A Mild and Facile Synthesis of Amino Functionalized CoFe2O4@SiO2 for Hg(II) Removal
Abstract
1. Introduction
2. Materials and Experiment Methods
2.1. Chemicals and Materials
2.2. Preparation of CoFe2O4 MNPs
2.3. Preparation of CoFe2O4@SiO2 MNPs
2.4. Preparation of CoFe2O4@SiO2–NH2 MNPs
2.5. Sample Characterizations
2.6. Batch Adsorption Experiments
3. Results and Discussion
3.1. Morphology and Structure
3.2. Adsorption Performance
3.2.1. Effect of pH
3.2.2. Effect of Dosage
3.2.3. Effect of Electrolyte Concentration
3.3. Adsorption Kinetics
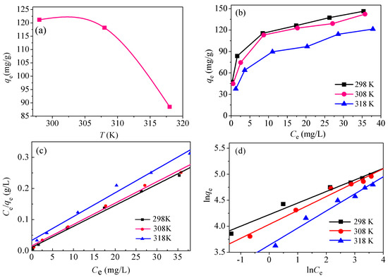
3.4. Adsorption Isotherms
3.5. Adsorption Thermodynamics
3.6. Application Evaluation
3.7. Mechanism Speculation
4. Conclusions
Supplementary Materials
Author Contributions
Funding
Conflicts of Interest
References
- Gao, B.; Han, L.; Hao, H.; Zhou, H. Pollution characteristics of mercury (Hg) in surface sediments of major basins, China. Ecol. Indic. 2016, 67, 577–585. [Google Scholar] [CrossRef]
 - Xu, H.; Jia, J.; Guo, Y.; Qu, Z.; Liao, Y.; Xie, J.; Shangguan, W.; Yan, N. Design of 3D MnO2/Carbon sphere composite for the catalytic oxidation and adsorption of elemental mercury. J. Hazard. Mater. 2018, 342, 69–76. [Google Scholar] [CrossRef] [PubMed]
 - Wang, S.; Wang, K.; Dai, C.; Shi, H.; Li, J. Adsorption of Pb2+ on amino-functionalized core–shell magnetic mesoporous SBA-15 silica composite. Chem. Eng. J. 2015, 262, 897–903. [Google Scholar] [CrossRef]
 - Miretzky, P.; Cirelli, A.F. Hg(II) removal from water by chitosan and chitosan derivatives: A review. J. Hazard. Mater. 2009, 1–3, 10–23. [Google Scholar] [CrossRef] [PubMed]
 - Finster, M.E.; Raymond, M.R.; Scofield, M.A.; Smith, K.P. Mercury-impacted scrap metal: Source and nature of the mercury. J. Environ. Manag. 2015, 161, 303–308. [Google Scholar] [CrossRef] [PubMed]
 - Zhou, C.; Zhu, H.; Wang, Q.; Wang, J.; Cheng, J.; Guo, Y.; Zhou, X.; Bai, R. Adsorption of mercury(II) with an Fe3O4 magnetic polypyrrole–graphene oxide nanocomposite. RSC Adv. 2017, 7, 18466–18479. [Google Scholar] [CrossRef]
 - Nupearachchi, C.N.; Mahatantila, K.; Vithanage, M. Application of graphene for decontamination of water; Implications for sorptive removal. Groundwater Sustain. 2017, 5, 206–215. [Google Scholar] [CrossRef]
 - Zhao, W.; Cui, B.; Qiu, H.; Chen, P.; Wang, Y. Multifunctional Fe3O4@WO3@mSiO2–APTES nanocarrier for targeted drug delivery and controllable release with microwave irradiation triggered by WO3. Mater. Lett. 2016, 169, 185–188. [Google Scholar] [CrossRef]
 - Wang, J.; Zhao, F.; Wu, W.; Cao, S.-H.; Zhao, G. Magnetic properties in silica-coated CoFe2O4 nanoparticles: Quantitative test for a theory of single-domain particles with cubic anisotropy. Phys. Lett. A 2012, 376, 547–549. [Google Scholar] [CrossRef]
 - Didaskalou, C.; Buyuktiryaki, S.; Kecili, R.; Fonte, C.P.; Szekely, G. Valorisation of agricultural waste with adsorption/nanofiltration hybrid process: From materials to sustainable process design. Green Chem. 2017, 19, 3116–3125. [Google Scholar] [CrossRef]
 - Razali, M.; Kim, J.F.; Attfield, M.P.; Budd, P.M.; Drioli, E.; Lee, Y.M.; Szekely, G. Sustainable wastewater treatment and recycling in membrane manufacturing. Green Chem. 2015, 17, 5196–5205. [Google Scholar] [CrossRef]
 - Likon, M.; Cernec, F.; Svegl, F.; Saarela, J.; Zimmie, T.F. Zimmie papermill industrial waste as a sustainable source for high efficiency absorbent production. Waste Manag. 2011, 31, 1350–1356. [Google Scholar] [CrossRef] [PubMed]
 - Santhosh, C.; Velmurugan, V.; Jacob, G.; Jeong, S.K.; Grace, A.N.; Bhatnagar, A. Role of nanomaterials in water treatment applications: A review. Chem. Eng. J. 2016, 306, 1116–1137. [Google Scholar] [CrossRef]
 - Zhu, H.; Shen, Y.; Wang, Q.; Chen, K.; Wang, X.; Zhang, G.; Yang, J.; Guo, Y.; Bai, R. Highly promoted removal of Hg(II) with magnetic CoFe2O4@SiO2 core–shell nanoparticles modified by thiol groups. RSC Adv. 2017, 7, 39204–39215. [Google Scholar] [CrossRef]
 - Mirzabe, G.H.; Keshtkar, A.R. Application of response surface methodology for thorium adsorption on PVA/Fe3O4/SiO2/APTES nanohybrid adsorbent. J. Ind. Eng. Chem. 2015, 26, 277–285. [Google Scholar] [CrossRef]
 - Rao, K.S.; Choudary, G.S.V.R.K.; Rao, K.H.; Sujatha, C. Structural and magnetic properties of ultrafine CoFe2O4 nanoparticles. Procedia Mater. Sci. 2015, 10, 19–27. [Google Scholar] [CrossRef]
 - Song, B.Y.; Eom, Y.; Lee, T.G. Removal and recovery of mercury from aqueous solution using magnetic silica nanocomposites. Appl. Surf. Sci. 2011, 257, 4754–4759. [Google Scholar] [CrossRef]
 - Ren, C.; Ding, X.; Fu, H.; Li, W.; Wu, H.; Yang, H. Core–shell superparamagnetic monodisperse nanospheres based on amino-functionalized CoFe2O4@SiO2 for removal of heavy metals from aqueous solutions. RSC Adv. 2017, 7, 6911–6921. [Google Scholar] [CrossRef]
 - Gharagozlou, M.; Ramezanzadeh, B.; Baradaran, Z. Synthesize and characterization of a novel anticorrosive cobalt ferrite nanoparticles dispersed in silica matrix (CoFe2O4-SiO2 ) to improve the corrosion protection performance of epoxy coating. Appl. Surf. Sci. 2016, 377, 86–98. [Google Scholar] [CrossRef]
 - Hozhabr Araghi, S.; Entezari, M.H. Amino-functionalized silica magnetite nanoparticles for 584 the simultaneous removal of pollutants from aqueous solution. Appl. Surf. Sci. 2015, 333, 68–77. [Google Scholar] [CrossRef]
 - Ahmad, A.L.; Ismail, S.; Bhatia, S. Water recycling from palm oil mill effluent (POME) using membrane technology. Desalination 2003, 157, 87–95. [Google Scholar] [CrossRef]
 - Fodi, T.; Didaskalou, C.; Kupai, J.; Balogh, G.T.; Huszthy, P.; Szekely, G.; Didaskalou, C.; Kupai, J.; Balogh, G.T.; Huszthy, P.; Szekely, G. Nanofiltration-enabled in situ solvent and reagent recycle for sustainable continuous-flow synthesis. ChemSusChem 2017, 10, 3435–3444. [Google Scholar] [CrossRef] [PubMed]
 - Schaepertoens, M.; Didaskalou, C.; Kim, J.F.; Livingston, A.G.; Szekely, G. Solvent recycle with imperfect membranes: A semi-continuous workaround for diafiltration. J. Membr. Sci. 2016, 514, 646–658. [Google Scholar] [CrossRef]
 - Demirelli, M.; Karaoğlu, E.; Baykal, A.; Sözeri, H.; Uysal, E. Synthesis, characterization and catalytic activity of CoFe2O4-APTES-Pd magnetic recyclable catalyst. J. Alloys Compd. 2014, 582, 201–207. [Google Scholar] [CrossRef]
 - Wang, H.; Huang, J.; Ding, L.; Li, D.; Han, Y. A facile synthesis of monodisperse CoFe2O4/SiO2 nanoparticles. Appl. Surf. Sci. 2011, 257, 7107–7112. [Google Scholar] [CrossRef]
 - Hozhabr Araghi, S.; Entezari, M.H.; Chamsaz, M. Modification of mesoporous silica magnetite nanoparticles by 3-aminopropyltriethoxysilane for the removal of Cr(VI) from aqueous solution. Microporous Mesoporous Mater. 2015, 218, 101–111. [Google Scholar] [CrossRef]
 - Zhao, Y.; Ma, X.; Xu, P.; Wang, H.; Liu, Y.; He, A. Elemental mercury removal from flue gas by CoFe2O4 catalyzed peroxymonosulfate. J. Hazard. Mater. 2018, 341, 228–237. [Google Scholar] [CrossRef] [PubMed]
 - Yuan, Q.; Chi, Y.; Yu, N.; Zhao, Y.; Yan, W.; Li, X.; Dong, B. Amino-functionalized magnetic mesoporous microspheres with good adsorption properties. Mater. Res. Bull. 2014, 49, 279–284. [Google Scholar] [CrossRef]
 - Alkan, M.; Tekin, G.; Namli, H. FTIR and zeta potential measurements of sepiolite treated with some organosilanes. Microporous Mesoporous Mater. 2005, 84, 75–83. [Google Scholar] [CrossRef]
 - Li, X.; Janke, A.; Formanek, P.; Fery, A.; Stamm, M.; Tripathi, B.P. One pot preparation of polysulfone-amino functionalized SiO2 nanoparticle ultrafiltration membranes for water purification. J. Environ. Chem. Eng. 2018, 6, 4598–4604. [Google Scholar] [CrossRef]
 - Anbia, M.; Kargosha, K.; Khoshbooei, S. Heavy metal ions removal from aqueous media by modified magnetic mesoporous silica MCM-48. Chem. Eng. Res. Des. 2015, 93, 779–788. [Google Scholar] [CrossRef]
 - Chen, L.; Zhao, D.; Chen, S.; Wang, X.; Chen, C. One-step fabrication of amino functionalized magnetic graphene oxide composite for uranium(VI) removal. J. Colloid Interf. Sci. 2016, 472, 99–107. [Google Scholar] [CrossRef] [PubMed]
 - Pourbeyram, S. Effective Removal of Heavy Metals from Aqueous solutions by graphene oxide–zirconium phosphate (GO–Zr-P) nanocomposite. Ind. Eng. Chem. Res. 2016, 55, 5608–5617. [Google Scholar] [CrossRef]
 - Wang, Z.; Xu, J.; Hu, Y.; Zhao, H.; Zhou, J.; Liu, Y.; Lou, Z.; Xu, X. Functional nanomaterials: Study on aqueous Hg(II) adsorption by magnetic Fe3O4@SiO2-SH nanoparticles. J. Taiwan Inst. Chem. Eng. 2016, 60, 394–402. [Google Scholar] [CrossRef]
 - Ma, Y.X.; Xing, D.; Shao, W.J.; Du, X.Y.; La, P.Q. Preparation of polyamidoamine dendrimers functionalized magnetic graphene oxide for the adsorption of Hg(II) in aqueous solution. J. Colloid Interface Sci. 2017, 505, 352–363. [Google Scholar] [CrossRef] [PubMed]
 - Luo, H.; Zhang, S.; Li, X.; Liu, X.; Xu, Q.; Liu, J.; Wang, Z. Tannic acid modified Fe3O4 core–shell nanoparticles for adsorption of Pb2+ and Hg2+. J. Taiwan Inst. Chem. Eng. 2017, 72, 163–170. [Google Scholar] [CrossRef]
 - Guo, Y.F.; Deng, J.; Zhu, J.Y.; Zhou, X.J.; Bai, R.B. Removal of mercury(II) and methylene blue from a wastewater environment with magnetic graphene oxide: Adsorption kinetics, isotherms and mechanism. RSC Adv. 2016, 6, 82523–82536. [Google Scholar] [CrossRef]
 - Takimoto, T.; Tsue, H.; Tamura, R.; Sasaki, H. Selective adsorption of mercury(II) ion by p-tert-butylcalix 4 thiacrown-5 at a solid-liquid interface. Heterocycles 2015, 90, 842–846. [Google Scholar] [CrossRef]
 - Zhang, Y.; Yan, L.; Xu, W.; Guo, X.; Cui, L.; Gao, L.; Wei, Q.; Du, B. Adsorption of Pb(II) and Hg(II) from aqueous solution using magnetic CoFe2O4-reduced graphene oxide. J. Mol. Liq. 2014, 191, 177–182. [Google Scholar] [CrossRef]
 - Hadavifar, M.; Bahramifar, N.; Younesi, H.; Li, Q. Adsorption of mercury ions from synthetic and real wastewater aqueous solution by functionalized multi-walled carbon nanotube with both amino and thiolated groups. Chem. Eng. J. 2014, 237, 217–228. [Google Scholar] [CrossRef]
 - Guo, Y.F.; Wang, Z.; Zhou, X.J.; Bai, R.B. Removal of mercury (II) from aqueous solution with three commercial raw activated carbons. Res. Chem. Intermed. 2016, 10, 1–25. [Google Scholar] [CrossRef]
 - Li, H.; Xiao, D.; He, H.; Lin, R.; Zuo, P. Adsorption behavior and adsorption mechanism of Cu(II) ions on amino-functionalized magnetic nanoparticles. Trans. Nonferrous Met. Soc. China 2013, 23, 2657–2665. [Google Scholar] [CrossRef]
 - Kupai, J.; Razali, M.; Buyuktiryaki, S.; Kecili, R.; Szekely, G. Long-term stability and reusability of molecularly imprinted polymers. Polym. Chem. 2017, 4, 666–673. [Google Scholar] [CrossRef] [PubMed]
 - Li, H.; Zhang, W.; Wang, J.; Yang, Z.; Li, L.; Shih, K. Coexistence of enhanced Hg0 oxidation and induced Hg2+ reduction on CuO/TiO2 catalyst in the presence of NO and NH3. Chem. Eng. J. 2017, 330, 1248–1254. [Google Scholar] [CrossRef]
 - Wang, J.; Zheng, S.; Liu, J.; Xu, Z. Tannic acid adsorption on amino-functionalized magnetic mesoporous silica. Chem. Eng. J. 2010, 165, 10–16. [Google Scholar] [CrossRef]
 - Wang, J.; Zheng, C.; Ding, S.; Ma, H.; Ji, Y. Behaviors and mechanisms of tannic acid adsorption on an amino-functionalized magnetic nanoadsorbent. Desalination 2011, 273, 285–291. [Google Scholar] [CrossRef]
 - Qiao, B.; Wang, T.J.; Gao, H.; Jin, Y. High density silanization of nano-silica particles using γ-aminopropyltriethoxysilane (APTES). Appl. Surf. Sci. 2015, 351, 646–654. [Google Scholar] [CrossRef]
 



















| Materials | BET (m2/g) | Pore Volume (cm3/g) | Pore Size (nm) | 
|---|---|---|---|
| CoFe2O4 | 48.36 | 0.38 | 17.08 | 
| CoFe2O4@SiO2 | 7.10 | 0.05 | 0.04 | 
| CoFe2O4@SiO2-NH2 | 17.08 | 3.10 | 3.10 | 
| Pseudo-First-Order | Pseudo-Second-Order | |||||||
| qe,exp | qe,cal | k1 | R2 | qe,cal | k2 | R2 | ||
| 115.8 | 102.6 | 0.003 | 0.924 | 119.1 | 0.684 | 0.990 | ||
| Intra-particle diffusion | ||||||||
| kd1 | C1 | R12 | kd2 | C2 | R22 | kd3 | C3 | R32 | 
| 7.727 | −5.07 | 0.982 | 2.587 | 45.64 | 0.999 | 0.099 | 112.35 | 0.999 | 
| T (K) | Langmuir Model | Freundlich Model | ||||
|---|---|---|---|---|---|---|
| Qm (mg/g) | KL (L/mg) | R12 | Kf | 1/n | R22 | |
| 298 | 149.3 | 0.609 | 0.995 | 68.27 | 0.223 | 0.979 | 
| 308 | 144.9 | 0.442 | 0.994 | 56.58 | 0.267 | 0.978 | 
| 318 | 131.6 | 0.230 | 0.989 | 37.94 | 0.329 | 0.974 | 
| Adsorbents | BET (m2/g) | pH | Fitting Model | Qm (mg/g) | Ref. | 
|---|---|---|---|---|---|
| Fe3O4@SiO2–SH | 3 | Langmuir | 132.0 | [34] | |
| MGO-PAMAM-G3.0 | 40.93 | 3 | Langmuir | 113.71 | [35] | 
| Tannic acid modified Fe3O4 core–shell nanoparticles | 5 | Langmuir | 96 | [36] | |
| Magnetic Fe3O4 GO | 58.6 | 6 | Langmuir | 71.3 | [37] | 
| Chitosan | 5 | Langmuir | 56 | [38] | |
| CoFe2O4–rGO | 69.9 | 4.6 | Langmuir | 157.9 | [39] | 
| Multi-walled carbon nanotube with amino and thiol groups | 8 | Langmuir | 105.65 | [40] | |
| Coal based activated carbon | 442.3 | 4 | Langmuir | 48.9 | [41] | 
| Coconut husk activated carbon | 819.9 | Langmuir | 44.9 | [41] | |
| CoFe2O4@SiO2–NH2 | 17.08 | 7 | Langmuir | 149.3 | This work | 
| ΔH0 (kJ/mol) | ΔS0 (J/mol/K) | ΔG0 (kJ/mol) | ||
|---|---|---|---|---|
| 298 K | 308 K | 318 K | ||
| −26.34 | −59.84 | −6.80 | −6.44 | −5.48 | 
© 2018 by the authors. Licensee MDPI, Basel, Switzerland. This article is an open access article distributed under the terms and conditions of the Creative Commons Attribution (CC BY) license (http://creativecommons.org/licenses/by/4.0/).
Share and Cite
Wang, X.; Zhang, Z.; Zhao, Y.; Xia, K.; Guo, Y.; Qu, Z.; Bai, R. A Mild and Facile Synthesis of Amino Functionalized CoFe2O4@SiO2 for Hg(II) Removal. Nanomaterials 2018, 8, 673. https://doi.org/10.3390/nano8090673
Wang X, Zhang Z, Zhao Y, Xia K, Guo Y, Qu Z, Bai R. A Mild and Facile Synthesis of Amino Functionalized CoFe2O4@SiO2 for Hg(II) Removal. Nanomaterials. 2018; 8(9):673. https://doi.org/10.3390/nano8090673
Chicago/Turabian StyleWang, Xi, Zhenzong Zhang, Yuhao Zhao, Kai Xia, Yongfu Guo, Zan Qu, and Renbi Bai. 2018. "A Mild and Facile Synthesis of Amino Functionalized CoFe2O4@SiO2 for Hg(II) Removal" Nanomaterials 8, no. 9: 673. https://doi.org/10.3390/nano8090673
APA StyleWang, X., Zhang, Z., Zhao, Y., Xia, K., Guo, Y., Qu, Z., & Bai, R. (2018). A Mild and Facile Synthesis of Amino Functionalized CoFe2O4@SiO2 for Hg(II) Removal. Nanomaterials, 8(9), 673. https://doi.org/10.3390/nano8090673
        
