Development of a NIR Iridium(III) Complex-Based Probe for the Selective Detection of Iron(II) Ions
Abstract
1. Introduction
2. Results and Discussion
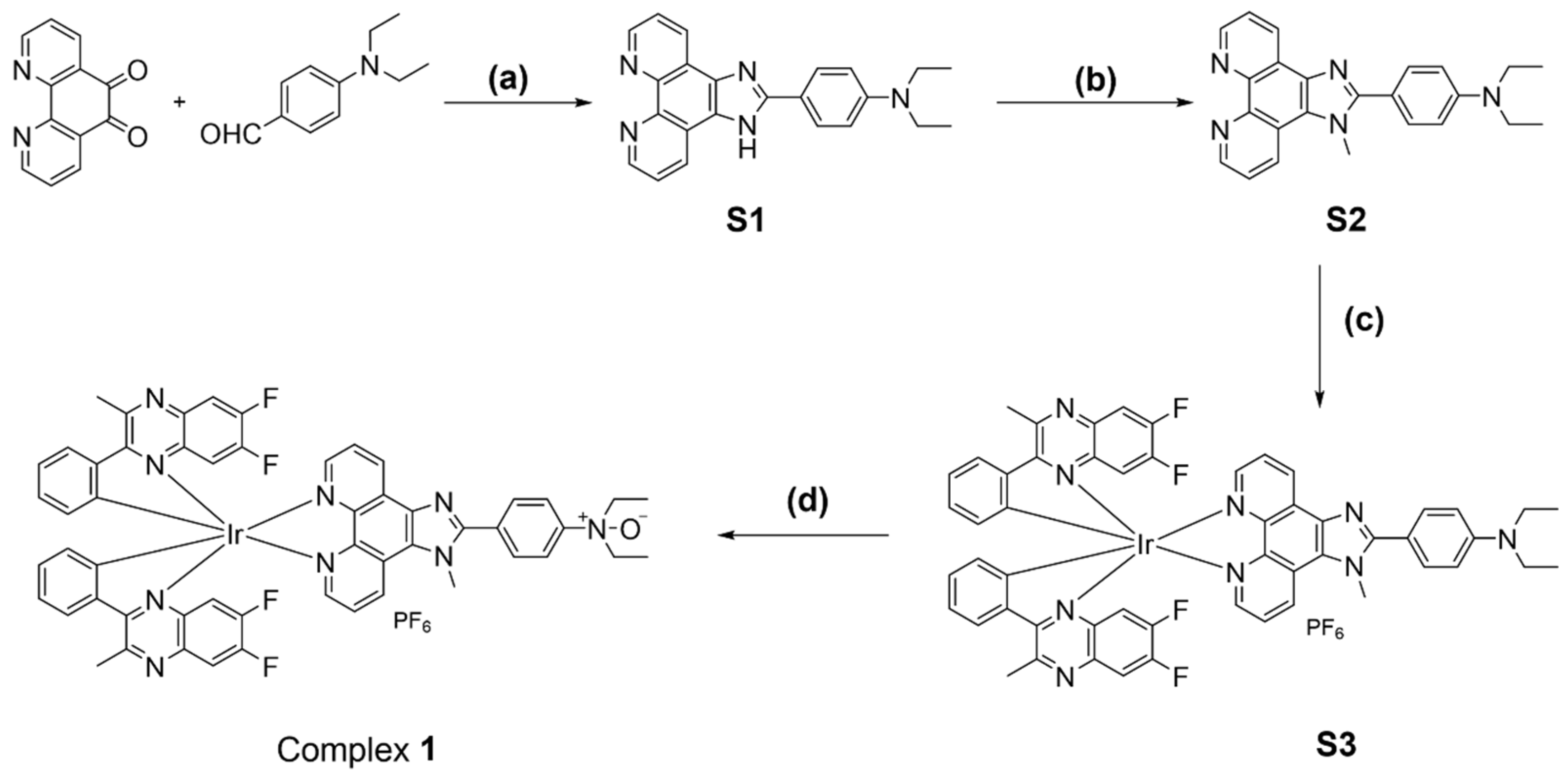
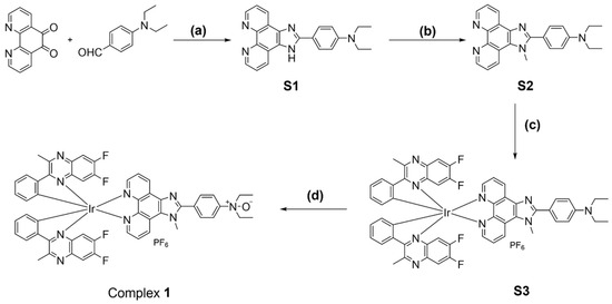
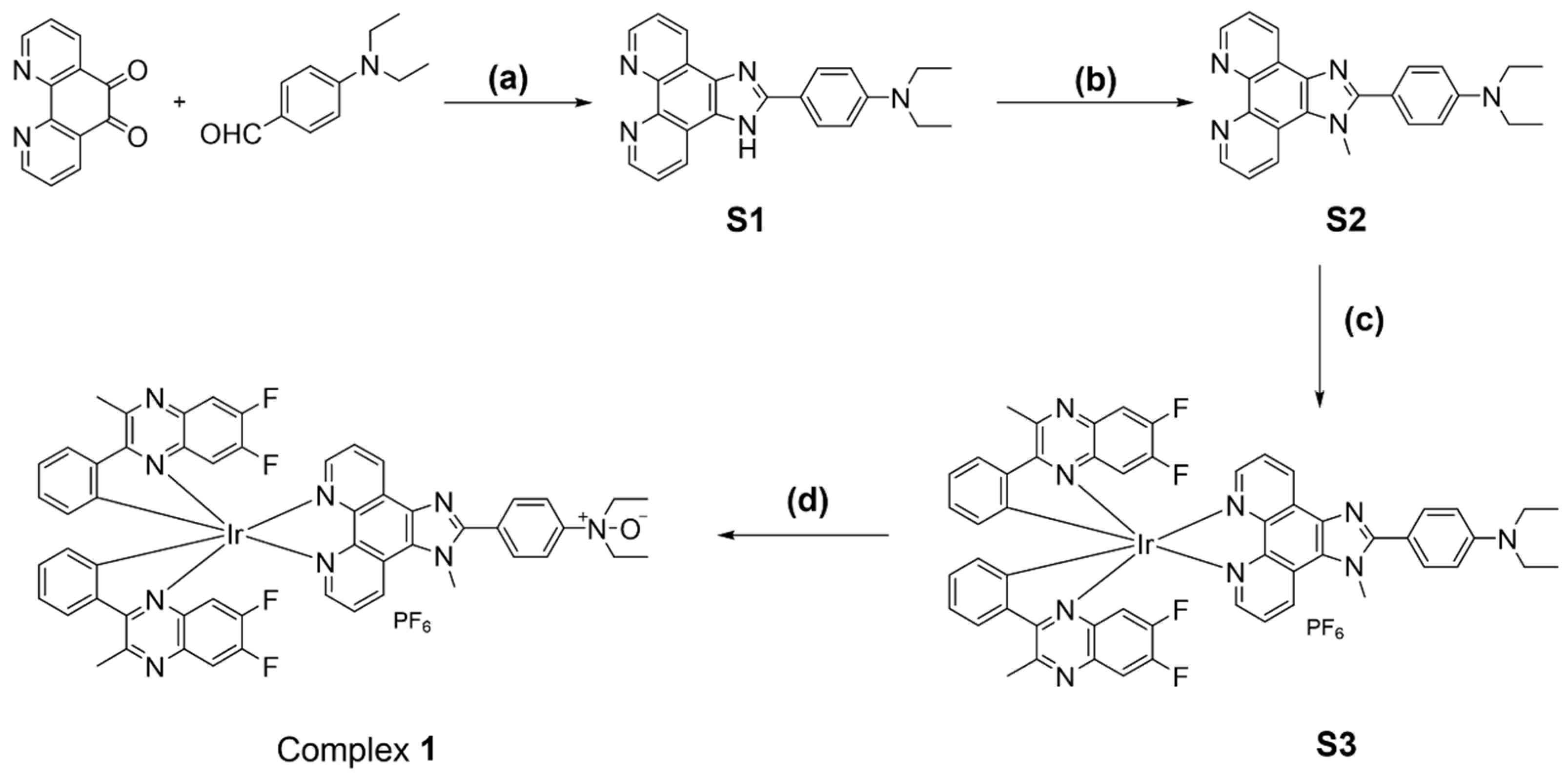
2.1. Design and Synthesis of the Probe for Fe2+ Ions
2.2. Photophysical Properties of the Probe
2.3. Optimization of Detection Conditions
2.4. Sensitivity and Selectivity of Complex 1
2.5. Mechanism Study
2.6. The Recovery by Complex 1 of Fe2+ Ions in Water Samples
3. Conclusions
Supplementary Materials
Author Contributions
Funding
Institutional Review Board Statement
Informed Consent Statement
Data Availability Statement
Conflicts of Interest
References
- Rouault, T.A. The role of iron regulatory proteins in mammalian iron homeostasis and disease. Nat. Chem. Biol. 2006, 2, 406–414. [Google Scholar] [CrossRef]
- Skjørringe, T.; Møller, L.B.; Moos, T. Impairment of interrelated iron and copper homeostatic mechanisms in brain contributes to the pathogenesis of neurodegenerative disorders. Front. Pharmacol. 2012, 3, 169. [Google Scholar] [CrossRef] [PubMed]
- Toyokuni, S. Role of iron in carcinogenesis: Cancer as a ferrotoxic disease. Cancer Sci. 2009, 100, 9–16. [Google Scholar] [CrossRef] [PubMed]
- Wilson, M.T.; Reeder, B.J. Oxygen-binding haem proteins. Exp. Physiol. 2008, 93, 128–132. [Google Scholar] [CrossRef] [PubMed]
- Sornjai, W.; Nguyen Van Long, F.; Pion, N.; Pasquer, A.; Saurin, J.C.; Marcel, V.; Diaz, J.J.; Mertani, H.C.; Smith, D.R. Iron and hepcidin mediate human colorectal cancer cell growth. Chem. Biol. Interact. 2020, 319, 109021. [Google Scholar] [CrossRef] [PubMed]
- Wang, J.; Pantopoulos, K. Regulation of cellular iron metabolism. Biochem. J. 2011, 434, 365–381. [Google Scholar] [CrossRef] [PubMed]
- Rouault, T.A.; Tong, W.H. Iron-sulphur cluster biogenesis and mitochondrial iron homeostasis. Nat. Rev. Mol. Cell Biol. 2005, 6, 345–351. [Google Scholar] [CrossRef] [PubMed]
- Torti, S.V.; Torti, F.M. Iron and cancer: More ore to be mined. Nat. Rev. Cancer 2013, 13, 342–355. [Google Scholar] [CrossRef]
- Hentze, M.W.; Muckenthaler, M.U.; Galy, B.; Camaschella, C. Two to tango: Regulation of Mammalian iron metabolism. Cell 2010, 142, 24–38. [Google Scholar] [CrossRef]
- Dixon, S.J.; Stockwell, B.R. The role of iron and reactive oxygen species in cell death. Nat. Chem. Biol. 2014, 10, 9–17. [Google Scholar] [CrossRef]
- Huang, J.; Jones, A.; Waite, T.D.; Chen, Y.; Huang, X.; Rosso, K.M.; Kappler, A.; Mansor, M.; Tratnyek, P.G.; Zhang, H. Fe(II) redox chemistry in the environment. Chem. Rev. 2021, 121, 8161–8233. [Google Scholar] [CrossRef] [PubMed]
- Zhang, Y.-Y.; Chen, X.-Z.; Liu, X.-Y.; Wang, M.; Liu, J.-J.; Gao, G.; Zhang, X.-Y.; Sun, R.-Z.; Hou, S.-C.; Wang, H.-M. A highly sensitive multifunctional sensor based on phenylene-acetylene for colorimetric detection of Fe2+ and ratiometric fluorescent detection of Cd2+ and Zn2+. Sens. Actuators B Chem. 2018, 273, 1077–1084. [Google Scholar] [CrossRef]
- Lian, M.; Shi, F.; Cao, Q.; Wang, C.; Li, N.; Li, X.; Zhang, X.; Chen, D. Paper-based colorimetric sensor using bimetallic Nickel-Cobalt selenides nanozyme with artificial neural network-assisted for detection of H2O2 on smartphone. Spectrochim. Acta A Mol. Biomol. Spectrosc. 2024, 311, 124038. [Google Scholar] [CrossRef] [PubMed]
- Laglera, L.M.; Monticelli, D. Iron detection and speciation in natural waters by electrochemical techniques: A critical review. Curr. Opin. Electrochem. 2017, 3, 123–129. [Google Scholar] [CrossRef]
- Xing, W.; Xu, H.; Ma, H.; Abedi, S.A.A.; Wang, S.; Zhang, X.; Liu, X.; Xu, H.; Wang, W.; Lou, K. A PET-based fluorescent probe for monitoring labile Fe(II) pools in macrophage activations and ferroptosis. Chem. Commun. 2022, 58, 2979–2982. [Google Scholar] [CrossRef] [PubMed]
- Zhang, J.; Zhao, S.; Tao, X.; Chen, Q.; Yin, D.; Zhang, C. Two AIE-Ligand-Based 2-D Luminescent Metal–Organic Frameworks as Fe3+ Sensors. Inorg. Chem. 2024, 63, 8342–8350. [Google Scholar] [CrossRef] [PubMed]
- Qu, Z.L.; Li, P.; Zhang, X.; Han, K. A turn-on fluorescent chemodosimeter based on detelluration for detecting ferrous iron (Fe2+) in living cells. J. Mater. Chem. B 2016, 4, 887–892. [Google Scholar] [CrossRef] [PubMed]
- Sun, Y.; Sun, P.; Guo, W. Fluorescent probes for iron, heme, and related enzymes. Coord. Chem. Rev. 2021, 429, 213645. [Google Scholar] [CrossRef]
- Hirayama, T.; Okuda, K.; Nagasawa, H. A highly selective turn-on fluorescent probe for iron(II) to visualize labile iron in living cells. Chem. Sci. 2013, 4, 1250–1256. [Google Scholar] [CrossRef]
- Jing, S.; Wu, X.; Niu, D.; Wang, J.; Leung, C.H.; Wang, W. Recent advances in organometallic NIR iridium(III) complexes for detection and therapy. Molecules 2024, 29, 256. [Google Scholar] [CrossRef]
- Yoon, S.; Teets, T.S. Red to near-infrared phosphorescent Ir(III) complexes with electron-rich chelating ligands. Chem. Commun. 2021, 57, 1975–1988. [Google Scholar] [CrossRef] [PubMed]
- Liu, J.; Wang, X.; Wang, J.; Leung, C.-H.; Wang, W. Imaging mitochondrial palladium species in living cells with a NIR iridium(III) complex. Spectrochim. Acta A Mol. Biomol. Spectrosc. 2023, 288, 122188. [Google Scholar] [CrossRef] [PubMed]
- Wang, W.; Liu, J.; Kong, L.; Wang, L.; Niu, D.; Wang, J.; Leung, C.-H. Synthesis and luminescence monitoring of iridium(III) complex-functionalized gold nanoparticles and their application for determination of gold(III) ions. Microchim. Acta 2023, 190, 171. [Google Scholar] [CrossRef] [PubMed]
- Dai, Y.; Zhang, K.; Yuan, X.; Xie, X.; Zhan, Z.; Lv, Y. Novel near-infrared iridium(III) complex for chemiluminescence imaging of hypochlorous acid. Anal. Chem. 2023, 95, 8310–8317. [Google Scholar] [CrossRef] [PubMed]
- Lin, C.; Wang, J.; Yang, K.; Liu, J.; Ma, D.-L.; Leung, C.-H.; Wang, W. Development of a NIR iridium(III) complex for self-calibrated and luminogenic detection of boron trifluoride. Spectrochim. Acta A Mol. Biomol. Spectrosc. 2022, 282, 121658. [Google Scholar] [CrossRef] [PubMed]
- Nao, S.-C.; Kong, L.; Chan, D.S.-H.; Liu, J.; Huang, L.-S.; Wu, L.; Wu, J.; Wong, C.-Y.; Wang, W.; Leung, C.-H. Covalent inhibition of epidermal growth factor receptor using a long-lived iridium(III)-afatinib probe. Int. J. Biol. Macromol. 2024, 259, 129211. [Google Scholar] [CrossRef]
- Wang, L.; Wang, X.; Chen, F.; Song, Y.-Q.; Nao, S.-C.; Chan, D.S.-H.; Wong, C.-Y.; Wang, W.; Leung, C.-H. A glycyrrhetinic acid-iridium(III) conjugate as a theranostic NIR probe for hepatocellular carcinoma with mitochondrial-targeting ability. Eur. J. Med. Chem. 2024, 264, 115995. [Google Scholar] [CrossRef] [PubMed]
- Nan, X.; Huyan, Y.; Li, H.; Sun, S.; Xu, Y. Reaction-based fluorescent probes for Hg2+, Cu2+ and Fe3+/Fe2+. Coord. Chem. Rev. 2021, 426, 213580. [Google Scholar] [CrossRef]
- BloodChen, Y.; Zhang, H. Complexation facilitated reduction of aromatic N-oxides by aqueous Fe(II)-tiron complex: Reaction kinetics and mechanisms. Environ. Sci. Technol. 2013, 47, 11023–11031. [Google Scholar]
- Colombo, A.; Dragonetti, C.; Guerchais, V.; Hierlinger, C.; Zysman-Colman, E.; Roberto, D. A trip in the nonlinear optical properties of iridium complexes. Coord. Chem. Rev. 2020, 414, 213293. [Google Scholar] [CrossRef]
- Caporale, C.; Massi, M. Cyclometalated iridium(III) complexes for life science. Coord. Chem. Rev. 2018, 363, 71–91. [Google Scholar] [CrossRef]
- Pettinari, R.; Marchetti, F.; Pettinari, C.; Condello, F.; Petrini, A.; Scopelliti, R.; Riedel, T.; Dyson, P.J. Organometallic rhodium(iii) and iridium(iii) cyclopentadienyl complexes with curcumin and bisdemethoxycurcumin co-ligands. Dalton Trans. 2015, 44, 20523–20531. [Google Scholar] [CrossRef] [PubMed]
- Dadashi-Silab, S.; Doran, S.; Yagci, Y. Photoinduced electron transfer reactions for macromolecular syntheses. Chem. Rev. 2016, 116, 10212–10275. [Google Scholar] [CrossRef] [PubMed]
- Manzari, M.T.; Shamay, Y.; Kiguchi, H.; Rosen, N.; Scaltriti, M.; Heller, D.A. Targeted drug delivery strategies for precision medicines. Nat. Rev. Mater. 2021, 6, 351–370. [Google Scholar] [CrossRef] [PubMed]
- Arachchi, D.T.; Wijesekera, G.; De Costa, M.; Senthilnithy, R. Amino and chloro derivatives of 1, 10-phenanthroline as turn-off fluorescence sensors for selective and sensitive detection of Fe(II). J. Photochem. Photobiol. A Chem. 2020, 402, 112805. [Google Scholar]
- Saini, P.; Singh, G.; Kaur, G.; Singh, J.; Singh, H. Copper (I)-catalyzed ‘Quick Click’ generated 1, 2, 3-triazole anthraquinone linkers for selective detection of Fe(II) ions. Inorg. Chem. Commun. 2022, 141, 109524. [Google Scholar] [CrossRef]
- Gupta, V.K.; Mergu, N.; Kumawat, L.K. A new multifunctional rhodamine-derived probe for colorimetric sensing of Cu(II) and Al(III) and fluorometric sensing of Fe(III) in aqueous media. Sens. Actuators B Chem. 2016, 223, 101–113. [Google Scholar] [CrossRef]
- Kamaci, U.D.; Kamaci, M.; Peksel, A. A dual responsive colorimetric sensor based on polyazomethine and ascorbic acid for the detection of Al (III) and Fe (II) ions. Spectrochim. Acta Part A Mol. Biomol. Spectrosc. 2021, 254, 119650. [Google Scholar]
- Yang, C.; Xu, G.; Hou, C.; Peng, L.; Wang, W.; Zhang, H.; Zhang, X. A dual-mode nanoprobe based on silicon nanoparticles and Fe (II)-phenanthroline for the colorimetric and fluorescence determination of nitrite. Microchim. Acta 2023, 190, 318. [Google Scholar] [CrossRef]






Disclaimer/Publisher’s Note: The statements, opinions and data contained in all publications are solely those of the individual author(s) and contributor(s) and not of MDPI and/or the editor(s). MDPI and/or the editor(s) disclaim responsibility for any injury to people or property resulting from any ideas, methods, instructions or products referred to in the content. |
© 2024 by the authors. Licensee MDPI, Basel, Switzerland. This article is an open access article distributed under the terms and conditions of the Creative Commons Attribution (CC BY) license (https://creativecommons.org/licenses/by/4.0/).
Share and Cite
Wang, W.; Zhang, Z.; Liu, J.; Kong, L.; Wang, W.; Leung, C.-H.; Wang, J. Development of a NIR Iridium(III) Complex-Based Probe for the Selective Detection of Iron(II) Ions. Biosensors 2024, 14, 369. https://doi.org/10.3390/bios14080369
Wang W, Zhang Z, Liu J, Kong L, Wang W, Leung C-H, Wang J. Development of a NIR Iridium(III) Complex-Based Probe for the Selective Detection of Iron(II) Ions. Biosensors. 2024; 14(8):369. https://doi.org/10.3390/bios14080369
Chicago/Turabian StyleWang, Wanyi, Zixi Zhang, Jingqi Liu, Lingtan Kong, Wanhe Wang, Chung-Hang Leung, and Jing Wang. 2024. "Development of a NIR Iridium(III) Complex-Based Probe for the Selective Detection of Iron(II) Ions" Biosensors 14, no. 8: 369. https://doi.org/10.3390/bios14080369
APA StyleWang, W., Zhang, Z., Liu, J., Kong, L., Wang, W., Leung, C.-H., & Wang, J. (2024). Development of a NIR Iridium(III) Complex-Based Probe for the Selective Detection of Iron(II) Ions. Biosensors, 14(8), 369. https://doi.org/10.3390/bios14080369

