Systematic Simulations of Structural Stability, Phonon Dispersions, and Thermal Expansion in Zinc-Blende ZnO
Abstract
1. Introduction
2. Theoretical Background
2.1. Crystal Structure
Phase Transitions
2.2. Computational Methodology
2.2.1. Rigid-Ion Model
2.2.2. The Quasi-Harmonic Approximation
2.2.3. Thermal Properties
2.2.4. Effective Charge and Its Pressure Dependence
3. Numerical Computations, Results, and Discussion
3.1. Determination of Parameters
3.1.1. Structural and Elastic Properties of zb ZnO
3.1.2. Rigid-Ion Model Parameters of zb ZnO
3.2. Lattice Dynamics
3.2.1. Phonon Dispersions and One-Phonon Density of States
3.2.2. Analyses of the Second-Order P-Dependent Raman Spectra
3.3. Thermodynamic Characteristics
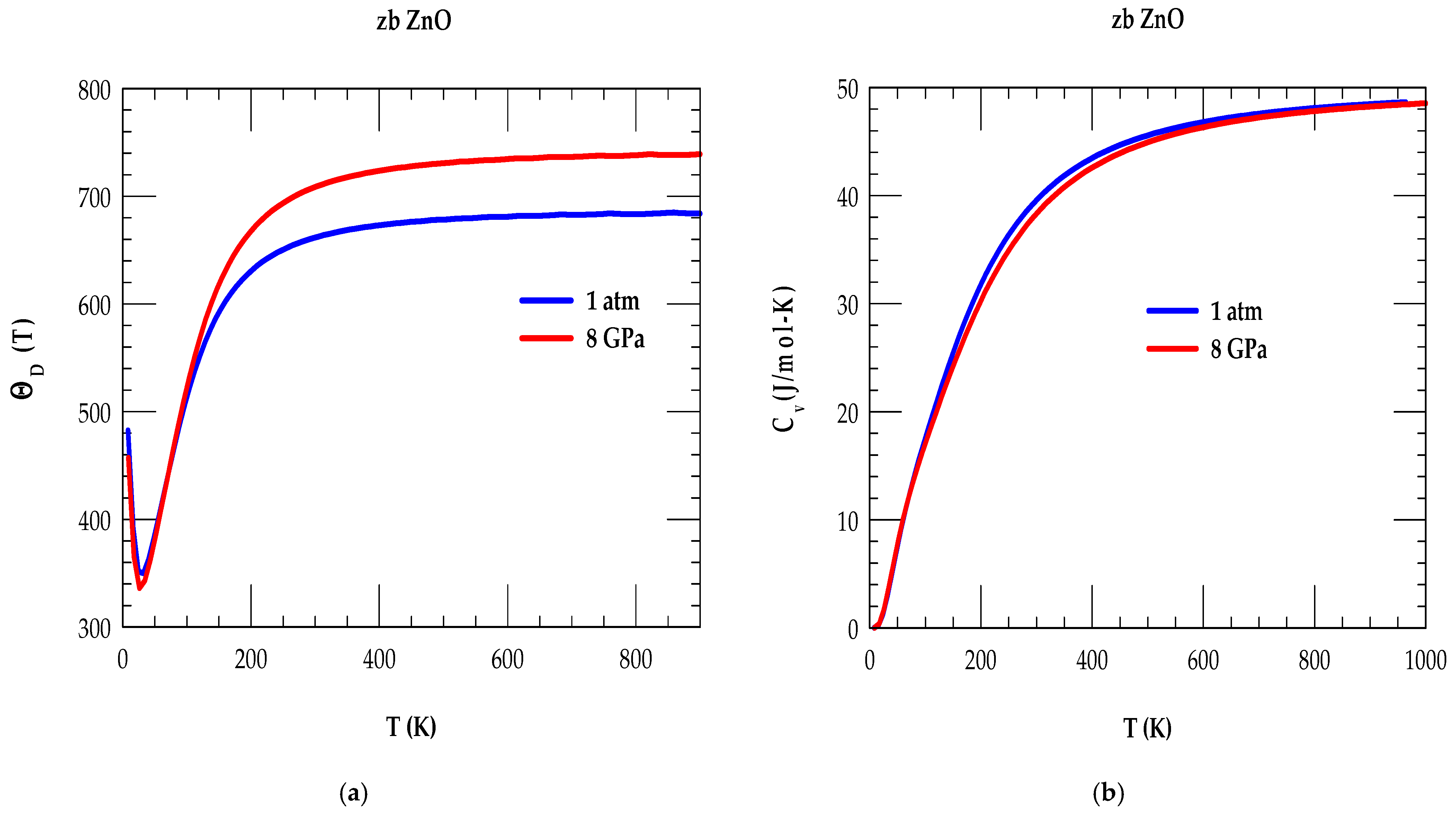
3.3.1. Debye Temperature of zb ZnO
3.3.2. Specific Heat of zb ZnO
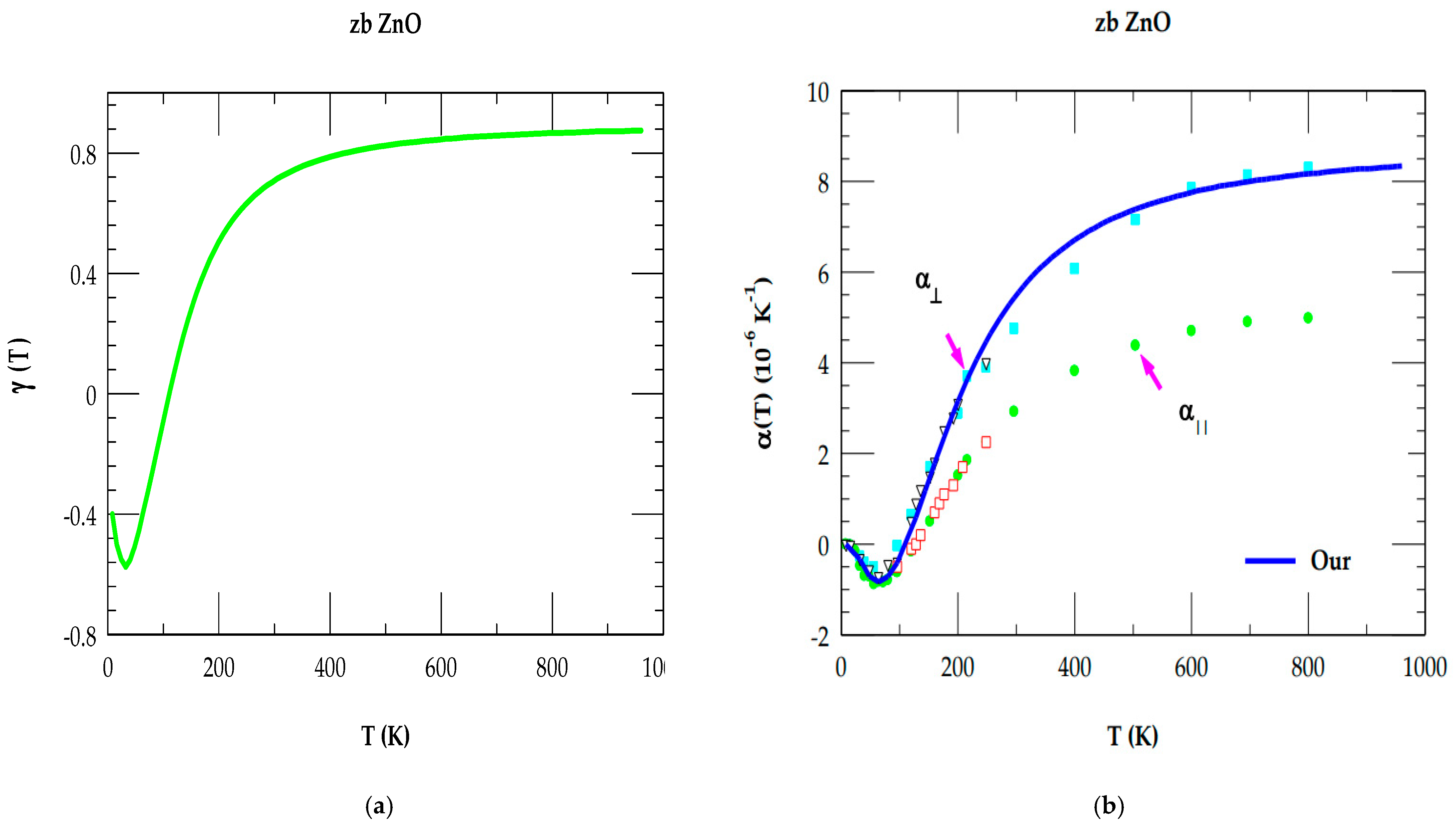
3.3.3. Mode Grüneisen Parameters
3.3.4. Thermal Expansion
4. Concluding Remarks
Author Contributions
Funding
Data Availability Statement
Acknowledgments
Conflicts of Interest
References
- Mutukwa, D.; Taziwa, R.T.; Khotseng, L. A Review of Plant-Mediated ZnO Nanoparticles for Photodegradation and Antibacterial Applications. Nanomaterials 2024, 14, 1182. [Google Scholar] [CrossRef] [PubMed]
- Udayagiri, H.; Sana, S.S.; Dogiparthi, L.K.; Vadde, R.; Varma, R.S.; Koduru, J.R.; Ghodake, G.S.; Somala, A.R.; Boya, V.K.N.; Kim, S.-C.; et al. Phytochemical fabrication of ZnO nanoparticles and their antibacterial and anti-bioflm activity. Sci. Rep. 2024, 14, 19714. [Google Scholar] [CrossRef]
- Balu, K.; Kaliyamoorthy, S.; Mani, D.; Aguiar, A.; Sobral, M.C.M.; Muthuvel, I.; Kumaravel, S.; Avula, B.; Sobral, A.J.F.N.; Ahn, Y.-H. Porphyrins and ZnO hybrid semiconductor materials: A review. Inorg. Chem. Commun. 2023, 154, 110973. [Google Scholar] [CrossRef]
- Hazarika, R.; Kalita, B. Site selective behavior of B, C and N doping in MgO monolayers towards spintronic and optoelectronic applications. Mater. Sci. Semicond. Process. 2023, 162, 107514. [Google Scholar] [CrossRef]
- Jha, S.; Rani, R.; Singh, S. Biogenic Zinc Oxide Nanoparticles and Their Biomedical Applications: A Review. J. Inorg. Organomet. Polym. Mater. 2023, 33, 1437–1452. [Google Scholar] [CrossRef] [PubMed]
- Natu, K.; Laad, M.; Ghule, B.; Shalu, A. Transparent and flexible zinc oxide-based thin-film diodes and thin-film transistors: A review. J. Appl. Phys. 2023, 134, 190701. [Google Scholar] [CrossRef]
- Abdullahi, Y.Z.; Ersan, F. Stability and electronic properties of XO (X = Be, Mg, Zn, Cd) biphenylene and graphenylene networks: A first-principles study. Appl. Phys. Lett. 2023, 123, 252104. [Google Scholar] [CrossRef]
- Sharma, D.K.; Shukla, S.; Sharma, K.K.; Kumar, V. A review on ZnO: Fundamental properties and applications. Mater. Today Proc. 2022, 49, 3028–3035. [Google Scholar] [CrossRef]
- Pushpalatha, C.; Suresh, J.; Gayathri, V.S.; Sowmya, S.V.; Augustine, D.; Alamoudi, A.; Zidane, B.; Albar, N.H.M.; Patil, S. Zinc Oxide Nanoparticles: A Review on Its Applications in Dentistry, Nanoparticles: A Review on Its Applications in Dentistry. Front. Bioeng. Biotechnol. 2022, 10, 917990. [Google Scholar] [CrossRef] [PubMed]
- Zahoor, R.; Jalil, A.; Ilyas, S.Z.; Ahmed, S.; Hassan, A. Optoelectronic and solar cell applications of ZnO nanostructures. Results Surf. Interfaces 2021, 2, 100003. [Google Scholar] [CrossRef]
- Singh, J.P.; Singh, V.; Sharma, A.; Pandey, G.; Chae, K.H.; Lee, S. Approaches to synthesize MgO nanostructures for diverse applications. Heliyon 2020, 6, e04882. [Google Scholar] [CrossRef] [PubMed]
- Özgür, Ü.; Alivov Ya, I.; Liu, C.; Teke, A.; Reshchikov, M.A.; Doğan, S.; Avrutin, V.; Cho, S.-J.; Morkoç, H. A comprehensive review of ZnO materials and devices. J. Appl. Phys. 2005, 98, 041301. [Google Scholar] [CrossRef]
- Huang, Z.; Liu, H.; Hu, R.; Qiao, H.; Wang, H.; Liu, Y.; Qi, X.; Zhang, H. Structures, properties and application of 2D mono elemental materials (Xenes) as graphene analogues under defect engineering. Nano Today 2020, 35, 100906. [Google Scholar] [CrossRef]
- Borysiewicz, M.A. ZnO as a Functional Material, a Review. Crystals 2019, 9, 505. [Google Scholar] [CrossRef]
- Loy, D.J.J.; Danajaya, P.A.; Hong, X.L.; Shum, D.P.; Lew, W.S. Conduction mechanisms on high retention annealed MgO-based resistive switching memory devices. Sci. Rep. 2018, 8, 14774. [Google Scholar] [CrossRef]
- Dias, C.; Guerra, L.M.; Bordalo, B.D.; Lv, H.; Ferraria, A.M.; do Rego, A.M.B.; Cardoso, S.; Freitas, P.P.; Ventura, J. Voltage-polarity dependent multi-mode resistive switching on sputtered MgO nanostructures. Phys. Chem. Chem. Phys. 2017, 19, 10898–10904. [Google Scholar] [CrossRef]
- Zaoui, A.; Ferhat, M. Exploring novel phases of Cd–O system at ambient pressure. Phys. Lett. A 2017, 381, 685–688. [Google Scholar] [CrossRef]
- Kołodziejczak-Radzimska, A.; Jesionowski, T. Zinc Oxide—From Synthesis to Application: A Review. Materials 2014, 7, 2833–2881. [Google Scholar] [CrossRef]
- Malakkal, L.; Szpunar, B.; Siripurapu, R.K.; Zuniga, J.C.; Szpunar, J.A. Thermal conductivity of wurtzite and zinc blende cubic phases of BeO from ab initio calculations. Solid State Sci. 2017, 65, 79–87. [Google Scholar] [CrossRef]
- Magdalane, C.M.; Kaviyarasu, K.; Vijaya, J.J.; Jayakumar, C.; Maaza, M.; Jeyaraj, B. Photocatalytic degradation effect of malachite green and catalytic hydrogenation by UV–illuminated CeO2/CdO multilayered nanoplatelet arrays: Investigation of antifungal and antimicrobial activities. J. Photochem. Photobiol. B Biol. 2017, 169, 110–123. [Google Scholar] [CrossRef] [PubMed]
- Tosun, M.; Ataoglu, S.; Arda, L.; Ozturk, O.; Asikuzun, E.; Akcan, D.; Cakiroglu, O. Structural and mechanical properties of ZnMgO nanoparticles. Mater. Sci. Eng. A 2014, 590, 416–422. [Google Scholar] [CrossRef]
- Gopal, P.; Fornari, M.; Curtarolo, S.; Agapito, L.A.; Liyanage, L.S.; Nardelli, M.B. Improved predictions of the physical properties of Zn- and Cd-based wide band-gap semiconductors: A validation of the ACBN0 functional. Phys. Rev. B 2015, 91, 245202. [Google Scholar] [CrossRef]
- Janotti, A.; Van de Walle, C.G. Fundamentals of zinc oxide as a semiconductor. Rep. Prog. Phys. 2009, 72, 126501. [Google Scholar] [CrossRef]
- Janotti, A.; Segev, D.; Van de Walle, C.G. Effects of cation d states on the structural and electronic properties of III-nitride and II-oxide wide-band-gap semiconductors. Phys. Rev. B 2006, 74, 045202. [Google Scholar] [CrossRef]
- Zhu, Y.Z.; Chen, G.D.; Ye, H.; Walsh, A.; Moon, C.Y.; Wei, S.-H. Electronic structure and phase stability of MgO, ZnO, CdO, and related ternary alloys. Phys. Rev. B 2008, 77, 245209. [Google Scholar] [CrossRef]
- Tossell, J.A. Calculation of bond distances and heats of formation for BeO, MgO, SiO2, TiO2, FeO, and ZnO using the ionic model. Am. Mineral. 1980, 65, 163–173. [Google Scholar]
- Nicolay, S.; Fay, S.; Ballif, C. Growth Model of MOCVD Polycrystalline ZnO. Cryst. Growth Des. 2009, 9, 4957. [Google Scholar] [CrossRef]
- Zhang, J.; Cui, X.; Shi, Z.; Wu, B.; Zhang, Y.; Zhang, B. Nucleation and growth of ZnO films on Si substrates by LP-MOCVD. Superlattices Microstruct. 2014, 71, 23–29. [Google Scholar] [CrossRef]
- Youdou, Z.; Shulin, G.; Jiandong, Y.; Wei, L.; Shunmin, Z.; Feng, Q.; Liqun, H.; Rang, Z.; Yi, S. MOCVD Growth and Properties of ZnO and Znl-x,MgxO Films. In Proceedings of the Sixth Chinese Optoelectronics Symposium (IEEE Cat. No.03EX701), Hong Kong, China, 14 September 2003; IEEE: Piscataway, NJ, USA, 2003. ISBN 0-7803-7887-3. [Google Scholar]
- Kadhim, G.A. Study of the Structural and Optical Traits of In:ZnO Thin Films Via Spray Pyrolysis Strategy: Influence of laser Radiation Change in Different Periods. AIP Conf. Proc. 2024, 2922, 240006. [Google Scholar] [CrossRef]
- Wei, X.H.; Li, Y.R.; Zhu, J.; Huang, W.; Zhang, Y.; Luo, W.B.; Ji, H. Epitaxial properties of ZnO thin films on SrTiO3 substrates grown by laser molecular beam epitaxy. Appl. Phys. Lett. 2007, 90, 151918. [Google Scholar] [CrossRef]
- Opel, M.; Geprags, S.; Althammer, M.; Brenninger, T.; Gross, R. Laser molecular beam epitaxy of ZnO thin films and heterostructures. J. Phys. D Appl. Phys. 2014, 47, 034002. [Google Scholar] [CrossRef]
- Chauveau, J.-M.; Morhain, C.; Teisseire, M.; Laugt, M.; Deparis, C.; Zuniga-Perez, J.; Vinter, B. (Zn, Mg)O/ZnO-based heterostructures grown by molecular beam epitaxy on sapphire: Polar vs. non-polar. Microelectron. J. 2009, 40, 512–516. [Google Scholar] [CrossRef]
- Falson, J.; Kozuka, Y.; Uchida, M.; Smet, J.H.; Tsukazaki, T.A.; Kawasak, M. MgZnO/ZnO heterostructures with electron mobility exceeding 1 × 106 cm2/Vs. Sci. Repots 2016, 6, 26598. [Google Scholar] [CrossRef]
- Triboulet, R.; Perrière, J. Epitaxial growth of ZnO films. Prog. Cryst. Growth Charact. Mater. 2003, 47, 65–138. [Google Scholar] [CrossRef]
- Yıldırım, Ö.A.; Durucan, C. Synthesis of zinc oxide nanoparticles elaborated by microemulsion method. J. Alloys Compd. 2010, 506, 944–949. [Google Scholar] [CrossRef]
- Mao, Y.; Li, Y.; Zou, Y.; Shen, X.; Zhu, L.; Liao, G. Solvothermal synthesis and photocatalytic properties of ZnO micro/nanostructures. Ceram. Int. 2019, 45, 1724–1729. [Google Scholar] [CrossRef]
- Araujo, E.A., Jr.; Nobre, F.X.G.S.; Cavalcante, L.S.; Santos, M.R.M.C.; Souza, F.L.; de Matos, J.M.E. Synthesis, growth mechanism, optical properties and catalytic activity of ZnO microcrystals obtained via hydrothermal processing. RSC Adv. 2017, 7, 24263–24281. [Google Scholar] [CrossRef]
- Brown, R.A.; Evans, J.E.; Smith, N.A.; Tarat, A.; Jones, D.R.; Barnett, C.J.; Maffeis, T.G.G. The effect of metal layers on the morphology and optical properties of hydrothermally grown zinc oxide nanowires. J. Mater. Sci 2013, 48, 4908–4913. [Google Scholar] [CrossRef]
- Duman, S.; Sütlü, A.; Bağcı, S.; Tütüncü, H.M.; Srivastava, G.P. Structural, elastic, electronic, and phonon properties of zincblende and wurtzite BeO. J. Appl. Phys. 2009, 105, 033719. [Google Scholar] [CrossRef]
- Li, Y. III-Nitride Materials: Properties, Growth, and Applications. Crystals 2024, 14, 390. [Google Scholar] [CrossRef]
- Riane, R.; Boussahla, Z.; Matar, S.F.; Zaoui, A. Structural and Electronic Properties of Zinc Blende-Type Nitrides BxAl1–xN; 0932–0776/08/0900–1069$06.00@2008; Verlag der Zeitschrift fur Naturforschung: Tubingen, Germany, 2008; Available online: http://znaturforsch.com (accessed on 20 December 2024).
- Waack, J.M.; Kremer, M.; Czerner, M.; Heiliger, C. Structural and electronic properties of cubic rocksalt AlxSc1−xN random alloys from ab initio calculations. Phys. Rev. B 2024, 109, 075142. [Google Scholar] [CrossRef]
- Wang, J.; Xie, N.; Xu, F.; Zhang, L.; Lang, J.; Kang, X.; Qin, Z.; Yang, X.; Tang, N.; Wang, X.; et al. Group-III nitride heteroepitaxial films approaching bulk-class quality. Nat. Mater. 2023, 22, 853–859. [Google Scholar] [CrossRef]
- Yang, T.; Chen, Y.-H.; Wang, Y.-C.; Ou, W.; Ying, L.-Y.; Mei, Y.; Tian, A.-Q.; Liu, J.-P.; Guo, H.-C.; Zhang, B.-P. Green Vertical-Cavity Surface-Emitting Lasers Based on InGaN Quantum Dots and Short Cavity. Nano-Micro Lett. 2023, 15, 223. [Google Scholar] [CrossRef]
- Chen, Z.; Sheng, B.; Liu, F.; Liu, S.; Li, D.; Yuan, Z.; Wang, T.; Rong, X.; Huang, J.; Qiu, J.; et al. High-Efficiency InGaN Red Mini-LEDs on Sapphire Toward Full-Color Nitride Displays: Effect of Strain Modulation. Adv. Funct. Mater. 2023, 33, 2300042. [Google Scholar] [CrossRef]
- Li, P.; Li, H.; Yao, Y.; Lim, N.; Wong, M.; Iza, M.; Gordon, M.J.; Speck, J.S.; Nakamura, S.; DenBaars, S.P. Significant Quantum Efficiency Enhancement of InGaN Red Micro-Light-Emitting Diodes with a Peak External Quantum Efficiency of up to 6%. ACS Photonics 2023, 10, 1899–1905. [Google Scholar] [CrossRef]
- Yu, L.; Wang, L.; Yang, P.; Hao, Z.; Yu, J.; Luo, Y.; Sun, C.; Xiong, B.; Han, Y.; Wang, J.; et al. Metal organic vapor phase epitaxy of high-indium-composition InGaN quantum dots towards red micro-LEDs. Opt. Mater. Express 2022, 12, 3225. [Google Scholar] [CrossRef]
- Xiong, J.; Hsiang, E.-L.; He, Z.; Zhan, T.; Wu, S.-T. Augmented reality and virtual reality displays: Emerging technologies and future perspectives. Light-Sci. Appl. 2021, 10, 216. [Google Scholar] [CrossRef] [PubMed]
- Wang, L.; Ma, J.; Su, P.; Huang, J. High-Resolution Pixel LED Headlamps: Functional Requirement Analysis and Research Progress. Appl. Sci. 2021, 11, 3368. [Google Scholar] [CrossRef]
- Wang, J.; Xu, F.; Liu, B.; Lang, J.; Zhang, N.; Kang, X.; Qin, Z.; Yang, X.; Wang, X.; Ge, W.; et al. Control of dislocations in heteroepitaxial AlN films by extrinsic supersaturated vacancies introduced through thermal desorption of heteroatoms. Appl. Phys. Lett. 2021, 118, 162103. [Google Scholar] [CrossRef]
- Shen, J.; Yang, X.; Liu, D.; Cai, Z.; Wei, L.; Xie, N.; Xu, F.; Tang, N.; Wang, X.; Ge, W.; et al. High quality AlN film grown on a nano-concave-circle patterned Si substrate with an AlN seed layer. Appl. Phys. Lett. 2020, 117, 022103. [Google Scholar] [CrossRef]
- Verma, A.S. Elastic moduli and brittleness of diamondlike and zinc blende structured solids. Mater. Chem. Phys. 2012, 135, 106–111. [Google Scholar] [CrossRef]
- Chen, A.B.; Sher, A.; Yost, W.T. Elastic Constants and Related Properties of Semiconductor Compounds and their Alloys. Semicond. Semimet. 1992, 37, 1–77. [Google Scholar]
- Liu, G.; Maynard, J.D. Measuring elastic constants of arbitrarily shaped samples using resonant ultrasound spectroscopy. J. Acoust. Soc. Am. 2012, 131, 2068–2078. [Google Scholar] [CrossRef] [PubMed]
- Chichvarina, O.; Herng, T.S.; Phuah, K.C.; Xiao, W.; Bao, N.; Feng, Y.P.; Ding, J. Stable zinc-blende ZnO thin films: Formation and physical properties. J. Mater. Sci. 2015, 50, 28–33. [Google Scholar] [CrossRef]
- Almamun Ashrafi, A.B.M.; Ueta, A.; Avramescu, A.; Kumano, H.; Suemune, I. Growth and characterization of hypothetical zinc-blende ZnO films on GaAs (001) substrates with ZnS buffer layers. Appl. Phys. Lett. 2000, 76, 550. [Google Scholar] [CrossRef]
- Yu, J.; Zhang, M.; Zhang, Z.; Wang, S.; Wu, Y. Hybrid-functional calculations of electronic structure and phase stability of MO (M = Zn, Cd, Be, Mg, Ca, Sr, Ba) and related ternary alloy MxZn1-xO. RSC Adv. 2019, 9, 8507. [Google Scholar] [CrossRef] [PubMed]
- Kalay, M.; Kart, H.H.; Kart, S.Ö.; Cagın, T. Elastic properties and pressure induced transitions of ZnO polymorphs from first-principles calculations. J. Alloys Compd. 2009, 484, 431–438. [Google Scholar] [CrossRef]
- Wu, Y.; Kang, J. Pressure induced wurtzite-to-zinc blende phase transition in ZnO at finite temperature. J. Mater. Res. 2008, 23, 3347. [Google Scholar] [CrossRef]
- Horio, Y.; Yuhara, J.; Takakuwa, Y.; Ogawa, S.; Abe, K. Polarity identification of ZnO (0001) surface by reflection high-energy electron diffraction. Jpn. J. Appl. Phys. 2018, 57, 045701. [Google Scholar] [CrossRef]
- Chen, Y.; Bagnall, D.; Yao, T. ZnO as a novel photonic material for the UV region. Mater. Sci. Eng. B 2000, 75, 190–198. [Google Scholar] [CrossRef]
- Huang, M.R.S.; Erni, R.; Lin, H.-Y.; Wang, R.-C.; Liu, C.-P. Characterization of wurtzite ZnO using valence electron energy loss spectroscopy. Phys. Rev. B 2011, 84, 155203. [Google Scholar] [CrossRef]
- Kaida, T.; Kamioka, K.; Ida, T.; Kuriyama, K.; Kushida, K.; Kinomura, A. Rutherford backscattering and nuclear reaction analyses of hydrogen ion-implanted ZnO bulk single crystals. Nucl. Instrum. Methods Phys. Res. B 2014, 332, 15–18. [Google Scholar] [CrossRef]
- Ismail, M.A.; Taha, K.K.; Modwi, A.; Khezami, L. ZnO Nanoparticles: Surface and x-ray profile analysis. J. Ovonic Res. 2018, 14, 381–393. [Google Scholar]
- Mohan, A.C.; Renjanadevi, B. Preparation of Zinc Oxide Nanoparticles and its Characterization Using Scanning Electron Microscopy (SEM) and X-Ray Diffraction (XRD). Procedia Technol. 2016, 24, 761–766. [Google Scholar] [CrossRef]
- Martínez-Tomás, M.C.; Hortelano, V.; Jiménez, J.; Wang, B.; Muñoz-Sanjosé, V. High resolution X-ray diffraction, X-ray multiple diffraction and cathodoluminescence as combined tools for the characterization of substrates for epitaxy: The ZnO case. CrystEngComm 2013, 15, 3951–3958. [Google Scholar] [CrossRef]
- Chao, L.-C.; Yang, S.-H. Growth and Auger electron spectroscopy characterization of donut-shaped ZnO nanostructures. Appl. Surf. Sci. 2007, 253, 7162–7165. [Google Scholar] [CrossRef]
- Ni, H.; Li, X. Young’s modulus of ZnO nanobelts measured using atomic force microscopy and nanoindentation techniques. Nanotechnology 2006, 17, 3591. [Google Scholar] [CrossRef]
- Kirmse, H.; Sparenberg, M.; Zykov, A.; Sadofev, S.; Kowarik, S.; Blumstengel, S. Structure of p-Sexiphenyl Nanocrystallites in ZnO Revealed by High Resolution Transmission Electron Microscopy. Cryst. Growth Des. 2016, 16, 2789–2794. [Google Scholar] [CrossRef]
- Li, X.; Cheng, S.; Deng, S.; We, X.; Zhu, J.; Che, Q. Direct Observation of the Layer-by Layer Growth of ZnO Nanopillar by In situ High Resolution Transmission Electron Microscopy. Sci. Rep. 2017, 7, 40911. [Google Scholar] [CrossRef]
- Raouf, D. Synthesis and photoluminescence characterization of ZnO nanoparticles. J. Lumin. 2013, 134, 213–219. [Google Scholar] [CrossRef]
- Saadatkia, P.; Ariyawansa, G.; Leedy, K.D.; Look, D.C.; Boatner, L.A.; Selim, F.A. Fourier Transform Infrared Spectroscopy Measurements of Multi-phonon and Free-Carrier Absorption in ZnO. J. Electron. Mater. 2016, 45, 6329. [Google Scholar] [CrossRef]
- Keyes, B.; Gedvilas, L.; Li, X.; Coutts, T. Infrared spectroscopy of polycrystalline ZnO and ZnO:N thin films. J. Cryst. Growth 2005, 281, 297–302. [Google Scholar] [CrossRef]
- Damen, T.C.; Porto, S.P.S.; Tell, B. Raman Effect in Zinc Oxide. Phys. Rev. 1966, 142, 570. [Google Scholar] [CrossRef]
- Calleja, J.M.; Cardona, M. Resonant raman scattering in ZnO. Phys. Rev. B 1977, 16, 3753. [Google Scholar] [CrossRef]
- Manjon, F.J.; Syassen, K.; Lauck, R. Effect of pressure on phonon modes in wurtzite zinc oxide. High Press. Res. 2002, 22, 299. [Google Scholar] [CrossRef]
- Reddy, A.J.; Kokila, M.K.; Nagabhushana, H.; Rao, J.L.; Shivakumara, C.; Nagabhushana, B.M.; Chakradhar, R.P.S. Combustion synthesis, characterization and Raman studies of ZnO nano powders. Spectrochim. Acta Part A 2011, 81, 53–58. [Google Scholar] [CrossRef]
- Serrano, J.; Manjón, F.J.; Romero, A.H.; Ivanov, A.; Cardona, M.; Lauck, R.; Bosak, A.; Krisch, M. Phonon dispersion relations of zinc oxide: Inelastic neutron scattering and ab initio calculations. Phys. Rev. B 2010, 81, 174304. [Google Scholar] [CrossRef]
- Serrano, J.; Romero, A.H.; Manjo’n, F.J.; Lauck, R.; Cardona, M.; Rubio, A. Pressure dependence of the lattice dynamics of ZnO: An ab initio approach. Phys. Rev. B 2004, 69, 094306. [Google Scholar] [CrossRef]
- Serrano, J.; Manjón, F.J.; Romero, A.H.; Ivanov, A.; Lauck, R.; Cardona, M.; Krisch, M. The phonon dispersion of wurtzite-ZnO revisited. Phys. Status Solidi (B) 2007, 244, 1478–1482. [Google Scholar] [CrossRef]
- Bohórquez, C.; Bakkali, H.; Delgado, J.J.; Blanco, E.; Herrera, M.; Domínguez, M. Spectroscopic Ellipsometry Study on Tuning the Electrical and Optical Properties of Zr-Doped ZnO Thin Films Grown by Atomic Layer Deposition. ACS Appl. Electron. Mater. 2022, 4, 925–935. [Google Scholar] [CrossRef] [PubMed]
- Bhandari, K.P.; Sapkota, D.R.; Ramanujam, B. Spectroscopic-ellipsometry study of the optical properties of ZnO nanoparticle thin films. MRS Commun. 2024, 14, 1085–1089. [Google Scholar] [CrossRef]
- Liu, Y.; Bian, Y.; Chernatynskiy, A.; Han, Z. Effect of grain boundary angle on the thermal conductivity of nanostructured bicrystal ZnO based on the molecular-dynamics simulation method. Int. J. Heat Mass Transf. 2019, 145, 118791. [Google Scholar] [CrossRef]
- Azzaz, Y.; Kacimi, S.; Zaoui, A.; Bouhafs, B. Electronic properties and stability of ZnO from computational study. Phys. B 2008, 403, 3154–3158. [Google Scholar] [CrossRef]
- Singh, J.; Jain, V.K. Structural, Electronic and Optical Properties of ZnO Material Using First Principle Calculation. J. Polym. Compos. 2023, 11, S27. [Google Scholar]
- Mohammadi, A.S.; Baizaee, S.M.; Salehi, H. Density Functional Approach to Study Electronic Structure of ZnO Single Crystal. World Appl. Sci. J. 2011, 14, 1530–1536. [Google Scholar]
- Charifi, Z.; Baaziz, H.; Reshak, A.H. Ab-initio investigation of structural, electronic and optical properties for three phases of ZnO compound. Phys. Status Solidi (B) 2007, 244, 3154–3167. [Google Scholar] [CrossRef]
- Yu, Y.; Zhou, J.; Han, H.; Zhang, C.; Cai, T.; Song, C.; Gao, T. Ab initio study of structural, dielectric, and dynamical properties of zinc-blende ZnX (X = O, S, Se, Te). J. Alloys Compd. 2009, 471, 492–497. [Google Scholar] [CrossRef]
- Qing, X.; Zhang, C.; Gong, J.; Chen, S. Ab initio study of photoelectric properties in ZnO transparent conductive oxide. Vacuum 2021, 191, 110391. [Google Scholar] [CrossRef]
- Chibueze, T.C. Ab initio study of mechanical, phonon and electronic Properties of cubic zinc-blende structure of ZnO. Niger. Ann. Pure Appl. Sci. 2021, 4, 119. [Google Scholar] [CrossRef]
- Zafar, M.; Ahmed, S.; Shakil, M.; Choudhary, M.A. First-principles calculations of structural, electronic, and thermodynamic properties of ZnO1−xSx alloys. Chin. Phys. B 2014, 23, 106108. [Google Scholar] [CrossRef]
- Bocharov, D.; Pudza, I.; Klementiev, K.; Krack, M.; Kuzmin, A. Study of High-Temperature Behaviour of ZnO by Ab Initio Molecular Dynamics Simulations and X-ray Absorption Spectroscopy. Materials 2021, 14, 5206. [Google Scholar] [CrossRef]
- Bachmann, M.; Czerner, M.; Edalati-Boostan, S.; Heiliger, C. Ab initio calculations of phonon transport in ZnO and ZnS. Eur. Phys. J. B 2012, 85, 146. [Google Scholar] [CrossRef]
- Wang, Z.; Wang, F.; Wang, L.; Jia, Y.; Sun, Q. First-principles study of negative thermal expansion in zinc oxide. J. Appl. Phys. 2013, 114, 063508. [Google Scholar] [CrossRef]
- Ren, D.; Xiang, B.; Gao, Y.; Hu, C.; Zhang, H. Ab initio study of lattice instabilities of zinc chalcogenides ZnX (X=O, S, Se, Te) induced by ultrafast intense laser irradiation. AIP Adv. 2017, 7, 095021. [Google Scholar] [CrossRef]
- Calzolari, A.; Nardelli, M.B. Dielectric properties and Raman spectra of ZnO from a first principles finite-differences/finite-fields approach. Sci. Rep. 2013, 3, 2999. [Google Scholar] [CrossRef] [PubMed]
- Liu, J.; Allen, P.B. Internal and external thermal expansions of wurtzite ZnO from first principles. Comput. Mater. Sci. 2018, 154, 251–255. [Google Scholar] [CrossRef]
- Kunc, K. Dynamique de réseau de composés ANB8-N présentant la structure de la blende. Ann. Phys. 1973, 8, 319–401. [Google Scholar] [CrossRef]
- Talwar, D.N. Computational phonon dispersions structural and thermodynamical characteristics of novel C-based XC (X = Si, Ge and Sn) materials. Next Mater. 2024, 4, 100198. [Google Scholar] [CrossRef]
- Murnaghan, F.D. The Compressibility of Media under Extreme Pressures. Proc. Natl. Acad. Sci. USA 1944, 30, 244–247. [Google Scholar] [CrossRef] [PubMed]
- Talwar, D.N.; Vandevyver, M. Pressure-dependent phonon properties of III-V compound semiconductors. Phys. Rev. B 1990, 41, 12129. [Google Scholar] [CrossRef]
- Morkoç, H.; Özgür, Ü. Zinc Oxide: Fundamentals, Materials and Device Technology; Wiley-VCH Verlag GmbH & Co. KGaA: Weinheim, Germany, 2009; ISBN 978-3-527-40813-9. [Google Scholar]
- Yates, B.; Coopers, R.F.; Kreitman, M.M. Low-Temperature Thermal Expansion of Zinc Oxide. Vibrations in Zinc Oxide and Sphalerite Zinc Sulfide. Phys. Rev. B 1971, 4, 1314. [Google Scholar] [CrossRef]
- Ibach, H. Thermal Expansion of Silicon and Zinc Oxide (II). Phys. Status Solidii 1969, 33, 257. [Google Scholar] [CrossRef]
- Talwar, D.N.; Becla, P. Microhardness, Young’s and Shear Modulus in Tetrahedrally Bonded Novel II-Oxides and III-Nitrides. Materials 2025, 18, 494. [Google Scholar] [CrossRef] [PubMed]
- Weinstein, B.A. Pressure-softening of zone-edge TA phonons and the fourfold to sixfold phase change. Phys. Rev. B 2021, 104, 054105. [Google Scholar] [CrossRef]
- Weinstein, B.A.; Zallen, R. Pressure-Raman effects in covalent and molecular solids, in Light Scattering in Solids IV. In Topics in Applied Physics; Cardona, M., Güntherodt, G., Eds.; Springer: Berlin/Heidelberg, Germany, 1984; Volume 54, pp. 463–527. [Google Scholar]
- Weinstein, B.A.; Piermarini, G.J. Raman scattering and phonon dispersion in Si and GaP at very high pressure. Phys. Rev. B 1975, 12, 1172. [Google Scholar] [CrossRef]
- Weinstein, B.A. Phonon dispersion of zinc chalcogenides under extreme pressure and the metallic transformation. Solid State Commun. 1977, 24, 595–598. [Google Scholar] [CrossRef]
- Venkateswaran, U.D.; Cui, L.J.; Weinstein, B.A.; Chambers, F.A. Forward and reverse high-pressure transitions in bulklike AlAs and GaAs epilayers. Phys. Rev. B 1992, 45, 9237. [Google Scholar] [CrossRef] [PubMed]
- Talwar, D.N.; Sherbondy, J.C. Thermal expansion coefficient of 3C–SiC. Appl. Phys. Lett. 1995, 67, 3301–3303. [Google Scholar] [CrossRef]
- Talwar, D.N. Phonon excitations and thermodynamic properties of cubic III nitrides. Appl. Phys. Lett. 2002, 80, 1553–1555. [Google Scholar] [CrossRef]
- Talwar, D.N. Pressure-dependent mode Grüneisen parameters and their impact on thermal expansion coefficient of zinc-blende InN. J. Mater. Sci. 2023, 58, 8379–8397. [Google Scholar] [CrossRef]
- Boer, K.W.; Pohl, U.W. Phonon-induced thermal properties. In Semiconductor Physics; Springer International Publishing: Cham, Switzerland, 2014. [Google Scholar] [CrossRef]
- Valentiner, S.; Wallot, J. Abh, Über, die angigkeit des Ausdehnungskoeffizienten fester Korper von der Temperatur. Ann. Phys. 1915, 46, 837. [Google Scholar] [CrossRef]
- Vaccari, M.; Grisenti, B.; Fornasini, P.; Rocca, F.; Sanson, A. Negative thermal expansion in CuCl: An extended x-ray absorption fine structure study. Phys. Rev. B 2007, 75, 184307. [Google Scholar] [CrossRef]







| Material | (a) | B4 → B1 (a) | Others (See Ref. [59]) | B3 → B1 (a) | Others (See Ref. [59]) | B4 → B3 (a) | Others (See Ref. [59]) |
|---|---|---|---|---|---|---|---|
| ZnO | (GPa) | 12.70 | 6.6–10.1 | 11.81 | 2.0–14.50 | 4.55 | 3.22–26 (b) |
| / (%) | 24.50, 20.20 | 15.5–18 | 24.51, 20.21 | 17.7–19.42 | 24.64, 26.40 |
| zb ZnO | ||
|---|---|---|
| Our | Others (a), (b) | |
| 558 | 525, 517 | |
| 403 | 403, 367 | |
| 551 | 555, 495 | |
| 487 | 444, 442 | |
| 269 | 268, 270 | |
| 128 | 80, 121 | |
| 561 | ||
| 443 | ||
| 264 | ||
| 93 | ||
| ao | 4.504 | 4.520–4.666 |
| 19.19 | 15.1–19.3 | |
| 14.79 | 11.06–15.8 | |
| 7.34 | 7.4–12.8 | |
| 162.6 | ||
| 4.0 | 3.3–4.3 | |
| Pt | 11.8 | 2.0–11.87 |
| 4.63 | ||
| 3.01 | ||
| 0.33 | ||
| RIM (a) | zb ZnO | |
|---|---|---|
| Parameters | P = 0 GPa | P = 8 GPa |
| A | −0.40207 | −0.48198 |
| B | −0.395 | −0.486 |
| C1 | −0.0540 | −0.0590 |
| C2 | −0.0490 | −0.0520 |
| D1 | −0.0088 | −0.01193 |
| D2 | −0.0900 | −0.0880 |
| E1 | −0.0300 | −0.05000 |
| E2 | 0.0600 | 0.09000 |
| F1 | −0.0360 | −0.0400 |
| F2 | 0.12300 | 0.15300 |
| Zeff | 0.9435 | 0.8411 |
| Modes zb ZnO | Our RIM (a) P = 0 | Ab initio Calc. (b,c) P = 0 | Raman Data (d) P = 0 | Others (e) P = 0 | Our RIM (a) P = 8 | RIM (a) | RIM (a) | Others (d) |
|---|---|---|---|---|---|---|---|---|
| 558 | 525, 517 | 558 | 379 | 598 | 5 | 1.16 | 1.31 | |
| 403 | 403, 367 | 403 | 379 | 450 | 5.9 | 1.89 | 2.03 | |
| 551 | 555, 495 | 551 | 523 | 590 | 4.9 | 1.14 | 1.37 | |
| 481 | 444, 442 | 487 | 466, 418 | 532 | 6.4 | 1.72 | 1.85 | |
| 269 | 268, 270 | 269 | 223 | 287 | 2.3 | 1.08 | 1.18 | |
| 127 | 80, 121 | 128 | 144, 93 | 112 | −1.9 | −1.89 | −1.24 | |
| 558 | 561 | 536 | 598 | 5 | 1.18 | 1.42 | ||
| 455 | 443 | 417 | 504 | 6.1 | 1.73 | 1.99 | ||
| 268 | 264 | 257 | 281 | 1.6 | 0.76 | 0.88 | ||
| 87 | 93 | 90 | 80 | −1.0 | −1.36 | −1.71 | ||
| 541 | 595 | 6.8 | 1.62 | |||||
| 481 | 527 | 5.8 | 1.19 | |||||
| 476 | 524 | 6 | 1.62 | |||||
| 249 | 270 | 2.6 | 1.33 | |||||
| 176 | 165 | −1.38 | −0.96 | |||||
| 115 | 102 | −1.6 | −1.79 | |||||
| 539 | 597 | 7.3 | 1.74 | |||||
| 487 | 536 | 6.1 | 1.64 | |||||
| 485 | 515 | 3.8 | 1 | |||||
| 242 | 265 | 2.9 | 1.53 | |||||
| 174 | 159 | −1.9 | −1.33 | |||||
| 142 | 134 | −1.0 | −0.88 |
| Mode | Our Calculations | Experiments |
|---|---|---|
| 2LO (Γ) | 1196 | 1200 (a), (b) |
| LO + TO(X) | 1122 | 1149, (a) 1160 (b) |
| LO + TO(L) | 1102 | 1084, (a) 1080 (b) |
| 2 TO(L) | 1008 | 986, (a) 990 (b) |
| TO + LA(X) | 785 | 800–820, (a) 810 (b) |
| LO + TA | 678 | 675, (a) 680 (b) |
| TO + TA(L) | 584 | Overlaps with first order |
| 2LA(K) | 540 | 540, (a) 530 (b) |
| LO-LA(K) | 325 | 334, (a) 330, (b) 331 (c) |
| LO-LA(X) | 303 | 302 (d) |
| 2TA(X) | 224 | 208, (a) 205, (b) 213 (c) |
| zb ZnO | |||||
|---|---|---|---|---|---|
| Quantity | RIM, P = 0 GPa (a) | Others (b) | Others (c) | RIM, P = 8 GPa (a) | |
| 487 | 466 | ||||
| 350 @ 32 K | 337 @ 27 K | ||||
| 661 | 707 | ||||
| 39.43 | 40.0, 41.84 | 38.4 | |||
| −0.41 | 0.04 | −0.62 | |||
| 3.16 | 2.88 | 1.51 | |||
| 4.37 | 4.75 | 2.92 | |||
| 8.17 | 8.3 | 4.98 | |||
| 2.16 | 2.13 | 1.99 | |||
Disclaimer/Publisher’s Note: The statements, opinions and data contained in all publications are solely those of the individual author(s) and contributor(s) and not of MDPI and/or the editor(s). MDPI and/or the editor(s) disclaim responsibility for any injury to people or property resulting from any ideas, methods, instructions or products referred to in the content. |
© 2025 by the authors. Licensee MDPI, Basel, Switzerland. This article is an open access article distributed under the terms and conditions of the Creative Commons Attribution (CC BY) license (https://creativecommons.org/licenses/by/4.0/).
Share and Cite
Talwar, D.N.; Becla, P. Systematic Simulations of Structural Stability, Phonon Dispersions, and Thermal Expansion in Zinc-Blende ZnO. Nanomaterials 2025, 15, 308. https://doi.org/10.3390/nano15040308
Talwar DN, Becla P. Systematic Simulations of Structural Stability, Phonon Dispersions, and Thermal Expansion in Zinc-Blende ZnO. Nanomaterials. 2025; 15(4):308. https://doi.org/10.3390/nano15040308
Chicago/Turabian StyleTalwar, Devki N., and Piotr Becla. 2025. "Systematic Simulations of Structural Stability, Phonon Dispersions, and Thermal Expansion in Zinc-Blende ZnO" Nanomaterials 15, no. 4: 308. https://doi.org/10.3390/nano15040308
APA StyleTalwar, D. N., & Becla, P. (2025). Systematic Simulations of Structural Stability, Phonon Dispersions, and Thermal Expansion in Zinc-Blende ZnO. Nanomaterials, 15(4), 308. https://doi.org/10.3390/nano15040308

