Next Article in Journal
Repetitive Direct Comparison Method for Odor Sensing
Previous Article in Journal
Ultrasensitive Photoelectrochemical Immunoassay Strategy Based on Bi2S3/Ag2S for the Detection of the Inflammation Marker Procalcitonin
 
 
Font Type:
Arial Georgia Verdana
Font Size:
Aa Aa Aa
Line Spacing:
Column Width:
Background:
Article

Low-Temperature Loop-Mediated Isothermal Amplification Operating at Physiological Temperature

Department of Biological Engineering, College of Engineering, Konkuk University, Seoul 05029, Republic of Korea
*
Author to whom correspondence should be addressed.
These authors contributed equally to this work.
Biosensors 2023, 13(3), 367; https://doi.org/10.3390/bios13030367
Submission received: 30 January 2023 / Revised: 2 March 2023 / Accepted: 6 March 2023 / Published: 10 March 2023
(This article belongs to the Section Nano- and Micro-Technologies in Biosensors)

Abstract

Loop-mediated isothermal amplification (LAMP) is one of the most widely used isothermal amplification technologies in molecular diagnostics. However, LAMP operates at a high temperature of 65 °C; thus, operating LAMP at a lower temperature is desirable to maximize its usefulness for on-site diagnosis. In this study, we propose a new version of LAMP, termed low-temperature LAMP, which operates at the physiological temperature of 37 °C. Low-temperature LAMP differs from conventional LAMP operating at 65 °C in terms of the concentrations of MgSO4 and deoxyribonucleoside triphosphates (dNTPs), as well as the lengths of DNA probes, which are crucial for the execution of low-temperature LAMP. Under the optimal conditions, the amplification efficiency of low-temperature LAMP is comparable to that of conventional LAMP. In addition, the ligation reaction at 37 °C, which is necessary to detect actual target nucleic acids, is combined without altering the temperature, enabling the identification of miR-21, a cancer-promoting oncogenic miRNA, with high sensitivity and selectivity. The method described in this paper does not require expensive DNA modifications or special additives and would facilitate the widespread application of LAMP in facility-limited or point-of-care settings, paving the way to improvements in other isothermal-amplification-based techniques.

1. Introduction

Various nucleic acid biomarkers, such as non-coding and viral RNAs, have been used for diagnosing cancers and infectious diseases [1,2,3]. The emergence of the novel coronavirus in 2019 and the associated economic and social damage have escalated the importance of nucleic acid amplification based detection technology [4,5,6]. The polymerase chain reaction (PCR) is a representative nucleic acid amplification based detection technology that is widely used for the sensitive and selective detection of target nucleic acid biomarkers [7]. However, PCR has severe drawbacks that hinder its application in facility-limited or point-of-care (POC) settings. First, it requires a lot of energy to raise the temperature to 95 °C for the denaturation of double-stranded DNA (dsDNA) [8]. Second, repeated thermal cycling steps (e.g., 40 cycles) are required; accordingly, specialized equipment is necessary [8,9].
To overcome these issues, isothermal amplification techniques operating at a constant temperature have been proposed as alternatives. Various isothermal amplification technologies, such as nucleic acid sequence based amplification (NASBA) [10], strand displacement amplification (SDA) [11], helicase-dependent amplification (HDA) [12], recombinase polymerase amplification (RPA) [13], rolling circle amplification (RCA) [14], the exponential amplification reaction (EXPAR) [15], and loop-mediated isothermal amplification (LAMP) [16], have been developed.
Since its discovery in 2000 [16], LAMP has been extensively used to analyze various nucleic acid biomarkers, such as DNA and RNA, in molecular diagnostics [17,18]. LAMP exhibits a high amplification efficiency [19,20], and using multiple DNA primers contributes to its enhanced specificity [19,20,21,22]. Furthermore, a single enzyme, Bst DNA polymerase, is required for the execution of LAMP, which decreases the overall assay cost, and is relatively stable against amplification inhibitors, leading to the detection of nucleic acid biomarkers, even without the extraction/purification of nucleic acids [19].
Despite its advantages, the LAMP method could be further optimized. For example, the reaction temperature, 60–65 °C, is relatively high; employing LAMP at a lower temperature that is closer to the physiological temperature (e.g., 37 °C) would facilitate its use for on-site diagnosis. In recent years, a version of LAMP has been implemented using phosphorothioated primers, which operates under the principle that phosphorothioate modification substantially decreases the melting temperature of phosphorothioate-phosphodiester dsDNA, thereby inducing more breathing at the termini of dsDNA [23]. Although this method exhibits enhanced amplification efficiency at a relatively low temperature of 40 °C, the requirement for expensive DNA modification (e.g., phosphorothioate) in both forward and backward inner primers substantially increases the overall analysis cost. Therefore, further research is required to develop low-cost and viable low-temperature LAMP alternatives to facilitate their on-site diagnosis.
In this study, we systematically investigated the optimal reaction conditions and DNA probe lengths to develop a new version of LAMP that operates at 37 °C. We compared the efficacy of our novel low-temperature LAMP with that of conventional LAMP, which operates at 60–65 °C. Furthermore, we evaluated its sensitivity and selectivity for detecting the target miRNA-21 in combination with the reaction catalyzed by SplintR ligase. This novel method was developed to provide low-cost and low-temperature diagnostic alternatives to facility-limited and/or point-of-care settings.

2. Materials and Methods

2.1. Reagents and Materials

The oligonucleotide sequences used in this study (Table S1) were purchased from Bionics (Seoul, Republic of Korea) and Integrated DNA Technologies (Coralville, IA, USA). Bst 2.0 DNA polymerase, 10× isothermal amplification buffer, Bsu DNA polymerase large fragment, 10× NEBuffer™ 2, SplintR ligase, 10× SplintR ligase reaction buffer, and dNTPs were purchased from New England Biolabs (NEB) (Ipswich, MA, USA). Klenow DNA polymerase exo-, phi29 DNA polymerase, 10× phi29 DNA polymerase buffer, MgSO4, and bovine serum albumin (BSA) were purchased from Enzynomics (Daejeon, Republic of Korea). Tween 20 was purchased from Sigma–Aldrich (St. Louis, MO, USA). Dithiothreitol (DTT) and SYBR Green I were purchased from Thermo Fisher Scientific (Waltham, MA, USA).

2.2. Conventional LAMP Assay

Conventional LAMP was performed according to the typical LAMP protocol using Bst 2.0 DNA polymerase (NEB) [24]. For the reaction, 1× isothermal amplification buffer (20 mM Tris-HCl, 10 mM (NH4)2SO4, 50 mM KCl, 2 mM MgSO4, and 0.1% Tween 20; pH 8.8 at 25 °C), 6 mM MgSO4 (total: 8 mM), 5.6 mM dNTPs (1.4 mM each), 0.5× SYBR Green I, 1.6 µM C-forward inner primer (FIP), 1.6 µM C-backward inner primer (BIP), 0.4 U/µL Bst 2.0 DNA polymerase, and various concentrations of C-stem–loop probe (SLP) were mixed. Nuclease-free water was added to bring the volume to 20 µL. The fluorescence signal was measured once every minute at 65 °C using a Gentier 96E real-time PCR system (Tianlong, Xi’an, China). The Ct value, which is the number of minutes required for the fluorescence signal to exceed the background fluorescence, was calculated. All experiments were performed in triplicate.

2.3. Optimizing the Reaction Composition of Low-Temperature LAMP

Unless otherwise stated, 1× isothermal amplification buffer (20 mM Tris-HCl, 10 mM (NH4)2SO4, 50 mM KCl, 2 mM MgSO4, and 0.1% Tween 20; pH 8.8 at 25 °C), 0.4 mM dNTPs (0.1 mM each), 0.5× SYBR Green I, 400 nM FIP-10|15, 400 nM BIP-10|15, 0.2 U/µL Bst 2.0 DNA polymerase, and 500 pM C22 were mixed, and the volume was increased to 20 µL with nuclease-free water. In a Gentier 96E real-time PCR system (Tianlong, Xi’an, China), the fluorescence signal was measured once every minute at 37 °C, and the Ct value, which is the number of minutes required for the fluorescence signal to exceed the background fluorescence, was calculated. All experiments were performed in triplicate.

2.4. Optimizing the DNA Probe of Low-Temperature LAMP

Unless otherwise stated, 1× isothermal amplification buffer (20 mM Tris-HCl, 10 mM (NH4)2SO4, 50 mM KCl, 2 mM MgSO4, and 0.1% Tween 20; pH 8.8 at 25 °C), 0.75 mM MgSO4 (total: 2.75 mM), 0.1 mM dNTPs (0.025 mM each), 2.5% Tween 20 (total: 2.6%), 0.5× SYBR Green I, 400 nM different FIP-#|# and BIP-#|# (Table S1), 0.2 U/µL Bst 2.0 DNA polymerase, and various concentrations of SLP were mixed, and the reaction volume was increased to 20 µL with nuclease-free water. The reactions were performed in accordance with the protocol described earlier, albeit at a temperature of only 37 °C.

2.5. Assay Validation in a Regular Heat Block

Unless otherwise stated, 1× isothermal amplification buffer (20 mM Tris-HCl, 10 mM (NH4)2SO4, 50 mM KCl, 2 mM MgSO4, and 0.1% Tween 20; pH 8.8 at 25 °C), 0.75 mM MgSO4 (total: 2.75 mM), 0.1 mM dNTPs (0.025 mM each), 0.5× SYBR Green I, 2.5% Tween 20 (total: 2.6%), 400 nM FIP-14|15, 400 nM BIP-10|13, 0.2 U/µL Bst 2.0 DNA polymerase, and 50 fM RL15 were mixed, and the volume was increased to 20 µL with nuclease-free water. The reactions were performed in a Thermo Shaker Incubator (Miulab, Hangzhou, China) at a temperature of 37 °C, and their fluorescence images were photographed every 5 minutes in an FAS-nano gel illuminator (Nippongenetics, Düren, Germany).

2.6. Low-Temperature LAMP for the Detection of miR-21

Unless otherwise stated, 1× SplintR ligase reaction buffer (50 mM Tris-HCl, 10 mM MgCl2, 1 mM ATP, and 10 mM DTT; pH 7.5 at 25 °C), 50 nM SLP-L, 50 nM SLP-R, 1.25 U/µL SplintR ligase, and various concentrations of miRNA were first mixed, and nuclease-free water was added to bring the volume to 20 µL. The reaction mixture was then incubated at 37 °C for 30 min to perform the ligation reaction. Subsequently, 1× isothermal amplification buffer (20 mM Tris-HCl, 10 mM (NH4)2SO4, 50 mM KCl, 2 mM MgSO4, and 0.1% Tween 20; pH 8.8 at 25 °C), 0.75 mM MgSO4 (total: 2.75 mM), 0.1 mM dNTPs (0.025 mM each), 0.5× SYBR Green I, 2.5% Tween 20 (total: 2.6%), 400 nM FIP-14|15, 400 nM BIP-10|13, 0.2 U/µL Bst 2.0 DNA polymerase, and 2 µL of ligation product were mixed, and nuclease-free water was added to increase the volume to 20 µL. The reactions were performed in accordance with the protocol described earlier, albeit at a temperature of only 37 °C.

3. Results and Discussion

3.1. Construction of Low-Temperature LAMP

Figure 1 depicts a schematic illustration of low-temperature LAMP, where the stem–loop probe (SLP) is dumbbell-shaped and consists of five different regions: the left loop (blue, LL), left stem (yellow, LS), center (black, C), right stem (red, RS), and right loop (green, RL).
Similar to the general workflow of conventional LAMP, Bst 2.0 DNA polymerase with strand displacement activity is used to initiate DNA synthesis with the help of specially designed DNA primers (FIP and BIP) that bind to SLP loop structures, which facilitates the repeated rounds of amplification by extending the loops and facilitating the additional annealing of primers. Consequently, long DNA products containing numerous repeats of the SLP sequence, connected with single-stranded loop regions in long concatemers, are formed at a reaction temperature of 37 °C. These products are monitored using SYBR Green I, which emits a highly enhanced fluorescence signal after intercalation into the dsDNA.
By systematically investigating various reaction conditions and SLP lengths, we determined that the reaction conditions (e.g., the concentrations of Mg2+ and dNTPs) and the length of each part of the SLP (e.g., LS, RS, LL, and RL) are critical for the construction of low-temperature LAMP operating at 37 °C. As summarized in Table 1, the concentrations of Mg2+, dNTPs, and inner primers (FIP and BIP) were significantly lower in low-temperature LAMP than in conventional LAMP. Furthermore, the stem (LS and RS) and loop lengths (LL and RL) were shorter in low-temperature LAMP than in conventional LAMP. Concordantly, the SLP length was shorter in low-temperature LAMP.
Under the optimal conditions of low-temperature and conventional LAMPs, we compared the amplification efficiencies of both systems (Figure 2a,b). The results in Figure 2c suggest that the reaction conditions and SLP length optimized for conventional LAMP enabled the effective amplification, generating a strong fluorescence signal as the amplification proceeded at 65 °C. However, when the temperature was decreased to 37 °C, the amplification did not occur, regardless of the presence of SLP (Figure 2d). The amplification was effectively executed at 37 °C only when the reaction conditions and SLP were optimized for a low temperature (Figure 2e), indicating that the low-temperature LAMP can be constructed without expensive modifications or special additives.

3.2. Optimization of Reaction Conditions

First, we tested various DNA polymerases and reaction buffers to execute low-temperature LAMP at 37 °C. Specifically, DNA polymerases with strand displacement activity (Bst 2.0 DNA polymerase, Klenow DNA polymerase exo-, Bsu DNA polymerase large fragment, and phi29 DNA polymerase) and their corresponding reaction buffers were selected, and the LAMP reaction was conducted at 37 °C with various combinations of DNA polymerase and reaction buffers. As shown in Figure 3a, the amplification was ineffective in the case of phi29 DNA polymerase (D), even with the combination of all three buffers (1–3). Meanwhile, Bst 2.0 DNA polymerase (A) demonstrated the most effective amplification efficiency, especially in the isothermal amplification buffer (1), as evidenced by the lowest Ct value and the strongest fluorescence signal at the endpoint (Figure S1). Therefore, subsequent experiments for low-temperature LAMP were performed using Bst 2.0 DNA polymerase in the isothermal amplification buffer. It should be noted that low-temperature LAMP worked well in a composition with a lower concentration of MgSO4 than in conventional LAMP.
Second, we investigated the effect of the MgSO4 and dNTP concentrations on low-temperature LAMP, with the assumption that the MgSO4 concentration is an important factor affecting the reaction rate. Contour plots were obtained in experiments with varying concentrations of MgSO4 (2–4 mM) and dNTPs (0.4–2.4 mM). As shown in Figure S2, MgSO4 (2–3.5 mM) and dNTPs (<0.5 mM) were effective for low-temperature LAMP. After determining the optimal concentration range, further optimization experiments were performed with specified concentrations of MgSO4 and dNTPs. The results in Figure 3b indicate that 2.75 mM MgSO4 and 0.1 mM dNTPs were optimal for effective low-temperature LAMP. Notably, the concentrations of Mg2+ and dNTPs were lower in the low-temperature LAMP than in the conventional LAMP (Table 1). We hypothesized that a lower Mg2+ concentration is necessary to avoid excessively strong hybridization at low temperatures and to direct the desirable amplification by minimizing the non-specific binding of DNA probes. Similarly, the concentration of dNTPs that chelate Mg2+ would also be lowered to balance the low concentration of Mg2+ in low-temperature LAMP [25,26].
Finally, we investigated the effects of Tween 20, BSA (Figure S3a), and dithiothreitol (DTT; Figure S3b), which are commonly used as additives to enhance the amplification efficiency of conventional LAMP [27], in low-temperature LAMP. As shown in Figure 3c, the Ct value decreased as the Tween 20 concentration increased, indicating an enhanced reaction rate. Although the reaction rate was expected to increase as the concentration of Tween 20 increased, to a certain level, we chose 2.6% Tween 20 for further experiments due to the bubble formation with a concentration over 2.6%, which can hinder reproducibility. In contrast, the concentrations of BSA and DTT did not affect the reaction rate (Figure S3); thus, these additives were not included in the subsequent experiments.

3.3. Optimization of Length of Each Part of SLP

Under optimal reaction conditions for low-temperature LAMP, the length of each part of the SLP was investigated to improve the amplification efficiency. First, the length of the C region was varied. As shown in Figure 4a, this did not significantly influence the amplification efficiency, implying that the low-temperature LAMP optimized in this study could be used to detect various target nucleic acids of different lengths. Next, the effect of the length of the LS and RS was evaluated; the 14- and 10-mer lengths exhibited the fastest reaction rates (Figure 4b,c). Finally, experiments conducted to verify the effects of the lengths of the LL and RL confirmed that the LL induced the fastest reaction speed at a 15-mer length, whereas the length of the RL did not affect the reaction speed (Figure 4d). Based on these results, SLPs with lengths of 14, 10, 15, and 15 mers for LS, RS, LL, and RL, respectively, were chosen for subsequent experiments. Notably, the SLP length in low-temperature LAMP was shorter than that in conventional LAMP (Table 1). We hypothesized that the SLP should be shortened to lower the hybridization strength to an appropriate level in low-temperature LAMP, which matched the results of the optimization of the reaction conditions. It should be noted that the optimal concentrations of MgSO4 and dNTPs that chelate Mg2+ may be different for probes of different lengths since the hybridization strength is dependent on both the hybridization length and the Mg2+ concentration.

3.4. Optimization of Primer Length and Concentration

We also investigated the effect of the binding length between the primer and loop of the SLP on the reaction rate by varying the length of the loop-binding region of the FIP and BIP. The two numbers (#|#) next to the FIP indicate the hybridization length of the FIP with the LS and LL, whereas those next to the BIP indicate the hybridization length of the BIP with the RS and RL, respectively (Table S1). Because the SLP stem lengths were optimized in Figure 4b,c, the hybridization lengths of both the FIP and BIP with the LS and RS of the SLP were determined to be 14 in the FIP and 10 in the BIP, respectively. As shown in Figure 5a, the optimal results were obtained when FIP-14|15 and BIP-10|13 were used, where the hybridization lengths of the FIP and BIP with the LL and RL of the SLP were 15 and 13, respectively. Furthermore, the concentrations of FIP-14|15 and BIP-10|13 were also optimized. The results in Figure 5b suggest that the Ct value decreased as the concentrations of the FIP and BIP increased, but no significant decrease was observed after 400 nM. Therefore, subsequent experiments were performed with a primer concentration of 400 nM.

3.5. Sensitivity of Low-Temperature LAMP

After determining the optimized reaction conditions, SLP, and inner primers (FIP/BIP), the sensitivity of the low-temperature LAMP assay was investigated. The results in Figure 6 indicate that the Ct values decreased as the SLP concentration increased from 50 aM to 50 pM, exhibiting a high linear correlation coefficient (R2 = 0.9955) between the log concentration of SLP and the Ct value, and the detection limit was calculated to be 5 aM using the following formula: no template control (NTC)-3σ, where σ is the standard deviation of NTC. With the low-temperature LAMP, which operated at 37 °C, we obtained a high sensitivity at the aM level, comparable to that of conventional LAMP [28,29].

3.6. Assay Validation in a Regular Heat Block

We performed the low-temperature LAMP assay in a regular heat block. As shown in Figure S4, the fluorescence signals during low-temperature LAMP were negligible from 5 to 20 min in both NTC and SLP. However, the fluorescence signals started to increase at 25 min in the presence of SLP and became intensified at 30 min, which was not observed in the case of NTC. These results matched well with the amplification curve obtained in the presence of SLP (50 fM, Figure 6), proving that our assay can be reproduced without the need for qPCR equipment and is suitable for POC testing.

3.7. Application of Low-Temperature LAMP for the Detection of miRNA

We attempted to detect miRNA to demonstrate the applicability of the proposed low-temperature LAMP method. Similar to conventional LAMP for the detection of miRNA, the ligation reaction catalyzed by SplintR ligase was employed before the execution of LAMP, as described in Figure 7a. The presence of the target miRNA resulted in a ligation between the left stem–loop probe(SLP-L) and the right stem–loop probe (SLP-R) by SplintR ligase, which formed a dumbbell-like structure that could be used as a template for low-temperature LAMP. Notably, the entire process, including ligation and low-temperature LAMP, could be operated at 37 °C, facilitating the on-site diagnosis of various nucleic acid biomarkers. As a proof of concept, we chose miR-21 as a model target miRNA to be analyzed using the proposed strategy. The results in Figure 7b and Figure S5 suggest that miR-21, whose concentration ranges from 500 fM to 50 nM, was successfully analyzed, with a high correlation coefficient (R2 = 0.9785), and the detection limit calculated using NTC-3σ was 130 fM. In addition, the specificity of low-temperature LAMP was confirmed by evaluating the detection of other miRNAs, such as miR-141, miR-155, miR-429, let-7b, and let-7c. As shown in Figure 7c, only the presence of miR-21 generated a significant Δ Ct value due to the reduced Ct values, indicating the high selectivity, without any cross-reactivity, of the proposed system.

4. Conclusions

In this study, we developed a low-temperature LAMP that operates at 37 °C by systematically investigating the reaction conditions and the lengths of DNA probes, without expensive DNA modifications or special additives. Importantly, the attomolar sensitivity achieved with low-temperature LAMP was comparable to that of conventional LAMP, but low-temperature LAMP, compared to conventional LAMP functioning at 65 °C, is better suited for applications in facility-limited or POC settings. In addition, it can be applied to detect target miRNAs in combination with ligation reactions. However, a loss of sensitivity was observed during ligation compared to when only low-temperature LAMP was performed; thus, increasing the ligation efficiency is required to compensate for the loss of sensitivity. Moreover, further research is required to demonstrate the versatile applicability of this technique by targeting various nucleic acid biomarkers. Nonetheless, we believe this technique, which operates at a physiological temperature, could enable the development of a detection system, even without an incubator for temperature maintenance, and will provide guidelines for improving other isothermal amplification techniques.

Supplementary Materials

The following supporting information can be downloaded at https://www.mdpi.com/article/10.3390/bios13030367/s1, Figure S1: Amplification curve according to the different combinations of DNA polymerases and reaction buffers; Figure S2: Contour plots of Ct values as functions of MgSO4 and dNTP concentrations; Figure S3: Ct values according to the different concentrations of (a) BSA and (b) DTT; Figure S4: Fluorescence images taken at 5-minute intervals in a regular heat block; Figure S5: Amplification curves of low-temperature LAMP in combination with the ligation reaction at different concentrations of miR-21; Table S1: Sequences of oligonucleotides used in this study [30].

Author Contributions

D.N.: Conceptualization, Methodology, Validation, Formal analysis, Investigation, and Writing—original draft. S.K.: Conceptualization, Methodology, Validation, Formal analysis, Investigation, and Writing—original draft. J.H.K.: Conceptualization, Methodology, and Validation. S.L.: Validation, Formal analysis, and Investigation. D.K. (Daneub Kim): Validation, Formal analysis, and Investigation. J.S.: Formal analysis and Investigation. D.K. (Doyeon Kim): Formal analysis and Investigation. B.S.C.: Methodology and Validation. E.S.L.: Methodology and Validation. K.S.P.: Writing—review and editing, Funding acquisition, Resources, and Supervision. All authors have read and agreed to the published version of the manuscript.

Funding

This work was supported by a grant (21163MFDS501) from the Ministry of Food and Drug Safety in 2021 and by the LCA Experts Training Graduate Program for Knowledge-based Environmental Service from the Ministry of Environment, Republic of Korea.

Institutional Review Board Statement

Not applicable.

Informed Consent Statement

Not applicable.

Data Availability Statement

Data will be made available on request.

Conflicts of Interest

The authors declare no conflict of interest.

References

  1. Bhatti, G.K.; Khullar, N.; Sidhu, I.S.; Navik, U.S.; Reddy, A.P.; Reddy, P.H.; Bhatti, J.S. Emerging Role of Non-coding RNA in Health and Disease. Metab. Brain Dis. 2021, 36, 1119–1134. [Google Scholar] [CrossRef] [PubMed]
  2. Tribolet, L.; Kerr, E.; Cowled, C.; Bean, A.G.D.; Stewart, C.R.; Dearnley, M.; Farr, R.J. MicroRNA Biomarkers for Infectious Diseases: From Basic Research to Biosensing. Front. Microbiol. 2020, 11, 1197. [Google Scholar] [CrossRef] [PubMed]
  3. Dronina, J.; Samukaite-Bubniene, U.; Ramanavicius, A. Advances and Insights in the Diagnosis of Viral Infections. J. Nanobiotechnol. 2021, 19, 1–23. [Google Scholar] [CrossRef] [PubMed]
  4. Yoon, T.; Shin, J.; Choi, H.J.; Park, K.S. Split T7 Promoter-Based Isothermal Transcription Amplification for One-Step Fluorescence Detection of SARS-CoV-2 and Emerging Variants. Biosens. Bioelectron. 2022, 208, 114221. [Google Scholar] [CrossRef] [PubMed]
  5. Park, J.S.; Kim, S.; Han, J.; Kim, J.H.; Park, K.S. Equipment-Free, Salt-Mediated Immobilization of Nucleic Acids for Nucleic Acid Lateral Flow Assays. Sens. Actuators B Chem. 2022, 351, 130975. [Google Scholar] [CrossRef]
  6. Vindeirinho, J.M.; Pinho, E.; Azevedo, N.F.; Almeida, C. SARS-CoV-2 Diagnostics Based on Nucleic Acids Amplification: From Fundamental Concepts to Applications and Beyond. Front. Cell. Infect. Microbiol. 2022, 12, 263. [Google Scholar] [CrossRef]
  7. Oliveira, B.B.; Veigas, B.; Baptista, P.V. Isothermal Amplification of Nucleic Acids: The Race for the Next “Gold Standard”. Front. Sens. 2021, 2, 752600. [Google Scholar] [CrossRef]
  8. Chen, J.J.; Li, K.T. Analysis of PCR Kinetics inside a Microfluidic DNA Amplification System. Micromachines 2018, 9, 48. [Google Scholar] [CrossRef]
  9. Shin, J.; Yoon, T.; Park, J.; Park, K.S. Sensitive and Simultaneous Detection of Hygiene Indicator Bacteria Using an Enhanced CRISPR/Cas System in Combination with a Portable Fluorescence Detector. Sens. Actuators B Chem. 2022, 365, 131871. [Google Scholar] [CrossRef]
  10. Compton, J. Nucleic Acid Sequence-Based Amplification. Nature 1991, 350, 91–92. [Google Scholar] [CrossRef]
  11. Walker, G.T.; Fraiser, M.S.; Schram, J.L.; Little, M.C.; Nadeau, J.G.; Malinowski, D.P. Strand Displacement Amplification—An Isothermal, in Vitro DNA Amplification Technique. Nucleic Acids Res. 1992, 20, 1691–1696. [Google Scholar] [CrossRef] [PubMed]
  12. Vincent, M.; Xu, Y.; Kong, H. Helicase-Dependent Isothermal DNA Amplification. EMBO Rep. 2004, 5, 795–800. [Google Scholar] [CrossRef] [PubMed]
  13. Piepenburg, O.; Williams, C.H.; Stemple, D.L.; Armes, N.A. DNA Detection Using Recombination Proteins. PLoS Biol. 2006, 4, 1115–1121. [Google Scholar] [CrossRef] [PubMed]
  14. Fire, A.; Xu, S.Q. Rolling Replication of Short DNA Circles. Proc. Natl. Acad. Sci. USA 1995, 92, 4641–4645. [Google Scholar] [CrossRef] [PubMed]
  15. Van Ness, J.; Van Ness, L.K.; Galas, D.J. Isothermal Reactions for the Amplification of Oligonucleotides. Proc. Natl. Acad. Sci. USA 2003, 100, 4504–4509. [Google Scholar] [CrossRef] [PubMed]
  16. Notomi, T.; Okayama, H.; Masubuchi, H.; Yonekawa, T.; Watanabe, K.; Amino, N.; Hase, T. Loop-Mediated Isothermal Amplification of DNA. Nucleic Acids Res. 2000, 28, e63. [Google Scholar] [CrossRef]
  17. Becherer, L.; Borst, N.; Bakheit, M.; Frischmann, S.; Zengerle, R.; von Stetten, F. Loop-Mediated Isothermal Amplification (LAMP)—Review and Classification of Methods for Sequence-Specific Detection. Anal. Methods 2020, 12, 717–746. [Google Scholar] [CrossRef]
  18. Kim, S.; Kim, J.H.; Kim, S.; Park, J.S.; Cha, B.S.; Lee, E.S.; Han, J.; Shin, J.; Jang, Y.; Park, K.S. Loop-Mediated Isothermal Amplification-Based Nucleic Acid Lateral Flow Assay for the Specific and Multiplex Detection of Genetic Markers. Anal. Chim. Acta 2022, 1205, 339781. [Google Scholar] [CrossRef]
  19. Shang, Y.; Sun, J.; Ye, Y.; Zhang, J.; Zhang, Y.; Sun, X. Loop-Mediated Isothermal Amplification-Based Microfluidic Chip for Pathogen Detection. Crit. Rev. Food Sci. Nutr. 2020, 60, 201–224. [Google Scholar] [CrossRef]
  20. Soroka, M.; Wasowicz, B.; Rymaszewska, A. Loop-Mediated Isothermal Amplification (LAMP): The Better Sibling of PCR? Cells 2021, 10, 1931. [Google Scholar] [CrossRef]
  21. Chaouch, M. Loop-mediated Isothermal Amplification (LAMP): An Effective Molecular Point-of-care Technique for the Rapid Diagnosis of Coronavirus SARS-CoV-2. Rev. Med. Virol. 2021, 31, e2215. [Google Scholar] [CrossRef]
  22. Wong, Y.P.; Othman, S.; Lau, Y.L.; Radu, S.; Chee, H.Y. Loop-Mediated Isothermal Amplification (LAMP): A Versatile Technique for Detection of Micro-Organisms. J. Appl. Microbiol. 2018, 124, 626–643. [Google Scholar] [CrossRef] [PubMed]
  23. Cai, S.; Jung, C.; Bhadra, S.; Ellington, A.D. Phosphorothioated Primers Lead to Loop-Mediated Isothermal Amplification at Low Temperatures. Anal. Chem. 2018, 90, 8290–8294. [Google Scholar] [CrossRef] [PubMed]
  24. Typical LAMP Protocol (M0537). Available online: https://international.neb.com/protocols/2014/12/29/typical-lamp-protocol-m0537 (accessed on 10 November 2022).
  25. Roux, K.H. Optimization and Troubleshooting in PCR. Cold Spring Harb. Protoc. 2009, 4, 66. [Google Scholar] [CrossRef] [PubMed]
  26. Gerard, G.F.; Collins, S.; Smith, M.D. Excess DNTPs Minimize RNA Hydrolysis during Reverse Transcription. Biotechniques 2002, 33, 984–990. [Google Scholar] [CrossRef]
  27. Jang, M.J.; Kim, S. Inhibition of Non-Specific Amplification in Loop-Mediated Isothermal Amplification via Tetramethylammonium Chloride. Biochip J. 2022, 16, 326–333. [Google Scholar] [CrossRef]
  28. Yan, C.; Cui, J.; Huang, L.; Du, B.; Chen, L.; Xue, G.; Li, S.; Zhang, W.; Zhao, L.; Sun, Y.; et al. Rapid and Visual Detection of 2019 Novel Coronavirus (SARS-CoV-2) by a Reverse Transcription Loop-Mediated Isothermal Amplification Assay. Clin. Microbiol. Infect. 2020, 26, 773–779. [Google Scholar] [CrossRef]
  29. Yu, Y.; Li, R.; Ma, Z.; Han, M.; Zhang, S.; Zhang, M.; Qiu, Y. Development and Evaluation of a Novel Loop Mediated Isothermal Amplification Coupled with TaqMan Probe Assay for Detection of Genetically Modified Organism with NOS Terminator. Food Chem. 2021, 356, 129684. [Google Scholar] [CrossRef]
  30. Sheikh, N.; Kumar, S.; Sharma, H.K.; Bhagyawant, S.S.; Thavaselvam, D. Development of a Rapid and Sensitive Colorimetric Loop-Mediated Isothermal Amplification Assay: A Novel Technology for the Detection of Coxiella Burnetii From Minimally Processed Clinical Samples. Front. Cell. Infect. Microbiol. 2020, 10, 127. [Google Scholar] [CrossRef]
Figure 1. Schematic illustration of low-temperature LAMP, which operates at 37 °C, with the stem–loop probe (SLP) as the model DNA template. LAMP, loop-mediated isothermal amplification; LL, left loop; LS, left stem; C, center; RS, right stem; RL, right loop; BIP, backward inner primer; FIP, forward inner primer.
Figure 1. Schematic illustration of low-temperature LAMP, which operates at 37 °C, with the stem–loop probe (SLP) as the model DNA template. LAMP, loop-mediated isothermal amplification; LL, left loop; LS, left stem; C, center; RS, right stem; RL, right loop; BIP, backward inner primer; FIP, forward inner primer.
Biosensors 13 00367 g001
Figure 2. Comparison of conventional and low-temperature LAMPs. Schematic illustration describing the reaction results of the conventional (a) and low-temperature LAMP (b) methods at different temperatures (65 and 37 °C, respectively). The gray and green colors indicate the negligible and strong fluorescence signals of SYBR Green I, respectively. The amplification curves of the conventional LAMP reaction were obtained at (c) 65 °C and (d) 37 °C. NTC and Target indicate the absence and presence of C-SLP (50 pM), respectively. (e) The amplification curve of the low-temperature LAMP reaction obtained at 37 °C. NTC and Target indicate the absence and presence of RL15 (50 pM), respectively. All tests were performed with three technical replicates.
Figure 2. Comparison of conventional and low-temperature LAMPs. Schematic illustration describing the reaction results of the conventional (a) and low-temperature LAMP (b) methods at different temperatures (65 and 37 °C, respectively). The gray and green colors indicate the negligible and strong fluorescence signals of SYBR Green I, respectively. The amplification curves of the conventional LAMP reaction were obtained at (c) 65 °C and (d) 37 °C. NTC and Target indicate the absence and presence of C-SLP (50 pM), respectively. (e) The amplification curve of the low-temperature LAMP reaction obtained at 37 °C. NTC and Target indicate the absence and presence of RL15 (50 pM), respectively. All tests were performed with three technical replicates.
Biosensors 13 00367 g002
Figure 3. Optimization of reaction conditions for low-temperature LAMP. (a) Ct values according to the different combinations of DNA polymerase and reaction buffers. A, B, C, and D indicate Bst 2.0 DNA polymerase, Klenow DNA polymerase exo-, Bsu DNA polymerase large fragment, and phi29 DNA polymerase, respectively, while 1, 2, and 3 indicate 1× isothermal amplification buffer, 1× phi29 DNA polymerase buffer, and 1× NEBuffer™ 2, respectively. (b) Ct values according to the different concentrations of MgSO4 and dNTPs. The concentration of SLP (C22) was 5 pM. (c) Ct values according to the different concentrations of Tween 20. The concentrations of MgSO4 and dNTPs were 2.75 mM and 0.1 mM, respectively, and the concentration of SLP (C22) was 50 pM. All tests were performed with three technical replicates.
Figure 3. Optimization of reaction conditions for low-temperature LAMP. (a) Ct values according to the different combinations of DNA polymerase and reaction buffers. A, B, C, and D indicate Bst 2.0 DNA polymerase, Klenow DNA polymerase exo-, Bsu DNA polymerase large fragment, and phi29 DNA polymerase, respectively, while 1, 2, and 3 indicate 1× isothermal amplification buffer, 1× phi29 DNA polymerase buffer, and 1× NEBuffer™ 2, respectively. (b) Ct values according to the different concentrations of MgSO4 and dNTPs. The concentration of SLP (C22) was 5 pM. (c) Ct values according to the different concentrations of Tween 20. The concentrations of MgSO4 and dNTPs were 2.75 mM and 0.1 mM, respectively, and the concentration of SLP (C22) was 50 pM. All tests were performed with three technical replicates.
Biosensors 13 00367 g003
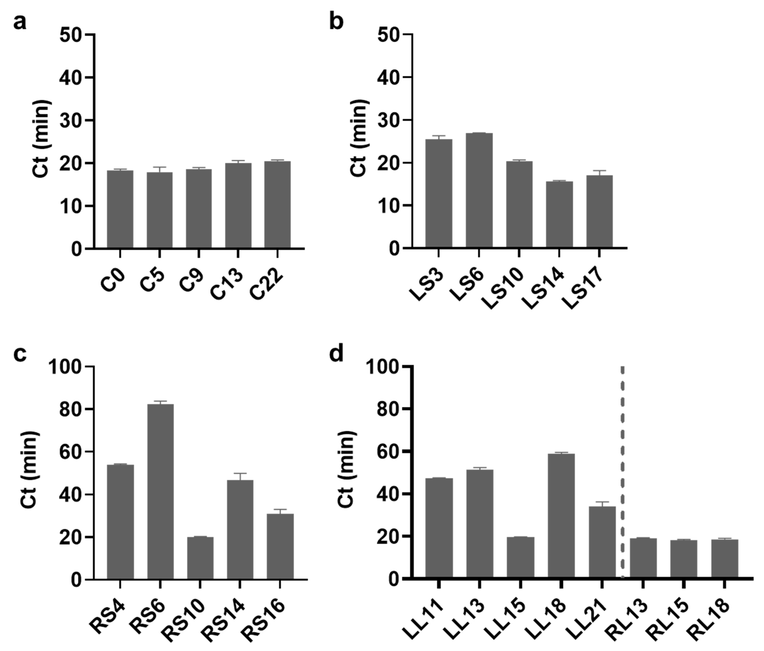
Figure 4. Optimization of the length on each part of the SLP for low-temperature LAMP. Ct values according to the different lengths of the (a) center (C), (b) left stem (LS), (c) right stem (RS), (d) left loop (LL), and right loop (RL) of the SLP. The grey dotted line is indicated to facilitate the distinction of LL and RL. The concentration of SLP was 50 pM. All tests were performed with three technical replicates.
Figure 4. Optimization of the length on each part of the SLP for low-temperature LAMP. Ct values according to the different lengths of the (a) center (C), (b) left stem (LS), (c) right stem (RS), (d) left loop (LL), and right loop (RL) of the SLP. The grey dotted line is indicated to facilitate the distinction of LL and RL. The concentration of SLP was 50 pM. All tests were performed with three technical replicates.
Biosensors 13 00367 g004
Figure 5. Optimization of hybridization length between primer and loop of SLP. (a) Ct values according to the different combinations of the forward inner primer (FIP) and backward inner primer (BIP) (stem hybridization length|loop hybridization length). The concentration of SLP (RL15) was 50 pM. (b) Ct values according to the different concentrations of primers. The concentration of RL15 was 50 pM. All tests were performed with three technical replicates.
Figure 5. Optimization of hybridization length between primer and loop of SLP. (a) Ct values according to the different combinations of the forward inner primer (FIP) and backward inner primer (BIP) (stem hybridization length|loop hybridization length). The concentration of SLP (RL15) was 50 pM. (b) Ct values according to the different concentrations of primers. The concentration of RL15 was 50 pM. All tests were performed with three technical replicates.
Biosensors 13 00367 g005
Figure 6. Sensitivity of low-temperature LAMP. (a) The amplification curves of low-temperature LAMP at different concentrations of SLP (RL15). (b) Standard curve of the Ct values at varying SLP concentrations. All tests were performed with three technical replicates.
Figure 6. Sensitivity of low-temperature LAMP. (a) The amplification curves of low-temperature LAMP at different concentrations of SLP (RL15). (b) Standard curve of the Ct values at varying SLP concentrations. All tests were performed with three technical replicates.
Biosensors 13 00367 g006
Figure 7. Detection of target miRNA using low-temperature LAMP in combination with a ligation reaction. (a) Schematic illustration of DNA ligation catalyzed by SplintR ligase for the detection of a target miRNA. (b) Standard curve of the Ct values at different miR-21 concentrations. (c) Specificity of low-temperature LAMP for the detection of the target miRNA. The Δ Ct values refer to the difference between the Ct value of each miRNA and the Ct value of NTC. The concentration of miRNA was 500 pM. All tests were performed with three technical replicates.
Figure 7. Detection of target miRNA using low-temperature LAMP in combination with a ligation reaction. (a) Schematic illustration of DNA ligation catalyzed by SplintR ligase for the detection of a target miRNA. (b) Standard curve of the Ct values at different miR-21 concentrations. (c) Specificity of low-temperature LAMP for the detection of the target miRNA. The Δ Ct values refer to the difference between the Ct value of each miRNA and the Ct value of NTC. The concentration of miRNA was 500 pM. All tests were performed with three technical replicates.
Biosensors 13 00367 g007
Table 1. Comparison of conventional and low-temperature LAMPs in terms of reaction components, conditions, and SLP lengths. The reaction conditions of conventional LAMP were adopted from the typical LAMP protocol using Bst 2.0 DNA polymerase (NEB) [24].
Table 1. Comparison of conventional and low-temperature LAMPs in terms of reaction components, conditions, and SLP lengths. The reaction conditions of conventional LAMP were adopted from the typical LAMP protocol using Bst 2.0 DNA polymerase (NEB) [24].
Conventional LAMPLow-Temperature LAMP
Buffer1× isothermal amplification buffer1× isothermal amplification buffer
Temperature65 °C37 °C
Mg2+8 mM2.75 mM
dNTPs5.6 mM (1.4 mM each)0.1 mM (0.025 mM each)
Inner primer (FIP/BIP) concentration1.6 µM400 nM
Stem lengths (LS and RS)21 mers and 20 mers14 mers and 10 mers
Loop lengths (LL and RL)42 mers and 40 mers15 mers and 15 mers
SLP length175 mers78 mers
Disclaimer/Publisher’s Note: The statements, opinions and data contained in all publications are solely those of the individual author(s) and contributor(s) and not of MDPI and/or the editor(s). MDPI and/or the editor(s) disclaim responsibility for any injury to people or property resulting from any ideas, methods, instructions or products referred to in the content.

Share and Cite

MDPI and ACS Style

Nam, D.; Kim, S.; Kim, J.H.; Lee, S.; Kim, D.; Son, J.; Kim, D.; Cha, B.S.; Lee, E.S.; Park, K.S. Low-Temperature Loop-Mediated Isothermal Amplification Operating at Physiological Temperature. Biosensors 2023, 13, 367. https://doi.org/10.3390/bios13030367

AMA Style

Nam D, Kim S, Kim JH, Lee S, Kim D, Son J, Kim D, Cha BS, Lee ES, Park KS. Low-Temperature Loop-Mediated Isothermal Amplification Operating at Physiological Temperature. Biosensors. 2023; 13(3):367. https://doi.org/10.3390/bios13030367

Chicago/Turabian Style

Nam, Daehan, Seokjoon Kim, Jung Ho Kim, Seungjin Lee, Daneub Kim, Jinseo Son, Doyeon Kim, Byung Seok Cha, Eun Sung Lee, and Ki Soo Park. 2023. "Low-Temperature Loop-Mediated Isothermal Amplification Operating at Physiological Temperature" Biosensors 13, no. 3: 367. https://doi.org/10.3390/bios13030367

APA Style

Nam, D., Kim, S., Kim, J. H., Lee, S., Kim, D., Son, J., Kim, D., Cha, B. S., Lee, E. S., & Park, K. S. (2023). Low-Temperature Loop-Mediated Isothermal Amplification Operating at Physiological Temperature. Biosensors, 13(3), 367. https://doi.org/10.3390/bios13030367

Note that from the first issue of 2016, this journal uses article numbers instead of page numbers. See further details here.

Article Metrics

Back to TopTop