Facile Fabrication of 3D Graphene–Silica Hydrogel Composite for Enhanced Removal of Mercury Ions
Abstract
1. Introduction
2. Materials and Methods
2.1. Synthesis of Polyethyleneimine(PEI)-Modified Silica Gel (SG-PEI)
2.2. Preparation of Amino-Silica Gel and 3D-Graphene Composites (SG-PEI/rGH)
2.3. Adsorption Behaviors Measurement
2.3.1. Adsorption Experiment
2.3.2. Adsorption Kinetics
3. Results and Discussion
3.1. Construction and Characterization of SG-PEI/rGH Composite
3.2. The Properties of Adsorption Hg(II)
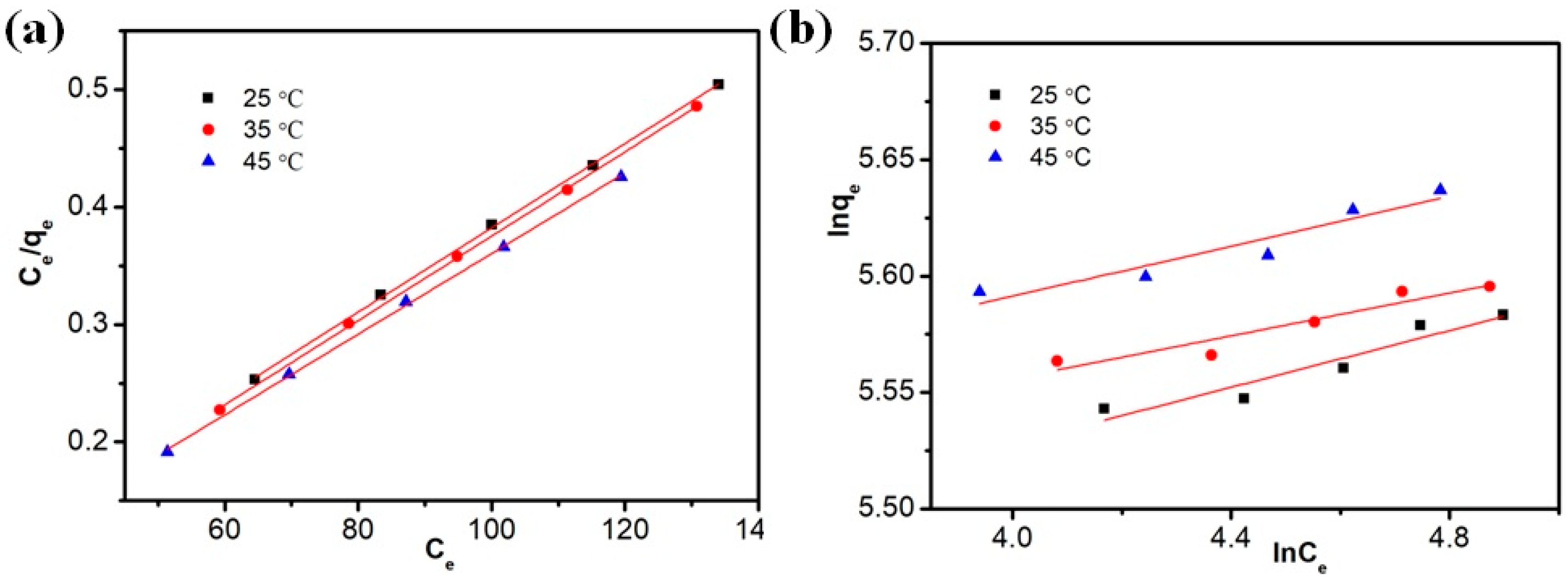
3.2.1. Static Adsorption Capacity and Adsorption Isotherms
3.2.2. Adsorption Kinetics
3.2.3. The Effect of Coexisted Ions
3.2.4. Desorption and Adsorption Cycles
3.2.5. Mechanism of Adsorption Hg(II) Ions
4. Conclusions
Supplementary Materials
Author Contributions
Funding
Conflicts of Interest
References
- Niu, Y.; Qu, R.; Sun, C.; Wang, C.; Chen, H.; Ji, C.; Zhang, Y.; Shao, X.; Bu, F. Adsorption of Pb(II) from aqueous solution by silica-gel supported hyperbranched polyamidoamine dendrimers. J. Hazard. Mater. 2013, 244, 276–286. [Google Scholar] [CrossRef] [PubMed]
- Rumayor, M.; Diaz-Somoano, M.; Lopez-Anton, M.A.; Martinez-Tarazona, M.R. Application of thermal desorption for the identification of mercury species in solids derived from coal utilization. Chemosphere 2015, 119, 459–465. [Google Scholar] [CrossRef] [PubMed]
- Wang, J.X.; Feng, X.B.; Anderson, C.W.N.; Xing, Y.; Shang, L.H. Remediation of mercury contaminated sites—A review. J. Hazard. Mater. 2012, 221–222, 1–18. [Google Scholar] [CrossRef] [PubMed]
- Rezvani-Boroujeni, A.; Javanbakht, M.; Karimi, M.; Shahrjerdi, C.; Akbari-adergani, B. Immoblization of thiol-functionalized nanosilica on the surface of poly (ether sulfone) membranes for the removal of heavy-metal ions from industrial wastewater samples. Ind. Eng. Chem. Res. 2014, 54, 502–513. [Google Scholar] [CrossRef]
- Boukhelkhal, A.; Benkortbi, O.; Hamadeche, M.; Hanini, S.; Amrane, A. Removal of amoxicillin antibiotic from aqueous solution using an anionic surfactant. Water Air Soil Pollut. 2015, 226, 1–12. [Google Scholar] [CrossRef]
- Werber, J.R.; Osuji, C.O.; Elimelech, M. Materials for next-generation desalination and water purification membranes. Nat. Rev. Mater. 2016, 1, 16018. [Google Scholar] [CrossRef]
- Nayab, S.; Farrukh, A.; Oluz, Z.; Tuncel, E.L.; Tariq, S.R.; Rahman, H.U.; Kirchhoff, K.; Duran, H.; Yameen, B. Design and fabrication of branched polyamine functionalized mesoporous silica: An efficient absorbent for water remediation. ACS Appl. Mater. Interfaces 2014, 6, 4408–4417. [Google Scholar] [CrossRef] [PubMed]
- Zhou, Q.; Duan, Y.; Chen, M.; Liu, M.; Lu, P. Studies on mercury adsorption species and equilibrium, on activated carbon surface. Energy Fuels 2017, 31, 14211–14218. [Google Scholar] [CrossRef]
- Wang, T.; Wu, J.; Zhang, Y.; Liu, J.; Sui, Z.; Zhang, H.; Chen, W.Y.; Norris, P.; Pan, W.P. Increasing the chlorine active sites in the micropores of biochar for improved mercury adsorption. Fuel 2018, 229, 60–67. [Google Scholar] [CrossRef]
- Yang, Y.; Liu, J.; Zhang, B.; Liu, F. Mechanistic studies of mercury adsorption and oxidation by oxygen over spinel-type MnFe2O4. J. Hazard. Mater. 2017, 321, 154–161. [Google Scholar] [CrossRef] [PubMed]
- Zhou, C.; Zhu, H.; Wang, Q.; Wang, J.; Cheng, J.; Guo, Y.; Zhou, X.; Bai, R. Adsorption of mercury(II) with an Fe3O4 magnetic polypyrrole-graphene oxide nanocomposite. RSC Adv. 2017, 7, 18466–18479. [Google Scholar] [CrossRef]
- Faulconer, E.K.; Mazyck, D.W. Influence of activated carbon surface oxygen functionality on elemental mercury adsorption from aqueous solution. J. Environ. Chem. Eng. 2017, 5, 2879–2885. [Google Scholar] [CrossRef]
- Qu, R.J.; Sun, C.M.; Zhang, Y.; Chen, J.; Wang, C.H.; Ji, C.N.; Liu, X.G. Syntheses, characterization, and Hg(II) adsorption properties of porous cross-linked polystyrene modified with 2-aminopyridine via a sulfoxide/sulfone-containing spacer arm. J. Chem. Eng. Data 2010, 55, 4343–4351. [Google Scholar] [CrossRef]
- Bansal, M.; Ram, B.; Chauhan, G.S.; Kaushik, A. L-Cysteine functionalized bagasse cellulose nanofibers for mercury(II) ions adsorption. Int. J. Biol. Macromol. 2018, 112, 728–736. [Google Scholar] [CrossRef] [PubMed]
- Yao, T.; Duan, Y.; Zhu, C.; Zhou, Q.; Xu, J.; Liu, M.; Wei, H. Investigation of mercury adsorption and cyclic mercury retention over MnOx/γ-Al2O3 sorbent. Chemosphere 2018, 202, 358–365. [Google Scholar] [CrossRef] [PubMed]
- Niu, Y.; Qu, R.; Chen, H.; Mu, L.; Liu, X.; Wang, T.; Zhang, Y.; Sun, C. Synthesis of silica gel supported salicylaldehyde modified PAMAM dendrimers for the effective removal of Hg(II) from aqueous solution. J. Hazard. Mater. 2014, 278, 267–278. [Google Scholar] [CrossRef] [PubMed]
- Mohammed, R.H.; Mesalhy, O.; Elsayed, M.; Hou, L.S.; Su, M.; Chow, L.C. Physical properties and adsorption kinetics of silica-gel/water for adsorption chillers. Appl. Therm. Eng. 2018, 137, 368–376. [Google Scholar] [CrossRef]
- Vodianitskaia, P.J.; Soares, J.J.; Melo, H.; Gurgel, J.M. Experimental chiller with silica gel: Adsorption kinetics analysis and performance evaluation. Energy Convers. Manag. 2017, 132, 172–179. [Google Scholar] [CrossRef]
- Zhang, Y.; Qu, R.; Sun, C.; Ji, C.; Chen, H.; Yin, P. Improved synthesis of silica-gel-based dendrimer-like highly branched polymer as the Au(III) adsorbents. Chem. Eng. J. 2015, 270, 110–121. [Google Scholar] [CrossRef]
- Fu, K.L.; Yao, M.Y.; Qin, C.G.; Cheng, C.W.; Lin, Y.; Cai, M.; Yang, S.; Nie, J.P. Study on the removal of oxidized mercury (Hg2+) from flue gas by thiol chelating resin. Fuel Process. Technol. 2016, 148, 28–34. [Google Scholar] [CrossRef]
- Choi, J.M.; Jeong, D.; Cho, E.; Jun, B.H.; Park, S.; Yu, J.H.; Tahir, M.N.; Jung, S. Chemically functionalized silica gel with alkynyl terminated monolayers as an efficient new material for removal of mercury ions from water. J. Ind. Eng. Chem. 2016, 35, 376–382. [Google Scholar] [CrossRef]
- Fan, H.T.; Liu, J.X.; Yao, H.Z.; Zhang, G.; Yan, F.; Li, W.X. Ionic Imprinted Silica-Supported Hybrid Sorbent with an Anchored Chelating Schiff Base for Selective Removal of Cadmium(II) Ions from Aqueous Media. Ind. Eng. Chem. Res. 2014, 53, 369–378. [Google Scholar] [CrossRef]
- Arshadi, M.; Faraji, A.R.; Amiri, M.J. Modification of aluminum–silicate nanoparticles by melamine-based dendrimer L-cysteine methyl esters for adsorptive characteristic of Hg(II) ions from the synthetic and Persian Gulf. Water Chem. Eng. J. 2015, 266, 345–355. [Google Scholar] [CrossRef]
- Niu, Y.; Yang, J.; Qu, R.; Gao, Y.; Du, N.; Chen, H.; Sun, C.; Wang, W. Synthesis of Silica-Gel-Supported Sulfur-Capped PAMAM Dendrimers for Efficient Hg(II) Adsorption: Experimental and DFT Study. Ind. Eng. Chem. Res. 2016, 55, 3679–3688. [Google Scholar] [CrossRef]
- Ganzagh, M.A.A.; Yousefpour, M.; Taherian, Z. The removal of mercury (II) from water by Ag supported on nanomesoporous silica. J. Chem. Biol. 2016, 9, 1–16. [Google Scholar] [CrossRef] [PubMed]
- Wang, Z.; Yin, P.; Qu, R.; Xu, Q. Heterogeneous synthesis of chelating resin organophosphonic acid-functionalized silica gel and its adsorption property of heavy metal ions from fuel ethanol solutions. J. Appl. Polym. Sci. 2012, 126, 544–551. [Google Scholar] [CrossRef]
- Luo, X.; Zhang, F.; Ji, S.; Yang, B.; Liang, X. Graphene nanoplatelets as a highly efficient solid-phase extraction sorbent for determination of phthalate esters in aqueous solution. Talanta 2014, 120, 71–75. [Google Scholar] [CrossRef] [PubMed]
- Huang, B.; Liu, Y.; Li, B.; Liu, S.; Zeng, G.; Zeng, Z.; Wang, X.; Ning, Q.; Zheng, B.; Yang, C. Effect of Cu(II) ions on the enhancement of tetracycline adsorption by Fe3O4@SiO2-Chitosan/graphene oxide nanocomposite. Carbohydr. Polym. 2017, 157, 576–585. [Google Scholar] [CrossRef] [PubMed]
- Peng, W.; Li, H.; Liu, Y.; Song, S. A review on heavy metal ions adsorption from water by graphene oxide and its composites. J. Mol. Liq. 2017, 230, 496–504. [Google Scholar] [CrossRef]
- Liu, Q.; Shi, J.; Sun, J.; Wang, T.; Zeng, L.; Jiang, G. Graphene and graphene oxide sheets supported on silica as versatile and high-performance adsorbents for solid-phase extraction. Angew. Chem. 2011, 123, 6035–6039. [Google Scholar] [CrossRef]
- Sereshti, H.F.; Vasheghani, M.; Baghdadi, M. Trace determination of chromium(VI) in environmental water samples using innovative thermally reduced graphene (TRG) modified SiO2 adsorbent for solid phase extraction and UV-vis spectrophotometry. Talanta 2016, 146, 662–669. [Google Scholar] [CrossRef] [PubMed]
- Luo, Y.B.; Zhu, G.T.; Li, X.S.; Yuan, B.F.; Feng, Y.Q. Facile fabrication of reduced graphene oxide-encapsulated silica: A sorbent for solid-phase extraction. J. Chromatogr. A 2013, 1299, 10–17. [Google Scholar] [CrossRef] [PubMed]
- Li, Y.; Cui, W.; Liu, L.; Zong, R.; Yao, W.; Liang, Y.; Zhu, Y. Removal of Cr(VI) by 3D TiO2-graphene hydrogel via adsorption enriched with photocatalytic reduction. Appl. Catal. B Environ. 2016, 199, 412–423. [Google Scholar] [CrossRef]
- Nandi, B.; Goswami, A.; Purkait, M. Removal of cationic dyes from aqueous solutions by kaolin: Kinetic and equilibrium studies. Appl. Clay Sci. 2009, 42, 583–590. [Google Scholar] [CrossRef]
- Lei, J.; Abu-Daabes, M.; Pinto, N.G. Thermally robust chelating adsorbents for the capture of gaseous mercury: Fixed-bed behavior. Chem. Eng. Sci. 2009, 64, 486–491. [Google Scholar]
- Li, J.; Chen, Q.; Yang, L. The synthesis of dendrimer based on the dielectric barrier discharge plasma grafting amino group film. Surf. Coat. Technol. 2010, 205, S257–S260. [Google Scholar] [CrossRef]
- Tiwari, J.N.; Mahesh, K.; Le, N.H.; Kemp, K.C.; Timilsina, R.; Tiwari, R.N.; Kim, K.S. Reduced graphene oxide-based hydrogels for the efficient capture of dye pollutants from aqueous solutions. Carbon 2013, 56, 173–182. [Google Scholar] [CrossRef]
- Rao, C.N.R.; Biswas, K.K.; Subrahmanyam, S.; Govindaraj, A. Graphene, the new nanocarbon. J. Mater. Chem. 2009, 19, 2457–2469. [Google Scholar] [CrossRef]
- Liu, M.; Tao, Z.; Wang, H.; Zhao, F.; Sun, Q. Study on the adsorption of Hg(II) by one-pot synthesis of amino-functionalized graphene oxide decorated with a Fe3O4 microsphere nanocomposite. RSC Adv. 2016, 6, 84573–84586. [Google Scholar] [CrossRef]
- Zhang, F.S.; Nriagu, J.O.; Itoh, H. Mercury removal from water using activated carbons derived from organic sewage sludge. Water Res. 2005, 39, 389–395. [Google Scholar] [CrossRef] [PubMed]
- Li, Y.H.; Di, Z.; Ding, J.; Wu, D.; Luan, Z.; Zhu, Y. Adsorption thermodynamic, kinetic and desorption studies of Pb2+ on carbon nanotubes. Water Res. 2005, 39, 605–609. [Google Scholar] [CrossRef] [PubMed]
- Lin, Y.F.; Chen, H.W.; Chien, P.S.; Chiouc, C.S.; Liu, C.C. Application of bifunctional magnetic adsorbent to adsorb metal cations and anionic dyes in aqueous solution. J. Hazard. Mater. 2011, 185, 1124–1130. [Google Scholar] [CrossRef] [PubMed]
- Puanngam, M.; Unob, F. Preparation and use of chemically modified MCM-41 and silica gel as selective adsorbents for Hg(II) ions. J. Hazard. Mater. 2008, 154, 578–587. [Google Scholar] [CrossRef] [PubMed]
- Dong, J.; Xu, Z.; Wang, F. Engineering and characterization of mesoporous silica-coated magnetic particles for mercury removal from industrial effluents. Appl. Surf. Sci. 2008, 254, 3522–3530. [Google Scholar] [CrossRef]
- Bai, L.; Hu, H.; Fu, W.; Wan, J.; Cheng, X.; Zhuge, L.; Xiong, L.; Chen, Q. Synthesis of a novel silica-supported dithiocarbamate adsorbent and its properties for the removal of heavy metal ions. J. Hazard. Mater. 2011, 195, 261–275. [Google Scholar] [CrossRef] [PubMed]














| Torbent | T (K) | Langmuir | Freundlich | ||||
|---|---|---|---|---|---|---|---|
| KL (L·mg−1) | qm (mg·g−1) | RL2 | KF (L·g−1) | n | RF2 | ||
| SG-PEI-rGH | 298.15 | 0.1537 | 278.5515 | 0.99929 | 197.1569 | 16.4015 | 0.8872 |
| 308.15 | 0.2209 | 278.5515 | 0.99963 | 215.2564 | 21.7250 | 0.8780 | |
| 318.15 | 0.1993 | 291.5452 | 0.99924 | 216.3332 | 18.6428 | 0.8753 | |
| T | lnK | ΔG | ΔH | ΔS |
|---|---|---|---|---|
| (K) | - | (KJ·mol−1) | (KJ mol−1) | (J mol−1 K−1) |
| 298.15 | 1.9695 | −4.8820 | 9.1121 | 46.8698 |
| 308.15 | 2.0577 | −5.2718 | ||
| 318.15 | 2.2014 | −5.8229 |
| Sorbent | T (K) | qe(exp) (mg·g−1) | Pseudo-First-Order Kinetics | Pseudo-Second-Order Kinetics | ||||
|---|---|---|---|---|---|---|---|---|
| k1 (min−1) | qe(cal) (mg·g−1) | R12 | k2 (g·mg−1·min−1) | qe(cal) (mg·g−1) | R22 | |||
| SG-PEI | 308.15 | 202.2859 | 0.3122 | 73.7359 | 0.9347 | 0.0109 | 207.4689 | 0.9993 |
| SG-PEI-rGH | 308.15 | 264.1632 | 0.5495 | 235.4244 | 0.8093 | 0.0041 | 281.6901 | 0.9966 |
© 2019 by the authors. Licensee MDPI, Basel, Switzerland. This article is an open access article distributed under the terms and conditions of the Creative Commons Attribution (CC BY) license (http://creativecommons.org/licenses/by/4.0/).
Share and Cite
Lu, J.; Wu, X.; Li, Y.; Liang, Y.; Cui, W. Facile Fabrication of 3D Graphene–Silica Hydrogel Composite for Enhanced Removal of Mercury Ions. Nanomaterials 2019, 9, 314. https://doi.org/10.3390/nano9030314
Lu J, Wu X, Li Y, Liang Y, Cui W. Facile Fabrication of 3D Graphene–Silica Hydrogel Composite for Enhanced Removal of Mercury Ions. Nanomaterials. 2019; 9(3):314. https://doi.org/10.3390/nano9030314
Chicago/Turabian StyleLu, Jinrong, Xiaonan Wu, Yao Li, Yinghua Liang, and Wenquan Cui. 2019. "Facile Fabrication of 3D Graphene–Silica Hydrogel Composite for Enhanced Removal of Mercury Ions" Nanomaterials 9, no. 3: 314. https://doi.org/10.3390/nano9030314
APA StyleLu, J., Wu, X., Li, Y., Liang, Y., & Cui, W. (2019). Facile Fabrication of 3D Graphene–Silica Hydrogel Composite for Enhanced Removal of Mercury Ions. Nanomaterials, 9(3), 314. https://doi.org/10.3390/nano9030314
