The Use of Phage Cocktail and Various Antibacterial Agents in Combination to Prevent the Emergence of Phage Resistance
Abstract
1. Introduction
2. Results
2.1. The Combined Effect of Phages and EDTA on the Viability of Bacterial Cocktail
2.2. The Combined Effect of Phages and Nisin on the Viability of Bacterial Cocktail
2.3. The Combined Effect of Nisin and EDTA on the Viability of Bacterial Cocktail
2.4. The Combined Effect of Phages, Nisin, and EDTA on the Viability of Bacterial Cocktail
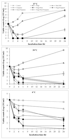
2.5. The Combined Effect of Phages, Nisin, and Polylysine on the Viability of Bacterial Cocktail
3. Discussion
4. Materials and Methods
4.1. Bacterial Strains, Media, and Culture Conditions
4.2. Phage Propagation
4.3. Preparation of the Phage Cocktail, Antibacterial Agents, and Bacterial Culture
4.4. Effects of Phages and Antibaterial Agents (Alone and in Combination)
4.5. Statistical Analysis
5. Conclusions
Author Contributions
Funding
Institutional Review Board Statement
Informed Consent Statement
Data Availability Statement
Acknowledgments
Conflicts of Interest
References
- Duc, H.M.; Son, H.M.; Honjoh, K.; Miyamoto, T. Isolation and Application of Bacteriophages to Reduce Salmonella Contamination in Raw Chicken Meat. LWT 2018, 91, 353–360. [Google Scholar] [CrossRef]
- CDC. Salmonella. 2023. Available online: https://www.cdc.gov/salmonella/index.html (accessed on 7 June 2023).
- Sadekuzzaman, M.; Yang, S.; Mizan, M.F.R.; Ha, S. Reduction of Escherichia coli O157: H7 in Biofilms Using Bacteriophage BPECO 19. J. Food Sci. 2017, 82, 1433–1442. [Google Scholar] [CrossRef]
- O’Flynn, G.; Ross, R.P.; Fitzgerald, G.F.; Coffey, A. Evaluation of a Cocktail of Three Bacteriophages for Biocontrol of Escherichia coli O157:H7. Appl. Environ. Microbiol. 2004, 70, 3417–3424. [Google Scholar] [CrossRef]
- FAO. WHO Attributing Illness Caused by Shiga Toxin-Producing Escherichia Coli (STEC) to Specific Foods: Report; FAO: Roma, Italy, 2019. [Google Scholar]
- Bao, H.; Zhang, P.; Zhang, H.; Zhou, Y.; Zhang, L.; Wang, R. Bio-Control of Salmonella Enteritidis in Foods Using Bacteriophages. Viruses 2015, 7, 4836–4853. [Google Scholar] [CrossRef]
- Chan, B.K.; Abedon, S.T.; Loc-Carrillo, C. Phage Cocktails and the Future of Phage Therapy. Future Microbiol. 2013, 8, 769–783. [Google Scholar] [CrossRef] [PubMed]
- Clokie, M.R.J.; Millard, A.D.; Letarov, A.V.; Heaphy, S. Phages in Nature. Bacteriophage 2011, 1, 31–45. [Google Scholar] [CrossRef] [PubMed]
- Cha, Y.; Son, B.; Ryu, S. Effective Removal of Staphylococcal Biofilms on Various Food Contact Surfaces by Staphylococcus aureus Phage Endolysin LysCSA13. Food Microbiol. 2019, 84, 103245. [Google Scholar] [CrossRef]
- Duc, H.M.; Son, H.M.; Ngan, P.H.; Sato, J.; Masuda, Y.; Honjoh, K.-i.; Miyamoto, T. Isolation and Application of Bacteriophages Alone or in Combination with Nisin against Planktonic and Biofilm Cells of Staphylococcus aureus. Appl. Microbiol. Biotechnol. 2020, 104, 5145–5158. [Google Scholar] [CrossRef]
- Kelly, D.; McAuliffe, O.; Ross, R.P.; Coffey, A. Prevention of Staphylococcus aureus Biofilm Formation and Reduction in Established Biofilm Density Using a Combination of Phage K and Modified Derivatives. Lett. Appl. Microbiol. 2012, 54, 286–291. [Google Scholar] [CrossRef]
- Sadekuzzaman, M.; Yang, S.; Mizan, M.F.R.; Kim, H.-S.; Ha, S.-D. Effectiveness of a Phage Cocktail as a Biocontrol Agent against L. Monocytogenes Biofilms. Food Control 2017, 78, 256–263. [Google Scholar] [CrossRef]
- Maisetta, G.; Grassi, L.; Esin, S.; Serra, I.; Scorciapino, M.A.; Rinaldi, A.C.; Batoni, G. The Semi-Synthetic Peptide Lin-SB056-1 in Combination with EDTA Exerts Strong Antimicrobial and Antibiofilm Activity against Pseudomonas aeruginosa in Conditions Mimicking Cystic Fibrosis Sputum. Int. J. Mol. Sci. 2017, 18, 1994. [Google Scholar] [CrossRef] [PubMed]
- Stevens, K.A.; Sheldon, B.W.; Klapes, N.A.; Klaenhammer, T.R. Effect of Treatment Conditions on Nisin Inactivation of Gram-Negative Bacteria. J. Food Prot. 1992, 55, 763–766. [Google Scholar] [CrossRef] [PubMed]
- Heimbach, J.; Rieth, S.; Mohamedshah, F.; Slesinski, R.; Samuel-Fernando, P.; Sheehan, T.; Dickmann, R.; Borzelleca, J. Safety Assessment of Iron EDTA [Sodium Iron (Fe3+) Ethylenediaminetetraacetic Acid]: Summary of Toxicological, Fortification and Exposure Data. Food Chem. Toxicol. 2000, 38, 99–111. [Google Scholar] [CrossRef] [PubMed]
- Huang, H.-H.; Furuta, M.; Nasu, T.; Hirono, M.; Pruet, J.; Duc, H.M.; Zhang, Y.; Masuda, Y.; Honjoh, K.; Miyamoto, T. Inhibition of Phage-Resistant Bacterial Pathogen Re-Growth with the Combined Use of Bacteriophages and EDTA. Food Microbiol. 2021, 100, 103853. [Google Scholar] [CrossRef] [PubMed]
- Dima, S.; Lee, Y.-Y.; Watanabe, I.; Chang, W.-J.; Pan, Y.-H.; Teng, N.-C. Antibacterial Effect of the Natural Polymer ε-Polylysine against Oral Pathogens Associated with Periodontitis and Caries. Polymers 2020, 12, 1218. [Google Scholar] [CrossRef]
- Jia, H.; Zhang, Y.; Guo, Q.; Zeng, X.; Yuan, Y.; Wang, Z.; Gao, Z.; Yue, T. Epsilon-Polylysine Based Magnetic Nanospheres as an Efficient and Recyclable Antibacterial Agent for Alicyclobacillus Acidoterrestris. Food Chem. 2021, 364, 130382. [Google Scholar] [CrossRef]
- Lee, D.-U.; Park, Y.J.; Yu, H.H.; Jung, S.-C.; Park, J.-H.; Lee, D.-H.; Lee, N.-K.; Paik, H.-D. Antimicrobial and Antibiofilm Effect of ε-Polylysine against Salmonella Enteritidis, Listeria Monocytogenes, and Escherichia coli in Tryptic Soy Broth and Chicken Juice. Foods 2021, 10, 2211. [Google Scholar] [CrossRef]
- Jahid, I.K.; Ha, S.-D. A Review of Microbial Biofilms of Produce: Future Challenge to Food Safety. Food Sci. Biotechnol. 2012, 21, 299–316. [Google Scholar] [CrossRef]
- Duc, H.M.; Son, H.M.; Yi, H.P.S.; Sato, J.; Ngan, P.H.; Masuda, Y.; Honjoh, K.-i.; Miyamoto, T. Isolation, Characterization and Application of a Polyvalent Phage Capable of Controlling Salmonella and Escherichia coli O157:H7 in Different Food Matrices. Food Res. Int. 2020, 131, 108977. [Google Scholar] [CrossRef]
- Chawla, S.P.; Chander, R.; Sharma, A. Safe and Shelf-Stable Natural Casing Using Hurdle Technology. Food Control 2006, 17, 127–131. [Google Scholar] [CrossRef]
- Leistner, L. Basic Aspects of Food Preservation by Hurdle Technology. Int. J. Food Microbiol. 2000, 55, 181–186. [Google Scholar] [CrossRef] [PubMed]
- Møretrø, T.; Langsrud, S. Residential Bacteria on Surfaces in the Food Industry and Their Implications for Food Safety and Quality. Compr. Rev. Food Sci. Food Saf. 2017, 16, 1022–1041. [Google Scholar] [CrossRef] [PubMed]





Disclaimer/Publisher’s Note: The statements, opinions and data contained in all publications are solely those of the individual author(s) and contributor(s) and not of MDPI and/or the editor(s). MDPI and/or the editor(s) disclaim responsibility for any injury to people or property resulting from any ideas, methods, instructions or products referred to in the content. |
© 2023 by the authors. Licensee MDPI, Basel, Switzerland. This article is an open access article distributed under the terms and conditions of the Creative Commons Attribution (CC BY) license (https://creativecommons.org/licenses/by/4.0/).
Share and Cite
Duc, H.M.; Zhang, Y.; Hoang, S.M.; Masuda, Y.; Honjoh, K.-I.; Miyamoto, T. The Use of Phage Cocktail and Various Antibacterial Agents in Combination to Prevent the Emergence of Phage Resistance. Antibiotics 2023, 12, 1077. https://doi.org/10.3390/antibiotics12061077
Duc HM, Zhang Y, Hoang SM, Masuda Y, Honjoh K-I, Miyamoto T. The Use of Phage Cocktail and Various Antibacterial Agents in Combination to Prevent the Emergence of Phage Resistance. Antibiotics. 2023; 12(6):1077. https://doi.org/10.3390/antibiotics12061077
Chicago/Turabian StyleDuc, Hoang Minh, Yu Zhang, Son Minh Hoang, Yoshimitsu Masuda, Ken-Ichi Honjoh, and Takahisa Miyamoto. 2023. "The Use of Phage Cocktail and Various Antibacterial Agents in Combination to Prevent the Emergence of Phage Resistance" Antibiotics 12, no. 6: 1077. https://doi.org/10.3390/antibiotics12061077
APA StyleDuc, H. M., Zhang, Y., Hoang, S. M., Masuda, Y., Honjoh, K.-I., & Miyamoto, T. (2023). The Use of Phage Cocktail and Various Antibacterial Agents in Combination to Prevent the Emergence of Phage Resistance. Antibiotics, 12(6), 1077. https://doi.org/10.3390/antibiotics12061077

