Therapeutic Drug Monitoring of Dalbavancin in Real Life: A Two-Year Experience
Abstract
:1. Introduction
2. Results
2.1. Patients’ Characteristics
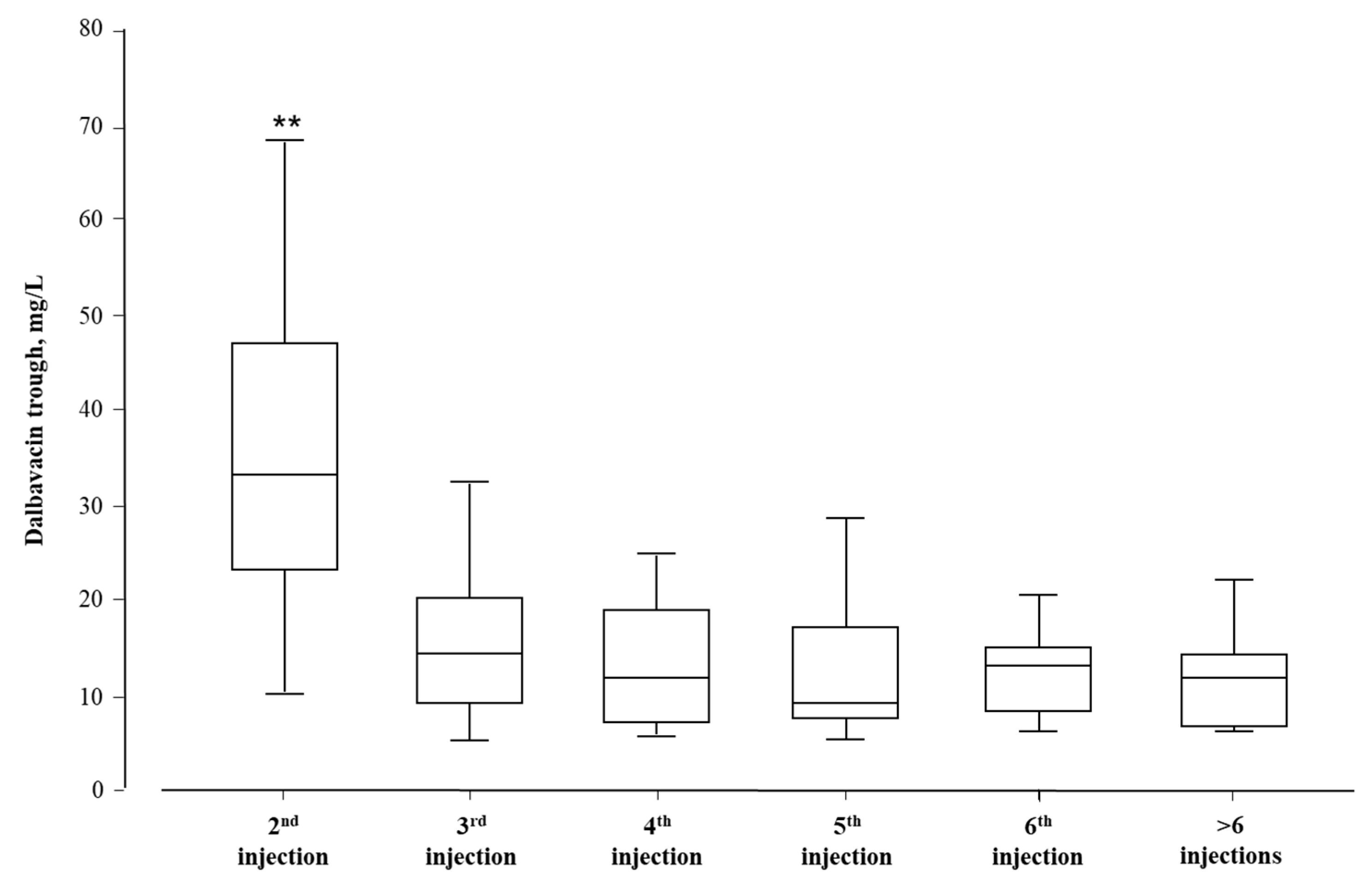
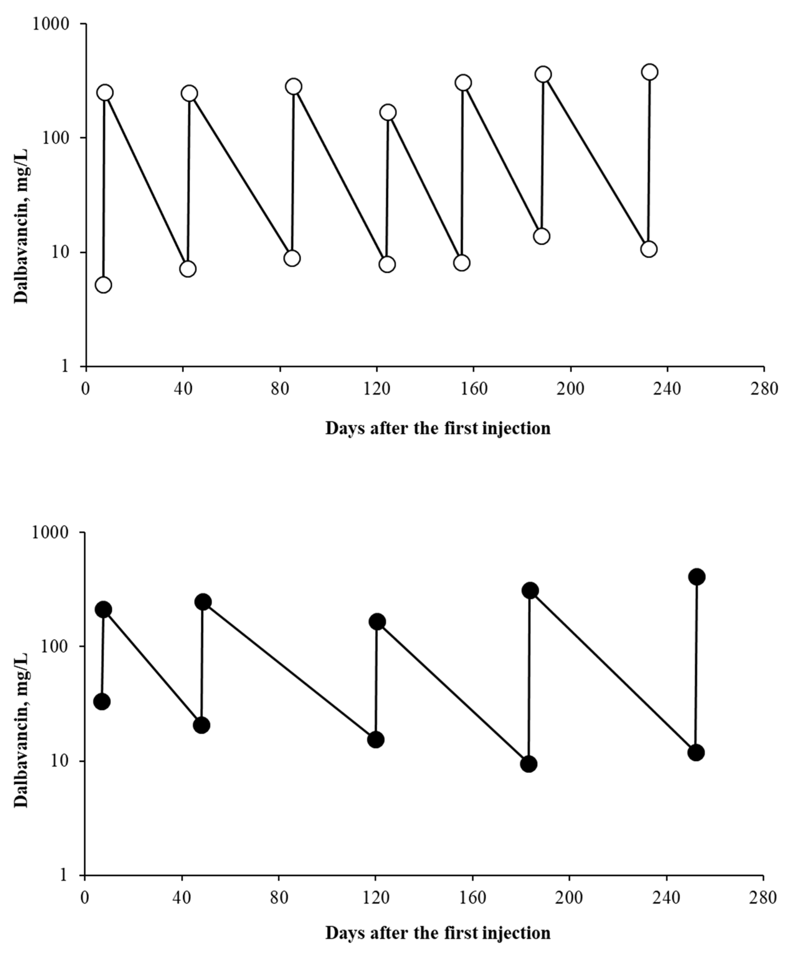
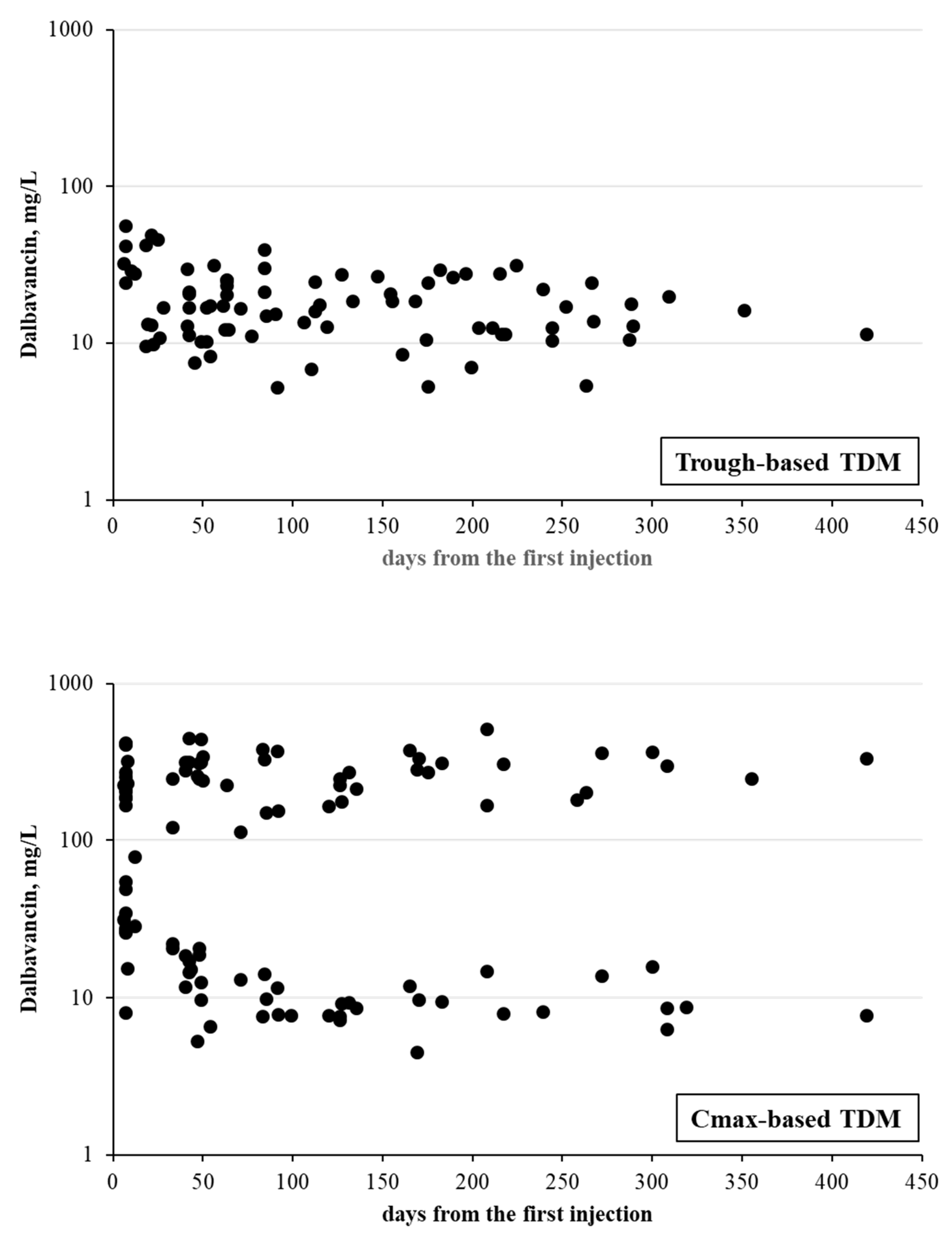
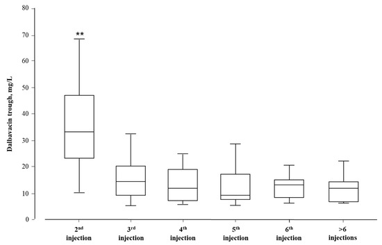
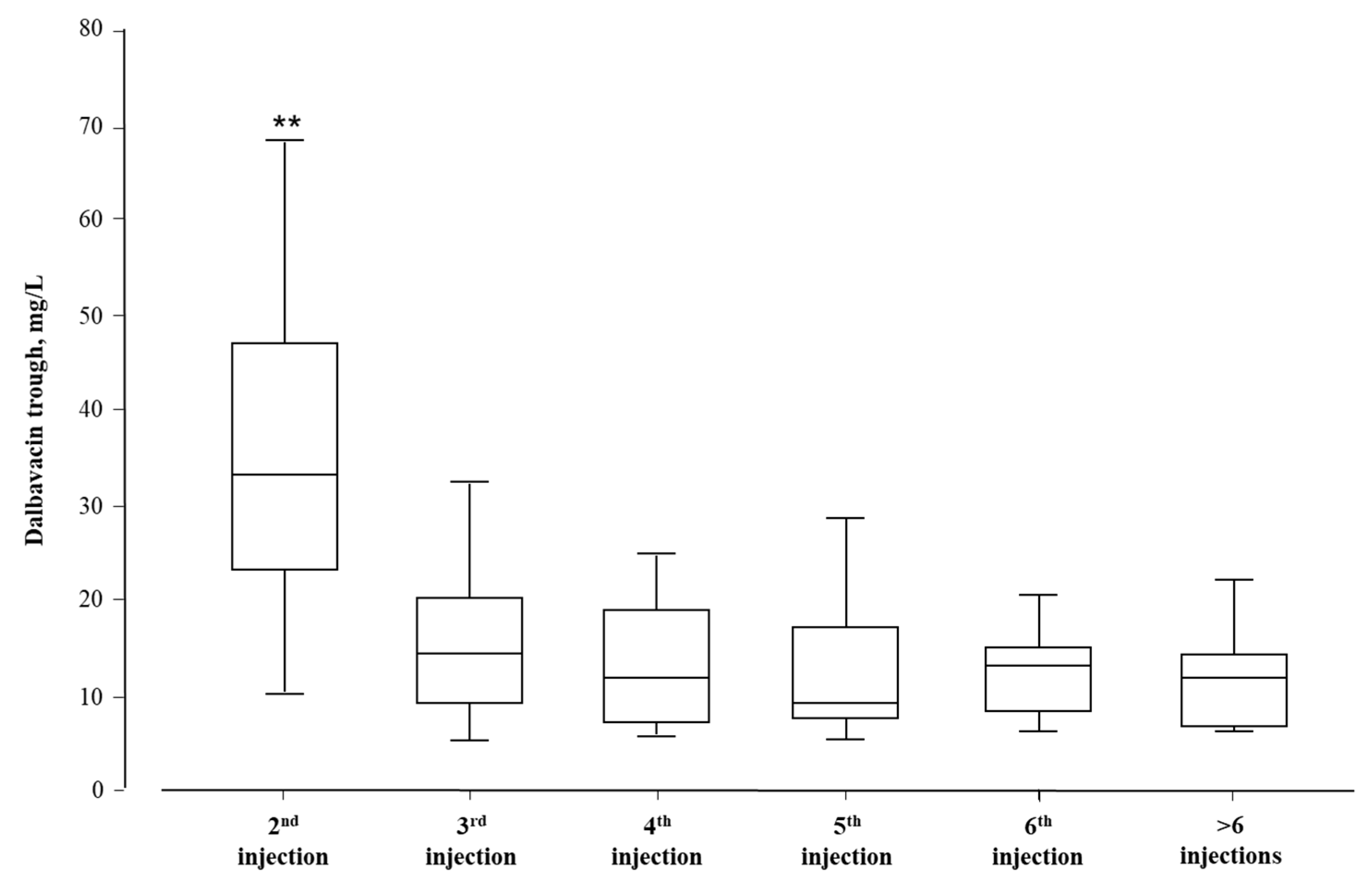
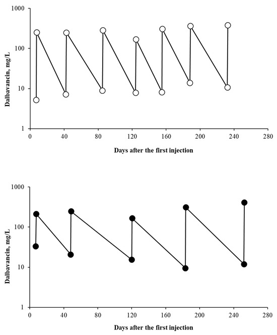
2.2. Overall Distribution of Dalbavancin Concentrations
2.3. TDM of Dalbavancin for Osteoarticular Infections
3. Materials and Methods
3.1. Study Population and Study Design
3.2. TDM of Dalbavancin in Patients with Osteoarticular Infections
3.3. Assessment of Plasma Dalbavancin Concentrations
3.4. Statistical Analyses
4. Discussion
5. Conclusions
Author Contributions
Funding
Institutional Review Board Statement
Informed Consent Statement
Data Availability Statement
Acknowledgments
Conflicts of Interest
References
- De Vito, A.; Fiore, V.; Colpani, A.; Zauli, B.; Fanelli, C.; Tiseo, G.; Occhineri, S.; Babudieri, S.; Falcone, M.; Madeddu, G. The current and future off-label uses of dalbavancin: A narrative review. Eur. Rev. Med. Pharmacol. Sci. 2023, 27, 1222–1238. [Google Scholar] [PubMed]
- Molina, K.C.; Miller, M.A.; Mueller, S.W.; Van Matre, E.T.; Krsak, M.; Kiser, T.H. Clinical Pharmacokinetics and Pharmacodynamics of Dalbavancin. Clin. Pharmacokinet. 2022, 61, 363–374. [Google Scholar] [CrossRef] [PubMed]
- Galluzzo, M.; D’Adamio, S.; Bianchi, L.; Talamonti, M. Pharmacokinetic drug evaluation of dalbavancin for the treatment of skin infections. Expert. Opin. Drug Metab. Toxicol. 2018, 14, 197–206. [Google Scholar] [CrossRef] [PubMed]
- Soriano, A.; Rossolini, G.M.; Pea, F. The role of dalbavancin in the treatment of acute bacterial skin and skin structure infections (ABSSSIs). Expert. Rev. Anti Infect. Ther. 2020, 18, 415–422. [Google Scholar] [CrossRef] [PubMed]
- Lovatti, S.; Tiecco, G.; Mulé, A.; Rossi, L.; Sforza, A.; Salvi, M.; Signorini, L.; Castelli, F.; Quiros-Roldan, E. Dalbavancin in Bone and Joint Infections: A Systematic Review. Pharmaceuticals 2023, 16, 1005. [Google Scholar] [CrossRef] [PubMed]
- Ruiz-Sancho, A.; Núñez-Núñez, M.; Castelo-Corral, L.; Martínez-Marcos, F.J.; Lois-Martínez, N.; Abdul-Aziz, M.H.; Vinuesa-García, D. Dalbavancin as suppressive antibiotic therapy in patients with prosthetic infections: Efficacy and safety. Front. Pharmacol. 2023, 14, 1185602. [Google Scholar] [CrossRef] [PubMed]
- Simon, S.; Frank, B.J.H.; Hartmann, S.; Hinterhuber, L.; Reitsamer, M.; Aichmair, A.; Dominkus, M.; Söderquist, B.; Hofstaetter, J.G. Dalbavancin in Gram-positive periprosthetic joint infections. J. Antimicrob. Chemother. 2022, 77, 2274–2277. [Google Scholar] [CrossRef] [PubMed]
- Lefort, A.; Pavie, J.; Garry, L.; Chau, F.; Fantin, B. Activities of dalbavancin in vitro and in a rabbit model of experimental endocarditis due to Staphylococcus aureus with or without reduced susceptibility to vancomycin and teicoplanin. Antimicrob. Agents Chemother. 2004, 48, 1061–1064. [Google Scholar] [CrossRef]
- Tobudic, S.; Forstner, C.; Burgmann, H.; Lagler, H.; Ramharter, M.; Steininger, C.; Vossen, M.G.; Winkler, S.; Thalhammer, F. Dalbavancin as Primary and Sequential Treatment for Gram-Positive Infective Endocarditis: 2-Year Experience at the General Hospital of Vienna. Clin. Infect. Dis. 2018, 67, 795–798. [Google Scholar] [CrossRef]
- Fazili, T.; Bansal, E.; Garner, D.; Gomez, M.; Stornelli, N. Dalbavancin as sequential therapy for infective endocarditis due to Gram-positive organisms: A review. Int. J. Antimicrob. Agents 2023, 61, 106749. [Google Scholar] [CrossRef]
- Suárez, M.; Pérez-Landeiro, A.; Sanjurjo, A.; Lima, O.; Sousa, A.; López, A.; Martínez- Lamas, L.; Cabrera, X.; Rubianes, M.; Pérez-Rodríguez, M.T. Comparison of Dalbavancin with standard of care in the management of infective endocarditis: Efficacy, safety, and cost analysis. Int. J. Infect. Dis. 2024, 138, 41–45. [Google Scholar] [CrossRef] [PubMed]
- Cojutti, P.G.; Rinaldi, M.; Gatti, M.; Tedeschi, S.; Viale, P.; Pea, F. Usefulness of therapeutic drug monitoring in estimating the duration of dalbavancin optimal target attainment in staphylococcal osteoarticular infections: A proof-of-concept. Int. J. Antimicrob. Agents 2021, 58, 106445. [Google Scholar] [CrossRef] [PubMed]
- Gatti, M.; Viale, P.; Cojutti, P.G.; Zamparini, E.; De Paolis, M.; Giannella, M.; Pea, F.; Tedeschi, S. A descriptive case series of the relationship between maintenance of conservative PK/PD efficacy thresholds of dalbavancin over time and clinical outcome in long-term treatment of staphylococcal osteoarticular infections. Int. J. Antimicrob. Agents 2023, 61, 106773. [Google Scholar] [CrossRef] [PubMed]
- Cojutti, P.G.; Tedeschi, S.; Gatti, M.; Zamparini, E.; Meschiari, M.; Siega, P.D.; Mazzitelli, M.; Soavi, L.; Binazzi, R.; Erne, E.M.; et al. Population Pharmacokinetic and Pharmacodynamic Analysis of Dalbavancin for Long-Term Treatment of Subacute and/or Chronic Infectious Diseases: The Major Role of Therapeutic Drug Monitoring. Antibiotics 2022, 11, 996. [Google Scholar] [CrossRef] [PubMed]
- Cojutti, P.G.; Rinaldi, M.; Zamparini, E.; Rossi, N.; Tedeschi, S.; Conti, M.; Pea, F.; Viale, P. Population pharmacokinetics of dalbavancin and dosing consideration for optimal treatment of adult patients with staphylococcal osteoarticular infections. Antimicrob. Agents Chemother. 2023, 65, e02260-20. [Google Scholar] [CrossRef] [PubMed]
- Bhamidipati, R.K.; Syed, M.; Mullangi, R.; Srinivas, N. Area under the curve predictions of dalbavancin, a new lipoglycopeptide agent, using the end of intravenous infusion concentration data point by regression analyses such as linear, log-linear and power models. Xenobiotica 2018, 48, 148–156. [Google Scholar] [CrossRef]
- Stroffolini, G.; De Nicolò, A.; Gaviraghi, A.; Mula, J.; Cariti, G.; Scabini, S.; Manca, A.; Cusato, J.; Corcione, S.; Bonora, S.; et al. Clinical Effectiveness and Pharmacokinetics of Dalbavancin in Treatment-Experienced Patients with Skin, Osteoarticular, or Vascular Infections. Pharmaceutics 2022, 14, 1882. [Google Scholar] [CrossRef]
- Senneville, E.; Cuervo, G.; Gregoire, M.; Hidalgo-Tenorio, C.; Jehl, F.; Miro, J.M.; Seaton, A.; Söderquist, B.; Soriano, A.; Thalhammer, F.; et al. Expert Opinion on Dose Regimen and Therapeutic Drug Monitoring for Long-Term Use of Dalbavancin: Expert Review Panel. Int. J. Antimicrob. Agents 2023, 62, 106960. [Google Scholar] [CrossRef]
- Corona, A.; Agarossi, A.; Veronese, A.; Cattaneo, D.; D’Avolio, A. Therapeutic Drug Monitoring of Dalbavancin Treatment in Severe Necrotizing Fasciitis in 3 Critically Ill Patients: A Grand Round. Ther. Drug Monit. 2020, 42, 165–168. [Google Scholar] [CrossRef]
- De Nicolò, A.; Stroffolini, G.; Antonucci, M.; Mula, J.; De Vivo, E.D.; Cusato, J.; Palermiti, A.; Cariti, G.; Di Perri, G.; Corcione, S.; et al. Long-Term Pharmacokinetics of Dalbavancin in ABSSSI and Osteoarticular Settings: A Real-Life Outpatient Context. Biomedicines 2021, 9, 1288. [Google Scholar] [CrossRef]
- Hervochon, C.; Hennart, B.; Leroy, A.G.; Corvec, S.; Boutoille, D.; Senneville, É.; Sotto, A.; Illes, G.; Chavanet, P.; Dubée, V.; et al. Dalbavancin plasma concentrations in 133 patients: A PK/PD observational study. J. Antimicrob. Chemother. 2023, 78, 2919–2925. [Google Scholar] [CrossRef] [PubMed]
- Cattaneo, D.; Corona, A.; De Rosa, F.G.; Gervasoni, C.; Kocic, D.; Marriott, D.J. The management of anti-infective agents in intensive care units: The potential role of a ‘fast’ pharmacology. Expert. Rev. Clin. Pharmacol. 2020, 13, 355–366. [Google Scholar] [CrossRef] [PubMed]



| Dalbavancin Injection | Log-Linear Regression Model | Correlation Coefficient (r) | Days >4 mg/L | Days >8 mg/L |
|---|---|---|---|---|
| 2nd injection | Y = 189.8 × e−0.074 | 0.878 | 52 | 42 |
| 3rd injection | Y = 221.6 × e−0.077 | 0.908 | 52 | 43 |
| 4th injection | Y = 136.7 × e−0.055 | 0.823 | 59 | 48 |
| 5th injection | Y = 130.3 × e−0.062 | 0.807 | 56 | 45 |
| 6th injection | Y = 194.5 × e−0.073 | 0.846 | 53 | 44 |
| >6 injections | Y = 167.6 × e−0.072 | 0.837 | 52 | 42 |
| Overall | Y = 177.2 × e−0.070 | 0.878 | 54 | 44 |
| Characteristics | Overall | Cmin-Based TDM | Cmax-Based TDM |
|---|---|---|---|
| Patients, n | 37 | 19 | 18 |
| Females, % | 35% | 47% | 22% * |
| Age, years | 67 ± 14 | 64 ± 13 | 73 ± 12 ** |
| Days of dalbavancin therapy | 120 ± 100 | 130 ± 97 | 106 ± 102 |
| Maximum drug treatment, days | 419 | 419 | 419 |
| Dalbavancin dose, mg | 1436 ± 201 | 1460 ± 198 | 1419 ± 185 |
| Dalbavancin injections, n | 6.5 ± 2.5 | 7.3 ± 2.6 | 5.2 ± 1.8 ** |
| Days between injections | 34 ± 14 | 29 ± 14 | 40 ± 10 * |
| Samples < 4 mg/L, % | 0 | 0 | 0 |
| Samples < 8 mg/L, % | 8.7% | 9.3% | 7.7% |
| Cmin-Based TDM | |||
|---|---|---|---|
| Dalbavancin Cmin, mg/L (CV%) | Days from the 1st Injection | Days from the Last Injection (range) | |
| 2nd injection | 32 ± 14 (45%) | 10 ± 6 | 10 ± 6 (6–12) |
| 3rd injection | 14 ± 8 (57%) | 37 ± 14 | 33 ± 20 (14–50) |
| 4th injection | 15 ± 7 (43%) | 72 ± 30 | 29 ± 11 (20–35) |
| 5th injection | 17 ± 10 (56%) | 93 ± 27 | 32 ± 20 (14–57) |
| 6th injection | 15 ± 6 (41%) | 120 ± 30 | 28 ± 33 (21–42) |
| ≥6 injections | 19 ± 7 (37%) | 236 ± 63 | 31 ± 15 (14–43) |
| Cmax-based TDM | |||
| Dalbavancin Cmin, mg/L (CV%) | Days from the 1st injection | Days from the last injection (range) | |
| 2nd injection | 30 ± 13 (44%) | 8 ± 2 | 8 ± 2 (6–12) |
| 3rd injection | 16 ± 7 (46%) | 43 ± 6 | 36 ± 7 (20–47) |
| 4th injection | 11 ± 4 (40%) | 100 ± 46 * | 41± 3 ** (35–44) |
| 5th injection | 8 ± 2 * (21%) | 135 ± 18 ** | 45 ± 13 * (38–72) |
| 6th injection | 10 ± 3 (32%) | 178 ± 9 * | 45 ± 9 ** (39–63) |
| ≥6 injections | 11 ± 4 * (32%) | 297 ± 63 * | 43 ± 10 * (31–64) |
Disclaimer/Publisher’s Note: The statements, opinions and data contained in all publications are solely those of the individual author(s) and contributor(s) and not of MDPI and/or the editor(s). MDPI and/or the editor(s) disclaim responsibility for any injury to people or property resulting from any ideas, methods, instructions or products referred to in the content. |
© 2023 by the authors. Licensee MDPI, Basel, Switzerland. This article is an open access article distributed under the terms and conditions of the Creative Commons Attribution (CC BY) license (https://creativecommons.org/licenses/by/4.0/).
Share and Cite
Cattaneo, D.; Fusi, M.; Colaneri, M.; Fusetti, C.; Genovese, C.; Giorgi, R.; Matone, M.; Merli, S.; Petri, F.; Gori, A. Therapeutic Drug Monitoring of Dalbavancin in Real Life: A Two-Year Experience. Antibiotics 2024, 13, 20. https://doi.org/10.3390/antibiotics13010020
Cattaneo D, Fusi M, Colaneri M, Fusetti C, Genovese C, Giorgi R, Matone M, Merli S, Petri F, Gori A. Therapeutic Drug Monitoring of Dalbavancin in Real Life: A Two-Year Experience. Antibiotics. 2024; 13(1):20. https://doi.org/10.3390/antibiotics13010020
Chicago/Turabian StyleCattaneo, Dario, Marta Fusi, Marta Colaneri, Chiara Fusetti, Camilla Genovese, Riccardo Giorgi, Maddalena Matone, Stefania Merli, Francesco Petri, and Andrea Gori. 2024. "Therapeutic Drug Monitoring of Dalbavancin in Real Life: A Two-Year Experience" Antibiotics 13, no. 1: 20. https://doi.org/10.3390/antibiotics13010020
APA StyleCattaneo, D., Fusi, M., Colaneri, M., Fusetti, C., Genovese, C., Giorgi, R., Matone, M., Merli, S., Petri, F., & Gori, A. (2024). Therapeutic Drug Monitoring of Dalbavancin in Real Life: A Two-Year Experience. Antibiotics, 13(1), 20. https://doi.org/10.3390/antibiotics13010020

