Comparative Assessment of the Impacts of Wildland–Urban Interface Fire Ash on Growth of the Diatom Thalassiosira weissflogii
Abstract
1. Introduction
2. Methods and Materials
2.1. Ash Collection, Analysis, and Stock Suspensions
2.2. Algal Culture
2.3. Growth Experiment
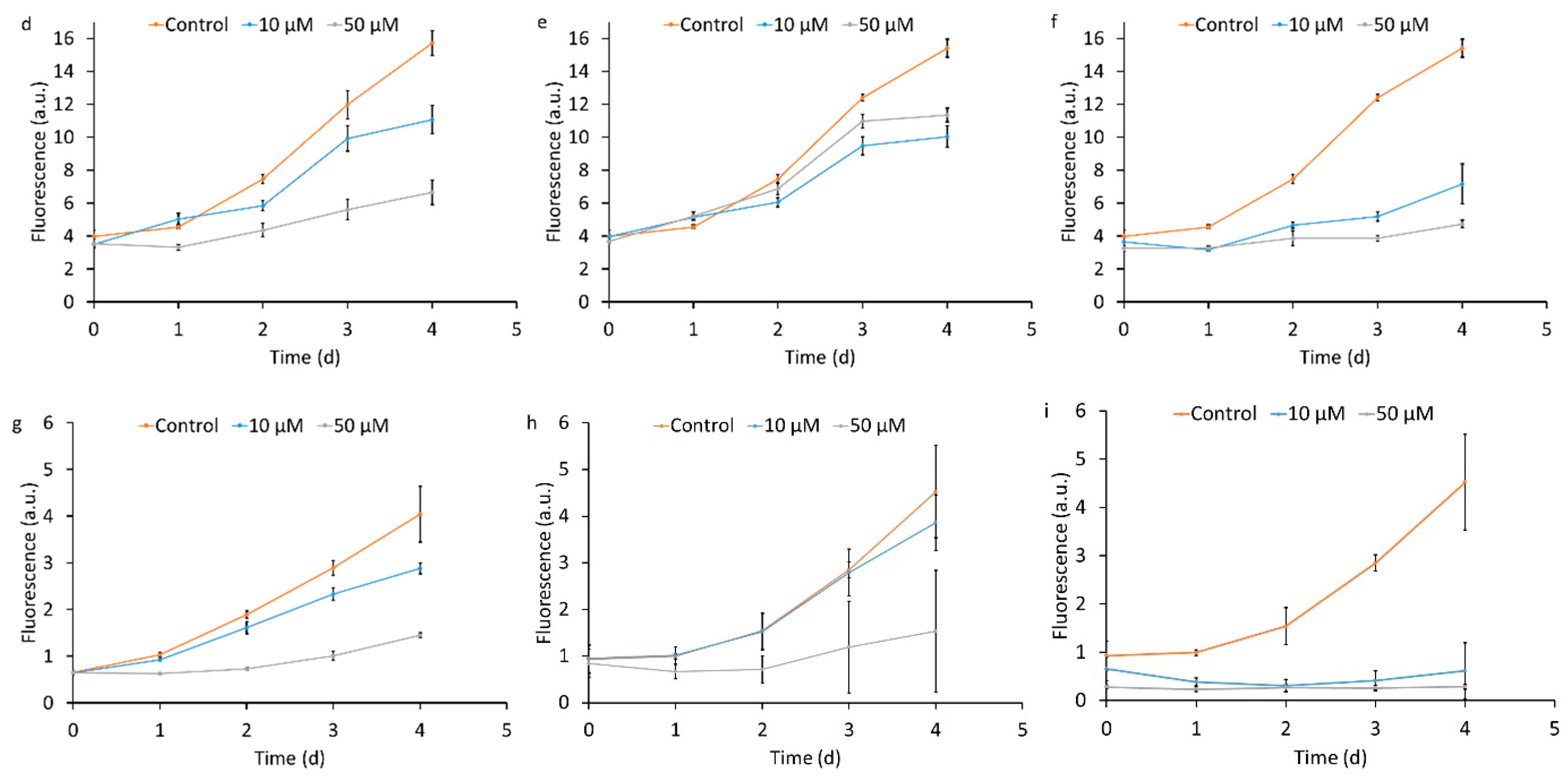
3. Results and Discussion
3.1. Physical and Chemical Characterization of WUI Fire Ash
3.2. Diatom Growth
3.3. Fertilization vs. Toxic Effects of WUI Fire Ash: Role of Metals
4. Conclusions and Future Perspective
Supplementary Materials
Author Contributions
Funding
Data Availability Statement
Acknowledgments
Conflicts of Interest
References
- Bixby, R.J.; Cooper, S.D.; Gresswell, R.E.; Brown, L.E.; Dahm, C.N.; Dwire, K.A. Fire effects on aquatic ecosystems: An assessment of the current state of the science. Freshw. Sci. 2015, 34, 1340–1350. [Google Scholar] [CrossRef]
- Singleton, M.P.; Thode, A.E.; Sánchez Meador, A.J.; Iniguez, J.M. Increasing trends in high-severity fire in the southwestern USA from 1984 to 2015. For. Ecol. Manag. 2019, 433, 709–719. [Google Scholar] [CrossRef]
- Hoover, K.; Hanson, L.A. Wildfire Statistics; IF10244; Congressional Research Service: Washington, DC, USA, 2023; p. 2. [Google Scholar]
- Bodí, M.B.; Martin, D.A.; Balfour, V.N.; Santín, C.; Doerr, S.H.; Pereira, P.; Cerdà, A.; Mataix-Solera, J. Wildland fire ash: Production, composition and eco-hydro-geomorphic effects. Earth-Sci. Rev. 2014, 130, 103–127. [Google Scholar] [CrossRef]
- Burling, I.; Yokelson, R.J.; Griffith, D.W.; Johnson, T.J.; Veres, P.; Roberts, J.; Warneke, C.; Urbanski, S.; Reardon, J.; Weise, D. Laboratory measurements of trace gas emissions from biomass burning of fuel types from the southeastern and southwestern United States. Atmos. Chem. Phys. 2010, 10, 11115–11130. [Google Scholar] [CrossRef]
- Buss, W.; Mašek, O.; Graham, M.; Wüst, D. Inherent organic compounds in biochar–Their content, composition and potential toxic effects. J. Environ. Manag. 2015, 156, 150–157. [Google Scholar] [CrossRef]
- Godlewska, P.; Ok, Y.S.; Oleszczuk, P. THE DARK SIDE OF BLACK GOLD: Ecotoxicological aspects of biochar and biochar-amended soils. J. Hazard. Mater. 2021, 403, 123833. [Google Scholar] [CrossRef]
- Sigmund, G.; Santín, C.; Pignitter, M.; Tepe, N.; Doerr, S.H.; Hofmann, T. Environmentally persistent free radicals are ubiquitous in wildfire charcoals and remain stable for years. Commun. Earth Environ. 2021, 2, 68. [Google Scholar] [CrossRef]
- Alshehri, T.; Wang, J.; Singerling, S.A.; Gigault, J.; Webster, J.P.; Matiasek, S.J.; Alpers, C.N.; Baalousha, M. Wildland-urban interface fire ashes as a major source of incidental nanomaterials. J. Hazard. Mater. 2023, 443, 130311. [Google Scholar] [CrossRef]
- Alam, M.; Alshehri, T.; Wang, J.; Singerling, S.A.; Alpers, C.N.; Baalousha, M. Identification and quantification of Cr, Cu, and As incidental nanomaterials derived from CCA-treated wood in wildland-urban interface fire ashes. J. Hazard. Mater. 2023, 445, 130608. [Google Scholar] [CrossRef]
- Jickells, T.D.; An, Z.S.; Andersen, K.K.; Baker, A.R.; Bergametti, G.; Brooks, N.; Cao, J.J.; Boyd, P.W.; Duce, R.A.; Hunter, K.A.; et al. Global Iron Connections Between Desert Dust, Ocean Biogeochemistry, and Climate. Science 2005, 308, 67–71. [Google Scholar] [CrossRef]
- Kramer, S.J.; Bisson, K.M.; Fischer, A.D. Observations of phytoplankton community composition in the Santa Barbara Channel during the Thomas Fire. J. Geophys. Res. Ocean. 2020, 125, e2020JC016851. [Google Scholar] [CrossRef]
- Wang, Y.; Chen, H.-H.; Tang, R.; He, D.; Lee, Z.; Xue, H.; Wells, M.; Boss, E.; Chai, F. Australian fire nourishes ocean phytoplankton bloom. Sci. Total Environ. 2022, 807, 150775. [Google Scholar] [CrossRef] [PubMed]
- Tang, W.; Llort, J.; Weis, J.; Perron, M.M.G.; Basart, S.; Li, Z.; Sathyendranath, S.; Jackson, T.; Sanz Rodriguez, E.; Proemse, B.C.; et al. Widespread phytoplankton blooms triggered by 2019–2020 Australian wildfires. Nature 2021, 597, 370–375. [Google Scholar] [CrossRef]
- Weis, J.; Schallenberg, C.; Chase, Z.; Bowie, A.R.; Wojtasiewicz, B.; Perron, M.M.; Mallet, M.D.; Strutton, P.G. Southern Ocean phytoplankton stimulated by wildfire emissions and sustained by iron recycling. Geophys. Res. Lett. 2022, 49, e2021GL097538. [Google Scholar] [CrossRef]
- Martin, J.H.; Fitzwater, S.E. Iron deficiency limits phytoplankton growth in the north-east Pacific subarctic. Nature 1988, 331, 341–343. [Google Scholar] [CrossRef]
- Minshall, G.W.; Royer, T.V.; Robinson, C.T. Stream ecosystem responses to fire: The first ten years. In After the Fires: The Ecology of Change in Yellowstone National Park; Yale University Press: New Haven, CT, USA, 2004; pp. 165–188. [Google Scholar]
- Oliver, A.A.; Bogan, M.T.; Herbst, D.B.; Dahlgren, R.A. Short-term changes in-stream macroinvertebrate communities following a severe fire in the Lake Tahoe basin, California. Hydrobiologia 2012, 694, 117–130. [Google Scholar] [CrossRef]
- Verkaik, I.; Rieradevall, M.; Cooper, S.D.; Melack, J.M.; Dudley, T.L.; Prat, N. Fire as a disturbance in Mediterranean climate streams. Hydrobiologia 2013, 719, 353–382. [Google Scholar] [CrossRef]
- Cooper, S.D.; Page, H.M.; Wiseman, S.W.; Klose, K.; Bennett, D.; Even, T.; Sadro, S.; Nelson, C.E.; Dudley, T.L. Physicochemical and biological responses of streams to wildfire severity in riparian zones. Freshw. Biol. 2015, 60, 2600–2619. [Google Scholar] [CrossRef]
- Robinson, C.T.; Rushforth, S.R.; Minshall, G.W. Diatom assemblages of streams influenced by wildfire. J. Phycol. 1994, 30, 209–216. [Google Scholar] [CrossRef]
- Minshall, G.W.; Robinson, C.T.; Royer, T.V.; Rushforth, S.R. Benthic community structure in two adjacent streams in Yellowstone National Park five years after the 1988 wildfires. Great Basin Nat. 1995, 55, 193–200. [Google Scholar]
- Minshall, G.W.; Robinson, C.T.; Lawrence, D.E. Postfire responses of lotic ecosystems in Yellowstone National Park, USA. Can. J. Fish. Aquat. Sci. 1997, 54, 2509–2525. [Google Scholar] [CrossRef]
- Minshall, G.W.; Brock, J.T.; Andrews, D.A.; Robinson, C.T. Water quality, substratum and biotic responses of five central Idaho (USA) streams during the first year following the Mortar Creek fire. Int. J. Wildland Fire 2001, 10, 185–199. [Google Scholar] [CrossRef]
- Earl, S.R.; Blinn, D.W. Effects of wildfire ash on water chemistry and biota in South-Western USA streams. Freshw. Biol. 2003, 48, 1015–1030. [Google Scholar] [CrossRef]
- Bêche, L.A.; Stephens, S.L.; Resh, V.H. Effects of prescribed fire on a Sierra Nevada (California, USA) stream and its riparian zone. For. Ecol. Manag. 2005, 218, 37–59. [Google Scholar] [CrossRef]
- Arkle, R.S.; Pilliod, D.S. Prescribed fires as ecological surrogates for wildfires: A stream and riparian perspective. For. Ecol. Manag. 2010, 259, 893–903. [Google Scholar] [CrossRef]
- Malison, R.L.; Baxter, C.V. Effects of wildfire of varying severity on benthic stream insect assemblages and emergence. J. N. Am. Benthol. Soc. 2010, 29, 1324–1338. [Google Scholar] [CrossRef]
- Klose, K.; Cooper, S.D.; Bennett, D.M. Effects of wildfire on stream algal abundance, community structure, and nutrient limitation. Freshw. Sci. 2015, 34, 1494–1509. [Google Scholar] [CrossRef]
- McCullough, I.M.; Cheruvelil, K.S.; Lapierre, J.F.; Lottig, N.R.; Moritz, M.A.; Stachelek, J.; Soranno, P.A. Do lakes feel the burn? Ecological consequences of increasing exposure of lakes to fire in the continental United States. Glob. Change Biol. 2019, 25, 2841–2854. [Google Scholar] [CrossRef]
- Cunillera-Montcusí, D.; Gascón, S.; Tornero, I.; Sala, J.; Àvila, N.; Quintana, X.D.; Boix, D. Direct and indirect impacts of wildfire on faunal communities of Mediterranean temporary ponds. Freshw. Biol. 2019, 64, 323–334. [Google Scholar] [CrossRef]
- Silins, U.; Bladon, K.D.; Kelly, E.N.; Esch, E.; Spence, J.R.; Stone, M.; Emelko, M.B.; Boon, S.; Wagner, M.J.; Williams, C.H. Five-year legacy of wildfire and salvage logging impacts on nutrient runoff and aquatic plant, invertebrate, and fish productivity. Ecohydrology 2014, 7, 1508–1523. [Google Scholar] [CrossRef]
- Bracewell, S.A.; Barros, T.L.; Mayer-Pinto, M.; Dafforn, K.A.; Simpson, S.L.; Johnston, E.L. Contaminant pulse following wildfire is associated with shifts in estuarine benthic communities. Environ. Pollut. 2023, 316, 120533. [Google Scholar] [CrossRef] [PubMed]
- Shin, H.-W.; Sidharthan, M.; Young, K.S. Forest fire ash impact on micro-and macroalgae in the receiving waters of the east coast of South Korea. Mar. Pollut. Bull. 2002, 45, 203–209. [Google Scholar] [CrossRef] [PubMed]
- Harper, A.R.; Santin, C.; Doerr, S.H.; Froyd, C.A.; Albini, D.; Otero, X.L.; Viñas, L.; Pérez-Fernández, B. Chemical composition of wildfire ash produced in contrasting ecosystems and its toxicity to Daphnia magna. Int. J. Wildland Fire 2019, 28, 726–737. [Google Scholar] [CrossRef]
- Campos, I.; Abrantes, N.; Vidal, T.; Bastos, A.C.; Gonçalves, F.; Keizer, J.J. Assessment of the toxicity of ash-loaded runoff from a recently burnt eucalypt plantation. Eur. J. For. Res. 2012, 131, 1889–1903. [Google Scholar] [CrossRef]
- Paul, M.; LeDuc, S.; Lassiter, M.; Moorhead, L.; Noyes, P.; Leibowitz, S. Wildfire induces changes in receiving waters: A review with considerations for water quality management. Water Resour. Res. 2022, 58, e2021WR030699. [Google Scholar] [CrossRef]
- Silva, V.; Pereira, J.L.; Campos, I.; Keizer, J.J.; Gonçalves, F.; Abrantes, N. Toxicity assessment of aqueous extracts of ash from forest fires. CATENA 2015, 135, 401–408. [Google Scholar] [CrossRef]
- Baalousha, M.; Desmau, M.; Singerling, S.; Webster, J.P.; Matiasek, S.; Stern, M.A.; Alpers, C.N. Discovery and potential ramifications of reduced iron-bearing nanomaterials—Magnetite, wüstite, and zero valent iron—In wildland-urban interface fire ashes. Environ. Sci. Nano 2022, 9, 4149. [Google Scholar] [CrossRef]
- Miao, A.J.; Wang, W.X.; Juneau, P. Comparison of Cd, Cu, and Zn toxic effects on four marine phytoplankton by pulse-amplitude-modulated fluorometry. Environ. Toxicol. Chem. Int. J. 2005, 24, 2603–2611. [Google Scholar] [CrossRef]
- Shoman, N.; Solomonova, E.; Akimov, A.; Rylkova, O.; Meger, Y. The comprehensive effect of copper oxide nanoparticles on the physiology of the diatom microalga Thalassiosira weissflogii. Funct. Plant Biol. 2023, 50, 612–622. [Google Scholar] [CrossRef]
- Akimov, A.I.; Solomonova, E.S.; Shoman, N.Y.; Rylkova, O.A. Comparative Evaluation of the Effect of Copper Oxide and Copper Sulfate Nanoparticles on Structural and Functional Characteristics of Thalassiosira weissflogii under Conditions of Enrichment Cultivation. Russ. J. Plant Physiol. 2023, 70, 111. [Google Scholar] [CrossRef]
- Sorhannus, U.; Ortiz, J.D.; Wolf, M.; Fox, M.G. Microevolution and speciation in Thalassiosira weissflogii (Bacillariophyta). Protist 2010, 161, 237–249. [Google Scholar] [CrossRef] [PubMed]
- Lucas, A.J.; Dupont, C.L.; Tai, V.; Largier, J.L.; Palenik, B.; Franks, P.J. The green ribbon: Multiscale physical control of phytoplankton productivity and community structure over a narrow continental shelf. Limnol. Oceanogr. 2011, 56, 611–626. [Google Scholar] [CrossRef]
- Till, C.; Solomon, J.; Cohen, N.; Lampe, R.; Marchetti, A.; Coale, T.; Bruland, K. The iron limitation mosaic in the California Current System: Factors governing Fe availability in the shelf/near-shelf region. Limnol. Oceanogr. 2019, 64, 109–123. [Google Scholar] [CrossRef]
- Ladd, T.; Catlett, D.; Maniscalco, M.; Kim, S.; Kelly, R.; John, S.; Carlson, C.; Iglesias-Rodríguez, M. Food for all? Wildfire ash fuels growth of diverse eukaryotic plankton. Proc. R. Soc. B 2023, 290, 20231817. [Google Scholar] [CrossRef]
- Guillard, R.R. Culture of phytoplankton for feeding marine invertebrates. In Culture of Marine Invertebrate Animals, Proceedings 1st Conference on Culture of Marine Invertebrate Animals Greenport, Long Island, NY, USA, October 1975; Springer Nature B.V.: New York, NY, USA, 1975; pp. 29–60. [Google Scholar]
- Guillard, R.R.; Ryther, J.H. Studies of marine planktonic diatoms: I. Cyclotella nana Hustedt, and Detonula confervacea (Cleve) Gran. Can. J. Microbiol. 1962, 8, 229–239. [Google Scholar] [CrossRef]
- Spilling, K.; Seppälä, J. Measurement of Fluorescence for Monitoring Algal Growth and Health. In Biofuels from Algae: Methods and Protocols; Spilling, K., Ed.; Springer New York: New York, NY, USA, 2020; pp. 41–45. [Google Scholar]
- Brand, L.E.; Guillard, R.R.; Murphy, L.S. A method for the rapid and precise determination of acclimated phytoplankton reproduction rates. J. Plankton Res. 1981, 3, 193–201. [Google Scholar] [CrossRef]
- Wood, A.M.; Everroad, R.; Wingard, L. Measuring growth rates in microalgal cultures. In Algal Culturing Techniques; Academic Press: Cambridge, MA, USA, 2005; Volume 18, pp. 269–288. [Google Scholar]
- Reimann, C.; Koller, F.; Frengstad, B.; Kashulina, G.; Niskavaara, H.; Englmaier, P. Comparison of the element composition in several plant species and their substrate from a 1 500 000-km2 area in Northern Europe. Sci. Total Environ. 2001, 278, 87–112. [Google Scholar] [CrossRef]
- Fisher, J.; Egerton, T.A. Titanium compounds, inorganic. In Kirk-Othmer Encyclopedia of Chemical Technology; Wiley: Hoboken, NJ, USA, 2000. [Google Scholar]
- Moezzi, A.; McDonagh, A.M.; Cortie, M.B. Zinc oxide particles: Synthesis, properties and applications. Chem. Eng. J. 2012, 185–186, 1–22. [Google Scholar] [CrossRef]
- Borawski, A. Conventional and unconventional materials used in the production of brake pads–review. Sci. Eng. Compos. Mater. 2020, 27, 374–396. [Google Scholar] [CrossRef]
- Amato, F.; Font, O.; Moreno, N.; Alastuey, A.; Querol, X. Mineralogy and elemental composition of brake pads of common use in Spain. Macla 2012, 16, 154–156. [Google Scholar]
- Villarruel, C.M.; Figueroa, L.A.; Ranville, J.F. Quantification of Bioaccessible and Environmentally Relevant Trace Metals in Structure Ash from a Wildland–Urban Interface Fire. Environ. Sci. Technol. 2024, 58, 2502–2513. [Google Scholar] [CrossRef] [PubMed]
- Parra, J.G.; Rivero, V.C.; Lopez, T.I. Forms of Mn in soils affected by a forest fire. Sci. Total Environ. 1996, 181, 231–236. [Google Scholar] [CrossRef]
- Costa, M.R.; Calvão, A.R.; Aranha, J. Linking wildfire effects on soil and water chemistry of the Marão River watershed, Portugal, and biomass changes detected from Landsat imagery. Appl. Geochem. 2014, 44, 93–102. [Google Scholar] [CrossRef]
- Brito, D.Q.; Passos, C.J.S.; Muniz, D.H.; Oliveira-Filho, E.C. Aquatic ecotoxicity of ashes from Brazilian savanna wildfires. Environ. Sci. Pollut. Res. 2017, 24, 19671–19682. [Google Scholar] [CrossRef] [PubMed]
- Silva, V.; Abrantes, N.; Costa, R.; Keizer, J.J.; Gonçalves, F.; Pereira, J.L. Effects of ash-loaded post-fire runoff on the freshwater clam Corbicula fluminea. Ecol. Eng. 2016, 90, 180–189. [Google Scholar] [CrossRef]
- Oliveira-Filho, E.C.; Brito, D.Q.; Dias, Z.M.B.; Guarieiro, M.S.; Carvalho, E.L.; Fascineli, M.L.; Niva, C.C.; Grisolia, C.K. Effects of ashes from a Brazilian savanna wildfire on water, soil and biota: An ecotoxicological approach. Sci. Total Environ. 2018, 618, 101–111. [Google Scholar] [CrossRef]
- Sunda, W.G. Feedback interactions between trace metal nutrients and phytoplankton in the ocean. Front. Microbiol. 2012, 3, 204. [Google Scholar] [CrossRef]
- Sunda, W.G. Trace metal interactions with marine phytoplankton. Biol. Oceanogr. 1989, 6, 411–442. [Google Scholar]
- Browning, T.J.; Moore, C.M. Global analysis of ocean phytoplankton nutrient limitation reveals high prevalence of co-limitation. Nat. Commun. 2023, 14, 5014. [Google Scholar] [CrossRef]
- Yung, M.M.N.; Fougères, P.-A.; Leung, Y.H.; Liu, F.; Djurišić, A.B.; Giesy, J.P.; Leung, K.M.Y. Physicochemical characteristics and toxicity of surface-modified zinc oxide nanoparticles to freshwater and marine microalgae. Sci. Rep. 2017, 7, 15909. [Google Scholar] [CrossRef]
- Galletti, A.; Seo, S.; Joo, S.H.; Su, C.; Blackwelder, P. Effects of titanium dioxide nanoparticles derived from consumer products on the marine diatom Thalassiosira pseudonana. Environ. Sci. Pollut. Res. 2016, 23, 21113–21122. [Google Scholar] [CrossRef] [PubMed]
- Peng, X.; Palma, S.; Fisher, N.S.; Wong, S.S. Effect of morphology of ZnO nanostructures on their toxicity to marine algae. Aquat. Toxicol. 2011, 102, 186–196. [Google Scholar] [CrossRef] [PubMed]
- Lopez, A.M.; Avila, C.C.E.; VanderRoest, J.P.; Roth, H.K.; Fendorf, S.; Borch, T. Molecular insights and impacts of wildfire-induced soil chemical changes. Nat. Rev. Earth Environ. 2024, 5, 431–446. [Google Scholar] [CrossRef]
- Lopez, A.M.; Pacheco, J.L.; Fendorf, S. Metal toxin threat in wildland fires determined by geology and fire severity. Nat. Commun. 2023, 14, 8007. [Google Scholar] [CrossRef]
- Sunda, W.G.; Huntsman, S.A. Processes regulating cellular metal accumulation and physiological effects: Phytoplankton as model systems. Sci. Total Environ. 1998, 219, 165–181. [Google Scholar] [CrossRef]
- Alam, M.; Sitter, J.D.; Vannucci, A.K.; Webster, J.P.; Matiasek, S.J.; Alpers, C.N.; Baalousha, M. Environmentally persistent free radicals and other paramagnetic species in wildland-urban interface fire ashes. Chemosphere 2024, 363, 142950. [Google Scholar] [CrossRef]
- Serra-Pompei, C.; Ward, B.A.; Pinti, J.; Visser, A.W.; Kiørboe, T.; Andersen, K.H. Linking plankton size spectra and community composition to carbon export and its efficiency. Glob. Biogeochem. Cycles 2022, 36, e2021GB007275. [Google Scholar] [CrossRef]





| Sample Number | Sampling Date | Ash Source | Sample Description |
|---|---|---|---|
| A31 | 8 October 2020 | Vegetation | Burned chaparral (charred manzanita and some pine) site on gentle slopes; serpentinite unit |
| A51 | 8 October 2020 | Vegetation | Burned chapparal (manzanita), white ash with some black ash; sandstone unit |
| A81 | 8 October 2020 | Vegetation | Burned oak, white ash with some black ash; bedrock undetermined |
| A91 | 15 October 2020 | Structure/residential | Hot tub/spa |
| A124 | 15 October 2020 | Structure/residential/paint | Shed—house paint, some wires |
| A131 | 16 October 2020 | Structure | Burned barn—redwood, galvanized steel, tires, Cu wire |
| A13 | 7 October 2020 | Vehicle | Burned trailer—south end |
| A134 | 16 October 2020 | Vehicle | Burned boat and trailer—fiberglass, aluminum, tires |
| A136 | 16 October 2020 | Vehicle | Burned trailer (for 2 horses)—tires, Cu wire, aluminum, book (manual) |
Disclaimer/Publisher’s Note: The statements, opinions and data contained in all publications are solely those of the individual author(s) and contributor(s) and not of MDPI and/or the editor(s). MDPI and/or the editor(s) disclaim responsibility for any injury to people or property resulting from any ideas, methods, instructions or products referred to in the content. |
© 2025 by the authors. Licensee MDPI, Basel, Switzerland. This article is an open access article distributed under the terms and conditions of the Creative Commons Attribution (CC BY) license (https://creativecommons.org/licenses/by/4.0/).
Share and Cite
Alshehri, T.; Jassim, A.Y.; Cai, B.; Richardson, T.L.; Baalousha, M. Comparative Assessment of the Impacts of Wildland–Urban Interface Fire Ash on Growth of the Diatom Thalassiosira weissflogii. Nanomaterials 2025, 15, 422. https://doi.org/10.3390/nano15060422
Alshehri T, Jassim AY, Cai B, Richardson TL, Baalousha M. Comparative Assessment of the Impacts of Wildland–Urban Interface Fire Ash on Growth of the Diatom Thalassiosira weissflogii. Nanomaterials. 2025; 15(6):422. https://doi.org/10.3390/nano15060422
Chicago/Turabian StyleAlshehri, Talal, Amar Yasser Jassim, Bo Cai, Tammi L. Richardson, and Mohammed Baalousha. 2025. "Comparative Assessment of the Impacts of Wildland–Urban Interface Fire Ash on Growth of the Diatom Thalassiosira weissflogii" Nanomaterials 15, no. 6: 422. https://doi.org/10.3390/nano15060422
APA StyleAlshehri, T., Jassim, A. Y., Cai, B., Richardson, T. L., & Baalousha, M. (2025). Comparative Assessment of the Impacts of Wildland–Urban Interface Fire Ash on Growth of the Diatom Thalassiosira weissflogii. Nanomaterials, 15(6), 422. https://doi.org/10.3390/nano15060422

