Next Article in Journal
In Vitro Activity of Robenidine Analogues NCL259 and NCL265 against Gram-Negative Pathogens
Previous Article in Journal
Effects of Broad-Spectrum Antibiotic (Florfenicol) on Resistance Genes and Bacterial Community Structure of Water and Sediments in an Aquatic Microcosm Model
 
 
Font Type:
Arial Georgia Verdana
Font Size:
Aa Aa Aa
Line Spacing:
Column Width:
Background:
Article

Determination of the Elution Capacity of Dalbavancin in Bone Cements: New Alternative for the Treatment of Biofilm-Related Peri-Prosthetic Joint Infections Based on an In Vitro Study

1
Department of Clinical Microbiology and Infectious Diseases, Hospital General Universitario Gregorio Marañón, 28007 Madrid, Spain
2
Instituto de Investigación Sanitaria Gregorio Marañón, 28007 Madrid, Spain
3
Department of Orthopaedic Surgery and Traumatology, Hospital General Universitario Gregorio Marañón, 28007 Madrid, Spain
4
School of Biology, Universidad Complutense de Madrid, 28040 Madrid, Spain
5
School of Medicine, Universidad Complutense de Madrid, 28040 Madrid, Spain
6
CIBER Enfermedades Respiratorias-CIBERES (CB06/06/0058), 28029 Madrid, Spain
*
Author to whom correspondence should be addressed.
Antibiotics 2022, 11(10), 1300; https://doi.org/10.3390/antibiotics11101300
Submission received: 12 September 2022 / Revised: 21 September 2022 / Accepted: 21 September 2022 / Published: 23 September 2022
(This article belongs to the Section Antibiotic Therapy in Infectious Diseases)

Abstract

Antibiotic-loaded bone cement is the most widely used approach for the treatment of biofilm-induced septic sequelae in orthopedic surgery. Dalbavancin is a lipoglycopeptide that acts against Gram-positive bacteria and has a long half-life, so we aimed to assess whether it could be a new alternative drug in antibiotic-loaded bone cement for the treatment of periprosthetic joint infections. We assessed the elution capacity of dalbavancin and compared it with that of vancomycin in bone cement. Palacos®R (Heraeus Medical GmbH, Wehrheim, Germany) bone cement was manually mixed with each of the antibiotics studied at 2.5% and 5%. Three cylinders were obtained from each of the mixtures; these were weighed and incubated in 5 mL phosphate-buffered saline at 37°C under shaking for 1 h, 2 h, 4 h, 8 h, 24 h, 48 h, 168 h, and 336 h. PBS was replenished at each time point. The samples were analyzed using high-performance liquid chromatography (vancomycin) and mass cytometry (dalbavancin). Elution was higher than the minimum inhibitory concentration (MIC)90 for both antibiotics after 14 days of study. The release of vancomycin at 14 days was higher than of dalbavancin at each concentration tested (p = 0.05, both). However, the cumulative release of 5% dalbavancin was similar to that of 2.5% vancomycin (p = 0.513). The elution capacity of dalbavancin reached a cumulative concentration similar to that of vancomycin. Moreover, considering that the MIC90 of dalbavancin is one third that of vancomycin (0.06 mg/L and 2 mg/L, respectively) and given the long half-life of dalbavancin, it may be a new alternative for the treatment of biofilm-related periprosthetic infections when loaded in bone cement.

1. Introduction

The most notable complication in orthopedic surgery is infection. Among these, the most important are peri-prosthetic joint infection (PJI), septic pseudoarthrosis (absence of fracture healing due to infection), and chronic osteomyelitis (with an unknown incidence due to its late presentation) [1,2,3]. In particular, the treatment of PJI remains the same as it was 20 years ago, with a combination of a surgical approach and systemic and local antibiotic treatment [3,4]. The most common causative agents of PJI are Gram-positive bacteria capable of forming a biofilm that makes the infection difficult to eradicate [1].
Regarding the use of local antibiotics, many strategies have been studied to achieve optimal release at the site of infection, with bone cement (polymethylmethacrylate [PMMA]) being the most widely used tool due to the extensive experience in its use, as well as its high safety profile. Furthermore, its use in the Masquelet technique (in the first stage, creation of vascularized membranes in growth factors with the implantation of a bone cement with antibiotics that resolves the infection, and in the second stage, implantation in these membranes of a bone graft that favors the reconstruction of the bone defect) is crucial not only for its usefulness as a vehicle for antibiotics but also for its capacity to generate induced membranes, necessary for the second stage of this technique. However, some of the antibiotics conventionally used have unfavorable characteristics for local use in PMMA (low release, short half-life, etc.) [5,6,7,8,9,10,11,12]. Even so, given the absence of more effective alternatives, their use remains the gold standard for the treatment of bone infections.
Nau et al. showed that the thickness and quality of the induced membranes depend on the cement and antibiotic used [7]. Several authors have observed that the use of other vehicles for the development of these membranes, such as calcium sulphates, were not effective for the correct development of this technique, with the use of bone cement (PMMA) being necessary to obtain a good result [13,14,15,16].
Dalbavancin is an antibiotic belonging to the group of semi-synthetic lipo-glycopeptides and is structurally related to teicoplanin. Like other glycopeptides, the mechanism of action of dalbavancin is interference with bacterial cell wall formation by binding to the D-alanine-D-alanine terminal end of the peptidoglycan, preventing its elongation [17,18]. It is active against Gram-positive, aerobic, and anaerobic bacteria and has shown in pharmacodynamic studies that, compared to other structurally related antibiotics such as vancomycin and teicoplanin, it has greater activity against methicillin-susceptible Staphylococcus aureus (MSSA), methicillin-resistant S. aureus (MRSA), vancomycin-intermediate susceptible S. aureus (VISA), and Staphylococcus epidermidis [18]. Regarding its activity against Staphylococci biofilms, it has also been demonstrated to be better than vancomycin [19,20,21,22].
Due to its pharmacokinetic characteristics, and in particular its long half-life (372 h), dalbavancin can be administered at least once a week following a regimen of one 1000 mg and one 500 mg dose spaced 7 days apart [23]. Some authors have even demonstrated that its efficacy can last up to 14 days [24]. Although currently approved for the treatment of skin and soft tissue infections, the application in the treatment of PJI is under extensive investigation [25,26,27,28,29,30,31,32]. Moreover, it has been demonstrated that it is cost-effective [33,34,35]. Therefore, the use of dalbavancin loaded in bone cement may be a new alternative that needs to be further investigated.
Therefore, we aimed to assess the elution capacity of dalbavancin at 2.5% and 5% and compare it to vancomycin at the same concentrations during a 14-day period.

2. Results

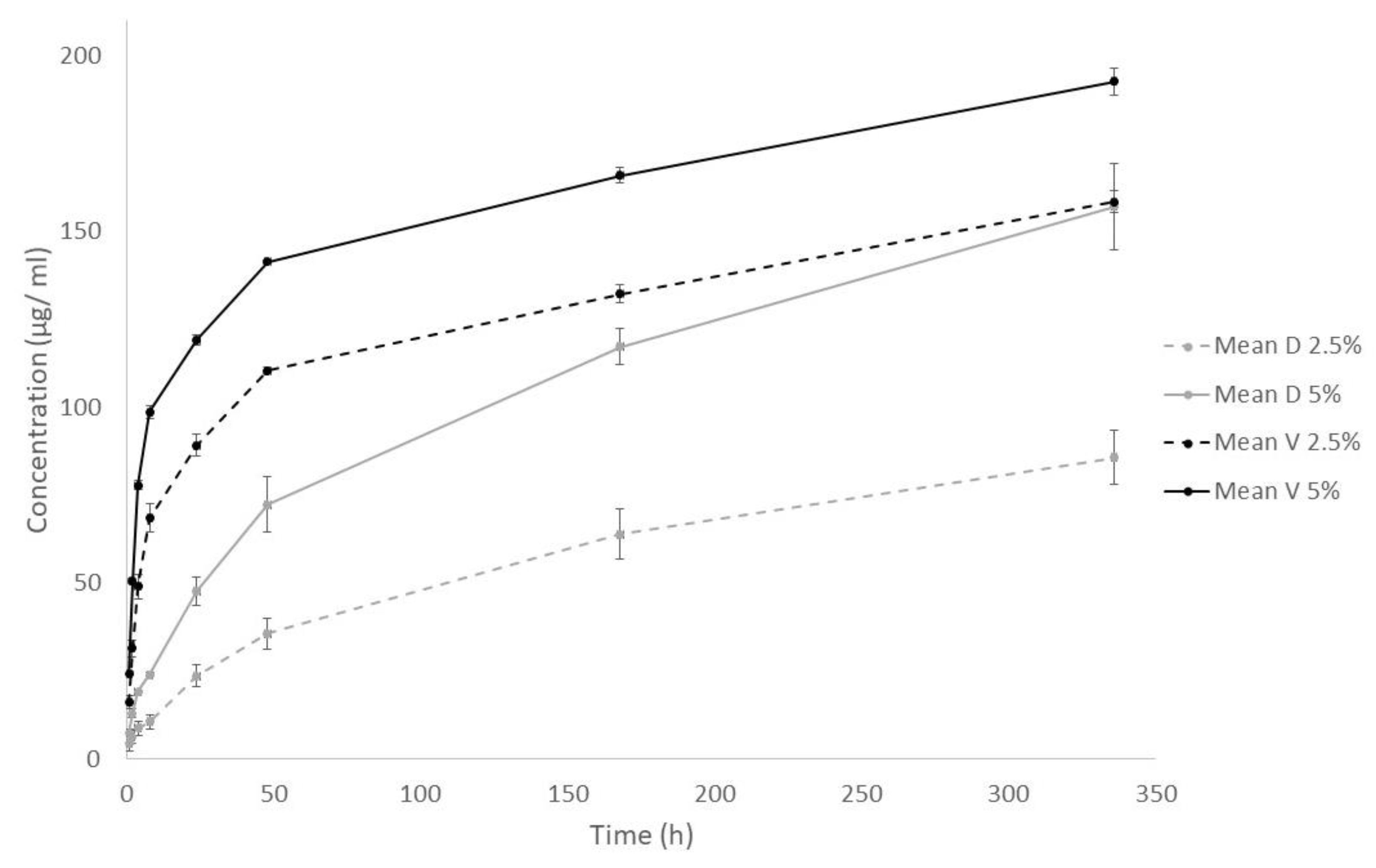
The cumulative antibiotic release over the 14-day period for the four groups is detailed in Figure 1. The mean ± standard deviation (SD) of each antibiotic at each concentration during the 14-day study period are detailed in Table 1. Vancomycin and dalbavancin eluted after 14 days containing the same amount of antibiotic (2.5% and 5%) showed significant differences, being greater for vancomycin (p = 0.05 in both cases). However, when 5% dalbavancin was compared to 2.5% vancomycin, it showed a similar release at the end of the study period (cumulative concentration mean ±SD: 157.12 ± 12.43 and 158.49 ± 3.09, respectively; p = 0.513).
In summary, the elution from both antibiotics was higher than the minimum inhibitory concentration (MIC)90 during the entire study period.

3. Discussion

Our research is the first in vitro study describing the elution capacity of dalbavancin in bone cements, which showed similar kinetics to vancomycin.
PJI is one of the most relevant complications in orthopedic surgery [3], which is well known to be a biofilm-related infection [36,37]. The use of local antibiotics is one of the recommended approaches to treat PJI, antibiotic-loaded bone cements being the most widely used [8,38,39,40,41] and, in particular, dual-antibiotic high-loaded bone cements are more effective and cost efficient than single ones for the prevention of PJI [33]. One of the most used antibiotics is vancomycin, which has shown a suitable elution capacity and antimicrobial activity in several studies [42,43,44]. Hsu et al. showed that vancomycin- and ceftazidime-loaded bone cements provided broad-spectrum antibacterial capacity both in vitro and in vivo [45]. Paz et al. had a cumulative concentration of 150 µg/mL with 10% vancomycin at 336 h [8], which correlates similarly with our findings, as our cumulative concentration of 5% vancomycin was 192.67 µg/mL at the same time.
However, several limitations have been described. One important limitation is that the anti-biofilm activity of the currently used antibiotics loaded in bone cements is insufficient [46,47]. Therefore, we aimed to search for new alternative antibiotics, such as dalbavancin, which has demonstrated to have high biofilm activity [19,20,25,28,30,48,49]. Despite only being recommended for the treatment of skin and soft tissue infections, it revealed promising results for its use in bone and joint infections [22,26,28,29,30,31,50,51,52]. Another limitation of antibiotic-loaded bone cements is that mechanical characteristics of cements may be impaired due to high levels of antibiotic eluted in the cement or the use of combined antibiotics. Levack et al. identified notable differences in thermal stability and elution among tobramycin, amikacin, fosfomycin, minocycline, and meropenem [53]. Slane et al. suggested that tobramycin eluted more effectively than vancomycin and that high antibiotic loading in cement does not necessarily lead to enhanced antibiotic elution [54]. Klekamp et al. showed that the fatigue life of bone cement was significantly decreased with vancomycin alone and in combination with tobramycin [55]. Paz et al. demonstrated that cements with cefazolin showed much higher elution than those containing the same concentration of vancomycin, whereas the strength was lower. This may be explained because the size of the molecule will directly affect its diffusion; as cefazolin has a lower molecular weight than vancomycin, small crystals of cefazolin may increase the fluid uptake and promote its diffusion [8]. This correlates with our findings, as dalbavancin, which has a higher molecular weight than vancomycin, showed slightly lower kinetic elution at 2.5%. Another limitation is the short time that some antibiotics remain above the MIC, a fact that is overcome by dalbavancin, thanks to its high half-life. In addition, systemic toxicity and the promotion of antibiotic resistance in prolonged spacer retention are also other potential complications.
Based on our results, dalbavancin showed a 46% and 20% lower elution rate than vancomycin at the same doses added to the PMMA (2.5% and 5%, respectively). However, as dalbavancin MIC90 is 16.6-times lower than vancomycin, its half-life is significantly higher than vancomycin (372 h), and it has greater efficacy against biofilm, we suggest that dalbavancin can be an alternative for loaded bone cements [18,25,56]. Despite this, our study has the limitation that we only tested a 14-day period. Therefore, future studies are needed to test dalbavancin efficacy for longer periods and against Staphylococcal biofilms using in vitro models of bone cement elution. In addition, it is also important to further investigate the impact of dalbavancin-loaded cement on the mechanical properties of cement and potential toxicity.

4. Materials and Methods

The study was carried out in a tertiary teaching hospital in Madrid, Spain.

4.1. Preparation of the Antibiotic-Loaded Bone Cements

Palacos® R bone cements (Heraeus Medical GmbH, Wehrheim, Germany) were manually mixed with each of the antibiotics studied (vancomycin and dalbavancin), from the vial powder prepared for routine intravenous use, in proportions of 2.5% (1 g of antibiotic per 40 g of cement) and 5% (2 g of antibiotic per 40 g of cement). Three cylinders of 1 cm diameter and 0.5 cm were prepared from each of the mixtures using 5 mL syringes by hand (Supplementary Figure S1). The weight of each cylinder was determined and incubated in 5 mL phosphate-buffered saline (PBS) at 37 °C under shaking (150 rpm) for 1 h, 2 h, 4 h, 8 h, 24 h, 48 h, 168 h, and 336 h. At each time, 2 mL aliquots were obtained and the cylinders were re-incubated in another tube with 5 mL fresh PBS. Aliquots from each time were frozen for further study by high-performance liquid chromatography (vancomycin) and mass cytometry (dalbavancin) (Supplementary Figure S2).

4.2. Vancomycin Analysis

Samples from release studies of vancomycin were analyzed as received using an HPLC with a Varian Prostar 230 Solvent Delivery Module, Varian Prostar autosampler 410, and Varian Prostar 310 UV–visible detector (Varian, Palo Alto, CA, USA). Peak integration was analysed using the Galaxie software (version 1.9). Vancomycin was analyzed using a Nucleosil C18 column (250 mm × 4.6 mm, 5 μm). The mobile phase consisted of 50 mM ammonium phosphate: acetonitrile (92:8, v:v), with a final pH of 2.2, which was pumped at a flow rate of 0.7 mL/min and the injection volume of the sample was 40 µL. The column temperature was maintained at 25 °C and the detector was set at 205 nm.

4.3. Dalbavancin Analysis

Samples from release studies of dalbavancin were analyzed as received using LC-ESI-QQQ-MS (LC-8030 Shimadzu, Manchester, U.K.). Dalbavancin was analyzed using a Phenomenex Gemini C18 columns (110 A 150 mm × 2 mm, 5 μm). The gradient mode consisted of 5% Phase B—7 min 95% Phase B—8 min 95% Phase B—8.5 min 5% Phase B. Phase A consisted of H2O + 0.1% formic acid and Phase B of CAN. It was pumped at a flow rate of 0.4 mL/min and the injection volume of the sample was 40 µL. The run time was 10 min and the MRM transitions for D were: Quantifier (m/z): 909.1 > 340.0 CE: −36; Qualifier (m/z): 909.1 > 730.5 CE: −26.
The cumulative release of both antibiotics over the 14 days was calculated. The elution testing was performed in triplicate.

4.4. Statistical Analysis

For the comparison of the cumulative concentration mean between vancomycin and dalbavancin at the two doses, we used Student’s t-test.
Statistical significance was set at p < 0.05 for all the tests. The statistical analysis was performed using IBM SPSS Statistics for Windows, Version 21.0 (IBM Corp, Armonk, NY, USA).

5. Conclusions

To our knowledge, this is the first in vitro study describing the potential use of dalbavancin-loaded bone cement to be considered in the management of PJI, as similar elution cumulative concentration was observed to that of vancomycin.

Supplementary Materials

The following supporting information can be downloaded at: https://www.mdpi.com/article/10.3390/antibiotics11101300/s1, Figure S1. Preparation of the antibiotic-loaded bone cements; Figure S2. Laboratory procedure.

Author Contributions

Conceptualization, M.S.-S., P.S.-R. and M.G.; methodology, M.D.-N., M.T. and A.B.; software, M.D.-N.; validation, J.M., J.V. and P.M.; formal analysis, M.D.-N.; investigation, M.S.-S.; resources, M.G.; data curation, M.D.-N. and M.T.; writing—original draft preparation, M.S.-S.; writing—review and editing, A.B.; visualization, M.G.; supervision, M.G. and P.S.-R.; project administration, M.S.-S.; funding acquisition, M.G., M.S.-S., M.D.-N. and P.S.-R. All authors have read and agreed to the published version of the manuscript.

Funding

This research was funded by Fundación Mutua Madrileña, grant number FMM21/01 and by the ISCIII and the European Regional Development Fund (FEDER) “A way of making Europe”, grant number PI21/00344. M. Guembe is supported by the Miguel Servet Program (ISCIII-MICINN, MSII18/00008) from the Health Research Fund (FIS) of the Carlos III Health Institute (ISCIII), Madrid, Spain. M. Díaz-Navarro is supported by the Consejería de Educación, Juventud y Deporte de la Comunidad de Madrid and Fondo Social Europeo (PEJD-2020-AI_BMD-17971).

Institutional Review Board Statement

Not applicable.

Informed Consent Statement

Not applicable.

Data Availability Statement

Not applicable.

Conflicts of Interest

The authors declare no conflict of interest.

References

  1. Lum, Z.C.; Holland, C.T.; Meehan, J.P. Systematic review of single stage revision for prosthetic joint infection. World J. Orthop. 2020, 11, 559–572. [Google Scholar] [CrossRef] [PubMed]
  2. Kunutsor, S.K.; Beswick, A.D.; Peters, T.J.; Gooberman-Hill, R.; Whitehouse, M.R.; Blom, A.W.; Moore, A.J. Health care needs and support for patients undergoing treatment for prosthetic joint infection following hip or knee arthroplasty: A systematic review. PLoS ONE 2017, 12, e0169068. [Google Scholar] [CrossRef] [PubMed]
  3. Minassian, A.M.; Osmon, U.R.; Berendt, A.R. Clinical guidelines in the management of prosthetic joint infection. J. Antimicrob. Chemother. 2014, 69 (Suppl. 1), i29–i35. [Google Scholar] [CrossRef]
  4. Ariza, J.; Cobo, J.; Baraia-Etxaburu, J.; de Benito, N.; Bori, G.; Cabo, J.; Corona, P.; Esteban, J.; Horcajada, J.P.; Lora-Tamayo, J.; et al. Executive summary of management of prosthetic joint infections. Clinical practice guidelines by the Spanish Society of Infectious Diseases and Clinical Microbiology (SEIMC). Enferm. Infecc. Y Microbiol. Clin. 2017, 35, 189–195. [Google Scholar] [CrossRef] [PubMed]
  5. Berberich, C.; Sanz-Ruiz, P. Risk assessment of antibiotic resistance development by antibiotic-loaded bone cements: Is it a clinical concern? EFORT Open Rev. 2019, 4, 576–584. [Google Scholar] [CrossRef] [PubMed]
  6. López-Torres, I.I.; Sanz-Ruíz, P.; Navarro-García, F.; León-Román, V.E.; Vaquero-Martín, J. Experimental reproduction of periprosthetic joint infection: Developing a representative animal model. Knee 2020, 27, 1106–1112. [Google Scholar] [CrossRef] [PubMed]
  7. Nau, C.; Seebach, C.; Trumm, A.; Schaible, A.; Kontradowitz, K.; Meier, S.; Buechner, H.; Marzi, I.; Henrich, D. Alteration of Masquelet’s induced membrane characteristics by different kinds of antibiotic enriched bone cement in a critical size defect model in the rat’s femur. Injury 2016, 47, 325–334. [Google Scholar] [CrossRef]
  8. Paz, E.; Sanz-Ruiz, P.; Abenojar, J.; Vaquero-Martín, J.; Forriol, F.; Del Real, J.C. Evaluation of elution and mechanical properties of high-dose antibiotic-loaded bone cement: Comparative “in vitro” study of the influence of vancomycin and cefazolin. J. Arthroplast. 2015, 30, 1423–1429. [Google Scholar] [CrossRef]
  9. Sanz-Ruiz, P.; Calvo-Haro, J.A.; Villanueva-Martinez, M.; Matas-Diez, J.A.; Vaquero-Martín, J. Biarticular total femur spacer for massive femoral bone loss: The mobile solution for a big problem. Arthroplast. Today 2018, 4, 58–64. [Google Scholar] [CrossRef]
  10. Sanz-Ruiz, P.; Carbó-Laso, E.; del Real, J.C.; Arán-Ais, F.; Iglesias, Y.B.; Paz, E.; Sánchez-Navarro, M.; Pérez-Limiñana, M.; Vaquero-Martín, J. Microencapsulation of rifampicin: A technique to preserve the mechanical properties of bone cement. J. Orthop. Res. 2018, 36, 459–466. [Google Scholar]
  11. Sanz-Ruiz, P.; Matas-Diez, J.A.; Villanueva-Martinez, M.; Carbo-Laso, E.; Lopez-Torres, I.I.; Vaquero-Martín, J. A new biarticular cement spacer technique for infected total hip and knee arthroplasty with massive bone loss. HIP Int. 2021, 31, 242–249. [Google Scholar] [CrossRef] [PubMed]
  12. Sanz-Ruiz, P.; Paz, E.; Abenojar, J.; del Real, J.C.; Vaquero, J.; Forriol, F. Effects of vancomycin, cefazolin and test conditions on the wear behavior of bone cement. J. Arthroplast. 2014, 29, 16–22. [Google Scholar] [CrossRef] [PubMed]
  13. Aho, O.-M.; Lehenkari, P.; Ristiniemi, J.; Lehtonen, S.; Risteli, J.; Leskelä, H.-V. The mechanism of action of induced membranes in bone repair. J. Bone Jt. Surg. 2013, 95, 597–604. [Google Scholar] [CrossRef]
  14. Giannoudis, P.V.; Harwood, P.J.; Tosounidis, T.; Kanakaris, N.K. Restoration of long bone defects treated with the induced membrane technique: Protocol and outcomes. Injury 2016, 47 (Suppl. 6), S53–S61. [Google Scholar] [CrossRef]
  15. Henrich, D.; Seebach, C.; Nau, C.; Basan, S.; Relja, B.; Wilhelm, K.; Schaible, A.; Frank, J.; Barker, J.; Marzi, I. Establishment and characterization of the Masquelet induced membrane technique in a rat femur critical-sized defect model. J. Tissue Eng. Regen. Med. 2016, 10, E382–E396. [Google Scholar] [CrossRef]
  16. Ikeda, S.; Uchiyama, K.; Minegishi, Y.; Ohno, K.; Nakamura, M.; Yoshida, K.; Fukushima, K.; Takahira, N.; Takaso, M. Double-layered antibiotic-loaded cement spacer as a novel alternative for managing periprosthetic joint infection: An in vitro study. J. Orthop. Surg. Res. 2018, 13, 322. [Google Scholar] [CrossRef] [PubMed]
  17. Saravolatz, L.D.; Billeter, M.; Zervos, M.J.; Chen, A.Y.; Dalovisio, J.R.; Kurukularatne, C. Dalbavancin: A novel once-weekly lipoglycopeptide antibiotic. Clin. Infect. Dis. 2008, 46, 577–583. [Google Scholar] [CrossRef] [PubMed]
  18. Cercenado, E. Antimicrobial spectrum of dalbavancin. Mechanism of action and in vitro activity against gram-positive microorganisms. Enferm. Infecc. Microbiol. Clin. 2017, 35 (Suppl. 1), 9–14. [Google Scholar] [CrossRef]
  19. Di Pilato, V.; Ceccherini, F.; Sennati, S.; D’Agostino, F.; Arena, F.; D’Atanasio, N.; Di Giorgio, F.P.; Tongiani, S.; Pallecchi, L.; Rossolini, G.M. In vitro time-kill kinetics of dalbavancin against Staphylococcus spp. biofilms over prolonged exposure times. Diagn. Microbiol. Infect. Dis. 2020, 96, 114901. [Google Scholar] [CrossRef]
  20. Díaz-Ruíz, C.; Alonso, B.; Cercenado, E.; Cruces, R.; Bouza, E.; Muñoz, P.; Guembe, M. Can dalbavancin be used as a catheter lock solution? Antimicrob. Agents Chemother. 2018, 67, 936–944. [Google Scholar] [CrossRef]
  21. Sivori, F.; Cavallo, I.; Kovacs, D.; Guembe, M.; Sperduti, I.; Truglio, M.; Pasqua, M.; Prignano, G.; Mastrofrancesco, A.; Toma, L.; et al. Role of extracellular DNA in dalbavancin activity against methicillin-resistant staphylococcus aureus (MRSA) biofilms in patients with skin and soft tissue infections. Microbiol. Spect. 2022, 10, e0035122. [Google Scholar] [CrossRef] [PubMed]
  22. Jacob, B.; Makarewicz, O.; Hartung, A.; Brodt, S.; Roehner, E.; Matziolis, G. In vitro additive effects of dalbavancin and rifampicin against biofilm of Staphylococcus aureus. Sci. Rep. 2021, 11, 23425. [Google Scholar] [CrossRef]
  23. Boucher, H.W.; Wilcox, M.; Talbot, G.H.; Puttagunta, S.; Das, A.F.; Dunne, M.W. Once-weekly dalbavancin versus daily conventional therapy for skin infection. N. Engl. J. Med. 2014, 370, 2169–2179. [Google Scholar] [CrossRef]
  24. Poliseno, M.; Bavaro, D.F.; Brindicci, G.; Luzzi, G.; Carretta, D.M.; Spinarelli, A.; Messina, R.; Miolla, M.P.; Achille, T.I.; Dibartolomeo, M.R.; et al. Dalbavancin efficacy and impact on hospital length-of-stay and treatment costs in different gram-positive bacterial infections. Clin. Drug Investig. 2021, 41, 437–448. [Google Scholar] [CrossRef] [PubMed]
  25. Pfaller, M.A.; Flamm, R.K.; Castanheira, M.; Sader, H.S.; Mendes, R.E. Dalbavancin in-vitro activity obtained against Gram-positive clinical isolates causing bone and joint infections in US and European hospitals (2011–2016). Antimicrob. Agents Chemother. 2018, 51, 608–611. [Google Scholar] [CrossRef]
  26. Morata, L.; Cobo, J.; Fernández-Sampedro, M.; Vasco, P.G.; Ruano, E.; Lora-Tamayo, J.; Somolinos, M.S.; Ruano, P.G.; Nieto, A.R.; Arnaiz, A.; et al. Safety and efficacy of prolonged use of dalbavancin in bone and joint infections. Antimicrob. Agents Chemother. 2019, 63, e02280-18. [Google Scholar] [CrossRef] [PubMed]
  27. Tobudic, S.; Forstner, C.; Burgmann, H.; Lagler, H.; Steininger, C.; Traby, L.; Vossen, M.G.; Winkler, S.; Thalhammer, F. Real-world experience with dalbavancin therapy in gram-positive skin and soft tissue infection, bone and joint infection. Infection 2019, 47, 1013–1020. [Google Scholar] [CrossRef]
  28. Silva, V.; Antão, H.S.; Guimarães, J.; Prada, J.; Pires, I.; Martins, Â.; Maltez, L.; Pereira, J.E.; Capelo, J.L.; Igrejas, G.; et al. Efficacy of dalbavancin against MRSA biofilms in a rat model of orthopaedic implant-associated infection. J. Antimicrob. Chemother. 2020, 75, 2182–2187. [Google Scholar] [CrossRef]
  29. Dunne, M.W.; Puttagunta, S.; Sprenger, C.R.; Rubino, C.; Van Wart, S.; Baldassarre, J. Extended-duration dosing and distribution of dalbavancin into bone and articular tissue. Antimicrob. Agents Chemother. 2015, 59, 1849–1855. [Google Scholar] [CrossRef]
  30. Martín, L.B.; Fernández, M.M.; Ruiz, J.M.P.; Lafont, M.O.; Paredes, L.Á.; Rodríguez, M.Á.M.; Regueras, M.F.; Morón, M.Á.M.; Lobón, G.M. Dalbavancin for treating prosthetic joint infections caused by gram-positive bacteria: A proposal for a low dose strategy. A retrospective cohort study. Rev. Esp. Quimioter. 2019, 32, 532–538. [Google Scholar]
  31. Barnea, Y.; Lerner, A.; Aizic, A.; Navon-Venezia, S.; Rachi, E.; Dunne, M.W.; Puttagunta, S.; Carmeli, Y. Efficacy of dalbavancin in the treatment of MRSA rat sternal osteomyelitis with mediastinitis. J. Antimicrob. Chemother. 2015, 71, 460–463. [Google Scholar] [CrossRef] [PubMed]
  32. Almangour, T.A.; Perry, G.K.; Terriff, C.M.; Alhifany, A.A.; Kaye, K.S. Dalbavancin for the management of gram-positive osteomyelitis: Effectiveness and potential utility. Diagn. Microbiol. Infect. Dis. 2019, 93, 213–218. [Google Scholar] [CrossRef]
  33. Sanz-Ruiz, P.; Matas-Diez, J.A.; Villanueva-Martínez, M.; Blanco, A.D.S.V.; Vaquero, J. Is dual antibiotic-loaded bone cement more effective and cost-efficient than a single antibiotic-loaded bone cement to reduce the risk of prosthetic joint infection in aseptic revision knee arthroplasty? J. Arthroplast. 2020, 35, 3724–3729. [Google Scholar] [CrossRef] [PubMed]
  34. Bouza, E.; Valerio, M.; Soriano, A.; Morata, L.; Carus, E.G.; Rodríguez-González, M.C.; Hidalgo-Tenorio, C.; Plata, A.; Muñoz, P.; Vena, A.; et al. Dalbavancin in the treatment of different gram-positive infections: A real-life experience. Int. J. Antimicrob. Agents 2018, 51, 571–577. [Google Scholar] [CrossRef] [PubMed]
  35. Durante-Mangoni, E.; Gambardella, M.; Iula, V.D.; De Stefano, G.F.; Corrado, M.F.; Esposito, V.; Gentile, I.; Coppola, N. Current trends in the real-life use of dalbavancin: Report of a study panel. Int. J. Antimicrob. Agents 2020, 56, 106107. [Google Scholar] [CrossRef]
  36. Malchau, K.S.; Tillander, J.; Zaborowska, M.; Hoffman, M.; Lasa, I.; Thomsen, P.; Malchau, H.; Rolfson, O.; Trobos, M. Biofilm properties in relation to treatment outcome in patients with first-time periprosthetic hip or knee joint infection. J. Orthop. Transl. 2021, 30, 31–40. [Google Scholar]
  37. Davidson, D.J.; Spratt, D.; Liddle, A.D. Implant materials and prosthetic joint infection: The battle with the biofilm. EFORT Open Rev. 2019, 4, 633–639. [Google Scholar] [CrossRef]
  38. López-Torres, I.I.; Vaquero-Martín, J.; Torres-Suárez, A.I.; Navarro-García, F.; Fraguas-Sánchez, A.I.; León-Román, V.E.; Sanz-Ruíz, P. The tale of microencapsulated rifampicin: Is it useful for the treatment of periprosthetic joint infection? Int. Orthop. 2022, 46, 677–685. [Google Scholar] [CrossRef]
  39. Silva, T.; Silva, J.C.; Colaco, B.; Gama, A.; Duarte-Araújo, M.; Fernandes, M.H.; Bettencourt, A.; Gomes, P. In vivo tissue response and antibacterial efficacy of minocycline delivery system based on polymethylmethacrylate bone cement. J. Biomater. Appl. 2018, 33, 380–391. [Google Scholar] [CrossRef]
  40. Lawrie, C.M.; Jo, S.; Barrack, T.; Roper, S.; Wright, R.W.; Nunley, R.M.; Barrack, R.L. Local delivery of tobramycin and vancomycin in primary total knee arthroplasty achieves minimum inhibitory concentrations for common bacteria causing acute prosthetic joint infection. Bone Jt. J. 2020, 102 (Suppl. A), 163–169. [Google Scholar] [CrossRef]
  41. Martínez-Moreno, J.; Merino, V.; Nácher, A.; Rodrigo, J.L.; Yuste, B.B.B.; Merino-Sanjuán, M. Bioactivity of ceftazidime and fluconazole included in polymethyl methacrylate bone cement for use in arthroplasty. J. Arthroplast. 2017, 32, 3126.e1–3133.e1. [Google Scholar] [CrossRef] [PubMed]
  42. Amerstorfer, F.; Fischerauer, S.; Sadoghi, P.; Schwantzer, G.; Kuehn, K.D.; Leithner, A.; Glehr, M. Superficial vancomycin coating of bone cement in orthopedic revision surgery: A safe technique to enhance local antibiotic concentrations. J. Arthroplast. 2017, 32, 1618–1624. [Google Scholar] [CrossRef] [PubMed]
  43. Lin, T.; Cai, X.-Z.; Shi, M.-M.; Ying, Z.-M.; Hu, B.; Zhou, C.-H.; Wang, W.; Shi, Z.-L.; Yan, S.-G. In Vitro and In Vivo Evaluation of Vancomycin-Loaded PMMA Cement in Combination with Ultrasound and Microbubbles-Mediated Ultrasound. BioMed Res. Int. 2015, 2015, 309739. [Google Scholar] [CrossRef] [PubMed]
  44. Minelli, E.B.; Benini, A.; Samaila, E.; Bondi, M.; Magnan, B. Antimicrobial activity of gentamicin and vancomycin combination in joint fluids after antibiotic-loaded cement spacer implantation in two-stage revision surgery. J. Chemother. 2015, 27, 17–24. [Google Scholar] [CrossRef]
  45. Hsu, Y.-H.; Hu, C.-C.; Hsieh, P.-H.; Shih, H.-N.; Ueng, S.W.; Chang, Y. Vancomycin and ceftazidime in bone cement as a potentially effective treatment for knee periprosthetic joint infection. J. Bone Jt. Surg. 2017, 99, 223–231. [Google Scholar] [CrossRef]
  46. Meeker, D.G.; Beenken, K.E.; Mills, W.B.; Loughran, A.J.; Spencer, H.J.; Lynn, W.B.; Smeltzer, M.S. Evaluation of Antibiotics Active against Methicillin-Resistant Staphylococcus aureus Based on Activity in an Established Biofilm. Antimicrob. Agents Chemother. 2016, 60, 5688–5694. [Google Scholar] [CrossRef]
  47. Darouiche, R.; Mansouri, M. Dalbavancin compared with vancomycin for prevention of Staphylococcus aureus colonization of devices in vivo. J. Infect. 2005, 50, 206–209. [Google Scholar] [CrossRef]
  48. Díaz-Navarro, M.; Hafian, R.; Manzano, I.; Pérez-Granda, M.J.; Cercenado, E.; Pascual, C.; Rodríguez, C.; Muñoz, P.; Guembe, M. A dalbavancin lock solution can reduce enterococcal biofilms after freezing. Infect. Dis. Ther. 2022, 11, 743–755. [Google Scholar] [CrossRef]
  49. Oliva, A.; Stefani, S.; Venditti, M.; Di Domenico, E.G. Biofilm-related infections in gram-positive bacteria and the potential role of the long-acting agent dalbavancin. Front. Microbiol. 2021, 12, 749685. [Google Scholar] [CrossRef]
  50. Morris, J.L.; Letson, H.L.; Grant, A.; Wilkinson, M.; Hazratwala, K.; McEwen, P. Experimental model of peri-prosthetic infection of the knee caused by Staphylococcus aureus using biomaterials representative of modern TKA. Biol. Open 2019, 8, bio045203. [Google Scholar] [CrossRef]
  51. Silva, V.; Miranda, C.; Antão, H.S.; Guimarães, J.; Prada, J.; Pires, I.; Maltez, L.; Pereira, J.E.; Capelo, J.L.; Igrejas, G.; et al. Therapeutic potential of dalbavancin in a rat model of methicillin-resistant Staphylococcus aureus (MRSA)-osteomyelitis. Int. J. Antimicrob. Agents 2020, 56, 106021. [Google Scholar] [CrossRef] [PubMed]
  52. Almangour, T.A.; Alhifany, A.A. Dalbavancin for the management of osteomyelitis: A major step forward? J. Antimicrob. Chemother. 2020, 75, 2717–2722. [Google Scholar] [CrossRef] [PubMed]
  53. Levack, A.E.; Turajane, K. Thermal stability and in vitro elution kinetics of alternative antibiotics in polymethylmethacrylate (PMMA). Bone Cem. 2021, 103, 1694–1704. [Google Scholar] [CrossRef] [PubMed]
  54. Slane, J.; Gietman, B.; Squire, M. Antibiotic elution from acrylic bone cement loaded with high doses of tobramycin and vancomycin. J. Orthop. Res. Off. Publ. Orthop. Res. Soc. 2018, 36, 1078–1085. [Google Scholar] [CrossRef]
  55. Klekamp, J.; Dawson, J.M.; Haas, D.W.; DeBoer, D.; Christie, M. The use of vancomycin and tobramycin in acrylic bone cement: Biomechanical effects and elution kinetics for use in joint arthroplasty. J. Arthroplast. 1999, 14, 339–346. [Google Scholar] [CrossRef]
  56. Azanza, J.R.; Sádaba, B.; Reis, J. Dalbavancin: Pharmacokinetic and pharmacodynamic parameters. Enferm. Infecc. Microbiol. Clin. 2017, 35 (Suppl. 1), 22–27. [Google Scholar] [CrossRef]
Figure 1. Cumulative antibiotic release over 14-day period for each group of antibiotics. V, vancomycin; D, dalbavancin; h, hours.
Figure 1. Cumulative antibiotic release over 14-day period for each group of antibiotics. V, vancomycin; D, dalbavancin; h, hours.
Antibiotics 11 01300 g001
Table 1. Cumulative concentration for each antibiotic over a 14-day period.
Table 1. Cumulative concentration for each antibiotic over a 14-day period.
Time (Hours)Cumulative Concentration (µg/mL)
Mean ± SD
2.5% V 5% V2.5% D5% D
116.13 (1.88)24.44 (0.42)4.35 (1.92)7.43 (1.18)
231.49 (2.44)50.54 (0.77)6.32 (2.00)13.05 (1.30)
449.08 (3.56)77.95 (1.37)8.75 (1.97)19.25 (0.39)
868.60 (4.15)98.68 (0.86)10.58 (1.91)23.98 (0.56)
2489.31 (3.25)119.27 (1.39)23.70 (3.13)47.82 (3.96)
48110.55 (1.07)141.48 (0.57)35.68 (4.35)72.45 (7.71)
168132.29 (2.65)166.07 (2.28)63.98 (7.08)117.32 (5.23)
336158.49 (3.09)192.67 (3.92)85.73 (7.64)157.12 (12.43)
SD, standard deviation, V, vancomycin; D, dalbavancin.
Publisher’s Note: MDPI stays neutral with regard to jurisdictional claims in published maps and institutional affiliations.

Share and Cite

MDPI and ACS Style

Sánchez-Somolinos, M.; Díaz-Navarro, M.; Benjumea, A.; Tormo, M.; Matas, J.; Vaquero, J.; Muñoz, P.; Sanz-Ruíz, P.; Guembe, M. Determination of the Elution Capacity of Dalbavancin in Bone Cements: New Alternative for the Treatment of Biofilm-Related Peri-Prosthetic Joint Infections Based on an In Vitro Study. Antibiotics 2022, 11, 1300. https://doi.org/10.3390/antibiotics11101300

AMA Style

Sánchez-Somolinos M, Díaz-Navarro M, Benjumea A, Tormo M, Matas J, Vaquero J, Muñoz P, Sanz-Ruíz P, Guembe M. Determination of the Elution Capacity of Dalbavancin in Bone Cements: New Alternative for the Treatment of Biofilm-Related Peri-Prosthetic Joint Infections Based on an In Vitro Study. Antibiotics. 2022; 11(10):1300. https://doi.org/10.3390/antibiotics11101300

Chicago/Turabian Style

Sánchez-Somolinos, Mar, Marta Díaz-Navarro, Antonio Benjumea, Marta Tormo, José Matas, Javier Vaquero, Patricia Muñoz, Pablo Sanz-Ruíz, and María Guembe. 2022. "Determination of the Elution Capacity of Dalbavancin in Bone Cements: New Alternative for the Treatment of Biofilm-Related Peri-Prosthetic Joint Infections Based on an In Vitro Study" Antibiotics 11, no. 10: 1300. https://doi.org/10.3390/antibiotics11101300

APA Style

Sánchez-Somolinos, M., Díaz-Navarro, M., Benjumea, A., Tormo, M., Matas, J., Vaquero, J., Muñoz, P., Sanz-Ruíz, P., & Guembe, M. (2022). Determination of the Elution Capacity of Dalbavancin in Bone Cements: New Alternative for the Treatment of Biofilm-Related Peri-Prosthetic Joint Infections Based on an In Vitro Study. Antibiotics, 11(10), 1300. https://doi.org/10.3390/antibiotics11101300

Note that from the first issue of 2016, this journal uses article numbers instead of page numbers. See further details here.

Article Metrics

Back to TopTop