Abstract
The goal of this research is to investigate the antimicrobial activity of nineteen previously synthesized 3,6-disubstituted-1,2,4-triazolo[3,4-b]-1,3,4-thiadiazole derivatives. The compounds were tested against a panel of three Gram-positive and three Gram-negative bacteria, three resistant strains, and six fungi. Minimal inhibitory, bactericidal, and fungicidal concentrations were determined by a microdilution method. All of the compounds showed antibacterial activity that was more potent than both reference drugs, ampicillin and streptomycin, against all bacteria tested. Similarly, they were also more active against resistant bacterial strains. The antifungal activity of the compounds was up to 80-fold higher than ketoconazole and from 3 to 40 times higher than bifonazole, both of which were used as reference drugs. The most active compounds (2, 3, 6, 7, and 19) were tested for their inhibition of P. aeruginosa biofilm formation. Among them, compound 3 showed significantly higher antibiofilm activity and appeared to be equipotent with ampicillin. The prediction of the probable mechanism by docking on antibacterial targets revealed that E. coli MurB is the most suitable enzyme, while docking studies on antifungal targets indicated a probable involvement of CYP51 in the mechanism of antifungal activity. Finally, the toxicity testing in human cells confirmed their low toxicity both in cancerous cell line MCF7 and non-cancerous cell line HK-2.
1. Introduction
Despite an indisputable contribution of the existing antimicrobial agents to life expectancy, bacterial infections continue to cause serious diseases which lead to mortality in all parts of the world. The main reason for this is antimicrobial resistance, which is the result of the appearance and broad extension of microbes including both Gram-positive and Gram-negative bacteria [1,2,3,4,5]. The main targets of antimicrobial drugs are the biosynthesis of proteins, RNA, DNA, cell walls, and folic acid. Indeed, numerous inhibitors against them have been successfully discovered [6,7]. Nevertheless, the rate of novel antibiotic discoveries is markedly diminished compared to the period referred to as the “golden era” of antibiotic drug discovery [8].
On the other hand, another fundamental problem is invasive and systemic fungal infections, which are also complicated by the development of resistant strains in health care units nowadays. This has led to a rise in death, mostly due to the Candida and Aspergillus species [9,10]. Immune-deficient patients and those using often antimycotic drugs are more susceptible to infections caused by these two species.
In the past decades, the problem of multidrug resistant microorganisms has reached a dangerous level around the world, causing serious life-threatening infections. Thus, the problem of multidrug-resistant bacteria and the fight against them is still, and likely even more so than in the past, an attractive target for the scientific community. The development of new molecules with different and particularly dissimilar mechanisms of action, circumventing cross-resistance relative to current accessible therapeutics, is highly desired.
Heterocycles with nitrogen and sulfur (in particular five membered with two or three heteroatoms) are structural units in many pharmaceutical preparations, encompassing antifungal drugs used for invasive infections such as fluconazole, intraconazole, viroconazole, and posaronazole, and anti-glaucoma and antileptic drugs blocking carbonic anhydrase acetazolamide and methazolamide. Thus, 1,2,4-triazoles and their heterocyclic derivatives represent attractive agents with numerous biological properties such as antitubercular [11,12,13], analgesic [14,15], anti-inflammatory [14,16,17], anticancer [18], anticonvulsant [19,20], antiviral [21], antibacterial [22,23,24,25], and antifungal properties [26,27,28,29].
A close structural alternative is the 1,3,4-thiadiazole ring. Being a part of the latest generation of cephalosporins, it encourages scientists to utilize this scaffold in the preparation of new antimicrobial agents. This has stimulated investigation for using this ring in the preparation of novel antimicrobial compounds. Drugs containing this ring are known to have multiple biological activities such as antimicrobial [30,31,32], antifungal [33,34,35], and a range of other pharmacological properties [36,37,38,39,40].
Similarly, sulfonamides have attracted the interest of researches due to their wide spectrum of biological activity, including known antibiotics [41] but also antitumor drugs [42,43], carbonic anhydrase inhibitors [44,45,46], anti-inflammatory drugs [46,47], antiretroviral activity [48,49], and, of course, antimicrobial properties [50,51,52,53,54,55] among others [56,57,58,59].
It should be mentioned that sulfonamides were the first antibiotics ever clinically used and, since that time, they are still frequently employed. They are known to be active against both Gram-positive and Gram-negative bacteria. Due to low manufacturing cost, combined with potent activity against bacterial illnesses, sulfonamides and their various derivatives are among the most widely used antimicrobial agents [60].
We have synthesized previously nineteen new compounds that combine in the structure triazolo based-thiadiazole and sulfonamide moieties. Thus, they may exhibit potent antimicrobial action. The combination of two or more bioactive pharmacophores in one frame is essential for the new drug discovery [61].
The purpose of this study is the experimental testing of the antibacterial and antifungal actions of the synthesized compounds, which was conducted in order to identify the most promising antimicrobial agents and determine which activity should be further evaluated in greater detail.
2. Results and Discussion
2.1. Chemistry
All compounds were previously synthesized by us, and their synthetic scheme and characterization was presented in our previous paper [62]. Their structures are presented in Table 1.
Table 1.
Structure of tested compounds.
2.2. Prediction of Toxicity
Considering the importance of predicting toxicity in drug design, two computer programs, ToxPredict (OPENTOX) and PROTOX, were employed in the current work [63,64,65]. These programs predict probability of carcinogenicity and mutagenicity in various organisms using in silico models and the semi lethal dose (LD50) in rodents. The accuracy of prediction increases as the confidence values rise. In particular, reliable estimates should be higher than 0.025. All compounds showed a confidence from 0.026 to 0.041 and an LD50 of 800 mg/kg or higher belonging to group four, according to the Globally Harmonized System of Classification and Labeling of Chemicals (GHS) [66], and were considered safe for biological experiments. The results of the prediction are presented in Tables S1 and S2 (Supplementary Files).
2.3. Biological Evaluation
2.3.1. Antibacterial Activity
Compounds 1–19 were evaluated for their antibacterial activity by a microdilution method. The minimum inhibitory concentration of compounds was between 5 and 150 μg/mL and MBC from 10 to 200 μg/mL (Table 2).
Table 2.
Antibacterial activity of compounds 1–19 (MIC and MBC in μg/mL).
The antibacterial potency can be presented as: 19 > 3 > 6 > 2 > 7 > 9 = 10 = 11 = 12 > 15 > 18 > 5 = 17 > 8 > 16 > 4 > 13 > 14 > 1. The most potent antibacterial activity was achieved for the derivative 19 with MIC in range of 5–20 μg/mL and MBC at 10–40 μg/mL, whereas compound 1 was the least active. It was observed that the sensitivity of most bacteria to the studied derivatives was almost similar. Thus, the effectiveness of compounds tested against E. coli can be presented as follows: 1 = 2 = 3 = 5 = 9 = 11= 12 = 16 = 17 = 18 > 6 = 10 = 14 = 15 > 4 = 7 > 8 > 13 > 19, while for the most resistant P. aeruginosa it was: 1 = 3 = 5 = 7 = 13 > 2 = 6 = 9 = 19 > 4 > 10 = 11 = 15= 18 > 8= 14 = 17 > 12 = 16.
Compounds 17 and 19 exhibited the best activity against B. cereus with MIC at 8 mg/mL, 5 μg/mL, and MBC at 20 μg/mL and 10 mg/mL, respectively. Good activity against this bacterial strain was also shown by compounds 3, 4, 5, 7, 10, 14, 16, and 18 with MIC values of 15 μg/mL and MBC at 20 μg/mL, while some of them (3, 5 and 7) displayed the similar good activity against P. aeruginosa. Compounds 6, 19 (MIC 5 μg/mL, MBC 10 μg/mL) and 10 with MIC at 0.008 mg/mL exhibited very good activity against S. Typhimurium, while compounds 1 and 2 also showed good activity against this strain. Compound 3 exhibited the best activity against L. monocytogenes (MIC 5 μg/mL), whereas S. aureus was mostly susceptible to derivatives 2, 4, 6, 10, and 19 (MIC 10 μg/mL).
It is interesting to mention that all derivatives demonstrated higher activity than both reference drugs, ampicillin and streptomycin, against the examined bacterial strains (Table 2).
Analysis of the structure-activity relationships demonstrated that the presence of benzene (19) as substituent at the position 6 of 1,2,4-triazolo-[3,4-b]-1,3,4-thiadiazole group is favorable for antibacterial activity. Replacement of benzene by cinnamic acid (3) mildly reduced the activity, while the introduction of phenoxymethyl as a substituent at position 6 (6) decreased the activity more significantly. The presence of 3,4-dimethoxy-benzyl (2) appeared to be less important than the two previous ones, being still (like compounds 3 and 6) among the most active compounds, while the 4-methoxy-benzyl group (1) had a negative influence on the activity.
The activity of all compounds against resistant strains was also investigated (Table 3). The antibacterial effects against three selected resistant strains of bacteria (MRSA, P. aeruginosa and E. coli) were completely different than that against non-resistant strains and followed the order: 11 > 17 > 10 > 1 > 16 > 19 > 9 > 7 > 4 > 3 > 6 > ¬ 12 = 13 > 2 > 5 > 18 > 8 > 15 > 14. Thus, the most potent compound against resistant strains appeared to be 11 with MIC (8–10 μg/mL) and MBC values of 10 to 20 μg/mL, while towards the non-resistant strains it was in the middle of the activity order. Compound 1 showed the lowest activity against non-resistant strains, while against resistant ones it was one of the most active. Like in case of non-resistant bacteria the most sensitive among resistant strains appeared to be E. coli and the most resistant was P. aeruginosa.
Table 3.
Antibacterial activity of compounds 1–19 against resistant strains (MIC and MBC in μg/mL).
Ampicillin exhibited only an inhibitory potency at 200 μg/mL, Streptomycin possessed MIC at 50–100 μg/mL and MBC at 100–200 μg/mL, with no bactericidal effect observed against MRSA. Hence, the tested compounds provided superior activity over ampicillin and streptomycin.
From the study of the structure-activity relationships, it is obvious that the presence of 2-chloro-4-nitrobenzene (11) at the position 6 of 1,2,4-triazolo-[3,4-b]-1,3,4-thiadiazole group was favorable for antibacterial activity against resistant strains, while the introduction of 3-amino-benzene (17), 3-methyl-4-nitrobenzene (10), and phenoxymethyl (1) as substituents led to compounds with decreased activity. On the other hand, the presence of the 4-pyridinyl (14) substituent was detrimental on activity against resistant bacteria, resulting in a less active compound.
The comparison of activity toward non-resistant and resistant strains demonstrated that there are large differences. Thus, the compound 19 was the most potent against non-resistant strains, while it was less active against resistant bacteria being in position 6 of the activity order. On the other hand, compound 11 was the most active against resistant strains and was not very active against non-resistant ones.
The comparison of activity of aminophenyl derivatives (7, 17 and 18) revealed that the most favorable activity for non-resistant strains was shown by 2-aminophenyl (7), followed by 4-aminophenyl (18), with the 3-aminophenyl substitution (17) to be the less potent one, while for resistant strains it is 17 > 7 > 18. In the case of methoxybenzyl derivatives (1, 2, 8, 9), the order of activity can be presented as 2 > 9 > 8 > 1. Thus, the most potent among them was found to be 2,3-dimethoxybenzene (2) and lower potential was observed for 4-methoxybenzyl substitution (1), while in instance of resistant strains compound 1 was the most active (1 > 9 > 2 > 8). Among pyridine substituted derivatives (14, 15, 16), the most active appeared to be the 2-pyridine derivative (15), and compound 14 the less active, while against the resistant strains the order was 16 > 15 > 14.
Five compounds at the MIC and its half (2, 3, 6, 7, 19) were tested for their ability to inhibit P. aeruginosa biofilm formation. The biofilm formation is a means of self-protection of bacteria, which often leads to decreasing the therapeutic effects and increasing the drug resistance. More importantly, biofilm accounts for more than 70% of human bacterial infection, which causes a series of obstacles to antibacterial treatment [67].
MIC of compound 3 showed significantly higher antibiofilm activity compared to other compounds (Table 4) and was more potent than ampicillin and streptomycin. Compound 3 applied even in concentration twice lower than its MIC still exhibited promising antibiofilm activity and reduced P. aeruginosa biofilm for 62.82%. The remaining compounds (2, 6, 7 and 19), applied in their MICs and 0.5 MICs showed similar reduction abilities (44.13–50.85% and 31.9–41.5%, respectively).
Table 4.
Effect of selected compounds on P. aeruginosa biofilm formation.
2.3.2. Antifungal Activity
Evaluation of antifungal activity of triazolo-thiadiazole derivatives revealed that all compounds displayed very good antifungal activities (MIC at 2–40 μg/mL and MFC at 5–67 μg/mL, Table 5) with the following order: 4 > 6 > 2 > 16 > 1 > 7 > 8 > 18 > 14 > 15 > 17 > 3 > 19 > 9 = 10 > 11> 5 > 13 > 12. It is obvious that compound 4 demonstrated the highest potency among all derivatives with MIC values in range of 2–10 μg/mL and MFC at 5–20 μg/mL. On the other hand, compound 12 showed the lowest activity. Interestingly, this compound was one of the less active against bacteria too.
Table 5.
Antifungal activity of compounds 1–19. (ΜIC and MFC in μg/mL).
Similar to the bacteria, most of the fungi showed analogous sensitivity towards the triazolo-thiadiazoles tested. Therefore, the order of activity, against the most sensitive T.viride, can be presented as: 1 = 2 = 3 = 6 = 11 = 13 > 16 > 4 = 7 = 8 = 9 = 10 = 12 = 14 = 15 = 17 > 5 = 18 = 19, while against two of the most resistant fungi P. funiculosum and P. verrucosum var. cyclopium it was: 11 > 7 > 2 = 4 = 6 = 8 = 10 = 16 > 1 = 3 = 18 = 19 > 5 = 14 = 15= 17> 12 > 8 = 13 and 11 > 1 = 2 = 4 = 6 > 8 > 3 = 5 = 7= 10 = 12 = 16 = 19 > 9 = 13 = 14 = 15 = 17 = 18, respectively.
Compounds, 1, 3, 6, 11 and 13 demonstrated excellent activity against T. viride (MIC/MFC at 2/5 μg/mL). Additionally, derivative 11 had the same potency also against P. funiculosum and P. verrucosum var. cyclopium, while compounds 1 and 4 against A. versicolor. Compounds 6 and 9 exhibited good activity (MIC 5 μg/mL, MFC 10 μg/mL) against filamentous A. versicolor and A. fumigatus fungi. These strains cause aspergillosis and, together with candidiasis, are mostly responsible for morbidity and mortality of immunocompromised patients [68].
Ketoconazole demonstrated antifungal potency at MIC 200–1000 μg/mL and MFC at 500–1500 μg/mL, being 80-fold less active than the triazolo-thiadiazole derivatives, whereas bifonazole showed MIC at 100–200 μg/mL and MFC at 200–50 μg/mL, 3–40 times less than that of studied compounds.
Analysis of the structure-activity relationships revealed that for antifungal activity, the presence of 2-(2-methoxy-phenyl)-ethyl group in position 6 of triazole-thiadiazole plays a positive role since compound (4) exhibited the best activity. Replacement of this substituent by phenoxymethyl (6), 3,4-dimethoxy-benzyl (2) and 3-bromo-pyridinyl (16) groups decreased activity but these compounds still remained among the most active. The introduction of a benzyl group at the position 6 was not favorable in relation to antifungal activity. The obtained results showed that compounds 2 and 6 exhibited dual action, both antibacterial and antifungal.
In conclusion, all compounds demonstrated good antibacterial against non- and resistant strains, as well as antifungal potency higher than the reference drugs ampicillin, streptomycin, ketoconazole, and bifonazole.
2.4. Docking Studies
2.4.1. Docking to Antibacterial Targets
According to the estimated energies of binding to E. coli DNA gyrase, thymidylate kinase, E. coli primase, and E. coli MurA it is obvious that they are higher than that to E. coli MurB. Thus, it seems that E. coli MurB is probably involved in the mechanism of antibacterial activity (Table 6).
Table 6.
Molecular docking results to antibacterial targets.
According to docking pose of the most active compound 19 in the E. coli MurB enzyme, four favorable hydrogen bond interactions were observed. They are between the oxygen atom of –one OCH3 group of the compound and the hydrogen of the side chain of Ser228, and the oxygen atom of the other -OCH3 group and the side chain of Arg213 (distance 2.24 Å and 2.40 Å, respectively), as well as between the oxygen atom of the –SO2 group of the compound and Arg231 and the S atom of the compound and Lys261 (distance 2.89 Å and 2.70 Å, respectively). Hydrophobic interaction of the fused rings and the residues Ala123, Tyr189, Asn232, Tyr157, and Arg158 as well as of the substituted benzene and the residues Tyr124, Gln287, Gly227, Glu324, Leu289, and Leu217 were observed (Figure 1). On the other hand, the second benzene ring is placed into a cavity consisting of the residues Leu262, Pro251, Tyr253, and Ala263 displaying hydrophobic interaction which contributed to the stabilization of the compound-enzyme complex, justifying the high activity of derivative 19. It is important to highlight the role of hydrogen bond with the residue Ser228, which is involved in the proton transfer at the second stage of peptidoglycan synthesis [69]. The formation of the above-mentioned hydrogen bond by compound 3 also explains its high inhibitory action (Figure 1). It should be mentioned that these compounds, according to the docking studies, inhibit MurB enzyme almost in a similar way forming a hydrogen bond with the residue Ser228 as 3,5-dioxopyrazolidines reported by Yang et al. [70], as well as the thiazolidinones derivatives of our previous work [71].
Figure 1.
(A) Docked conformation of the most active compound 19 in E.coli MurB; (B) 2D diagrams of the most active compounds 19 (up) and 3 (down) in E.coli MurB.
The docking results indicated that compounds 3 and 19 bind MurB in a similar way, fitting into the binding center of the enzyme due to the formation of H-bond with Ser228 (Figure 2).
Figure 2.
Docked conformation of compounds 19 (green), 3 (red), and FAD (yellow) in E.coli MurB.
2.4.2. Docking to Antifungal Targets
Docking of the thiazolo-triazole derivatives as well as ketoconazole was performed on the DNA topoisomerase and 14α-demethylase of C. albicans (Table 7). The last one is the main target of known antifungal drugs.
Table 7.
Molecular docking results on antifungal targets.
It was observed that the most active compound 4 was placed inside the enzyme alongside the heme group, forming aromatic interaction of benzene ring with CYP51Ca as well as hydrophobic interactions between Phe233, Leu376, and Met508 and the benzene rings of the compound. Despite the formation of aromatic interaction of ketoconazole benzene ring with heme, it lacks the hydrophobic interaction detected in compound 4 (Figure 3 and Figure 4). On the other hand, although no interaction of compound 6 with the heme group was observed, a hydrogen bond formation between the oxygen atom of the side chain of the compound and the hydrogen atom of the side chain of Tyr64 was detected, similar to ketoconazole (Figure 3 and Figure 4).
Figure 3.
Docked conformation of ketoconazole in lanosterol 14α-demethylase of C. albicans (CYP51ca).
Figure 4.
Docked conformation of compound 4 (up) and 6 (down) in lanosterol 14α-demethylase of C. albicans (CYP51ca).
2.5. Search for Structural Analogs
We performed the search for structural analogs of the 19 compounds in the CDDI database [72]. As a result, we found that the structural formulae of five compounds investigated in our study match those described earlier [73]. The correspondence between the molecules is as follows: 1 (TS-50), 7 (TS-57), 15 (TS-66), 18 (TS-71), and 19 (TS-167), where the identifiers given in parenthesis are from the paper [71]. However, all five compounds were previously studied in cell cultures as potential oncolytic drugs. No antibacterial and antifungal activity was investigated for those compounds.
Also, for all five compounds, acute toxicity data were determined as LD50 > 500 mg/kg (mouse C57BL/6, intraperitoneally) [73], which are in agreement with our predictions given in Table S2.
It is necessary to highlight that no other structural analogs with antimicrobial activity were found in the CDDI, which provides evidences for the novelty of the tested compounds in this field [74,75].
2.6. In-Silico Predictive Studies
Drug likeness is examined as an important part that provides the base for the molecules to be a powerful oral drug candidate. Various rules viz. Lipinski, Ghose, Veber, Egan, and Muegge were considered to calculate drug-likeness of the candidate compounds.
The results (Table 8) revealed that most of the compounds violated any rule and their bioavailability score was around 0.55, except for compounds 2, 9, 10, and 11 which had two violations and a bioavailability score 0.17. All compounds exhibited moderate to good drug-likeness scores in the range from −0.34 to 0.94, with compounds 13 and 14 exhibiting the best drug-likeness score with values 0.94 and 0.89, respectively. In the case of the most actives compounds in accordance to biological experiments compounds 3, 4, 6, and 19 appeared to have a good in silico prediction with a good drug-likeness score with a value ranging from 0.45 to 0.53. The bioavailability radar of these compounds is displayed in Figure 5, along with their Drug-likeness model score.
Table 8.
Drug likeness predictions and Physicochemical-Pharmacokinetic/ADME properties of tested compounds.
Figure 5.
(A) Bioavailability Radar of the tested compounds. The pink area represents the optimal range for each property for oral bioavailability, (Lipophilicity (LIPO): XLOGP3 between −0.7 and +5.0, Molecular weight (SIZE): MW between 150 and 500 g/mol, Polarity (POLAR) TPSA between 20 and 130 Å2, Solubility (INSOLU): log S not higher than 6, Saturation (INSATU): fraction of carbons in the sp3 hybridization not less than 0.25, and Flexibility (FLEX): no more than 9 rotatable bonds. (B) Drug-likeness model score.
2.7. Cytotoxicity Assays
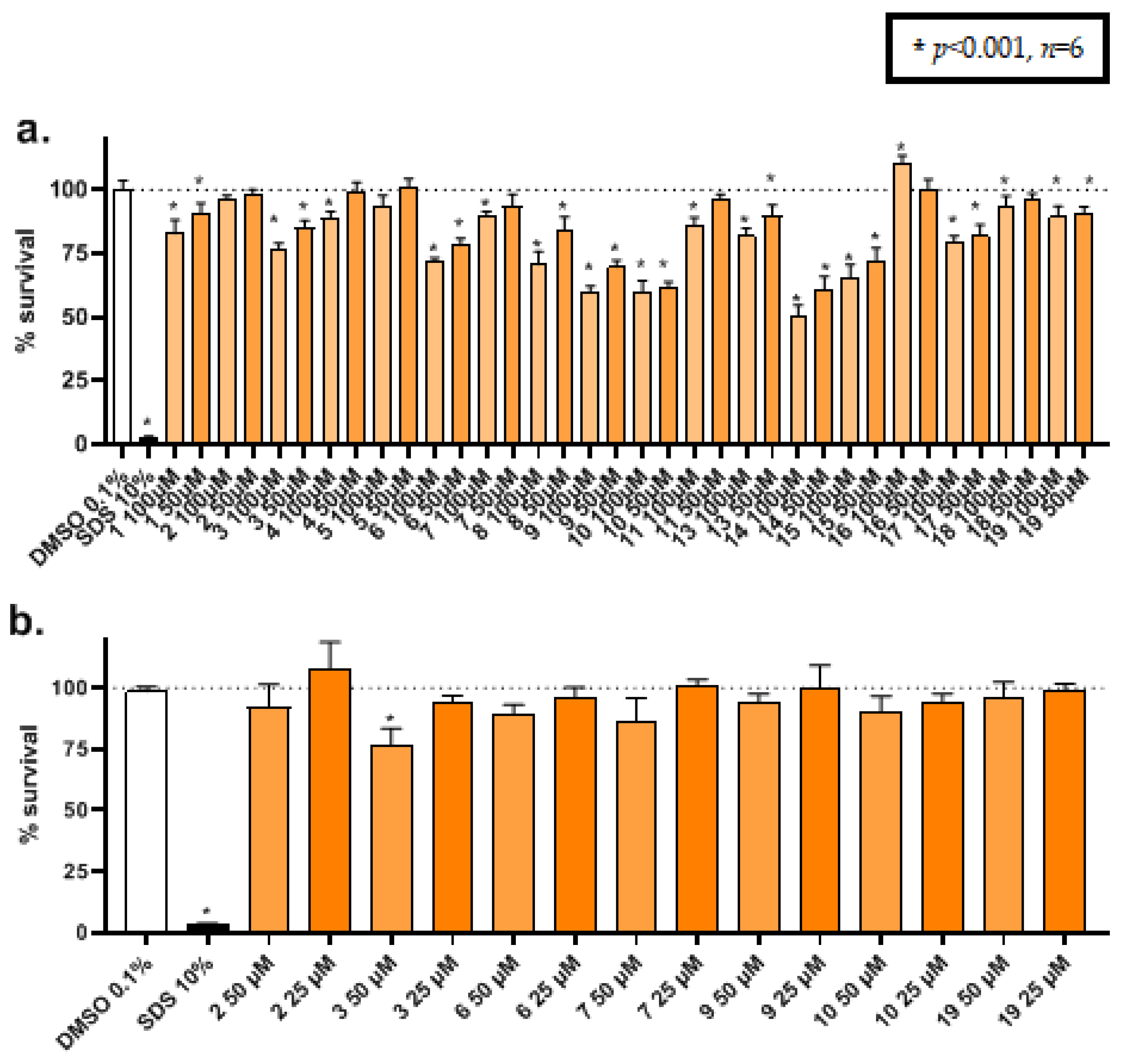
Cytotoxic effect of all the derivates was assessed in sensitive cancerous cell line MCF7/S0.5 at two high concentrations (100 and 50 µM) (Figure 6a). As expected, the survival at concentration 100 µM is lower than that at concentration 50 µM, but in most compounds viability is >75% at 50 µM. In the next step, HK-2 cells were used to evaluate the safety of active compounds at concentrations similar to their IC50 in biological assays. Therefore, concentrations of 50 and 25 µM were chosen. As shown in Figure 6b, all compounds showed to be safe, even at the highest concentration, with the exception of compound 3. As expected, compounds 9 and 10 50 µM were less toxic in HK-2 cells than in MCF7/S0.5 cells. On the contrary, compound 3 was slightly more toxic in HK-2 cells than in cancerous cells. These data confirm that these compounds can be considered safe at least in vitro models, supporting the relevance of the data reported in this study.
Figure 6.
Cytotoxic screening of all compounds in MCF7/S0.5 cells (a) and toxicity of selected active compounds in non-cancerous cell line HK-2 (b) at two different lower concentrations. Results are shown as the mean ± SD. of three independent experiments. As vehicle was used DMSO 0.1% and sodium dodecyl sulfate 10% (SDS 10%) as negative control. Concentrations of 100 μM correspond to weight concentrations of 46 to 54 μg/mL, depending on the molecular weight. Concentrations of 50 μM correspond to 23 to 27 μg/mL and 25 μM to 11–14 μg/mL. Statistical analysis was performed with one-way ANOVA in order to compare the results to the vehicle (100% viability).
3. Materials and Methods
3.1. Biological Valuation
3.1.1. Antimicrobial Activity
Evaluation of antimicrobial activity was performed as described previously [76,77]. Escherichia coli (ATCC 35210), Pseudomonas aeruginosa (ATCC 27853), Salmonella Typhimurium (ATCC 13311), and the Gram-positive bacteria Listeria monocytogenes (NCTC 7973), Bacillus cereus (clinical isolate), and Staphylococcus aureus (ATCC 6538) were used as examples of G- bacteria. For comparison, resistant strains methicillin-resistant Staphylococcus aureus (IBRS MRSA 011), resistant Escherichia coli (IBRS E003) and resistant Pseudomonas aeruginosa (IBRS P001) were also employed. The organisms were obtained from the Mycological Laboratory, Department of Plant Physiology, Institute for Biological Research “Siniša Stankovic”—National Institute of Republic of Serbia, Belgrade, Serbia.
The microdilution method was used for the assessment of minimum inhibitory (MIC) and minimum bactericidal (MBC) concentrations. Tested compounds, dissolved in 5% DMSO, were mixed in a Triptic Soy broth (TSB) medium (100 μL) with bacterial inoculum (1.0 × 104 CFU per well) to achieve the planned concentrations (0.001–1.0 mg/mL). The microplates were incubated for 24 h at 37 °C. An addition of 40 μL of iodonitrotetrazolium chloride (0.2 mg/mL) and incubation at 37 °C for 30 min was used for the determination of MIC. MIC was defined as the lowest concentration, producing a significant inhibition of the growth in comparison with the negative control (5% DMSO). Analogously, MBC was assessed by serial sub-cultivations of 10 μL into microplates containing 100 μL of TSB. The lowest concentration that shows no growth after this sub-culturing was determined as the MBC indicating 99.5% death of the original inoculum. Standard, clinically used drugs, streptomycin and ampicillin, were used as positive controls. All experiments were performed in duplicates and repeated three times.
3.1.2. Inhibition of Biofilm Formation
This method was performed as described previously [78], with some modifications. Briefly, a resistant strain of P. aeruginosa resistant was incubated with MIC and subMIC of tested compounds in TSB enriched with 2% glucose at 37 °C for 24 h. After this period, each well was washed two times with sterile PBS (Phosphate buffered saline, pH 7.4) and fixed with methanol for 10 min. Methanol was then removed and the plate was air dried. Staining of the biofilm was achieved with 0.1% crystal violet (Bio-Merieux, France) for 30 min. Wells were washed with water and air dried, after an addition of 100 μL of 96% ethanol (Zorka, Serbia). The absorbance was read at 620 nm on a Multiskan™ FC Microplate Photometer, Thermo Scientific™. The percentage of inhibition of biofilm formation was calculated by the following formula:
[(A620 control − A620 sample)/A620 control] × 100.
3.2. Antifungal Activity
Six fungal species, Aspergillus niger (ATCC 6275), Aspergillus fumigatus (ATCC 1022), Aspergillus versicolor (ATCC 11730), Penicillium funiculosum (ATCC 36839), Trichoderma viride (IAM 5061), and Penicillium verrucosum var. cyclopium (food isolate) were employed in the antifungal activity testing. The organisms were again obtained from the Mycological Laboratory, Department of Plant Physiology, Institute for Biological Research “Siniša Stankovic,” All experiments were performed in duplicates and repeated three times.
A modified microdilution technique was carried out [79,80]. Briefly, the fungal spores were washed from the surface of agar plates with sterile 0.85% saline containing 0.1% Tween 80 (v/v). The spore suspension was adjusted with sterile saline to a concentration of approximately 1.0 × 105 in a final volume of 100 μL per well. MIC determinations were carried out by a serial dilution technique using 96-well microtiter plates. The examined compounds were diluted in 5% of DMSO (0.001–1.0 mg/mL) and added in broth Malt medium (MA) with inoculum and incubated for 72 h at 28 °C. The lowest concentrations without visible growth analyzed at the binocular microscope were defined as MICs. The fungicidal concentrations (MFCs) were determined by serial subcultivations of 2 μL of well content into microtiter plates containing 100 μL of broth per well and further incubated for 72 h at 28 °C. MFC was defined as the lowest concentration with no visible growth, suggesting a 99.5% rate of killing of the original inoculum. The clinically used fungicides bifonazole and ketoconazole were used as positive controls (1–3500 µg/mL).
3.3. Statistical Analysis
All the assays were carried out three times and the results are expressed as mean values and standard deviation (SD). The results were analyzed using one-way analysis of variance (ANOVA) followed by Tukey’s HSD Test with α = 0.05. The analysis was carried out using the SPSS v. 18.0 program.
3.4. Docking
For the docking studies, AutoDock 4.2® software was applied. The X-ray crystal structures data of the used enzymes were taken from the Protein Data Bank (PDB ID: 1KZN, AQGG, 1DDE, JV4T, 2Q85, 1S16 and 5V5Z respectively) following the procedures described in our previous paper [76].
3.5. Chemical Similarity Assessment
The Cortellis Drug Discovery Intelligence (CDDI) database [72] contains information about six hundred thousand pharmaceutical agents with more than two million data on experimental pharmacology. The similarity search tool of CDDI is based on the calculation of the structural fingerprints and estimation of the Tanimoto coefficient (TC) [74]. In order to get the data, it is necessary to input the desirable cutoff value of TC; only analogs with the TC value higher of this cutoff will be presented as output data. In this study, we used the default value TC = 80%, which is suggested as the logical cutoff to select the bioactive molecules based on structural similarity [75]. The similarity search was carried out using the MOL file with the structural formula of each from the 19 molecules as a query. As output, we obtained the list of structural formulae of analogs with the additional data on the therapeutic group, mechanism of action, etc.
3.6. In-Silico Predictive Studies
Drug-likeness is one important tool employed for predicting drug-like properties. It is designated as an intricate balance of diverse molecular and structural features which plays a pivotal role in establishing whether the specific drug candidate is an oral drug or not. The targeted molecules were appraised for predicting the drug-likeness based on five separate filters namely Egan [81], Ghose [82], Muegge [83], Veber [84] and Lipinski [85] rules accompanying bioavailability and drug-likeness scores using the Molsoft software and SwissADME program (http://swissadme.ch, accessed on 10 May 2021) and using the ChemAxon’s Marvin JS structure drawing tool.
3.7. Cytotoxicity Assays
Cellular viability was assessed employing CellTiter 96® Aqueous Non-radioactive Cell Proliferation Assay (Promega, Madison, WI, USA). This method uses the reduction of (3-(4,5-dimethylthiazol-2-yl)-5-(3-carboxymethoxyphenyl)-2-(-(4-sulfophenyl 2H-tetrazolium) by viable cells to assess the toxicity of a tested compound. The amount of the derivate formed is measured after an incubation period at a wavelength of 490 nm. Experiments were performed including a vehicle control (DMSO 0.1%), a toxic control (SDS 10%), and the tested compounds at the desired concentrations for 48 h. After the incubation period, 20 μL/well of MTS reagent was added and incubated for a further 3 h. Absorbance was measured using a Hidex Sense Beta Plus plate reader (Hidex, Turku, Finland). Results are expressed as the relative cell viability compared to the vehicle, which was set to 100% viability. All experiments were performed in triplicates and repeated at least three times. MCF7/S0.5 breast cancer cell lines, adapted to a low-sera environment were cultivated in DMEM/F-12 phenol red-free media supplemented with 1% FBS charcoal-stripped and 6 ng/mL insulin, according to the manufacturer guidelines. HK-2, a non-cancerous kidney cell line, was cultivated in DMEM high glucose supplemented with 2 mM L-glutamine.
4. Conclusions
Nineteen triazolo-thiadiazole derivatives were evaluated for their activity in inhibiting numerous Gram-positive and Gram-negative bacteria and fungi. The antibacterial activity of compounds (MIC at 0.002–0.150 mg/mL and MBC 0.005–0.200 mg/mL) was higher than those of ampicillin and streptomycin against the tested strains. E. coli was found to be the most sensitive strain, whereas the most resistant one was P. aeruginosa. Tested compounds also exhibited a good activity against resistant strains, while compound 3 exhibited higher ability to inhibit biofilm formation than both reference drugs.
The activity of tested derivatives against fungi was superior to the reference drugs ketoconazole and bifonazole. The different response of the growth of both Gram-negative and Gram-positive bacteria and fungi towards tested the compounds is probably an indication of either different modes of action due to various substituents or the fact that the metabolism inside bacteria/fungi could have overcome the effect of the compounds or adjusted to it.
Additionally, in relation to pathogenic fungi, the tested compounds possessed very good therapeutic potential against all the fungal species tested, being more active than the clinically used antifungal drugs ketoconazole and bifonazole.
T. viride and A. versicolor were the most sensitive fungi, while the A. fumigatus appeared to be the most resistant one. It should be emphasized that the activity of tested compounds was not equal toward the growth of both Gram-negative and Gram-positive bacteria and fungi. This suggests that different substituents may lead to different modes of action or that the metabolism inside bacteria/fungi could have either overcome the effect of the compounds or adapted to it.
Docking analysis of different bacteria and fungi targets suggested a probable involvement of MurB inhibition in the antibacterial mechanism of most compounds and a probable involvement of MurA inhibition at the mechanism of action of compounds 12, 13, and 17. On the contrary, 14α-lanosterol demethylase (CYP51) is predicted to be a possible mechanism of the antifungal activity of these compounds.
As a result of our study, we have identified the most promising antimicrobial compounds among the nineteen earlier synthesized substances combining triazolo based-thiadiazole and sulfonamide moiety. Antibacterial and antifungal action of the most active compounds 2, 3, 6, 7, and 19 supersedes those of the reference drugs. Moreover, a similarity search in the CDDI database demonstrates that antimicrobial action is rather new for the investigated chemical series. Therefore, biological activity of the identified potent antimicrobial agents could be recommended for more detailed investigations both in in vitro and in vivo assays.
Supplementary Materials
The following are available online at https://www.mdpi.com/article/10.3390/antibiotics10070804/s1, Table S1. Prediction of toxicity by ToxPredict program; Table S2. Prediction of toxicity by PROTOX program.
Author Contributions
Conceptualization, C.K. and A.G.; methodology, C.K. and M.F.; software, A.P. and V.P.; validation, A.P. and V.P.; investigation, M.I., A.Ć. (Ana Ćirić), M.S., A.C. (Alejandro Carazo), and P.M.; data curation, A.G., M.I. and V.P.; writing—original draft preparation, A.G.; writing—review and editing, A.G., M.I. and V.P.; supervision, A.G.; funding acquisition, A.C. (Alejandro Carazo), P.M., V.P. and M.S. All authors have read and agreed to the published version of the manuscript.
Funding
The authors are grateful to the Serbian Ministry of Education, Science and Technological Development for financial support (451-03-68/2020-14/200007). P.M. and A.C. (Alejandro Carazo) acknowledge support from the EFSA-CDN project (grant number: CZ.02.1.01/0.0/0.0/16_019/0000841, co-funded by the ERDF). V.P. acknowledge support from the Russian Federation Fundamental Research Program for the long-term period for 2021–2030.
Institutional Review Board Statement
Not applicable.
Informed Consent Statement
Not applicable.
Data Availability Statement
Not applicable.
Conflicts of Interest
The authors declare no conflict of interest.
References
- Tan, R.; Liu, J.; Li, M.; Huang, J.; Sun, J.; Qu, H. Epidemiology and antimicrobial resistance among commonly encountered bacteria associated with infections and colonization in intensive care units in a university-affiliated hospital in Shanghai. J. Microbiol. Immunol. Infect. 2014, 47, 87–94. [Google Scholar] [CrossRef]
- Pfeltz, R.; Wilkinson, B. The Escalating Challenge of Vancomycin Resistance in Staphylococcus aureus. Curr. Drug Targets Infect. Disord. 2004, 4, 273–294. [Google Scholar] [CrossRef]
- Roberts, M.C. Distribution of Macrolide, Lincosamide, Streptogramin, Ketolide and Oxazolidinone (MLSKO) Resistance Genes in Gram-negative Bacteria. Curr. Drug Targets Infect. Disord. 2004, 4, 207–215. [Google Scholar] [CrossRef]
- Dessen, A.; Di Guilmi, A.M.; Vernet, T.; Dideberg, O. Molecular mechanisms of antibiotic resistance in gram-positive pathogens. Curr. Drug Targets Infect. Disord. 2001, 1, 63–77. [Google Scholar] [CrossRef] [PubMed]
- Johnson, A.P. Surveillance of antibiotic resistance. Philos. Trans. R. Soc. B Biol. Sci. 2015, 370, 20140080. [Google Scholar] [CrossRef]
- Bax, B.D.; Chan, P.F.; Eggleston, D.S.; Fosberry, A.; Gentry, D.R.; Gorrec, F.; Giordano, I.; Hann, M.M.; Hennessy, A.; Hibbs, M.; et al. Type IIA topoisomerase inhibition by a new class of antibacterial agents. Nature 2010, 466, 935–940. [Google Scholar] [CrossRef] [PubMed]
- Phillips, J.W.; Goetz, M.A.; Smith, S.K.; Zink, D.L.; Polishook, J.; Onishi, R.; Salowe, S.; Wiltsie, J.; Allocco, J.; Sigmund, J.; et al. Discovery of Kibdelomycin, A Potent New Class of Bacterial Type II Topoisomerase Inhibitor by Chemical-Genetic Profiling in Staphylococcus aureus. Chem. Biol. 2011, 18, 955–965. [Google Scholar] [CrossRef]
- Fischbach, M.A.; Walsh, C.T. Antibiotics for Emerging Pathogens. Science 2009, 325, 1089–1093. [Google Scholar] [CrossRef]
- Maillard, L.T.; Bertout, S.; Quinonéro, O.; Akalin, G.; Turan-Zitouni, G.; Fulcrand, P.; Demirci, F.; Martinez, J.; Masurier, N. Synthesis and anti-Candida activity of novel 2-hydrazino-1,3-thiazole derivatives. Bioorg. Med. Chem. Lett. 2013, 23, 1803–1807. [Google Scholar] [CrossRef] [PubMed]
- Farowski, F.; Vehreschild, J.J.; A Cornely, O. Posaconazole: A next-generation triazole antifungal. Future Microbiol. 2007, 2, 231–243. [Google Scholar] [CrossRef] [PubMed]
- Keri, R.S.; Patil, S.A.; Budagumpi, S.; Nagaraja, B.M. Triazole: A Promising Antitubercular Agent. Chem. Biol. Drug Des. 2015, 86, 410–423. [Google Scholar] [CrossRef] [PubMed]
- Altimari, J.M.; Hockey, S.C.; Boshoff, H.I.; Sajid, A.; Henderson, L.C. Novel 1,4-Substituted-1,2,3-Triazoles as Antitubercular Agents. ChemMedChem 2015, 10, 787–791. [Google Scholar] [CrossRef] [PubMed]
- Shaikh, M.H.; Subhedar, D.D.; Nawale, L.; Sarkar, D.; Khan, F.A.K.; Sangshetti, J.N.; Shingate, B.B. 1,2,3-Triazole derivatives as antitubercular agents: Synthesis, biological evaluation and molecular docking study. MedChemComm 2015, 6, 1104–1116. [Google Scholar] [CrossRef]
- Ahmadi, F.; Ghayahbashi, M.; Sharifzadeh, M.; Alipoiur, E.; Ostad, S.; Vosooghi, M.; Khademi, H.; Amini, M. Synthesis and Evaluation of Anti-inflammatory and Analgesic Activities of New 1,2,4-triazole Derivatives. Med. Chem. 2014, 11, 69–76. [Google Scholar] [CrossRef]
- Khanage, S.G.; Raju, A.; Mohite, P.B.; Pandhare, R.B. Analgesic Activity of Some 1,2,4-Triazole Heterocycles Clubbed with Pyrazole, Tetrazole, Isoxazole and Pyrimidine. Adv. Pharm. Bull. 2013, 3, 13–18. [Google Scholar] [CrossRef]
- Grewal, A.S.; Lather, V.; Pandita, D.; Dalal, R. Synthesis, Docking and Anti-inflammatory Activity of Triazole Amine Derivatives as Potential Phosphodiesterase-4 Inhibitors. Anti-Inflamm. Anti-Allergy Agents Med. Chem. 2017, 16, 58–67. [Google Scholar] [CrossRef]
- Liu, C.; Bian, M.; Yu, L.; Wei, C. Synthesis and Anti-Inflammatory Activity Evaluation of 5-(1-Benzyl-1H-[1,2,3]Triazol-4-yl)-4-Phenyl- 4H-[1,2,4]Triazole-3-Thiol Derivatives. Indian J. Pharm. Educ. Res. 2018, 52, 505–513. [Google Scholar] [CrossRef]
- El-Sherief, H.A.; Youssif, B.G.; Bukhari, S.N.A.; Abdel-Aziz, M.; Abdel-Rahman, H. Novel 1,2,4-triazole derivatives as potential anticancer agents: Design, synthesis, molecular docking and mechanistic studies. Bioorg. Chem. 2018, 76, 314–325. [Google Scholar] [CrossRef]
- Song, M.-X.; Deng, X.-Q. Recent developments on triazole nucleus in anticonvulsant compounds: A review. J. Enzym. Inhib. Med. Chem. 2018, 33, 453–478. [Google Scholar] [CrossRef]
- Sari, S.; Kaynak, F.B.; Dalkara, S. Synthesis and anticonvulsant screening of 1,2,4-triazole derivatives. Pharmacol. Rep. 2018, 70, 1116–1123. [Google Scholar] [CrossRef]
- Yar, M.S.; Sharma, P.C. Recent Advances and Future Perspectives of Triazole Analogs as Promising Antiviral Agents. Mini-Rev. Med. Chem. 2011, 11, 84–96. [Google Scholar] [CrossRef]
- Aouad, M.R.; Mayaba, M.M.; Naqvi, A.; Bardaweel, S.; Al-Blewi, F.F.; Messali, M.; Rezki, N. Design, synthesis, in silico and in vitro antimicrobial screening of novel 1,2,4-triazoles carrying 1,2,3-trizole scaffold with lipophilic side chain tether. Chem. Cent. J. 2017, 11, 117. [Google Scholar] [CrossRef]
- Aouad, M.R.; Messali, M.; Rezki, N.; Ali, A.A.-S.; Lesimple, A. Synthesis and characterization of some novel 1,2,4-triazoles, 1,3,4-thiadiazoles and Schiff bases incorporating imidazole moiety as potential antimicrobial agents. Acta Pharm. 2015, 65, 117–132. [Google Scholar] [CrossRef] [PubMed]
- Duan, J.-R.; Liu, H.-B.; Jeyakkumar, P.; Gopala, L.; Li, S.; Geng, R.-X.; Zhou, C.-H. Design, synthesis and biological evaluation of novel Schiff base-bridged tetrahydroprotoberberine triazoles as a new type of potential antimicrobial agents. MedChemComm 2017, 8, 907–916. [Google Scholar] [CrossRef]
- Bektaș, H.; Karrali, N.; Sahin, D.; Demirbaș, A.; Karaoglu, S.A.; Demirbaș, N. Synthesis and antimicrobial activities of some new 1,2,4-triazole derivative. Molecules 2010, 15, 2427–2438. [Google Scholar] [CrossRef]
- Aburahama, G.; Hassan, H.; Ezelarab, H.; Abbas, S.H.; El-Baky, R.A. Design, Synthesis and Antifungal Activity of 1,2,4-Triazole/or 1,3,4- Oxadiazole-ciprofloxacin hybrids. J. Adv. Biomed. Pharm. Sci. 2018, 1, 78–84. [Google Scholar] [CrossRef]
- Yu, S.; Chai, X.; Wang, Y.; Cao, Y.-B.; Zhang, J.; Wu, Q.; Zhang, D.; Jiang, Y.; Yan, T.; Sun, Q.-Y. Triazole derivatives with improved in vitro antifungal activity over azole drugs. Drug Des. Dev. Ther. 2014, 8, 383–390. [Google Scholar] [CrossRef] [PubMed][Green Version]
- Sadeghpour, H.; Khabnadideh, S.; Zomorodian, K.; Pakshir, K.; Hoseinpour, K.; Javid, N.; Faghih-Mirzaei, E.; Rezaei, Z. Design, Synthesis, and Biological Activity of New Triazole and Nitro-Triazole Derivatives as Antifungal Agents. Molecules 2017, 22, 1150. [Google Scholar] [CrossRef]
- Dai, Z.-C.; Chen, Y.-F.; Zhang, M.; Li, S.-K.; Yang, T.-T.; Shen, L.; Wang, J.-X.; Qian, S.-S.; Zhu, H.-L.; Ye, Y.-H. Synthesis and antifungal activity of 1,2,3-triazole phenylhydrazone derivatives. Org. Biomol. Chem. 2014, 13, 477–486. [Google Scholar] [CrossRef]
- Noolvi, M.N.; Patel, H.M.; Kamboj, S.; Cameotra, S.S. Synthesis and antimicrobial evaluation of novel 1,3,4-thiadiazole derivatives of 2-(4-formyl-2-methoxyphenoxy) acetic acid. Arab. J. Chem. 2016, 9, S1283–S1289. [Google Scholar] [CrossRef]
- Tahtaci, H.; Karacık, H.; Ece, A.; Er, M.; Şeker, M.G. Design, Synthesis, SAR and Molecular Modeling Studies of Novel Imidazo[2,1-b][1,3,4]Thiadiazole Derivatives as Highly Potent Antimicrobial Agents. Mol. Inform. 2018, 37, 10. [Google Scholar] [CrossRef] [PubMed]
- Serban, G.; Stanasel, O.; Serban, E.; Bota, S. 2-Amino-1,3,4-thiadiazole as a potential scaffold for promising antimicrobial agents. Drug Des. Dev. Ther. 2018, 12, 1545–1566. [Google Scholar] [CrossRef]
- Er, M.; Ergüven, B.; Tahtaci, H.; Onaran, A.; Karakurt, T.; Ece, A. Synthesis, characterization, preliminary SAR and molecular docking study of some novel substituted imidazo[2,1-b][1,3,4]thiadiazole derivatives as antifungal agents. Med. Chem. Res. 2017, 26, 615–630. [Google Scholar] [CrossRef]
- Yan, S.-L.; Yang, M.-Y.; Sun, Z.-H.; Min, L.-J.; Tan, C.-X.; Weng, J.-Q.; Wu, H.-K.; Liu, X.-H. Synthesis and Antifungal Activity of 1,2,3-thiadiazole Derivatives Containing 1,3,4-thiadiazole Moiety. Lett. Drug Des. Discov. 2014, 11, 940–943. [Google Scholar] [CrossRef]
- Fesatidou, M.; Zagaliotis, P.; Camoutsis, C.; Petrou, A.; Eleftheriou, P.; Tratrat, C.; Haroun, M.; Geronikaki, A.; Ciric, A.; Sokovic, M. 5-Adamantan thiadiazole-based thiazolidinones as antimicrobial agents. Design, synthesis, molecular docking and evaluation. Bioorg. Med. Chem. 2018, 26, 4664–4676. [Google Scholar] [CrossRef]
- Cui, Z.-N.; Li, Y.-S.; Hu, D.-K.; Tian, H.; Jiang, J.-Z.; Wang, Y.; Yan, X.-J. Synthesis and fungicidal activity of novel 2,5-disubstituted-1,3,4- thiadiazole derivatives containing 5-phenyl-2-furan. Sci. Rep. 2016, 6, 20204. [Google Scholar] [CrossRef]
- Levent, S.; Çavuşoğlu, B.K.; Sağlık, B.N.; Osmaniye, D.; Çevik, U.A.; Atlı, Ö.; Özkay, Y.; Kaplancıklı, Z.A. Synthesis of Oxadiazole-Thiadiazole Hybrids and Their Anticandidal Activity. Molecules 2017, 22, 2004. [Google Scholar] [CrossRef] [PubMed]
- Jain, A.K.; Sharma, S.; Vaidya, A.; Ravichandran, V.; Agrawal, R.K. 1,3,4-Thiadiazole and its Derivatives: A Review on Recent Progress in Biological Activities. Chem. Biol. Drug Des. 2013, 81, 557–576. [Google Scholar] [CrossRef] [PubMed]
- Mehta, D.; Taya, P. A review on the various biological activities of thiadiazole. Int. J. Pharm. Sci. 2015, 7, 39–47. [Google Scholar]
- Can, N.Ö.; Can, Ö.D.; Osmaniye, D.; Özkay, Ü.D. Synthesis of Some Novel Thiadiazole Derivative Compounds and Screening Their Antidepressant-Like Activities. Molecules 2018, 23, 716. [Google Scholar] [CrossRef]
- Hussein, E.M.; Al-Rooqi, M.M.; El-Galil, S.M.A.; Ahmed, S.A. Design, synthesis, and biological evaluation of novel N4-substituted sulfonamides: Acetamides derivatives as dihydrofolate reductase (DHFR) inhibitors. BMC Chem. 2019, 13, 91. [Google Scholar] [CrossRef]
- Kwon, Y.; Song, J.; Lee, H.; Kim, E.-Y.; Lee, K.; Lee, S.K.; Kim, S. Design, Synthesis, and Biological Activity of Sulfonamide Analogues of Antofine and Cryptopleurine as Potent and Orally Active Antitumor Agents. J. Med. Chem. 2015, 58, 7749–7762. [Google Scholar] [CrossRef]
- Okolotowicz, K.J.; Dwyer, M.; Ryan, D.; Cheng, J.; Cashman, E.A.; Moore, S.; Mercola, M.; Cashman, J.R. Novel tertiary sulfonamides as potent anti-cancer agents. Bioorg. Med. Chem. 2018, 26, 4441–4451. [Google Scholar] [CrossRef] [PubMed]
- Gokcen, T.; Gulcin, I.; Ozturk, T.; Goren, A.C. A class of sulfonamides as carbonic anhydrase I and II inhibitors. J. Enzym. Inhib. Med. Chem. 2016, 31, 180–188. [Google Scholar] [CrossRef]
- Ferraroni, M.; Cornelio, B.; Sapi, J.; Supuran, C.T.; Scozzafava, A. Sulfonamide carbonic anhydrase inhibitors: Zinc coordination and tail effects influence inhibitory efficacy and selectivity for different isoforms. Inorg. Chim. Acta 2018, 470, 128–132. [Google Scholar] [CrossRef]
- Bua, S.; Mannelli, L.D.C.; Vullo, D.; Ghelardini, C.; Bartolucci, G.; Scozzafava, A.; Supuran, C.T.; Carta, F. Design and Synthesis of Novel Nonsteroidal Anti-Inflammatory Drugs and Carbonic Anhydrase Inhibitors Hybrids (NSAIDs–CAIs) for the Treatment of Rheumatoid Arthritis. J. Med. Chem. 2017, 60, 1159–1170. [Google Scholar] [CrossRef]
- Eze, F.U.; Okoro, U.C.; Ugwu, D.; Okafor, S.N. Biological Activity Evaluation of Some New Benzenesulphonamide Derivatives. Front. Chem. 2019, 7, 634. [Google Scholar] [CrossRef] [PubMed]
- Loh, B.; Vozzolo, L.; Mok, B.J.; Lee, C.C.; Fitzmaurice, R.J.; Caddick, S.; Fassati, A. Inhibition of HIV-1 Replication by Isoxazolidine and Isoxazole Sulfonamides. Chem. Biol. Drug Des. 2010, 75, 461–474. [Google Scholar] [CrossRef]
- Che, Z.; Tian, Y.; Liu, S.; Hu, M.; Chen, G. Synthesis and in vitro anti-HIV-1 evaluation of some N-arylsulfonyl-3-formylindoles. Braz. J. Pharm. Sci. 2018, 54. [Google Scholar] [CrossRef]
- Ghorab, M.M.; Soliman, A.M.; Alsaid, M.S.; Askar, A. Synthesis, antimicrobial activity and docking study of some novel 4-(4,4-dimethyl-2,6-dioxocyclohexylidene)methylamino derivatives carrying biologically active sulfonamide moiety. Arab. J. Chem. 2020, 13, 545–556. [Google Scholar] [CrossRef]
- Tačić, A.; Nikolić, V.; Nikolić, L.; Savić, I. Antimicrobial sulfonamide drugs. Adv. Technol. 2017, 6, 58–71. [Google Scholar] [CrossRef]
- Genç, Y.; Özkanca, R.; Bekdemir, Y. Antimicrobial activity of some sulfonamide derivatives on clinical isolates of Staphylococus aureus. Ann. Clin. Microbiol. Antimicrob. 2008, 7, 17. [Google Scholar] [CrossRef]
- Beheshtimaal, K.; Khazaeili, T.; Asakere, N.; Mousavi, F.; Massah, A.R.; Assakere, N. Synthesis of Some Novel Sulfonamide-imines as Potential Antimicrobial Agents. Lett. Org. Chem. 2018, 15, 2. [Google Scholar] [CrossRef]
- Qadir, M.A.; Ahmed, M.; Iqbal, M. Synthesis, Characterization, and Antibacterial Activities of Novel Sulfonamides Derived through Condensation of Amino Group Containing Drugs, Amino Acids, and Their Analogs. BioMed Res. Int. 2015, 2015, 938486. [Google Scholar] [CrossRef] [PubMed]
- Camoutsis, C.; Geronikaki, A.; Ciric, A.; Soković, M.; Zoumpoulakis, P.; Zervou, M. Sulfonamide-1,2,4-thiadiazole Derivatives as Antifungal and Antibacterial Agents: Synthesis, Biological Evaluation, Lipophilicity, and Conformational Studies. Chem. Pharm. Bull. 2010, 58, 160–167. [Google Scholar] [CrossRef]
- Qadir, M.A.; Ahmed, M.; Aslam, H.; Waseem, S.; Shafiq, M.I. Amidine Sulfonamides and Benzene Sulfonamides: Synthesis and Their Biological Evaluation. J. Chem. 2015, 2015, 524056. [Google Scholar] [CrossRef]
- Gao, H.-D.; Liu, P.; Yang, Y.; Gao, F. Sulfonamide-1,3,5-triazine–thiazoles: Discovery of a novel class of antidiabetic agents via inhibition of DPP-4. RSC Adv. 2016, 6, 83438–83447. [Google Scholar] [CrossRef]
- Durgapal, S.D.; Soman, S.S. Evaluation of novel coumarin-proline sulfonamide hybrids as anticancer and antidiabetic agents. Synth. Commun. 2019, 49, 1–15. [Google Scholar] [CrossRef]
- Badgujar, J.R.; More, D.H.; Meshram, J.S. Synthesis, Antimicrobial and Antioxidant Activity of Pyrazole Based Sulfonamide Derivatives. Indian J. Microbiol. 2018, 58, 93–99. [Google Scholar] [CrossRef]
- Dragostin, O.M.; Samal, S.K.; Lupascu, F.; Pânzariu, A.; Dubruel, P.; Lupascu, D.; Tuchilus, C.; Vasile, C.; Profire, L. Development and Characterization of Novel Films Based on Sulfonamide-Chitosan Derivatives for Potential Wound Dressing. Int. J. Mol. Sci. 2015, 16, 29843–29855. [Google Scholar] [CrossRef] [PubMed]
- Bérubé, G. An overview of molecular hybrids in drug discovery. Expert Opin. Drug Discov. 2016, 11, 281–305. [Google Scholar] [CrossRef] [PubMed]
- Charitos, G.; Trafalis, D.T.; Dalezis, P.; Potamitis, C.; Sarli, V.; Zoumpoulakis, P.; Camoutsis, C. Synthesis and anticancer activity of novel 3,6-disubstituted 1,2,4-triazolo-[3,4-b]-1,3,4-thiadiazole derivatives. Arab. J. Chem. 2019, 12, 4784–4794. [Google Scholar] [CrossRef]
- OpenTox. Available online: http://www.opentox.org/toxicity-prediction (accessed on 5 May 2018).
- ToxPredict. Available online: https://apps.ideaconsult.net/ToxPredict (accessed on 11 May 2018).
- PROTOX. Available online: http://tox.charite.de/tox (accessed on 11 May 2018).
- Miyagawa, M. Globally harmonized system of classification and labelling of chemicals (GHS) and its implementation in Japan. Nihon Eiseigaku Zasshi 2010, 65, 5–13. [Google Scholar] [CrossRef]
- Römling, U.; Balsalobre, C. Biofilm infections, their resilience to therapy and innovative treatment strategies. J. Intern. Med. 2012, 272, 541–561. [Google Scholar] [CrossRef]
- Geronikaki, A.; Fesatidou, M.; Kartsev, V.; Macaev, F. Synthesis and biological evaluation of potent antifungal agents. Curr. Top. Med. Chem. 2013, 13, 2684–2733. [Google Scholar] [CrossRef]
- Benson, T.; Walsh, C.T.; Massey, V. Kinetic Characterization of Wild-Type and S229A Mutant MurB: Evidence for the Role of Ser 229 as a General Acid. Biochemistry 1997, 36, 796–805. [Google Scholar] [CrossRef]
- Yang, Y.; Severin, A.; Chopra, R.; Krishnamurthy, G.; Singh, G.; Hu, W.; Keeney, D.; Svenson, K.; Petersen, P.J.; Labthavikul, P.; et al. 3,5-dioxopyrazolidines, novel inhibitors of UDP-N- acetylenolpyruvylglucosamine reductase (MurB) with activity against gram-positive bacteria. Antimicrob. Agents Chemother. 2006, 50, 556–564. [Google Scholar] [CrossRef] [PubMed]
- Haroun, M.; Tratrat, C.; Kolokotroni, A.; Petrou, A.; Geronikaki, A.; Ivanov, M.; Kostic, M.; Sokovic, M.; Carazo, A.; Mladěnka, P.; et al. 5-Benzyliden-2-(5-methylthiazol-2-ylimino)thiazolidin-4-ones as Antimicrobial Agents. Design, Synthesis, Biological Evaluation and Molecular Docking Studies. Antibiotics 2021, 10, 309. [Google Scholar] [CrossRef] [PubMed]
- Cortellis Drug Discovery Intelligence. Available online: https://www.cortellis.com/drugdiscovery/ (accessed on 7 May 2021).
- Trafalis, D.; Galenica, S.A. New 1,2,4-triazolo-[3,4-b]-1,3,4-thiadiazole Derivatives. Patent No. WO 2018011414, 14 July 2016. [Google Scholar]
- Bajusz, D.; Rácz, A.; Héberger, K. Why is Tanimoto index an appropriate choice for fingerprint-based similarity calculations? J. Cheminformatics 2015, 7, 20. [Google Scholar] [CrossRef]
- Jasial, S.; Hu, Y.; Vogt, M.; Bajorath, J. Activity-relevant similarity values for fingerprints and implications for similarity searching. F1000Research 2016, 5, 591. [Google Scholar] [CrossRef]
- Kartsev, V.; Lichitsky, B.; Geronikaki, A.; Petrou, A.; Smiljkovic, M.; Kostic, M.; Ranadovic, O.; Soković, M. Design, synthesis and antimicrobial activity of usnic acid derivatives. MedChemComm 2018, 9, 870–882. [Google Scholar] [CrossRef]
- Kostić, M.; Smiljković, M.; Petrović, J.; Glamočilija, J.; Barros, L.; Ferreira, I.C.F.R.; Ćirić, A.; Soković, M. Chemical, nutritive composition and a wide range of bioactive properties of honey mushroom Armillariamellea (Vahl: Fr.) Kummer. Food Funct. 2017, 8, 3239–3249. [Google Scholar] [CrossRef] [PubMed]
- Cady, N.C.; Mckean, K.A.; Behnke, J.; Kubec, R.; Mosier, A.P.; Kasper, S.H.; Burz, D.S.; Musah, R.A. Inhibition of Biofilm Formation, Quorum Sensing and Infection in Pseudomonas aeruginosa by Natural Products-Inspired Organosulfur Compounds. PLoS ONE 2012, 7, e38492. [Google Scholar] [CrossRef] [PubMed]
- Kritsi, E.; Matsoukas, M.-T.; Potamitis, C.; Detsi, A.; Ivanov, M.; Sokovic, M.; Zoumpoulakis, P. Novel Hit Compounds as Putative Antifungals: The Case of Aspergillus fumigatus. Molecules 2019, 24, 3853. [Google Scholar] [CrossRef]
- Aleksić, M.; Stanisavljević, D.; Smiljković, M.; Vasiljević, P.; Stevanovic, M.; Sokovic, M.; Stojković, D. Pyrimethanil: Between efficient fungicide against Aspergillus rot on cherry tomato and cytotoxic agent on human cell lines. Ann. Appl. Biol. 2019, 175, 228–235. [Google Scholar] [CrossRef]
- Egan, W.J.; Merz, K.M.; Baldwin, J.J. Prediction of Drug Absorption Using Multivariate Statistics. J. Med. Chem. 2000, 43, 3867–3877. [Google Scholar] [CrossRef]
- Ghose, A.K.; Viswanadhan, V.N.; Wendoloski, J.J. A Knowledge-Based Approach in Designing Combinatorial or Medicinal Chemistry Libraries for Drug Discovery. A Qualitative and Quantitative Characterization of Known Drug Databases. J. Comb. Chem. 1999, 1, 55–68. [Google Scholar] [CrossRef]
- Muegge, I.; Heald, S.L.; Brittelli, D. Simple Selection Criteria for Drug-like Chemical Matter. J. Med. Chem. 2001, 44, 1841–1846. [Google Scholar] [CrossRef]
- Veber, D.F.; Johnson, S.R.; Cheng, H.-Y.; Smith, B.R.; Ward, K.W.; Kopple, K.D. Molecular Properties That Influence the Oral Bioavailability of Drug Candidates. J. Med. Chem. 2002, 45, 2615–2623. [Google Scholar] [CrossRef] [PubMed]
- Lipinski, C.A. Lead- and drug-like compounds: The rule-of-five revolution. Drug Discov. Today Technol. 2004, 1, 337–341. [Google Scholar] [CrossRef]
Publisher’s Note: MDPI stays neutral with regard to jurisdictional claims in published maps and institutional affiliations. |
© 2021 by the authors. Licensee MDPI, Basel, Switzerland. This article is an open access article distributed under the terms and conditions of the Creative Commons Attribution (CC BY) license (https://creativecommons.org/licenses/by/4.0/).
























