot, M., Zdovc, I., Senerovic, L., Mandic, M., Zidar, N., Cotman, A. E., Durcik, M., Peterlin Mašič, L., Minovski, N., Anderluh, M., & Hrast Rambaher, M. (2024). Enhancing Antibacterial Efficacy: Combining Novel Bacterial Topoisomerase Inhibitors with Efflux Pump Inhibitors and Other Agents Against Gram-Negative Bacteria. Antibiotics, 13(11), 1081. https://doi.org/10.3390/antibiotics13111081

