Impact of SARS-CoV-2 Preventive Measures against Healthcare-Associated Infections from Antibiotic-Resistant ESKAPEE Pathogens: A Two-Center, Natural Quasi-Experimental Study in Greece
Abstract
1. Introduction
2. Results
2.1. Affected Patients
2.2. Before–After Pooled Infection Rates
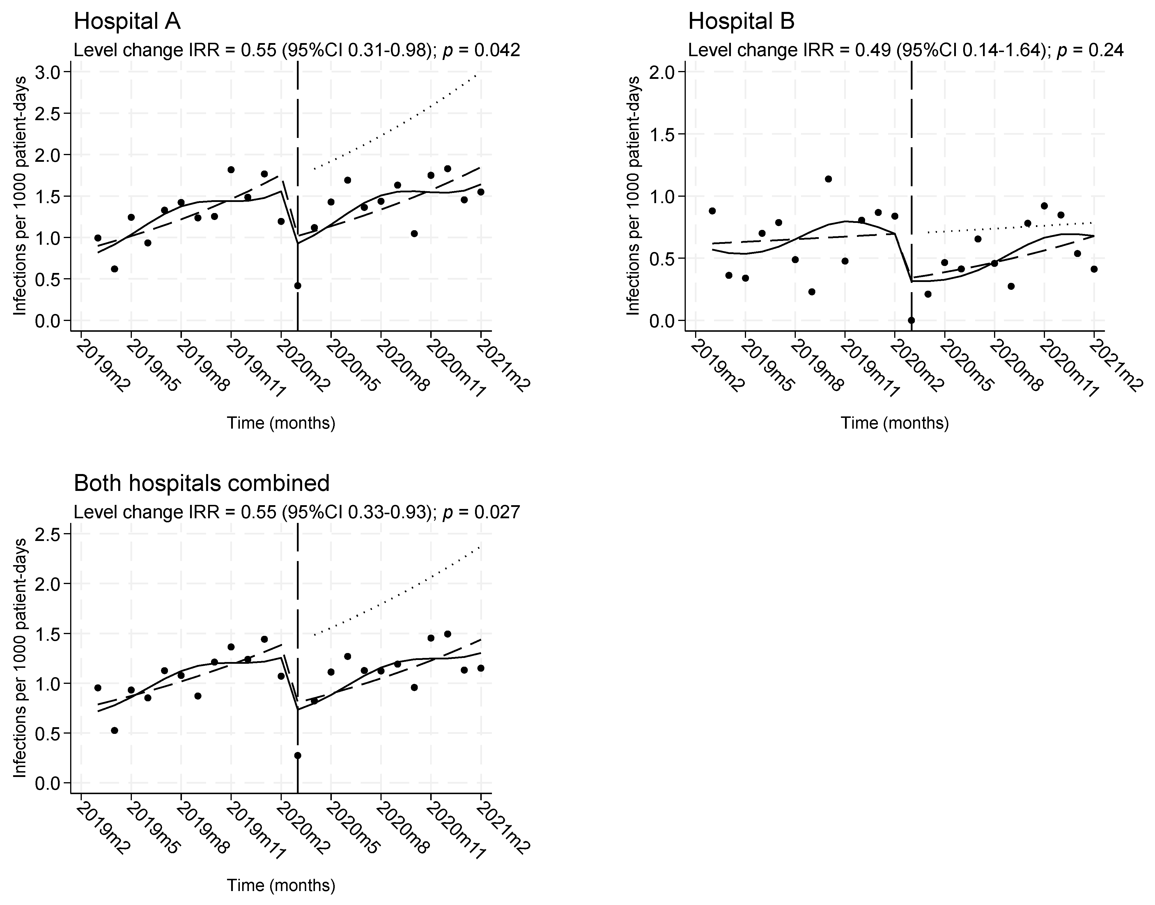
2.3. Temporal Trends and Level Changes in Infection Rates
2.4. ICUs vs. Wards
3. Discussion
4. Materials and Methods
4.1. Study Design
4.2. Setting
4.3. Eligible Patients and Sample Size
4.4. Data Collection
4.5. Microbiology
4.6. Interventions
4.7. Outcomes
4.8. Statistical Methods
4.9. Ethics and Reporting
Supplementary Materials
Author Contributions
Funding
Institutional Review Board Statement
Informed Consent Statement
Data Availability Statement
Conflicts of Interest
References
- Antimicrobial Resistance Collaborators. Global Burden of Bacterial Antimicrobial Resistance in 2019: A Systematic Analysis. Lancet 2022, 399, 629–655. [Google Scholar] [CrossRef]
- De Oliveira, D.M.P.; Forde, B.M.; Kidd, T.J.; Harris, P.N.A.; Schembri, M.A.; Beatson, S.A.; Paterson, D.L.; Walker, M.J. Antimicrobial Resistance in ESKAPE Pathogens. Clin. Microbiol. Rev. 2020, 33, e00181-19. [Google Scholar] [CrossRef]
- Kalpana, S.; Lin, W.-Y.; Wang, Y.-C.; Fu, Y.; Lakshmi, A.; Wang, H.-Y. Antibiotic Resistance Diagnosis in ESKAPE Pathogens-A Review on Proteomic Perspective. Diagnostics 2023, 13, 1014. [Google Scholar] [CrossRef] [PubMed]
- Tacconelli, E.; Carrara, E.; Savoldi, A.; Harbarth, S.; Mendelson, M.; Monnet, D.L.; Pulcini, C.; Kahlmeter, G.; Kluytmans, J.; Carmeli, Y.; et al. Discovery, Research, and Development of New Antibiotics: The WHO Priority List of Antibiotic-Resistant Bacteria and Tuberculosis. Lancet Infect. Dis. 2018, 18, 318–327. [Google Scholar] [CrossRef]
- Tomczyk, S.; Taylor, A.; Brown, A.; de Kraker, M.E.A.; El-Saed, A.; Alshamrani, M.; Hendriksen, R.S.; Jacob, M.; Löfmark, S.; Perovic, O.; et al. Impact of the COVID-19 Pandemic on the Surveillance, Prevention and Control of Antimicrobial Resistance: A Global Survey. J. Antimicrob. Chemother. 2021, 76, 3045–3058. [Google Scholar] [CrossRef]
- Nieuwlaat, R.; Mbuagbaw, L.; Mertz, D.; Burrows, L.L.; Bowdish, D.M.E.; Moja, L.; Wright, G.D.; Schünemann, H.J. Coronavirus Disease 2019 and Antimicrobial Resistance: Parallel and Interacting Health Emergencies. Clin. Infect. Dis. 2021, 72, 1657–1659. [Google Scholar] [CrossRef]
- US Centers for Disease Control and Prevention, National Center for Emerging and Zoonotic Infectious Diseases, Division of Healthcare Quality Promotion. COVID-19: U.S. Impact on Antimicrobial Resistance, Special Report 2022. Available online: https://doi.org/10.15620/cdc:117915 (accessed on 15 April 2023).
- Baker, M.A.; Sands, K.E.; Huang, S.S.; Kleinman, K.; Septimus, E.J.; Varma, N.; Blanchard, J.; Poland, R.E.; Coady, M.H.; Yokoe, D.S.; et al. The Impact of Coronavirus Disease 2019 (COVID-19) on Healthcare-Associated Infections. Clin. Infect. Dis. 2022, 74, 1748–1754. [Google Scholar] [CrossRef] [PubMed]
- Abubakar, U.; Al-Anazi, M.; Alanazi, Z.; Rodríguez-Baño, J. Impact of COVID-19 Pandemic on Multidrug Resistant Gram Positive and Gram Negative Pathogens: A Systematic Review. J. Infect. Public Health 2023, 16, 320–331. [Google Scholar] [CrossRef]
- Langford, B.J.; Soucy, J.-P.R.; Leung, V.; So, M.; Kwan, A.T.H.; Portnoff, J.S.; Bertagnolio, S.; Raybardhan, S.; MacFadden, D.R.; Daneman, N. Antibiotic Resistance Associated with the COVID-19 Pandemic: A Systematic Review and Meta-Analysis. Clin. Microbiol. Infect. 2023, 29, 302–309. [Google Scholar] [CrossRef] [PubMed]
- Yang, X.; Liu, X.; Li, W.; Shi, L.; Zeng, Y.; Xia, H.; Huang, Q.; Li, J.; Li, X.; Hu, B.; et al. Epidemiological Characteristics and Antimicrobial Resistance Changes of Carbapenem-Resistant Klebsiella Pneumoniae and Acinetobacter Baumannii under the COVID-19 Outbreak: An Interrupted Time Series Analysis in a Large Teaching Hospital. Antibiotics 2023, 12, 431. [Google Scholar] [CrossRef]
- Segala, F.V.; Pafundi, P.C.; Masciocchi, C.; Fiori, B.; Taddei, E.; Antenucci, L.; De Angelis, G.; Guerriero, S.; Pastorino, R.; Damiani, A.; et al. Incidence of Bloodstream Infections Due to Multidrug-Resistant Pathogens in Ordinary Wards and Intensive Care Units before and during the COVID-19 Pandemic: A Real-Life, Retrospective Observational Study. Infection 2023, 1–9. [Google Scholar] [CrossRef] [PubMed]
- Gaspari, R.; Spinazzola, G.; Teofili, L.; Avolio, A.W.; Fiori, B.; Maresca, G.M.; Spanu, T.; Nicolotti, N.; De Pascale, G.; Antonelli, M. Protective Effect of SARS-CoV-2 Preventive Measures against ESKAPE and Escherichia Coli Infections. Eur. J. Clin. Investig. 2021, 51, e13687. [Google Scholar] [CrossRef] [PubMed]
- Kritsotakis, E.I.; Kontopidou, F.; Astrinaki, E.; Roumbelaki, M.; Ioannidou, E.; Gikas, A. Prevalence, Incidence Burden, and Clinical Impact of Healthcare-Associated Infections and Antimicrobial Resistance: A National Prevalent Cohort Study in Acute Care Hospitals in Greece. Infect. Drug Resist. 2017, 10, 317–328. [Google Scholar] [CrossRef]
- Polemis, M.; Mandilara, G.; Pappa, O.; Argyropoulou, A.; Perivolioti, E.; Koudoumnakis, N.; Pournaras, S.; Vasilakopoulou, A.; Vourli, S.; Katsifa, H.; et al. COVID-19 and Antimicrobial Resistance: Data from the Greek Electronic System for the Surveillance of Antimicrobial Resistance-WHONET-Greece (January 2018–March 2021). Life 2021, 11, 996. [Google Scholar] [CrossRef]
- Schwaber, M.J.; De-Medina, T.; Carmeli, Y. Epidemiological Interpretation of Antibiotic Resistance Studies—What Are We Missing? Nat. Rev. Microbiol. 2004, 2, 979–983. [Google Scholar] [CrossRef] [PubMed]
- Durdu, B.; Kritsotakis, E.I.; Lee, A.C.K.; Torun, P.; Hakyemez, I.N.; Gultepe, B.; Aslan, T. Temporal Trends and Patterns in Antimicrobial-Resistant Gram-Negative Bacteria Implicated in Intensive Care Unit-Acquired Infections: A Cohort-Based Surveillance Study in Istanbul, Turkey. J. Glob. Antimicrob. Resist. 2018, 14, 190–196. [Google Scholar] [CrossRef] [PubMed]
- Shardell, M.; Harris, A.D.; El-Kamary, S.S.; Furuno, J.P.; Miller, R.R.; Perencevich, E.N. Statistical Analysis and Application of Quasi Experiments to Antimicrobial Resistance Intervention Studies. Clin. Infect. Dis. 2007, 45, 901–907. [Google Scholar] [CrossRef]
- Bernal, J.L.; Cummins, S.; Gasparrini, A. Interrupted Time Series Regression for the Evaluation of Public Health Interventions: A Tutorial. Int. J. Epidemiol. 2017, 46, 348–355. [Google Scholar] [CrossRef]
- Li, L.; Cuerden, M.S.; Liu, B.; Shariff, S.; Jain, A.K.; Mazumdar, M. Three Statistical Approaches for Assessment of Intervention Effects: A Primer for Practitioners. Risk Manag. Healthc. Policy 2021, 14, 757–770. [Google Scholar] [CrossRef]
- Mahant, S.; Hall, M. Methodological Progress Note: Interrupted Time Series. J. Hosp. Med. 2021, 16, 364–367. [Google Scholar] [CrossRef]
- Ioannou, P.; Astrinaki, E.; Vitsaxaki, E.; Bolikas, E.; Christofaki, D.; Salvaraki, A.; Lagoudaki, E.; Ioannidou, E.; Karakonstantis, S.; Saplamidou, S.; et al. A Point Prevalence Survey of Healthcare-Associated Infections and Antimicrobial Use in Public Acute Care Hospitals in Crete, Greece. Antibiotics 2022, 11, 1258. [Google Scholar] [CrossRef]
- Cole, J.; Barnard, E. The Impact of the COVID-19 Pandemic on Healthcare Acquired Infections with Multidrug Resistant Organisms. Am. J. Infect. Control 2021, 49, 653–654. [Google Scholar] [CrossRef]
- Lo, S.-H.; Lin, C.-Y.; Hung, C.-T.; He, J.-J.; Lu, P.-L. The Impact of Universal Face Masking and Enhanced Hand Hygiene for COVID-19 Disease Prevention on the Incidence of Hospital-Acquired Infections in a Taiwanese Hospital. Int. J. Infect. Dis. 2021, 104, 15–18. [Google Scholar] [CrossRef] [PubMed]
- Losurdo, P.; Paiano, L.; Samardzic, N.; Germani, P.; Bernardi, L.; Borelli, M.; Pozzetto, B.; de Manzini, N.; Bortul, M. Impact of Lockdown for SARS-CoV-2 (COVID-19) on Surgical Site Infection Rates: A Monocentric Observational Cohort Study. Updat. Surg. 2020, 72, 1263–1271. [Google Scholar] [CrossRef] [PubMed]
- O’Toole, R.F. The Interface between COVID-19 and Bacterial Healthcare-Associated Infections. Clin. Microbiol. Infect. 2021, 27, 1772–1776. [Google Scholar] [CrossRef] [PubMed]
- Kritsotakis, E.I.; Astrinaki, E.; Messaritaki, A.; Gikas, A. Implementation of Multimodal Infection Control and Hand Hygiene Strategies in Acute-Care Hospitals in Greece: A Cross-Sectional Benchmarking Survey. Am. J. Infect. Control 2018, 46, 1097–1103. [Google Scholar] [CrossRef]
- Fu, S.J.; George, E.L.; Maggio, P.M.; Hawn, M.; Nazerali, R. The Consequences of Delaying Elective Surgery: Surgical Perspective. Ann. Surg. 2020, 272, e79–e80. [Google Scholar] [CrossRef]
- Wendlandt, B.; Kime, M.; Carson, S. The Impact of Family Visitor Restrictions on Healthcare Workers in the ICU during the COVID-19 Pandemic. Intensive Crit. Care Nurs. 2022, 68, 103123. [Google Scholar] [CrossRef]
- Spernovasilis, N.; Kritsotakis, E.I.; Mathioudaki, A.; Vouidaski, A.; Spanias, C.; Petrodaskalaki, M.; Ioannou, P.; Chamilos, G.; Kofteridis, D.P. A Carbapenem-Focused Antimicrobial Stewardship Programme Implemented during the COVID-19 Pandemic in a Setting of High Endemicity for Multidrug-Resistant Gram-Negative Bacteria. J. Antimicrob. Chemother. 2023, 78, 1000–1008. [Google Scholar] [CrossRef]
- Rahman, S.; Kesselheim, A.S.; Hollis, A. Persistence of Resistance: A Panel Data Analysis of the Effect of Antibiotic Usage on the Prevalence of Resistance. J. Antibiot. 2023, 76, 270–278. [Google Scholar] [CrossRef]
- Mendelson, M.; Morris, A.M.; Thursky, K.; Pulcini, C. How to Start an Antimicrobial Stewardship Programme in a Hospital. Clin. Microbiol. Infect. 2020, 26, 447–453. [Google Scholar] [CrossRef] [PubMed]
- European Centre for Disease Prevention and Control. Point Prevalence Survey of Healthcare-Associated Infections and Antimicrobial Use in European Acute Care Hospitals—Protocol Version 5.3. Available online: https://www.ecdc.europa.eu/en/publications-data/point-prevalence-survey-healthcare-associated-infections-and-antimicrobial-use-3 (accessed on 15 April 2023).
- Glasheen, W.P.; Cordier, T.; Gumpina, R.; Haugh, G.; Davis, J.; Renda, A. Charlson Comorbidity Index: ICD-9 Update and ICD-10 Translation. Am. Health Drug Benefits 2019, 12, 188–197. [Google Scholar] [PubMed]
- Des Jarlais, D.C.; Lyles, C.; Crepaz, N.; TREND Group. Improving the Reporting Quality of Nonrandomized Evaluations of Behavioral and Public Health Interventions: The TREND Statement. Am. J. Public Health 2004, 94, 361–366. [Google Scholar] [CrossRef] [PubMed]


| Variable | Pre-COVID-19 | COVID-19 Period | |||
|---|---|---|---|---|---|
| All Patients (n = 235) a | All Patients (n = 204) a | p b | Non-COVID-19 Patients (n = 184) a | p b | |
| Hospital | 0.15 | 0.13 | |||
| A | 173 (74%) | 162 (79%) | 147 (80%) | ||
| B | 62 (26%) | 42 (21%) | 37 (20%) | ||
| Age (years) | 60.0 ± 22.1 | 66.0 ± 18.2 | 0.002 | 65.2 ± 18.7 | 0.010 |
| Male sex | 159 (68%) | 133 (65%) | 0.59 | 120 (65%) | 0.60 |
| Severe COVID-19 patients | 0 (0%) | 20 (10%) | <0.001 | 0 (0%) | |
| Reason for hospital admission | 0.49 | 0.96 | |||
| Circulatory system disease | 41 (17%) | 37 (18%) | 37 (20%) | ||
| Injury, poisoning, external cause | 34 (14%) | 27 (13%) | 27 (15%) | ||
| Respiratory system disease | 36 (15%) | 25 (12%) | 25 (14%) | ||
| Neoplasm | 31 (13%) | 24 (12%) | 24 (13%) | ||
| Symptom, sign, abnormal finding | 31 (13%) | 20 (10%) | 19 (10%) | ||
| Digestive system disease | 16 (7%) | 14 (7%) | 14 (8%) | ||
| Other disease or condition | 46 (20%) | 57 (28%) | 38 (21%) | ||
| Charlson comorbidity index | 0.39 | 0.19 | |||
| 0 | 160 (68%) | 134 (66%) | 115 (62%) | ||
| 1 | 35 (15%) | 40 (20%) | 40 (22%) | ||
| 2+ | 40 (17%) | 30 (15%) | 29 (16%) | ||
| Department at time of index infection | 0.82 | 0.24 | |||
| Intensive care unit | 105 (45%) | 84 (41%) | 65 (35%) | ||
| Medical ward | 81 (34%) | 71 (35%) | 70 (38%) | ||
| Surgical ward | 44 (19%) | 45 (22%) | 45 (24%) | ||
| Pediatric or obstetrics ward | 5 (2%) | 4 (2%) | 4 (2%) | ||
| Pre-index infection LOS (days) | 18.2 ± 16.8 | 22.0 ± 22.7 | 0.043 | 21.8 ± 23.4 | 0.068 |
| Infection status | 0.82 | 0.97 | |||
| Single infection | 183 (78%) | 157 (77%) | 143 (78%) | ||
| Multiple infections | 52 (22%) | 47 (23%) | 41 (22%) | ||
| Polymicrobial infection | 33 (14%) | 16 (8%) | 0.040 | 15 (8%) | 0.060 |
| 14-day outcome c | 0.14 | 0.27 | |||
| Discharged alive | 47 (20%) | 34 (17%) | 34 (18%) | ||
| Remain hospitalized | 148 (63%) | 120 (59%) | 107 (58%) | ||
| Died in hospital | 40 (17%) | 50 (25%) | 43 (23%) | ||
| In-hospital mortality | 0.21 | 0.68 | |||
| Discharged alive | 135 (57%) | 105 (51%) | 102 (55%) | ||
| Died in hospital | 100 (43%) | 99 (49%) | 82 (45%) | ||
| Overall LOS (days) | 51.4 ± 47.8 | 45.8 ± 38.0 | 0.18 | 45.7 ± 39.3 | 0.19 |
| Subgroup | Pre-COVID-19 | COVID-19 Period | |||
|---|---|---|---|---|---|
| All Infection Episodes (n = 311) a,b | All Infection Episodes (n = 275) a,b | p c | Infection Episodes in Non-COVID-19 Patients (n = 249) a,b | p c | |
| Infection site | |||||
| Bloodstream infection | 131 (42%) | 128 (47%) | 0.28 | 116 (47%) | 0.29 |
| Intubation-associated pneumonia | 26 (8%) | 31 (11%) | 0.24 | 22 (9%) | 0.84 |
| Hospital-acquired pneumonia | 20 (6%) | 40 (15%) | 0.001 | 37 (15%) | 0.001 |
| Lower respiratory tract infection | 65 (21%) | 55 (20%) | 0.79 | 50 (20%) | 0.81 |
| Surgical site infection | 32 (10%) | 32 (12%) | 0.60 | 32 (13%) | 0.34 |
| Urinary tract infection | 25 (8%) | 15 (5%) | 0.22 | 15 (6%) | 0.36 |
| Skin and soft-tissue infection | 8 (3%) | 2 (1%) | 0.085 | 2 (1%) | 0.12 |
| Other type of infection | 12 (4%) | 3 (1%) | 0.034 | 3 (1%) | 0.053 |
| Polymicrobial infections | 35 (11%) | 18 (7%) | 0.047 | 17 (7%) | 0.073 |
| Pathogen | |||||
| VRE | 27 (9%) | 30 (11%) | 0.36 | 30 (12%) | 0.19 |
| MRSA | 25 (8%) | 33 (12%) | 0.11 | 30 (12%) | 0.11 |
| CR Klebsiella pneumoniae | 39 (13%) | 21 (8%) | 0.051 | 19 (8%) | 0.058 |
| CR Acinetobacter baumannii | 183 (59%) | 166 (60%) | 0.71 | 147 (59%) | 0.96 |
| CR Pseudomonas aeruginosa | 69 (22%) | 38 (14%) | 0.009 | 35 (14%) | 0.014 |
| CR Enterobacter spp. | 1 (0%) | 7 (3%) | 0.021 | 7 (3%) | 0.014 |
| CR Escherichia coli | 3 (1%) | 0 (0%) | 0.10 | 0 (0%) | 0.12 |
Disclaimer/Publisher’s Note: The statements, opinions and data contained in all publications are solely those of the individual author(s) and contributor(s) and not of MDPI and/or the editor(s). MDPI and/or the editor(s) disclaim responsibility for any injury to people or property resulting from any ideas, methods, instructions or products referred to in the content. |
© 2023 by the authors. Licensee MDPI, Basel, Switzerland. This article is an open access article distributed under the terms and conditions of the Creative Commons Attribution (CC BY) license (https://creativecommons.org/licenses/by/4.0/).
Share and Cite
Bolikas, E.; Astrinaki, E.; Panagiotaki, E.; Vitsaxaki, E.; Saplamidou, S.; Drositis, I.; Stafylaki, D.; Chamilos, G.; Gikas, A.; Kofteridis, D.P.; et al. Impact of SARS-CoV-2 Preventive Measures against Healthcare-Associated Infections from Antibiotic-Resistant ESKAPEE Pathogens: A Two-Center, Natural Quasi-Experimental Study in Greece. Antibiotics 2023, 12, 1088. https://doi.org/10.3390/antibiotics12071088
Bolikas E, Astrinaki E, Panagiotaki E, Vitsaxaki E, Saplamidou S, Drositis I, Stafylaki D, Chamilos G, Gikas A, Kofteridis DP, et al. Impact of SARS-CoV-2 Preventive Measures against Healthcare-Associated Infections from Antibiotic-Resistant ESKAPEE Pathogens: A Two-Center, Natural Quasi-Experimental Study in Greece. Antibiotics. 2023; 12(7):1088. https://doi.org/10.3390/antibiotics12071088
Chicago/Turabian StyleBolikas, Emmanouil, Eirini Astrinaki, Evangelia Panagiotaki, Efsevia Vitsaxaki, Stamatina Saplamidou, Ioannis Drositis, Dimitra Stafylaki, Georgios Chamilos, Achilleas Gikas, Diamantis P. Kofteridis, and et al. 2023. "Impact of SARS-CoV-2 Preventive Measures against Healthcare-Associated Infections from Antibiotic-Resistant ESKAPEE Pathogens: A Two-Center, Natural Quasi-Experimental Study in Greece" Antibiotics 12, no. 7: 1088. https://doi.org/10.3390/antibiotics12071088
APA StyleBolikas, E., Astrinaki, E., Panagiotaki, E., Vitsaxaki, E., Saplamidou, S., Drositis, I., Stafylaki, D., Chamilos, G., Gikas, A., Kofteridis, D. P., & Kritsotakis, E. I. (2023). Impact of SARS-CoV-2 Preventive Measures against Healthcare-Associated Infections from Antibiotic-Resistant ESKAPEE Pathogens: A Two-Center, Natural Quasi-Experimental Study in Greece. Antibiotics, 12(7), 1088. https://doi.org/10.3390/antibiotics12071088

