Electrochemical Determination of Doxorubicin in the Presence of Dacarbazine Using MWCNTs/ZnO Nanocomposite Modified Disposable Screen-Printed Electrode
Abstract
1. Introduction
2. Experimental
2.1. Materials and Reagents
2.2. Instrumentation
2.3. Synthesis of MWCNTs/ZnO Nanocomposite
2.4. Preparation of the Modified SPCE
3. Results and Discussion
3.1. Characterization of the MWCNTs/ZnO Nanocomposite
3.2. Comparison of the Electrochemical Behavior of Doxorubicin on the Surface of Unmodified and Modified SPCEs
3.3. Effect of Scan Rate
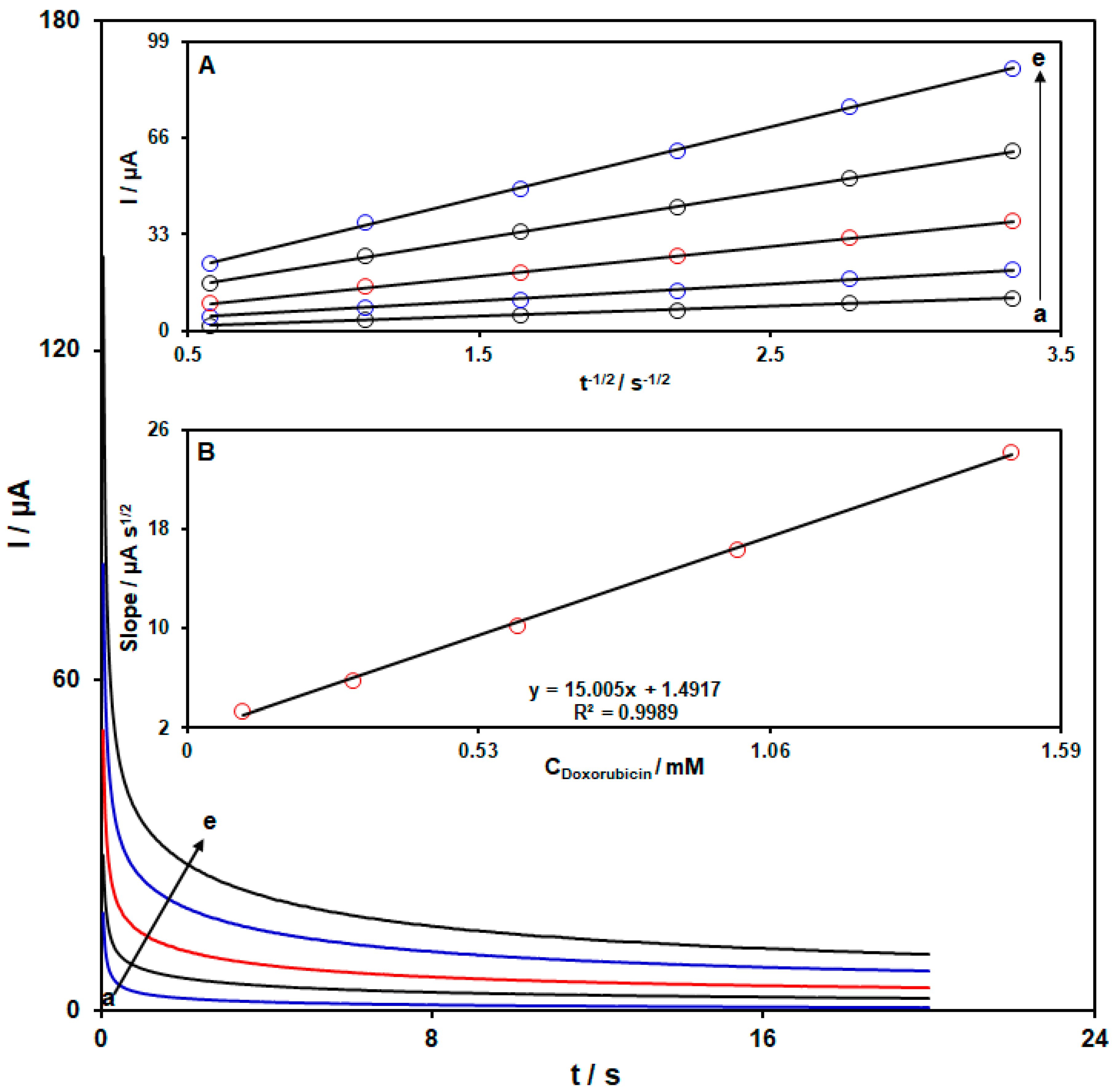
3.4. Chronoamperometric Studies
- I = current response (µA)
- n = the number of electrons transferred
- F = Faraday’s constant (96,485 C/mol)
- C = bulk concentration of doxorubicin (mol/cm3)
- D = diffusion coefficient (cm2/s)
- t = time (s).
3.5. Quantitative Analysis of Doxorubicin
3.6. DPV Measurements of Doxorubicin in the Presence of Dacarbazine at MWCNTs/ZnO/SPCE
3.7. Reproducibility, Repeatability, and Stability Studies
3.8. Interference Studies
3.9. Application of the MWCNTs/ZnO/SPCE for Analysis of Doxorubicin and Dacarbazine in Real Samples
4. Conclusions
Author Contributions
Funding
Institutional Review Board Statement
Informed Consent Statement
Data Availability Statement
Conflicts of Interest
References
- Wei, G.; Wang, Y.; Yang, G.; Wang, Y.; Ju, R. Recent progress in nanomedicine for enhanced cancer chemotherapy. Theranostics 2021, 11, 6370. [Google Scholar] [CrossRef] [PubMed]
- Rahimi, M.; Gh, A.B.; Fatemi, S.J. A new sensor consisting of bird nest-like nanostructured nickel cobaltite as the sensing element for electrochemical determination of doxorubicin. J. Electroanal. Chem. 2019, 848, 113333. [Google Scholar] [CrossRef]
- Wang, M.; Lin, J.; Gong, J.; Ma, M.; Tang, H.; Liu, J.; Yan, F. Rapid and sensitive determination of doxorubicin in human whole blood by vertically-ordered mesoporous silica film modified electrochemically pretreated glassy carbon electrodes. RSC Adv. 2021, 11, 9021–9028. [Google Scholar] [CrossRef] [PubMed]
- Sharifi, J.; Fayazfar, H. Highly sensitive determination of doxorubicin hydrochloride antitumor agent via a carbon nanotube/gold nanoparticle based nanocomposite biosensor. Bioelectrochemistry 2021, 139, 107741. [Google Scholar] [CrossRef] [PubMed]
- Deepa, S.; Swamy, B.K.; Pai, K.V. Voltammetric detection of anticancer drug Doxorubicin at pencil graphite electrode: A voltammetric study. Sens. Int. 2020, 1, 100033. [Google Scholar] [CrossRef]
- Thorn, C.F.; Oshiro, C.; Marsh, S.; Hernandez-Boussard, T.; McLeod, H.; Klein, T.E.; Altman, R.B. Doxorubicin pathways: Pharmacodynamics and adverse effects. Pharmacogenet. Genom. 2011, 21, 440–446. [Google Scholar] [CrossRef]
- Amjadi, M.; Jalili, R. Molecularly imprinted polymer-capped nitrogen-doped graphene quantum dots as a novel chemiluminescence sensor for selective and sensitive determination of doxorubicin. RSC Adv. 2016, 6, 86736–86743. [Google Scholar] [CrossRef]
- Ibrahim, M.; Temerk, Y.; Ibrahim, H. Fabrication of a new biosensor based on a Sn doped ceria nanoparticle modified glassy carbon paste electrode for the selective determination of the anticancer drug dacarbazine in pharmaceuticals. RSC Adv. 2017, 7, 32357–32366. [Google Scholar] [CrossRef]
- Costanza, M.E.; Nathanson, L.; Lenhard, R.; Wolter, J.; Colsky, J.; Oberfield, R.A.; Schilling, A. Therapy of malignant melanoma with an imidazole carboxamide and bis-chloroethyl nitrosourea. Cancer 1972, 30, 1457–1461. [Google Scholar] [CrossRef] [PubMed][Green Version]
- Kewitz, S.; Stiefel, M.; Kramm, C.M.; Staege, M.S. Impact of O6-methylguanine-DNA methyltransferase (MGMT) promoter methylation and MGMT expression on dacarbazine resistance of Hodgkin’s lymphoma cells. Leuk. Res. 2014, 38, 138–143. [Google Scholar] [CrossRef]
- Sanada, M.; Hidaka, M.; Takagi, Y.; Takano, T.Y.; Nakatsu, Y.; Tsuzuki, T.; Sekiguchi, M. Modes of actions of two types of anti-neoplastic drugs, dacarbazine and ACNU, to induce apoptosis. Carcinogenesis 2007, 28, 2657–2663. [Google Scholar] [CrossRef]
- Deepa, S.; Swamy, B.K.; Pai, K.V. A surfactant SDS modified carbon paste electrode as an enhanced and effective electrochemical sensor for the determination of doxorubicin and dacarbazine its applications: A voltammetric study. J. Electroanal. Chem. 2020, 879, 114748. [Google Scholar] [CrossRef]
- Gottlieb, J.A.; Baker, L.H.; Quagliana, J.M.; Luce, J.K.; Whitecar, J.P., Jr.; Sinkovics, J.G.; Frei, E. Chemotherapy of sarcomas with a combination of adriamycin and dimethyl triazeno imidazole carboxamide. Cancer 1972, 30, 1632–1638. [Google Scholar] [CrossRef] [PubMed]
- Sakai-Kato, K.; Saito, E.; Ishikura, K.; Kawanishi, T. Analysis of intracellular doxorubicin and its metabolites by ultra-high-performance liquid chromatography. J. Chromatogr. B 2010, 878, 1466–1470. [Google Scholar] [CrossRef] [PubMed]
- Cardoso, C.O.; Uwai, T.Y.; Gratieri, T.; Cunha-Filho, M.; Gelfuso, G.M. Chromatographic method for dacarbazine quantification in skin permeation experiments. J. Pharm. Biomed. Anal. 2023, 234, 115593. [Google Scholar] [CrossRef]
- Lu, H.; Yuan, G.; He, Q.; Chen, H. Rapid analysis of anthracycline antibiotics doxorubicin and daunorubicin by microchip capillary electrophoresis. Microchem. J. 2009, 92, 170–173. [Google Scholar] [CrossRef]
- Wang, J.; Reijmers, T.; Chen, L.; Van Der Heijden, R.; Wang, M.; Peng, S.; Van Der Greef, J. Systems toxicology study of doxorubicin on rats using ultra performance liquid chromatography coupled with mass spectrometry based metabolomics. Metabolomics 2009, 5, 407–418. [Google Scholar] [CrossRef] [PubMed]
- Cheng, W.; Liu, J.; Jackson, B. Quantifying plasma dacarbazine levels in advanced melanoma patients: A liquid chromatography-tandem mass spectrometry performance analysis. Scand. J. Clin. Lab. Investig. 2023, 83, 614–619. [Google Scholar] [CrossRef]
- Yao, H.C.; Xu, E.J.; Zeng, W.Y.; Zeng, X.Y.; Zhang, M.; Chen, J. Determination of doxorubicin in pharmaceutical preparation and rat plasma with luminol-K3Fe(CN)6 chemiluminescence system. J. Food Drug Anal. 2013, 21, 279–285. [Google Scholar] [CrossRef]
- Liu, Y.; Danielsson, B. Rapid high throughput assay for fluorimetric detection of doxorubicin—Application of nucleic acid–dye bioprobe. Anal. Chim. Acta 2007, 587, 47–51. [Google Scholar] [CrossRef]
- Sun, S.; Xu, X.; Niu, A.; Sun, Z.; Zhai, Y.; Li, S.; Xuan, C.; Zhou, Y.; Yang, X.; Zhou, T.; et al. Novel electrochemical sensor based on acetylene black for the determination of doxorubicin in serum samples. Int. J. Electrochem. Sci. 2022, 17, 221187. [Google Scholar] [CrossRef]
- Lü, L. A novel sensitive doxorubicin hydrochloride electrochemical sensor based on a nickel hexacyanoferrate/Ni-Al-LDH modified gold electrode. Anal. Sci. 2020, 36, 127–131. [Google Scholar] [CrossRef] [PubMed]
- Jalal, N.R.; Madrakian, T.; Afkhami, A.; Ahmadi, M. Ni/Co bimetallic metal-organic frameworks on nitrogen-doped graphene oxide nanoribbons for electrochemical sensing of doxorubicin. ACS Appl. Nano Mater. 2022, 5, 11045–11058. [Google Scholar] [CrossRef]
- PK, R.; Kafley, C.; A Sukumaran, R.; Kummari, S.; VVN, P.K.; Kotagiri, Y.G. Electrochemical strip sensor based on a graphene-Au-PEDOT nanocomposite for detection and continuous monitoring of dacarbazine. ACS Appl. Nano Mater. 2023, 6, 16915–16926. [Google Scholar]
- Zhang, Y.; Jamal, R.; Abdurexit, A.; Abdiryim, T.; Zhang, Y.; Zhou, Y.; Liu, Y.; Fan, N.; Wang, Z. Selective detection of norfloxacin using MIP/PEDOT modified electrode: A study on sensing performance. Compos. B Eng. 2024, 279, 111432. [Google Scholar] [CrossRef]
- Ariavand, S.; Ebrahimi, M.; Foladi, E. Design and construction of a novel and an efficient potentiometric sensor for determination of sodium ion in urban water samples. Chem. Methodol. 2022, 6, 886–904. [Google Scholar]
- Vardini, M.; Abbasi, N.; Kaviani, A.; Ahmadi, M.; Karimi, E. Graphite electrode potentiometric sensor modified by surface imprinted silica gel to measure valproic acid. Chem. Methodol. 2022, 6, 398–408. [Google Scholar]
- Mazloum-Ardakani, M.; Beitollahi, H.; Amini, M.K.; Mirkhalaf, F.; Mirjalili, B.F. A highly sensitive nanostructure-based electrochemical sensor for electrocatalytic determination of norepinephrine in the presence of acetaminophen and tryptophan. Biosens. Bioelectron. 2011, 26, 2102–2106. [Google Scholar] [CrossRef] [PubMed]
- Al-Azzawi, M.A.; Saleh, W.R. Fabrication of environmental monitoring amperometric biosensor based on alkaloids compound derived from catharanthus roseus extract nanoparticles for detection of cadmium pollution of water. Chem. Methodol. 2023, 7, 358–371. [Google Scholar]
- Zhang, Z.; Karimi-Maleh, H. In situ synthesis of label-free electrochemical aptasensor-based sandwich-like AuNPs/PPy/Ti3C2Tx for ultrasensitive detection of lead ions as hazardous pollutants in environmental fluids. Chemosphere 2023, 324, 138302. [Google Scholar] [CrossRef] [PubMed]
- Karimi-Maleh, H.; Darabi, R.; Karimi, F.; Karaman, C.; Shahidi, S.A.; Zare, N.; Baghayeri, M.; Fu, L.; Rostamnia, S.; Rouhi, J. State-of-art advances on removal, degradation and electrochemical monitoring of 4-aminophenol pollutants in real samples: A review. Environ. Res. 2023, 222, 115338. [Google Scholar] [CrossRef] [PubMed]
- Han, J.; Li, F.; Zhao, M.; Guo, M.; Liu, Y.; Guo, X.; Ran, Q.; Wang, Z.; Zhao, H. Ultrasensitive electrochemical sensing platform based on Zr-based MOF embellished single-wall carbon nanotube networks for trace analysis of methyl parathion. Microchem. J. 2024, 200, 110323. [Google Scholar] [CrossRef]
- Tajik, S.; Beitollahi, H.; Dourandish, Z.; Mohammadzadeh Jahani, P.; Sheikhshoaie, I.; Askari, M.B.; Salarizadeh, P.; Garkani Nejad, F.; Kim, D.; Kim, S.Y.; et al. Applications of non-precious transition metal oxide nanoparticles in electrochemistry. Electroanalysis 2022, 34, 1065–1091. [Google Scholar] [CrossRef]
- Awan, M.N.S.; Razzaq, H.; Abid, O.U.R.; Qaisar, S. Recent advances in electroanalysis of hydrazine by conducting polymers nanocomposites: A review. J. Chem. Rev. 2023, 5, 311–340. [Google Scholar]
- Karimi-Maleh, H.; Liu, Y.; Li, Z.; Darabi, R.; Orooji, Y.; Karaman, C.; Karimi, F.; Baghayeri, M.; Rouhi, J.; Fu, L. Calf thymus ds-DNA intercalation with pendimethalin herbicide at the surface of ZIF-8/Co/rGO/C3N4/ds-DNA/SPCE.; A bio-sensing approach for pendimethalin quantification confirmed by molecular docking study. Chemosphere 2023, 332, 138815. [Google Scholar] [CrossRef]
- Tajik, S.; Dourandish, Z.; Garkani Nejad, F.; Beitollahi, H.; Mohammadzadeh Jahani, P.; Di Bartolomeo, A. Transition metal dichalcogenides: Synthesis and use in the development of electrochemical sensors and biosensors. Biosens. Bioelectron. 2022, 216, 114674. [Google Scholar] [CrossRef] [PubMed]
- Buledi, J.A.; Mahar, N.; Mallah, A.; Solangi, A.R.; Palabiyik, I.M.; Qambrani, N.; Karimi, F.; Vasseghian, Y.; Karimi-Maleh, H. Electrochemical quantification of mancozeb through tungsten oxide/reduced graphene oxide nanocomposite: A potential method for environmental remediation. Food Chem. Toxicol. 2022, 161, 112843. [Google Scholar] [CrossRef]
- Tajik, S.; Shams, P.; Beitollahi, H.; Garkani Nejad, F. Electrochemical nanosensor for the simultaneous determination of anticancer drugs epirubicin and topotecan using UiO-66-NH2/GO Nanocomposite Modified Electrode. Biosensors 2024, 14, 229. [Google Scholar] [CrossRef]
- Cheraghi, S.; Taher, M.A.; Karimi-Maleh, H.; Karimi, F.; Shabani-Nooshabadi, M.; Alizadeh, M.; Al-Othman, A.; Erk, N.; Raman, P.K.Y.; Karaman, C. Novel enzymatic graphene oxide based biosensor for the detection of glutathione in biological body fluids. Chemosphere 2022, 287, 132187. [Google Scholar] [CrossRef]
- Zhou, F.; Lim, H.N.; Ibrahim, I.; Endot, N.A.; Abdul Malek, E.; Gowthaman, N.S.K. Simultaneous electrochemical detection of dopamine and uric acid via Au@Cu-metal organic framework. ChemPlusChem 2024, 89, e202300686. [Google Scholar] [CrossRef] [PubMed]
- Liu, X.; Li, Y.; Yang, W.; Sun, X. Surfactant-free synthesis of 2D Cu nanoflakes as electrochemical sensors and their applications for detection of formaldehyde, nitrite and glucose. J. Food Compos. Anal. 2024, 131, 106245. [Google Scholar] [CrossRef]
- Shahsavari, M.; Tajik, S.; Sheikhshoaie, I.; Garkani Nejad, F.; Beitollahi, H. Synthesis of Fe3O4@copper (II) imidazolate nanoparticles: Catalytic activity of modified graphite screen printed electrode for the determination of levodopa in presence of melatonin. Microchem. J. 2021, 170, 106637. [Google Scholar] [CrossRef]
- Zhang, Z.; Karimi-Maleh, H. Label-free electrochemical aptasensor based on gold nanoparticles/titanium carbide MXene for lead detection with its reduction peak as index signal. Adv. Compos. Hybrid Mater. 2023, 6, 68. [Google Scholar] [CrossRef]
- Tajik, S.; Beitollahi, H.; Shahsavari, S.; Garkani Nejad, F. Simultaneous and selective electrochemical sensing of methotrexate and folic acid in biological fluids and pharmaceutical samples using Fe3O4/ppy/Pd nanocomposite modified screen printed graphite electrode. Chemosphere 2022, 291, 132736. [Google Scholar] [CrossRef] [PubMed]
- Bijad, M.; Karimi-Maleh, H.; Farsi, M.; Shahidi, S.A. An electrochemical-amplified-platform based on the nanostructure voltammetric sensor for the determination of carmoisine in the presence of tartrazine in dried fruit and soft drink samples. J. Food Meas. Charact. 2018, 12, 634–640. [Google Scholar] [CrossRef]
- Kumar, K.D.; Ramachandran, T.; Kumar, Y.A.; Mohammed, A.A.; Kang, M. Hierarchically fabricated nano flakes-rod-like CoMoO–S supported Ni-foam for high-performance supercapacitor electrode material. J. Phys. Chem. Solids 2024, 185, 111735. [Google Scholar] [CrossRef]
- Jabar, M.S.; Al-Shammaree, S.A.W. Cytotoxicity and anticancer effect of chitosan-Ag NPs-doxorubicin-folic acid conjugate on lungs cell line. Chem. Methodol. 2023, 7, 1–14. [Google Scholar]
- Li, C.; Yang, H.; Song, Z.; Gao, F.; Niu, L.; Wang, Q. Rational utilization of Fe (III)-2-amino terephthalic acid MOF as a bifunctional nanocarrier of dopamine and aptamer for constructing ultrasensitive sandwich biosensor of cardiac Troponin I. Sens. Actuators B Chem. 2024, 411, 135746. [Google Scholar] [CrossRef]
- Khazaei, R.; Khazaei, A.; Nasrollahzadeh, M. Horsetail assisted green synthesis of Fe3O4@ SiO2-Pd: A reusable and highly efficient magnetically separable catalyst for suzuki coupling reactions. J. Appl. Organomet. Chem. 2023, 3, 123. [Google Scholar]
- Karaman, C.; Karaman, O.; Show, P.L.; Orooji, Y.; Karimi-Maleh, H. Utilization of a double-cross-linked amino-functionalized three-dimensional graphene networks as a monolithic adsorbent for methyl orange removal: Equilibrium, kinetics, thermodynamics and artificial neural network modeling. Environ. Res. 2021, 207, 112156. [Google Scholar] [CrossRef] [PubMed]
- Baghernejad, B.; Alikhani, M. Nano-cerium oxide/aluminum oxide as an efficient catalyst for the synthesis of xanthene derivatives as potential antiviral and anti-inflammatory agents. J. Appl. Organomet. Chem. 2022, 2, 140–147. [Google Scholar]
- Alinezhad, H.; Hajiabbas Tabar Amiri, P.; Mohseni Tavakkoli, S.; Muslim Muhiebes, R.; Fakri Mustafa, Y. Progressive types of Fe3O4 nanoparticles and their hybrids as catalysts. J. Chem. Rev. 2022, 4, 288–312. [Google Scholar]
- Jimoh, A.; Uba, S.; Ajibola, V.O.; Agbaji, E.B. Effect of nanoparticles on the degradation, ageing and other properties of ester-based nanofluids. Adv. J. Chem. A 2023, 6, 105–122. [Google Scholar]
- Lian, M.; Shi, F.; Cao, Q.; Wang, C.; Li, N.; Li, X.; Zhang, X.; Chen, D. based colorimetric sensor using bimetallic Nickel-Cobalt selenides nanozyme with artificial neural network-assisted for detection of H2O2 on smartphone. Spectrochim. Acta-A Mol. Biomol. Spectrosc. 2024, 311, 124038. [Google Scholar] [CrossRef] [PubMed]
- Dai, F.; Xie, M.; Wang, Y.; Zhang, L.; Zhang, Z.; Lu, X. Synergistic effect improves the response of active sites to target variations for picomolar detection of silver ions. Anal. Chem. 2022, 94, 10462–10469. [Google Scholar] [CrossRef] [PubMed]
- Liu, S.; Xing, K.; Guan, H.; Zhang, J.; Peng, X.; Li, P.; Zhu, K. Facile fabrication of composite film modified electrodes based on vanadium-substituted tungstophosphate with Fe3O4@Au for electrochemical detection of sodium nitrite. New J. Chem. 2024, 48, 3483–3491. [Google Scholar] [CrossRef]
- Mohammadnavaz, A.; Beitollahi, H.; Modiri, S. Construction and application of an electrochemical sensor for determination of D-Penicillamine based on modified carbon paste electrode. Micromachines 2024, 15, 220. [Google Scholar] [CrossRef]
- Silva, F.W.L.; Name, L.L.; Tiba, D.Y.; Braz, B.F.; Santelli, R.E.; Canevari, T.C.; Cincotto, F.H. High sensitivity, low-cost, and disposability: A novel screen-printed electrode developed for direct electrochemical detection of the antibiotic ceftriaxone. Talanta 2024, 266, 125075. [Google Scholar] [CrossRef]
- Mondal, R.; Show, B.; Ahmed, S.F.; Mukherjee, N. Electrochemically selective detection of dopamine over serotonin by CuO/Cu2O bulk heterostructure electrode. Bull. Mater. Sci. 2024, 47, 62. [Google Scholar] [CrossRef]
- Karimi-Maleh, H.; Fakude, C.T.; Mabuba, N.; Peleyeju, G.M.; Arotiba, O.A. The determination of 2-phenylphenol in the presence of 4-chlorophenol using nano-Fe3O4/ionic liquid paste electrode as an electrochemical sensor. J. Colloid Interface Sci. 2019, 554, 603–610. [Google Scholar] [CrossRef] [PubMed]
- Peyman, H. Design and fabrication of modified DNA-Gp nano-biocomposite electrode for industrial dye measurement and optical confirmation. Prog. Chem. Biochem. Res. 2022, 5, 391–405. [Google Scholar]
- Mohammadnavaz, A.; Beitollahi, H.; Modiri, S. Electro-catalytic determination of l-Cysteine using multi walled carbon nanotubes-Co3O4 nanocomposite/benzoylferrocene/ionic liquid modified carbon paste electrode. Inorg. Chim. Acta 2023, 548, 121340. [Google Scholar] [CrossRef]
- Topal, B.D.; Sener, C.E.; Kaya, B.; Ozkan, S.A. Nano-sized metal and metal oxide modified electrodes for pharmaceuticals analysis. Curr. Pharm. Anal. 2021, 17, 421–436. [Google Scholar] [CrossRef]
- Baghernejad, B.; Hojjatitaromsari, S.M. Preparation of polyhydroquinolines using nano cerium (IV) oxide/zinc oxide as a catalyst. J. Appl. Organomet. Chem. 2022, 2, 74–80. [Google Scholar]
- Tripathy, N.; Kim, D.H. Metal oxide modified ZnO nanomaterials for biosensor applications. Nano Converg. 2018, 5, 27. [Google Scholar] [CrossRef] [PubMed]
- Chaudhary, S.; Umar, A.; Bhasin, K.K.; Baskoutas, S. Chemical sensing applications of ZnO nanomaterials. Materials 2018, 11, 287. [Google Scholar] [CrossRef] [PubMed]
- Yan, B.; Zheng, J.; Wang, F.; Zhao, L.; Zhang, Q.; Xu, W.; He, S. Review on porous carbon materials engineered by ZnO templates: Design, synthesis and capacitance performance. Mater. Des. 2021, 201, 109518. [Google Scholar] [CrossRef]
- Rahman, M.M.; Marwani, H.M.; Algethami, F.K.; Asiri, A.M. Xanthine sensor development based on ZnO–CNT, ZnO–CB, ZnO–GO and ZnO nanoparticles: An electrochemical approach. New J. Chem. 2017, 41, 6262–6271. [Google Scholar] [CrossRef]
- Tang, N.; Wei, Y.; He, Q.; Shi, S.; Zhou, C.; Chen, A.; Liu, J. Facile electrochemical determination of sertraline at nanomolar concentration using bimetallic MXene NbTiCTx and MWCNTs hybridized electrodes as sensing platform. Mater. Today Chem. 2024, 36, 101901. [Google Scholar] [CrossRef]
- Wang, J. Carbon-nanotube based electrochemical biosensors: A review. Electroanalysis 2005, 17, 7–14. [Google Scholar] [CrossRef]
- Charithra, M.M.; Manjunatha, J.G. Enhanced voltammetric detection of paracetamol by using carbon nanotube modified electrode as an electrochemical sensor. J. Electrochem. Sci. Eng. 2020, 10, 29–40. [Google Scholar] [CrossRef]
- Supraja, P.; Singh, V.; Vanjari, S.R.K.; Govind Singh, S. Electrospun CNT embedded ZnO nanofiber based biosensor for electrochemical detection of Atrazine: A step closure to single molecule detection. Microsyst. Nanoeng. 2020, 6, 3. [Google Scholar] [CrossRef] [PubMed]
- Kokab, T.; Shah, A.; Khan, M.A.; Arshad, M.; Nisar, J.; Ashiq, M.N.; Zia, M.A. Simultaneous femtomolar detection of paracetamol, diclofenac, and orphenadrine using a carbon nanotube/zinc oxide nanoparticle-based electrochemical sensor. ACS Appl. Nano Mater. 2021, 4, 4699–4712. [Google Scholar] [CrossRef]
- Ranjithkumar, R.; Arasi, S.E.; Sudhahar, S.; Nallamuthu, N.; Devendran, P.; Lakshmanan, P.; Kumar, M.K. Enhanced electrochemical studies of ZnO/CNT nanocomposite for supercapacitor devices. Phys. B Condens. Matter. 2019, 568, 51–59. [Google Scholar] [CrossRef]










| Electrochemical Sensor | Electrochemical Method | Linear Range | LOD | Ref. |
|---|---|---|---|---|
| Bird nest-like nano-structured NiCo2O4/SPE | DPV | 0.01 to 600.0 μM | 9.4 nM | [2] |
| Vertically ordered mesoporous silica film/electrochemically pretreated glassy carbon electrode (GCE) | DPV | 0.5 nM to 23 μM | 0.2 nM | [3] |
| Pencil graphite electrode (PGE) | CV | 10 to 60 µM | 9.9 µM | [5] |
| Sodium dodecyl sulfate (SDS)/carbon paste electrode (CPE) | CV | 10 to 80 µM | 1.12 µM | [12] |
| DPV | 2 to 24 µM | 0.39 µM | ||
| Acetylene black/GCE | CV | 0.01 to 2.5 μM | 3.006 nM | [21] |
| Nickel hexacyanoferrate/Ni-Al layered double hydroxides (Ni-Al-LDH)/Au electrode | DPV | 0.01 to 6.2 μM | 0.0019 μM | [22] |
| NiCo-BTC metal–organic frameworks (MOFs)/nitrogen-doped graphene oxide nanoribbons (N-GO NRs)/GCE | Square-wave voltammetry (SWV) | 0.01 to 800.0 μM | 6.0 nM | [23] |
| MWCNTs/ZnO/SPCE | DPV | 0.007 to 150.0 µM | 0.002 µM | This work |
| Sample | Spiked Concentration | Measured Concentration | Recovery | RSD (n = 5) | ||||
|---|---|---|---|---|---|---|---|---|
| Doxorubicin injection | Doxorubicin | Dacarbazine | Doxorubicin | Dacarbazine | Doxorubicin | Dacarbazine | Doxorubicin | Dacarbazine |
| 0 | 0 | 3.8 µM | - | - | - | 3.2% | - | |
| 2.0 µM | 5.0 µM | 5.7 µM | 5.1 µM | 98.3% | 102.0% | 2.4% | 3.2% | |
| 3.0 µM | 7.0 µM | 7.0 µM | 6.8 µM | 102.9% | 97.1% | 1.9% | 2.7% | |
| 4.0 µM | 9.0 µM | 7.9 µM | 8.9 µM | 101.3% | 98.9% | 2.8% | 1.8% | |
| 5.0 µM | 11.0 µM | 8.6 µM | 11.4 µM | 97.7% | 103.6% | 2.6% | 2.5% | |
| Dacarbazine injection | 0 | 0 | - | 4.2 µM | - | - | - | 2.7% |
| 5.0 µM | 2.0 µM | 4.9 µM | 6.3 µM | 98.0% | 101.6% | 3.0% | 2.6% | |
| 7.5 µM | 3.0 µM | 7.7 µM | 7.1 µM | 102.6% | 98.6% | 2.1% | 2.0% | |
| 10.0 µM | 4.0 µM | 9.9 µM | 8.5 µM | 99.0% | 103.7% | 2.8% | 3.5% | |
| 12.5 µM | 5.0 µM | 13.0 µM | 9.0 µM | 104.0% | 97.8% | 2.2% | 1.9% | |
Disclaimer/Publisher’s Note: The statements, opinions and data contained in all publications are solely those of the individual author(s) and contributor(s) and not of MDPI and/or the editor(s). MDPI and/or the editor(s) disclaim responsibility for any injury to people or property resulting from any ideas, methods, instructions or products referred to in the content. |
© 2025 by the authors. Licensee MDPI, Basel, Switzerland. This article is an open access article distributed under the terms and conditions of the Creative Commons Attribution (CC BY) license (https://creativecommons.org/licenses/by/4.0/).
Share and Cite
Tajik, S.; Beitollahi, H.; Garkani Nejad, F.; Dourandish, Z. Electrochemical Determination of Doxorubicin in the Presence of Dacarbazine Using MWCNTs/ZnO Nanocomposite Modified Disposable Screen-Printed Electrode. Biosensors 2025, 15, 60. https://doi.org/10.3390/bios15010060
Tajik S, Beitollahi H, Garkani Nejad F, Dourandish Z. Electrochemical Determination of Doxorubicin in the Presence of Dacarbazine Using MWCNTs/ZnO Nanocomposite Modified Disposable Screen-Printed Electrode. Biosensors. 2025; 15(1):60. https://doi.org/10.3390/bios15010060
Chicago/Turabian StyleTajik, Somayeh, Hadi Beitollahi, Fariba Garkani Nejad, and Zahra Dourandish. 2025. "Electrochemical Determination of Doxorubicin in the Presence of Dacarbazine Using MWCNTs/ZnO Nanocomposite Modified Disposable Screen-Printed Electrode" Biosensors 15, no. 1: 60. https://doi.org/10.3390/bios15010060
APA StyleTajik, S., Beitollahi, H., Garkani Nejad, F., & Dourandish, Z. (2025). Electrochemical Determination of Doxorubicin in the Presence of Dacarbazine Using MWCNTs/ZnO Nanocomposite Modified Disposable Screen-Printed Electrode. Biosensors, 15(1), 60. https://doi.org/10.3390/bios15010060

