Evaluating Normalization Methods for Robust Spectral Performance Assessments of Hyperspectral Imaging Cameras
Abstract
1. Introduction
2. Methodology
2.1. Capture of Reflectance Spectra with an HSI Camera
2.2. Normalization Methods
2.2.1. Maximum and Minimum Reflectance Methods
2.2.2. Full-Spectrum Reflectance Methods
2.2.3. Zero-Mean Full-Spectrum Reflectance Methods
2.2.4. Non-Linear Transformation Methods
2.3. Uniform Scaling Approach
2.4. Performance Evaluation Metrics
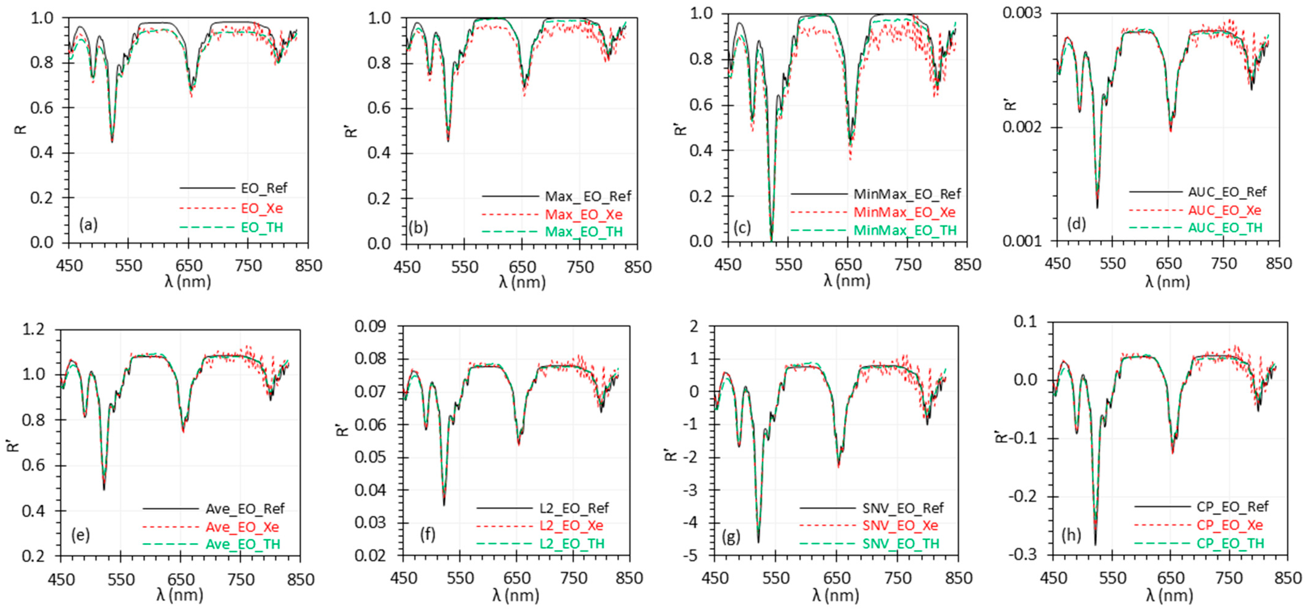
3. Results
3.1. Comparison of Normalization Methods
3.2. Uniform Scaling for Each Set of R or R′ Spectra
4. Discussion
4.1. Effect of Normalization Methods on Different Calibration Targets
4.2. Potential Challenges with Normalization
4.3. Optimal Normalization Methods
4.4. Study Limitations and Future Works
4.5. Summary
5. Conclusions
Supplementary Materials
Author Contributions
Funding
Institutional Review Board Statement
Informed Consent Statement
Data Availability Statement
Conflicts of Interest
References
- Yoon, J. Hyperspectral imaging for clinical applications. BioChip J. 2022, 16, 1–12. [Google Scholar] [CrossRef]
- Zhang, Y.; Wu, X.; He, L.; Meng, C.; Du, S.; Bao, J.; Zheng, Y. Applications of hyperspectral imaging in the detection and diagnosis of solid tumors. Transl. Cancer Res. 2020, 9, 1265–1277. [Google Scholar] [CrossRef]
- Favreau, P.F.; Deal, J.A.; Harris, B.; Weber, D.S.; Rich, T.C.; Leavesley, S.J. Label-free spectroscopic tissue characterization using fluorescence excitation-scanning spectral imaging. J. Biophotonics 2020, 13, e201900183. [Google Scholar] [CrossRef]
- Lu, G.; Fei, B. Medical hyperspectral imaging: A review. J. Biomed. Opt. 2014, 19, 010901. [Google Scholar] [CrossRef] [PubMed]
- Kleiss, S.F.; Ma, K.F.; El Moumni, M.; Ünlü, Ç.; Nijboer, T.S.; Schuurmann, R.C.L.; Bokkers, R.P.H.; de Vries, J.-P.P.M. Detecting changes in tissue perfusion with hyperspectral imaging and thermal imaging following endovascular treatment for peripheral arterial disease. J. Endovasc. Ther. 2023, 30, 382–392. [Google Scholar] [CrossRef]
- Saeed, A.; Hadoux, X.; van Wijngaarden, P. Hyperspectral retinal imaging biomarkers of ocular and systemic diseases. Eye 2024, 60, 1–6. [Google Scholar] [CrossRef] [PubMed]
- Barberio, M.; Benedicenti, S.; Pizzicannella, M.; Felli, E.; Collins, T.; Jansen-Winkeln, B.; Marescaux, J.; Viola, M.G.; Diana, M. Intraoperative guidance using hyperspectral imaging: A review for surgeons. Diagnostics 2021, 11, 2066. [Google Scholar] [CrossRef]
- Saiko, G.; Lombardi, P.; Au, Y.; Queen, D.; Armstrong, D.; Harding, K. Hyperspectral imaging in wound care: A systematic review. Int. Wound J. 2020, 17, 1840–1856. [Google Scholar] [CrossRef] [PubMed]
- Yoon, J.; Joseph, J.; Waterhouse, D.J.; Luthman, A.S.; Gordon, G.S.; Di Pietro, M.; Januszewicz, W.; Fitzgerald, R.C.; Bohndiek, S.E. A clinically translatable hyperspectral endoscopy (HySE) system for imaging the gastrointestinal tract. Nat. Commun. 2019, 10, 1902. [Google Scholar] [CrossRef]
- Li, Q.; He, X.; Wang, Y.; Liu, H.; Xu, D.; Guo, F. Review of spectral imaging technology in biomedical engineering: Achievements and challenges. J. Biomed. Opt. 2013, 18, 100901. [Google Scholar] [CrossRef]
- Simoncic, U.; Milanic, M. Hyperspectral imaging with active illumination: A theoretical study on the use of incandescent lamp and variable filament temperature. Sensors 2023, 23, 9326. [Google Scholar] [CrossRef]
- Andrade, D.F.; Fortunato, F.M.; Pereira-Filho, E.R. Calibration strategies for determination of the in content in discarded liquid crystal displays (LCD) from mobile phones using laser-induced breakdown spectroscopy (LIBS). Anal. Chim. Acta 2019, 1061, 42–49. [Google Scholar] [CrossRef]
- Cao, X.H.; Stojkovic, I.; Obradovic, Z. A robust data scaling algorithm to improve classification accuracies in biomedical data. BMC Bioinform. 2016, 17, 359. [Google Scholar] [CrossRef] [PubMed]
- Zhang, G.; Abdulla, W. Optimizing hyperspectral imaging classification performance with CNN and batch normalization. Appl. Spectrosc. Pract. 2023, 1, 27551857231204622. [Google Scholar] [CrossRef]
- Singh, N.; Singh, P. Exploring the effect of normalization on medical data classification. In Proceedings of the 2021 International Conference on Artificial Intelligence and Machine Vision (AIMV), Gandhinagar, India, 24–26 September 2021; pp. 1–5. [Google Scholar] [CrossRef]
- Cao, F.; Yang, Z.; Ren, J.; Jiang, M.; Ling, W.-K. Does normalization methods play a role for hyperspectral image classif ication? arXiv 2017, arXiv:1710.02939. [Google Scholar] [CrossRef]
- Singh, D.; Singh, B. Investigating the impact of data normalization on classification performance. Appl. Soft Comput. 2020, 97, 105524. [Google Scholar] [CrossRef]
- Witteveen, M.; Sterenborg, H.J.; van Leeuwen, T.G.; Aalders, M.C.; Ruers, T.J.; Post, A.L. Comparison of preprocessing techniques to reduce nontissue-related variations in hyperspectral reflectance imaging. J. Biomed. Opt. 2022, 27, 106003. [Google Scholar] [CrossRef]
- Kenyon, A. Recent developments in rare-earth doped materials for optoelectronics. Prog. Quantum Electron. 2002, 26, 225–284. [Google Scholar] [CrossRef]
- Castañeda-Contreras, J.; Marañón-Ruiz, V.F.; Meneses-Nava, M.A.; Pérez-Ladrón de Guevara, H.; Rodríguez Rojas, R.; Chiu-Zárate, R. Properties of Er2O3 nanoparticles synthesized by a modified co-precipitation method. Rev. Mex. De Física 2015, 61, 127–131. [Google Scholar]
- Yoon, J.; Grigoroiu, A.; Bohndiek, S.E. A background correction method to compensate illumination variation in hyperspectral imaging. PLoS ONE 2020, 15, e0229502. [Google Scholar] [CrossRef]
- Losch, M.S.; Heintz, J.D.; Edstrom, E.; Elmi-Terander, A.; Dankelman, J.; Hendriks, B.H.W. Fiber-optic pedicle probes to advance spine surgery through diffuse reflectance spectroscopy. Bioengineering 2024, 11, 61. [Google Scholar] [CrossRef] [PubMed]
- Sun, Y.; Dumont, A.P.; Arefin, M.S.; Patil, C.A. Model-based characterization platform of fiber optic extended-wavelength diffuse reflectance spectroscopy for identification of neurovascular bundles. J. Biomed. Opt. 2022, 27, 095002. [Google Scholar] [CrossRef]
- Guezenoc, J.; Gallet-Budynek, A.; Bousquet, B. Critical review and advices on spectral-based normalization methods for LIBS quantitative analysis. Spectrochim. Acta B 2019, 160, 105688. [Google Scholar] [CrossRef]
- Khosravy, M.; Nitta, N.; Nakamura, K.; Babaguchi, N. Compressive sensing theoretical foundations in a nutshell. In Compressive Sensing in Healthcare; Khosravy, M., Dey, N., Duque, C.A., Eds.; Academic Press: Cambridge, MA, USA, 2020; pp. 1–24. [Google Scholar] [CrossRef]
- Yang, J.; Zhao, X.; Lu, X.; Lin, X.; Xu, G. A data preprocessing strategy for metabolomics to reduce the mask effect in data analysis. Front. Mol. Biosci. 2015, 2, 4. [Google Scholar] [CrossRef] [PubMed]
- Zhang, D.; He, S.; Ming, T.; Lu, C.; Zhou, J.; Su, X. A metabonomic analysis on the response of Enterobacter cloacae from coastal outfall for land-based pollutant under phoxim stress. Arch. Microbiol. 2017, 199, 1165–1173. [Google Scholar] [CrossRef] [PubMed]
- Van den Berg, R.A.; Hoefsloot, H.C.; Westerhuis, J.A.; Smilde, A.K.; Van der Werf, M.J. Centering, scaling, and transformations: Improving the biological information content of metabolomics data. BMC Genom. 2006, 7, 142. [Google Scholar] [CrossRef]
- Jacques, S.L. Optical properties of biological tissues: A review. Phys. Med. Biol. 2013, 58, R37–R61. [Google Scholar] [CrossRef]
- Chaudhry, N.; Albinsson, J.; Cinthio, M.; Kröll, S.; Malmsjö, M.; Rydén, L.; Sheikh, R.; Reistad, N.; Zackrisson, S. Breast cancer diagnosis using extended-wavelength–diffuse reflectance spectroscopy (EW-DRS)—Proof of concept in ex vivo breast specimens using machine learning. Diagnostics 2023, 13, 3076. [Google Scholar] [CrossRef]
- Nogueira, M.S.; Maryam, S.; Amissah, M.; Lu, H.; Lynch, N.; Killeen, S.; O’Riordain, M.; Andersson-Engels, S. Evaluation of wavelength ranges and tissue depth probed by diffuse reflectance spectroscopy for colorectal cancer detection. Sci. Rep. 2021, 11, 798. [Google Scholar] [CrossRef] [PubMed]
- Khan, B.; Kafian-Attari, I.; Nippolainen, E.; Shaikh, R.; Semenov, D.; Hauta-Kasari, M.; Töyräs, J.; Afara, I.O. Articular cartilage optical properties in the near-infrared (NIR) spectral range vary with depth and tissue integrity. Biomed. Opt. Express 2021, 12, 6066–6080. [Google Scholar] [CrossRef] [PubMed]
- McGoverin, C.M.; Lewis, K.; Yang, X.; Bostrom, M.P.; Pleshko, N. The contribution of bone and cartilage to the near-infrared spectrum of osteochondral tissue. Appl. Spectrosc. 2014, 68, 1168–1175. [Google Scholar] [CrossRef] [PubMed]
- Brouwer de Koning, S.G.; Baltussen, E.J.; Karakullukcu, M.B.; Dashtbozorg, B.; Smit, L.A.; Dirven, R.; Hendriks, B.H.; Sterenborg, H.J.; Ruers, T.J. Toward complete oral cavity cancer resection using a handheld diffuse reflectance spectroscopy probe. J. Biomed. Opt. 2018, 23, 121611. [Google Scholar] [CrossRef] [PubMed]
- Mallia, R.; Thomas, S.S.; Mathews, A.; Kumar, R.; Sebastian, P.; Madhavan, J.; Subhash, N. Oxygenated hemoglobin diffuse reflectance ratio for in vivo detection of oral pre-cancer. J. Biomed. Opt. 2008, 13, 041306. [Google Scholar] [CrossRef][Green Version]
- P4001; Standard for Characterization of Hyperspectral Imaging Devices-Ultraviolet Through Shortwave Infrared. IEEE: New York, NY, USA, 2018.
- Baltussen, E.J.; Kok, E.N.; Brouwer de Koning, S.G.; Sanders, J.; Aalbers, A.G.; Kok, N.F.; Beets, G.L.; Flohil, C.C.; Bruin, S.C.; Kuhlmann, K.F. Hyperspectral imaging for tissue classification, a way toward smart laparoscopic colorectal surgery. J. Biomed. Opt. 2019, 24, 016002. [Google Scholar] [CrossRef]







| Metrics | R | R′, Max | R′, MinMax | R′, AUC | R′, Sum | R′, Ave | R′, L2 | R′, SNV | R′, Pareto | R′, CP | ||||||||||
|---|---|---|---|---|---|---|---|---|---|---|---|---|---|---|---|---|---|---|---|---|
| Xe | TH | Xe | TH | Xe | TH | Xe | TH | Xe | TH | Xe | TH | Xe | TH | Xe | TH | Xe | TH | Xe | TH | |
| Bias | −0.035 | −0.039 | −0.035 | −0.005 | −0.069 | −0.025 | 0.000 | 0.000 | 0.000 | 0.000 | 0.000 | 0.000 | 0.000 | 0.000 | 0.000 | 0.000 | 0.000 | 0.000 | 0.000 | 0.000 |
| 0.022 | 0.016 | 0.022 | 0.015 | 0.041 | 0.027 | 0.000 | 0.000 | 0.000 | 0.000 | 0.024 | 0.016 | 0.002 | 0.001 | 0.220 | 0.137 | 0.069 | 0.045 | 0.012 | 0.009 | |
| RMSE | 0.041 | 0.042 | 0.042 | 0.016 | 0.080 | 0.037 | 0.000 | 0.000 | 0.000 | 0.000 | 0.024 | 0.016 | 0.002 | 0.001 | 0.220 | 0.137 | 0.069 | 0.045 | 0.012 | 0.009 |
| r | 0.976 | 0.991 | 0.976 | 0.991 | 0.976 | 0.991 | 0.976 | 0.991 | 0.976 | 0.991 | 0.976 | 0.991 | 0.976 | 0.991 | 0.976 | 0.991 | 0.976 | 0.991 | 0.978 | 0.991 |
| Metrics | Scaled R | Scaled R′, Max | Scaled R′, MinMax | Scaled R′, AUC | Scaled R′, Sum | Scaled R′, Ave | Scaled R′, L2 | Scaled R′, SNV | Scaled R′, Pareto | Scaled R′, CP | ||||||||||
|---|---|---|---|---|---|---|---|---|---|---|---|---|---|---|---|---|---|---|---|---|
| Xe | TH | Xe | TH | Xe | TH | Xe | TH | Xe | TH | Xe | TH | Xe | TH | Xe | TH | Xe | TH | Xe | TH | |
| Bias | −0.065 | −0.073 | −0.064 | −0.010 | −0.069 | −0.025 | 0.000 | 0.000 | 0.000 | 0.000 | 0.000 | 0.000 | 0.000 | 0.001 | 0.000 | 0.000 | 0.000 | 0.000 | 0.000 | 0.000 |
| 0.041 | 0.030 | 0.041 | 0.027 | 0.041 | 0.027 | 0.038 | 0.025 | 0.038 | 0.025 | 0.038 | 0.025 | 0.038 | 0.025 | 0.038 | 0.024 | 0.038 | 0.025 | 0.034 | 0.025 | |
| RMSE | 0.076 | 0.079 | 0.076 | 0.028 | 0.080 | 0.037 | 0.038 | 0.025 | 0.038 | 0.025 | 0.038 | 0.025 | 0.038 | 0.025 | 0.038 | 0.024 | 0.038 | 0.025 | 0.034 | 0.025 |
| r | 0.976 | 0.991 | 0.976 | 0.991 | 0.976 | 0.991 | 0.976 | 0.991 | 0.976 | 0.991 | 0.976 | 0.991 | 0.976 | 0.991 | 0.976 | 0.991 | 0.976 | 0.991 | 0.978 | 0.991 |
Disclaimer/Publisher’s Note: The statements, opinions and data contained in all publications are solely those of the individual author(s) and contributor(s) and not of MDPI and/or the editor(s). MDPI and/or the editor(s) disclaim responsibility for any injury to people or property resulting from any ideas, methods, instructions or products referred to in the content. |
© 2025 by the authors. Licensee MDPI, Basel, Switzerland. This article is an open access article distributed under the terms and conditions of the Creative Commons Attribution (CC BY) license (https://creativecommons.org/licenses/by/4.0/).
Share and Cite
Mazdeyasna, S.; Arefin, M.S.; Fales, A.; Leavesley, S.J.; Pfefer, T.J.; Wang, Q. Evaluating Normalization Methods for Robust Spectral Performance Assessments of Hyperspectral Imaging Cameras. Biosensors 2025, 15, 20. https://doi.org/10.3390/bios15010020
Mazdeyasna S, Arefin MS, Fales A, Leavesley SJ, Pfefer TJ, Wang Q. Evaluating Normalization Methods for Robust Spectral Performance Assessments of Hyperspectral Imaging Cameras. Biosensors. 2025; 15(1):20. https://doi.org/10.3390/bios15010020
Chicago/Turabian StyleMazdeyasna, Siavash, Mohammed Shahriar Arefin, Andrew Fales, Silas J. Leavesley, T. Joshua Pfefer, and Quanzeng Wang. 2025. "Evaluating Normalization Methods for Robust Spectral Performance Assessments of Hyperspectral Imaging Cameras" Biosensors 15, no. 1: 20. https://doi.org/10.3390/bios15010020
APA StyleMazdeyasna, S., Arefin, M. S., Fales, A., Leavesley, S. J., Pfefer, T. J., & Wang, Q. (2025). Evaluating Normalization Methods for Robust Spectral Performance Assessments of Hyperspectral Imaging Cameras. Biosensors, 15(1), 20. https://doi.org/10.3390/bios15010020

