Nanoliter-Fabricated Paper-Based Colorimetric Lateral Flow Strip for Urea Detection
Abstract
1. Introduction
2. Experimental
2.1. Reagents
2.2. Solution
2.3. Design and Development of Urea-CLFS
2.4. Detection Procedure and Image Processing
3. Results and Discussion
3.1. Detection Principle of the Test
3.2. Nanodots Device
3.3. Morphology Characterization
3.4. Optimization of the Urea Detection Using Urea-CLFS
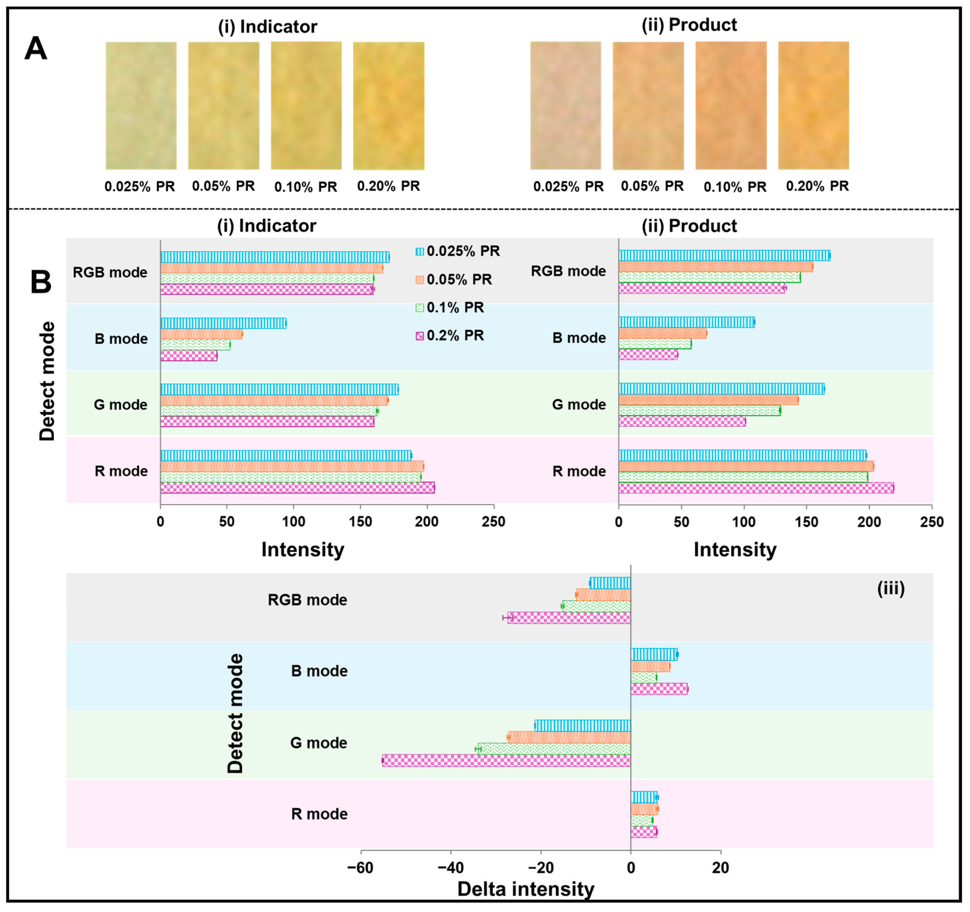
3.4.1. Effect of PR Concentration
3.4.2. Effect of Reagent Indicator Layer on NC Paper
3.4.3. Optimized the Design of Urease Alignment on NC-Mb
3.4.4. Effect of Urease Concentration and Reaction Time for the Enzymatic and Color Reaction


3.4.5. Volume of Standard/Sample
3.5. Analytical Performance
4. Conclusions
Supplementary Materials
Author Contributions
Funding
Institutional Review Board Statement
Informed Consent Statement
Data Availability Statement
Acknowledgments
Conflicts of Interest
References
- Reddy, D.O.; Zhang, L.; Covey, T.R.; Oleschuk, R.D. Design and preparation of a simplified microdroplet generation device for nanoliter volume collection and measurement with liquid microjunction–surface sampling probe–mass spectrometry. Droplet 2025, 4, e158. [Google Scholar] [CrossRef]
- Tikhomirova, T.I.; Apyari, V.V.; Kovalev, S.V.; Nikolaeva, E.V. Immobilized sorption microprobes as a tool for small-size colorimetric sensing. Microchem. J. 2025, 213, 113577. [Google Scholar] [CrossRef]
- Kuswandi, B.; Hidayat, M.A.; Noviana, E. Paper-based sensors for rapid important biomarkers detection. Biosens. Bioelectron. X 2022, 12, 100246. [Google Scholar] [CrossRef]
- Robinson, P.K. Enzymes: Principles and biotechnological applications. Essays Biochem. 2015, 59, 1–41. [Google Scholar] [CrossRef] [PubMed]
- Kilic, N.M.; Singh, S.; Keles, G.; Cinti, S.; Kurbanoglu, S.; Odaci, D. Novel Approaches to Enzyme-Based Electrochemical Nanobiosensors. Biosensors 2023, 13, 622. [Google Scholar] [CrossRef] [PubMed]
- Nadar, S.S.; Patil, P.D.; Tiwari, M.S.; Ahirrao, D.J. Enzyme embedded microfluidic paper-based analytic device (μPAD): A comprehensive review. Crit. Rev. Biotechnol. 2021, 41, 1046–1080. [Google Scholar] [CrossRef] [PubMed]
- Efstathiou, S.; Wemyss, A.M.; Coursari, D.; Hand, R.A.; Tinley, E.C.; Ford, J.; Edwards, S.E.; Bates, S.; Evans, R.L.; Khoshdel, E.; et al. Development of colorimetric PEG-based hydrogel sensors for urea detection. Soft Matter 2025, 21, 2268–2281. [Google Scholar] [CrossRef]
- Melo, M.M.P.; Machado, A.; Rangel, A.O.S.S.; Mesquita, R.B.R. Disposable Microfluidic Paper-Based Device for On-Site Quantification of Urinary Creatinine. Chemosensors 2023, 11, 368. [Google Scholar] [CrossRef]
- Monju, T.; Hirakawa, M.; Kuboyama, S.; Saiki, R.; Ishida, A. A fabrication technique for paper-based analytical devices via two-sided patterning with thermal-transfer printer and laminator. Sens. Actuators B Chem. 2023, 375, 132886. [Google Scholar] [CrossRef]
- Nishat, S.; Jafry, A.T.; Martinez, A.W.; Awan, F.R. Paper-based microfluidics: Simplified fabrication and assay methods. Sens. Actuators B Chem. 2021, 336, 129681. [Google Scholar] [CrossRef]
- Zhang, Y.; Khan, A.K.; See, D.; Ying, J.Y. Enhancing Protein Adsorption for Improved Lateral Flow Assay on Cellulose Paper by Depleting Inert Additive Films Using Reactive Plasma. ACS Appl. Mater. Interfaces 2023, 15, 6561–6571. [Google Scholar] [CrossRef] [PubMed]
- Kumar, A.; Kanwar, S.S. Catalytic potential of a nitrocellulose membrane-immobilized lipase in aqueous and organic media. J. Appl. Polym. Sci. 2012, 124, E37–E44. [Google Scholar] [CrossRef]
- Wang, Y.; Zhang, X.; Wei, M.; Kang, H.; Zhang, Z.; Wang, X.; Ma, C. Green manufacturing of a hypoxanthine enzyme sensor for fish freshness based on modified nitrocellulose surface with chito-oligosaccharide. Talanta 2024, 274, 126007. [Google Scholar] [CrossRef] [PubMed]
- Liu, L.; Mo, H.; Wei, S.; Raftery, D. Quantitative analysis of urea in human urine and serum by 1H nuclear magnetic resonance. Analyst 2012, 137, 595–600. [Google Scholar] [CrossRef] [PubMed]
- Choi, C.-K.; Shaban, S.M.; Moon, B.-S.; Pyun, D.-G.; Kim, D.-H. Smartphone-assisted point-of-care colorimetric biosensor for the detection of urea via pH-mediated AgNPs growth. Anal. Chim. Acta 2021, 1170, 338630. [Google Scholar] [CrossRef]
- Low, S.C.; Shaimi, R.; Thandaithabany, Y.; Lim, J.; Ahmad, A.; Ismail, A. Electrophoretic interactions between nitrocellulose membranes and proteins: Biointerface analysis and protein adhesion properties. Colloids Surf. B Biointerfaces 2013, 110, 248–253. [Google Scholar] [CrossRef]
- Wulandari, W.T.; Rochliadi, A.; Arcana, I.M. Nanocellulose prepared by acid hydrolysis of isolated cellulose from sugarcane bagasse. IOP Conf. Ser. Mater. Sci. Eng. 2016, 107, 012045. [Google Scholar] [CrossRef]
- Ilyas, R.; Sapuan, S.; Ishak, M. Isolation and characterization of nanocrystalline cellulose from sugar palm fibres (Arenga Pinnata). Carbohydr. Polym. 2018, 181, 1038–1051. [Google Scholar] [CrossRef]
- Md Salim, R.; Asik, J.; Sarjadi, M.S. Chemical functional groups of extractives, cellulose and lignin extracted from native Leucaena leucocephala bark. Wood Sci. Technol. 2021, 55, 295–313. [Google Scholar] [CrossRef]
- Jelen, Ž.; Anžel, I.; Rudolf, R. Comparison Study of Four Commercial SARS-CoV-2-Rapid Antigen Tests: Characterisation of the Individual Components. Stroj. Vestn.-J. Mech. Eng. 2022, 68, 240–251. [Google Scholar] [CrossRef]
- Assis, A.C.L.d.; Moreira, L.M.C.d.C.; Rocha, B.P.; Pereira, M.R.B.; de Melo, D.F.; Moura, R.O.d.; Azevedo, E.P.d.; Oshiro-Junior, J.A.; Damasceno, B.P.G.d.L. N-acylhydrazone Derivative-Loaded Cellulose Acetate Films: Thermoanalytical, Spectroscopic, Mechanical and Morphological Characterization. Polymers 2021, 13, 2345. [Google Scholar] [CrossRef]
- Tang, R.H.; Na Liu, L.; Zhang, S.F.; He, X.C.; Li, X.J.; Xu, F.; Ni, Y.H.; Li, F. A review on advances in methods for modification of paper supports for use in point-of-care testing. Microchim. Acta 2019, 186, 521. [Google Scholar] [CrossRef]
- Talat, M.; Singh, A.K.; Srivastava, O.N. Optimization of process variables by central composite design for the immobilization of urease enzyme on functionalized gold nanoparticles for various applications. Bioprocess Biosyst. Eng. 2011, 34, 647–657. [Google Scholar] [CrossRef]
- Gong, Y.; Chen, X.; Wu, W. Application of fourier transform infrared (FTIR) spectroscopy in sample preparation: Material characterization and mechanism investigation. Adv. Sample Prep. 2024, 11, 100122. [Google Scholar] [CrossRef]
- Chauhan, M.; Maddi, C.; Jha, A.; Subramanian, V.; Valdastri, P. Characterization of Urease enzyme using Raman and FTIR Spectroscopy. In Proceedings of the Biophotonics Congress: Optics in the Life Sciences Congress (Optica Publishing Group, 2019), Tucson, AZ, USA, 14–17 April 2019; p. JT4A: 46. [Google Scholar]
- Saidykhan, J.; Selevic, L.; Cinti, S.; May, J.E.; Killard, A.J. Paper-Based Lateral Flow Device for the Sustainable Measurement of Human Plasma Fibrinogen in Low-Resource Settings. Anal. Chem. 2021, 93, 14007–14013. [Google Scholar] [CrossRef]
- Soni, A.; Surana, R.K.; Jha, S.K. Smartphone based optical biosensor for the detection of urea in saliva. Sens. Actuators B Chem. 2018, 269, 346–353. [Google Scholar] [CrossRef]
- Thepchuay, Y.; Mesquita, R.B.R.; Nacapricha, D.; Rangel, A.O.S.S. Micro-PAD card for measuring total ammonia nitrogen in saliva. Anal. Bioanal. Chem. 2020, 412, 3167–3176. [Google Scholar] [CrossRef] [PubMed]
- Cheng, J.; Fu, Y.; Guo, J.; Guo, J. A low-cost paper-based blood urea nitrogen optical biosensor for renal surveillance in fingertip blood. Sens. Actuators B Chem. 2023, 387, 133795. [Google Scholar] [CrossRef]
- Ferreira, F.T.; Mesquita, R.B.; Rangel, A.O. On-hand tool for ammonium and urea determination in saliva to monitor chronic kidney disease–Design of a couple of microfluidic paper-based devices. Microchem. J. 2023, 193, 109102. [Google Scholar] [CrossRef]
- Shalileh, F.; Sabahi, H.; Golbashy, M.; Dadmehr, M.; Hosseini, M. A simple smartphone-assisted paper-based colorimetric biosensor for the detection of urea adulteration in milk based on an environment-friendly pH-sensitive nanocomposite. Anal. Chim. Acta 2023, 1284, 341935. [Google Scholar] [CrossRef]
- Chanawanno, C.; Sompen, C.; Satarpai, T. Development of a paper strip test for colorimetric detection of urea in raw materials for animal feed. Food Sci. Nutr. 2023, 11, 3048–3056. [Google Scholar] [CrossRef] [PubMed]
- Wan, Y.; Xie, Z.; Cao, M.; Zhang, C.; Feng, Z.; Tian, B.; Liu, Z. Detection of urea in milk by urease-inorganic hybrid nanoflowers combined with portable colorimetric microliter tube. Microchim. Acta 2024, 191, 679. [Google Scholar] [CrossRef] [PubMed]
- Zhang, M.; Zhang, Y.; Yang, C.; Ma, C.; Tang, J. Enzyme-inorganic hybrid nanoflowers: Classification, synthesis, functionalization and potential applications. Chem. Eng. J. 2021, 415, 129075. [Google Scholar] [CrossRef]
- Li, P.; Jia, J.; Geng, Z.; Pang, S.; Wang, R.; Bilal, M.; Bian, H.; Cui, J.; Jia, S. A dual enzyme-phosphate hybrid nanoflower for glutamate detection. Particuology 2023, 83, 63–70. [Google Scholar] [CrossRef]






| Approaches | Enzyme | Layers | Indicator | Sample Volume | Stability | Reaction Time | Analysis Device | Detection Mode | Sensitivity | Linear | LOD | Sample Preparation | Samples | Ref. |
|---|---|---|---|---|---|---|---|---|---|---|---|---|---|---|
| Horizontal flow (capillary force) | ||||||||||||||
| Colorimetric lateral flow strip for urea detection (CLFS) | 0.5 U (100 nL) | 3 layers -Nitrocellulose membrane -Chromatography paper -Backing card | 0.1% Phenol red (150 nL) | 12 µL | 45 days at RT * | 25 min | RapidScan ST5-D | Green | −6.5 a.u. mmol−1 L | 0.25 to 8.0 mmol L−1 | 0.34 mmol L−1 | - | Urine | This work |
| Vertical flow (gravity force) | ||||||||||||||
| Paper-based blood urea nitrogen optical biosensor | 2 KU mL−1 | 4 layers -Mesh -Blood separation membrane -Filter film -Reaction film | 0.12% Bromothymol blue | 20 µL | - | 2 min | Smartphone + portable optical reader | 630 nm light source | 6.6514 mmol−1 L RC ** | 2.46–38.14 mmol L−1 | 0.03 mmol L−1 | Using separation membrane | Whole human blood | [29] |
| Smartphone-based optical biosensor | 10 U | 6 layers -Nylon mesh -Lamina films -Filter paper (Whatman number 1) -Card sheet | Phenol red | 5 µL | 30 days | 20 s | Screenshot of the app + Smartphone based app using RGB profiling and slope-based calculation method | RGB | −0.005 average pixels sec−1/mgdL−1 | 100,000–2,600,000 mg L−1 | 104,000 mg L−1 (1.73 mol L−1) | - | Saliva | [27] |
| Microfluidic paper-based analytical device (micro-PAD) card | - | 5 Layers -Laminate film -Whatman1 -PTFE hydrophobic membrane | 0.8 mmol L−1 Bromothymol blue (15 µL) | 12 µL | 30 days at RT | 5 min | Desktop scanner + image J | RGB | 1.54 ± 0.06 × 10−3 Abs mg−1 L | 15–50 mg L−1 50–150 mg L−1 (0.25–2.50 mmol L−1) | 11.3 mg L−1 (0.19 mmol L−1) | - | Saliva | [28] |
| Microfluidic paper-based analytical devices (μPADs) | 1.875 U (15 µL) | 6 Layers -Laminated film -Whatman4 -Whatman1 -Hydrophobic membrane | 2 mmol L−1 Bromothymol blue (15 µL) | 20 µL | 30 days | 35 min | Scan image + image J | RGB and Red | 0.0823 a.u. mmol−1 L | 0.163–1 mmol L−1 1–5 mmol L−1 | 0.049 mmol L−1 | - | Saliva | [30] |
| Paper-based colorimetric biosensor | 12 mg mL−1 (150 µL) | -PVC paper card | Red cabbage extract | 150 µL | 10 days | 30 min | Smartphone | RGB | −0.3827 a.u. mmol−1 L | 0.5–100 mmol L−1 | 0.2 mmol L−1 | - | Milk | [31] |
| Dip and read approach | ||||||||||||||
| Paper strip | 24 U mL−1 | Filter paper (Whatman® no. 3) | Bromothymol blue | 20 mL | - | 5 min | Take a photo and measure the color intensity by software | Blue | 51.41 a.u. (%w/w)−1 | 0.10–1.0% (w/w) | - | Shake and sediment | Animal protein and fishmeal | [32] |
Disclaimer/Publisher’s Note: The statements, opinions and data contained in all publications are solely those of the individual author(s) and contributor(s) and not of MDPI and/or the editor(s). MDPI and/or the editor(s) disclaim responsibility for any injury to people or property resulting from any ideas, methods, instructions or products referred to in the content. |
© 2025 by the authors. Licensee MDPI, Basel, Switzerland. This article is an open access article distributed under the terms and conditions of the Creative Commons Attribution (CC BY) license (https://creativecommons.org/licenses/by/4.0/).
Share and Cite
Kongkaew, S.; Cotchim, S.; Limbut, W. Nanoliter-Fabricated Paper-Based Colorimetric Lateral Flow Strip for Urea Detection. Biosensors 2025, 15, 688. https://doi.org/10.3390/bios15100688
Kongkaew S, Cotchim S, Limbut W. Nanoliter-Fabricated Paper-Based Colorimetric Lateral Flow Strip for Urea Detection. Biosensors. 2025; 15(10):688. https://doi.org/10.3390/bios15100688
Chicago/Turabian StyleKongkaew, Supatinee, Suparat Cotchim, and Warakorn Limbut. 2025. "Nanoliter-Fabricated Paper-Based Colorimetric Lateral Flow Strip for Urea Detection" Biosensors 15, no. 10: 688. https://doi.org/10.3390/bios15100688
APA StyleKongkaew, S., Cotchim, S., & Limbut, W. (2025). Nanoliter-Fabricated Paper-Based Colorimetric Lateral Flow Strip for Urea Detection. Biosensors, 15(10), 688. https://doi.org/10.3390/bios15100688

