Development of High-Efficiency Perovskite Solar Cells and Their Integration with Machine Learning
Abstract
1. Introduction
2. Material and Device Structure
2.1. Material Structure
2.2. Device Structure of PSCs
2.3. Comparative Analysis of Different Thin-Film Preparation Technologies
2.4. All-Perovskite Tandem Solar Cells
3. Strategies for Performance Improvement of PSCs
3.1. Regulation of Element Composition
3.1.1. Regulation of A-Site Ions
3.1.2. Regulation of B-Site Ions
3.1.3. Regulation of X-Site Ions
3.2. Regulation of Perovskite Charge Transport Layers
3.2.1. ETL Interface Modification
3.2.2. HTL Interface Modification
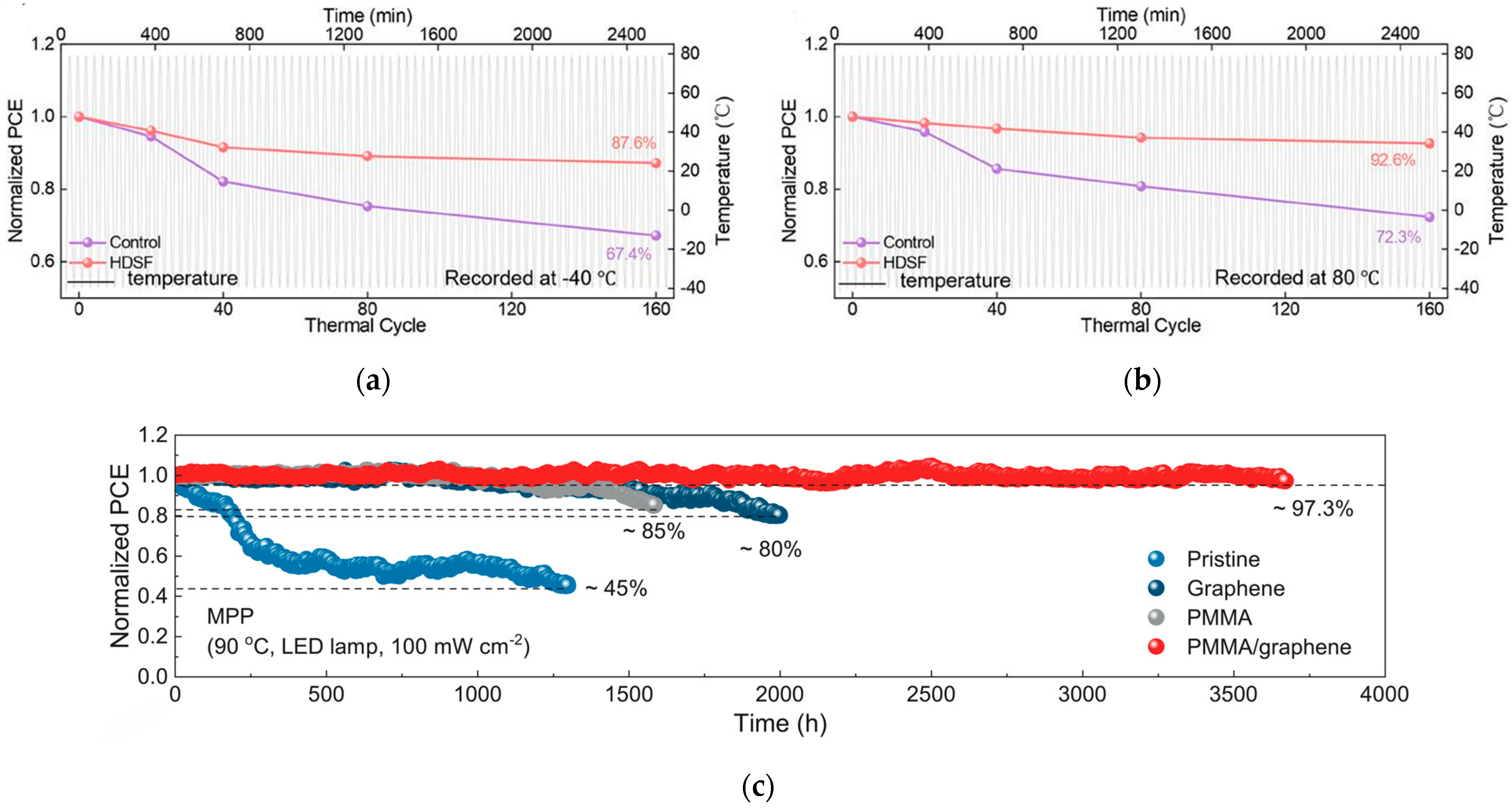
3.3. Research on Stability
4. Machine Learning Applications in PSCs
4.1. Open-Access Databases and Analysis Tools
4.2. Data-Driven Material Screening
4.3. Accurate Prediction of Material Properties
4.4. Intelligent Optimization of Fabrication Processes


5. Conclusions and Outlook
5.1. Main Challenges of PSCs
5.1.1. Long-Term Stability Issues
5.1.2. Large Area Preparation and Efficiency Balance
5.2. Future Outlook of PSCs
5.2.1. Strategies for Stability
5.2.2. Integration of PSCs and Machine Learning (ML)
Author Contributions
Funding
Data Availability Statement
Acknowledgments
Conflicts of Interest
Abbreviations
| PSCs | Perovskite solar cells |
| PCE | Power conversion efficiency |
| HTL | Hole transport |
| ML | Machine learning |
| MA | Methylammonium cation |
| FA | Formamidinium |
| Cs | Cesium |
| CIGs | Copper indium gallium selenide |
| VOC | Open-circuit voltage |
| JSC | Short-circuit current density |
| ESL | electron selective layer |
| ITO | indium tin oxide |
| DEA | diethanolamine |
| EDAI | Ethylenediamine hydroiodid |
| FAI | Formamidinium iodide |
| HTM | Hole transport materials |
| SAM | Self-assembled monolayer |
| PDMs | Polydimethylsiloxane |
| FAIR | Findable, Accessable, Interoperable, Reusable |
| FF | Fill factor |
| CEP | Coarse estimation procedure |
| Ensc | Excess non-stoichiometric components |
| Pac | Perovskite additive compounds |
| RMSE | Root mean square error |
| ANN | Artificial neural networks |
| PCEPM | PCE prediction model |
References
- Li, B.R.; Fang, Z.M.; Wang, A.L.; Luo, L.; Zhang, L.Z.; Li, L.Z.; Ding, J.N. Research progress of perovskite solar cells. Chem. Ind. Eng. Prog. 2025, 44, 2598–2624. [Google Scholar] [CrossRef]
- Jiang, B.H.; Gao, Z.J.; Lung, C.Y.; Shi, Z.E.; Du, H.Y.; Su, Y.W.; Shih, H.S.; Lee, K.M.; Hung, H.H.; Chan, C.K.; et al. Enhancing the Efficiency of Indoor Perovskite Solar Cells through Surface Defect Passivation with Coplanar Heteroacene Cored A-D-A-type Molecules. Adv. Funct. Mater. 2024, 34, 2312819. [Google Scholar] [CrossRef]
- Wei, Q.Y.; Zheng, D.X.; Liu, L.; Liu, J.S.; Du, M.Y.; Peng, L.; Wang, K.; Liu, S.Z. Fusing science with industry: Perovskite photovoltaics moving rapidly into industrialization. Adv. Mater. 2024, 36, 2406295. [Google Scholar] [CrossRef]
- Mariotti, S.; Köhnen, E.; Scheler, F.; Sveinbjörnsson, K.; Zimmermann, L.; Piot, M.; Yang, F.J.; Li, B.; Warby, J.; Musiienko, A.; et al. Interface engineering for high-performance, triple-halide perovskite-silicon tandem solar cells. Science 2023, 381, 63–69. [Google Scholar] [CrossRef] [PubMed]
- Wang, P.; Wu, Y.H.; Cai, B.; Ma, Q.S.; Zheng, X.J.; Zhang, W.H. Solution-processable perovskite solar cells toward commercialization: Progress and challenges. Adv. Funct. Mater. 2019, 29, 1807661. [Google Scholar] [CrossRef]
- Zhang, M.M.; Hu, W.P.; Shang, Y.B.; Zhou, W.R.; Zhang, W.F.; Ynag, S.F. Surface passivation of perovskite film by sodium toluenesulfonate for highly efficient solar cells. Sol. RRL 2020, 4, 2000113. [Google Scholar] [CrossRef]
- Fei, L.Y.; Liang, Y.Y.; Wang, N.N.; Zhu, L.; Wang, J.P. Machine learning for perovskite optoelectronics: A review. Adv. Photonics 2024, 6, 054001. [Google Scholar] [CrossRef]
- Xiao, L.X.; Zou, D.C. Perovskite Solar Cells; Peking University Press: Beijing, China, 2020. [Google Scholar]
- Lusheng, L.; Peng, G. Lead-Free Hybrid Perovskite Absorbers for Viable Application: Can We Eat the Cake and Have It too? Adv. Sci. 2018, 5, 1700331. [Google Scholar] [CrossRef]
- Anna, J.; Douglas, H.; Hayden, A.; Claire, H.; Sara, R.; Jerry, H.; Wang, H.B.; Josef, W.; Michael, L.; Ram, S. Crystal and Electronic Structures of Complex Bismuth Iodides A3Bi2I9 (A = K, Rb, Cs) Related to Perovskite: Aiding the Rational Design of Photovoltaics. Chem. Mater. 2015, 27, 7137–7148. [Google Scholar] [CrossRef]
- Harikesh, P.; Hemant, K.; Biplab, G.; Teek, W.; Yin, T.; Krishnamoorthy, T.; Mark, L.; Klaus, W.; Teek, M.; Li, S.Z.; et al. Rb as an Alternative Cation for Templating Inorganic Lead-Free Perovskites for Solution Processed Photovoltaic. Chem. Mater. 2016, 28, 7496–7504. [Google Scholar] [CrossRef]
- Peng, C.; Yang, B.; Song, W.C.; Lyu, M.Q.; Yun, J.H.; Wang, L.Z. In Situ Growth of 2D Perovskite Capping Layer for Stable and Efficient Perovskite Solar Cells. Adv. Funct. Mater. 2018, 28, 1706923. [Google Scholar] [CrossRef]
- Kojima, A.; Teshima, K.; Shirai, Y.; Miyasaka, T. Organometal halide perovskites as visible-light sensitizers for photovoltaic cells. J. Am. Chem. Soc. 2009, 131, 6050–6051. [Google Scholar] [CrossRef]
- Jeon, N.J.; Noh, J.H.; Kim, Y.C.; Yang, W.S.; Ryu, S.C.; Seok, S.I. Solvent engineering for high-performance inorganic-organic hybrid perovskite solar cells. Nat. Mater. 2014, 13, 897. [Google Scholar] [CrossRef]
- Liu, Z.; Lin, R.; Wei, M.; Yin, M.R.; Wu, P.; Li, M.Y.; Li, L.D.; Wang, Y.R.; Chen, G.; Carnevali, V.; et al. All-perovskite tandem solar cells achieving >29% efficiency with improved (100) orientation in wide-bandgap perovskites. Nat. Mater. 2025, 24, 252–259. [Google Scholar] [CrossRef]
- Min, H.Y.; Duan, C.H.; Yan, K.Y. Durable all-inorganic perovskite tandem photovoltaics. Chin. Sci. Bull. 2025, 70, 301–303. [Google Scholar]
- NREL Best Research Cell Efficiencies. Available online: https://www.nrel.gov/pv/cell-efficiency.html (accessed on 1 July 2025).
- Filip, M.; Eperon, G.; Snaith, H.; Giustino, F. Steric engineering of metal-halide perovskites with tunable optical band gaps. Nat. Commun. 2014, 5, 5757. [Google Scholar] [CrossRef] [PubMed]
- Liu, L.; Xiao, H.; Jin, K.; Xiao, Z.; Du, X.Y.; Yan, K.Y.; Hao, F.; Bao, Q.Y.; Yi, C.Y.; Liu, F.Y.; et al. 4-Terminal Inorganic Perovskite/Organic Tandem Solar Cells Offer 22% Efficiency. Nano-Micro Lett. 2023, 15, 23. [Google Scholar] [CrossRef]
- Jiang, Q.; Zhu, K. Rapid advances enabling high-performance inverted perovskite solar cells. Nat. Rev. Mater. 2024, 9, 399–419. [Google Scholar] [CrossRef]
- Hui, K.; Chang, L.; Jeong, I.; Ki, L.; Moehl, T.; Marchioro, A.; Soo, M.; Humphry, R.; Jun, Y.; Moser, J.; et al. Lead iodide perovskite sensitized allsolid-state submicron thin film mesoscopic solar cell with efficiency exceeding 9%. Sci. Rep. 2012, 2, 591. [Google Scholar] [CrossRef]
- Xian, W.M.; Bang, D.D.; Xue, Q.C.; Qian, L.; Jing, L. Optimizating TiO2 electron transport layer for MAPbBr3 perovskite solar cells by way of Ga doping. J. Alloys Compd. 2024, 992, 174647. [Google Scholar] [CrossRef]
- Fang, D.J.; Niu, T.Q.; Chen, M.Z.; Zhang, J.X.; Zhang, Z.; Zhou, S.; Liu, H.; Chen, G.; Fu, N.Q.; Xue, Q.F.; et al. Lignin carbon dots as effective dopants and passivators for SnO2 electron transport layers to achieve high-performance perovskite solar cells. J. Power Sources 2025, 634, 236497. [Google Scholar] [CrossRef]
- Sajid, S.; Alzahmi, S.; Wei, D.; Salem, I.B.; Park, J.; Obaidat, I.M. Diethanolamine Modified Perovskite-Substrate Interface for Realizing Efficient ESL-Free PSCs. Nanomaterials 2023, 13, 250. [Google Scholar] [CrossRef]
- Yang, W.; Lin, Y.; Zhu, W.; Du, F.; Liu, J.; Ren, Y.; Wang, H.; Liao, J.; Yu, D.; Fang, G.; et al. Charge Polarization Tunable Interfaces for Perovskite Solar Cells and Modules. Adv. Mater. 2025, 37, 2502865. [Google Scholar] [CrossRef] [PubMed]
- Chen, W.; Zhou, S.; Cui, H.; Meng, W.; Guan, H.; Zeng, G.; Ge, Y.; Cheng, S.; Yu, Z.; Pu, D.; et al. Universal in situ oxide-based ABX3-structured seeds for templating halide perovskite growth in all-perovskite tandems. Nat. Commun. 2025, 16, 1894. [Google Scholar] [CrossRef]
- Xie, Z.; Luo, H. A universal reverse-cool annealing strategy makes two-dimensional Ruddlesden-popper perovskite solar cells stable and highly efficient with Voc exceeding 1.2 V. EcoMat 2024, 6, e12501. [Google Scholar] [CrossRef]
- Shi, C.; Wang, J.; Lei, X.; Zhou, Q.; Wang, W.; Yang, Z.; Liu, S.; Zhang, J.; Zhu, H.; Chen, R.; et al. Modulating competitive adsorption of hybrid self-assembled molecules for efficient wide-bandgap perovskite solar cells and tandems. Nat. Commun. 2025, 16, 3029. [Google Scholar] [CrossRef]
- Yang, W.S.; Noh, J.H.; Jeon, N.J.; Kim, Y.C.; Ryu, S.; Seo, J.; Seok, S.I. High-performance photovoltaic perovskite layers fabricated through intramolecular exchange. Science 2015, 348, 1234–1237. [Google Scholar] [CrossRef] [PubMed]
- Saliba, M.; Matsui, T.; Domanski, K.; Seo, J.; Ummadisingu, A.; Zakeeruddin, S.M.; Correa, J.; Tress, W.R.; Abate, A.; Hagfeldt, A.; et al. Incorporation of rubidium cations into perovskite solar cells improves photovoltaic performance. Science 2016, 354, 206–2092. [Google Scholar] [CrossRef]
- Chen, Z.; Dong, Q.; Liu, Y.; Bao, C.; Fang, Y.; Lin, Y.; Tang, S.; Wang, Q.; Xiao, X.; Bai, Y.; et al. Thin single crystal perovskite solar cells to harvest below-bandgap light absorption. Nat. Commun. 2017, 8, 1890. [Google Scholar] [CrossRef]
- Tian, B.; Zhang, P.; Liu, T.; Chu, W.; Long, Y.; Xu, P.; Jiang, Y.; Zhang, J.; Tang, Y.; Sun, X.; et al. Interfacial coordination utilizing chelating ligands for operationally stable perovskite solar modules. Energy Environ. Sci. 2024, 17, 9601. [Google Scholar] [CrossRef]
- Chen, X.; Wang, Q.; Wei, H.; Yang, J.; Yao, Y.; Tang, W.; Qiu, W.; Xu, X.; Song, L.; Wu, Y.; et al. Minimizing the buried interfacial energy loss using a fluorine-substituted small molecule for 25.92%-efficiency and stable inverted perovskite solar cells. Energy Environ. Sci. 2024, 17, 7342–7354. [Google Scholar] [CrossRef]
- Liang, Z.; Xu, H.F.; Zhang, Y.; Liu, G.Z.; Chu, S.L.; Tao, Y.L.; Xu, X.X.; Xu, S.D.; Zhang, L.Y.; Chen, X.J.; et al. A Selective Targeting Anchor Strategy Affords Efficient and Stable Ideal-Bandgap Perovskite Solar Cells. Adv. Mater. 2022, 34, 2110241. [Google Scholar] [CrossRef]
- Wang, Y.; Dar, M.I.; Ono, L.K.; Zhang, T.Y.; Kan, M.; Li, Y.W.; Zhang, L.J.; Wang, X.T.; Yang, Y.G.; Gao, X.Y.; et al. Thermodynamically stabilized β-CsPbI3-based perovskite solar cells with efficiencies > 18%. Science 2019, 365, 591–595. [Google Scholar] [CrossRef]
- Li, X.Y.; Zhou, C.C.; Wang, Y.H.; Ding, F.F.; Zhou, H.W.; Zhang, X.X. Sn-Based Light-Absorbing Materials for Perovskite Solar Cells. Prog. Chem. 2019, 31, 882–893. [Google Scholar] [CrossRef]
- Yu, B.B.; Chen, Z.; Zhu, Y.; Wang, Y.; Han, B.; Chen, G.; Zhang, X.; Du, Z.; He, Z. Heterogeneous 2D/3D Tin-Halides Perovskite Solar Cells with Certified Conversion Efficiency Breaking 14%. Adv. Mater. 2021, 33, 2102055. [Google Scholar] [CrossRef] [PubMed]
- Sun, X.; Wu, H.; Li, Z.; Zhu, R.; Li, G.; Su, Z.; Zhang, J.; Gao, X.; Pascual, J.; Abate, A.; et al. Multifunctional Modification of the Buried Interface in Mixed Tin-Lead Perovskite Solar Cells. Angew. Chem. Int. Ed. 2024, 63, e202409330. [Google Scholar] [CrossRef]
- Bai, F.; Hu, Y.H.; Hu, Y.Q.; Qiu, T.; Miao, X.L.; Zhang, S.F. Lead-free, air-stable ultrathin Cs3Bi2I9 perovskite nanosheets for solar cells. Sol. Energy Mater. Sol. Cells 2018, 184, 15–21. [Google Scholar] [CrossRef]
- Chin, X.Y.; Turkay, D.; Steele, J.A.; Tabean, S.; Eswara, S.; Mensi, M.; Fiala, P.; Wolff, C.M.; Paracchino, A.; Artuk, K.; et al. Interface passivation for 31.25% efficient perovskite/silicon tandem solar cells. Science 2023, 381, 59–63. [Google Scholar] [CrossRef]
- Luo, X.; Luo, H.; Li, H.; Xia, R.; Zheng, X.; Huang, Z.; Liu, Z.; Gao, H.; Zhang, X.; Li, S.; et al. Efficient Perovskite/Silicon Tandem Solar Cells on Industrially Compatible Textured Silicon. Adv. Mater. 2023, 35, 2207883. [Google Scholar] [CrossRef] [PubMed]
- Wen, J.; Zhao, Y.C.; Liu, Z.; Gao, H.; Lin, R.X.; Wan, S.S.; Ji, C.L.; Xiao, K.; Gao, Y.; Tian, Y.X.; et al. Steric engineering enables efficient and photostable wide-bandgap perovskites for all-perovskite tandem solar cells. Adv. Mater. 2022, 34, 2110356. [Google Scholar] [CrossRef]
- Yue, W.; Yang, H.; Cai, H.; Xiong, Y.; Zhou, T.; Liu, Y.; Zhao, J.; Huang, F.; Cheng, Y.B.; Zhong, J. Printable high-efficiency and stable FAPbBr3perovskite solar cells for multifunctional building integrated photovoltaics. Adv. Mater. 2023, 35, e2301548. [Google Scholar] [CrossRef]
- Zhao, M.M.; Gu, W.M.; Jiang, K.J.; Jiao, X.N.; Gong, K.; Li, Z.; Zhou, X.Q.; Song, Y.L. 2,2′-Bipyridyl-4,4′-Dicarboxylic Acid Modified Buried Interface of High-Performance Perovskite Solar Cells. Angew. Chem. Int. Ed. 2025, 64, e202418176. [Google Scholar] [CrossRef]
- Fan, B.B.; Gao, H.H.; Li, Y.X.; Wang, Y.W.; Zhao, C.W.; Lin, F.R.; Jen, A.K. Integration of polyoxometalate clusters with self-assembled monolayer for efficient and robust organic solar cells. Joule 2024, 8, 1443–1456. [Google Scholar] [CrossRef]
- Wu, J.X.; Zhu, R.; Li, G.X.; Zhang, Z.H.; Pascual, J.; Wu, H.Z.; Aldamasy, M.H.; Wang, L.Y.; Su, Z.H.; Turren, S.; et al. Inhibiting Interfacial Nonradiative Recombination in Inverted Perovskite Solar Cells with a Multifunctional Molecule. Adv. Mater. 2024, 36, 2407433. [Google Scholar] [CrossRef]
- Wang, J.N.; Hu, S.F.; Zhu, H.; Liu, S.W.; Zhang, Z.Y.; Chen, R.; Wang, J.K.; Shi, C.W.; Zhang, J.Q.; Liu, W.T.; et al. Mercapto-functionalized scaffold improves perovskite buried interfaces for tandem photovoltaics. Nat. Commun. 2025, 16, 4917. [Google Scholar] [CrossRef]
- Yang, Z.C.; Wei, J.; Liu, Y.; Jiang, Y.; Liu, L.C.; Li, Y.H.; Yu, S.M.; Xing, Z.; Wang, Z.; Chen, Y.W.; et al. Radical p-Doping Spiro-OMeTAD for Efficient, Stable and Self-Healing Flexible Perovskite Solar Cells. Adv. Mater. 2025, 37, 2417404. [Google Scholar] [CrossRef]
- Zhang, M.H.; Tai, M.Q.; Li, X.; Zhao, X.Y.; Chen, H.; Yin, X.W.; Zhou, Y.; Zhang, Q.; Han, J.H.; Wang, N.; et al. Improved Moisture Stability of Perovskite Solar Cells Using N719 Dye Molecules. Sol. RRL 2019, 3, 1900345. [Google Scholar] [CrossRef]
- Lin, Y.X.; Lin, Z.C.; Lv, S.L.; Shui, Y.; Zhu, W.J.; Zhang, Z.H.; Yang, W.H.; Zhao, J.B.; Gu, H.; Xia, G.M.; et al. A Nd@C82-polymer interface for efficient and stable perovskite solar cells. Nature 2025, 642, 78–84. [Google Scholar] [CrossRef]
- Xu, X.W.; Du, Q.H.; Kang, H.L.; Gu, X.Y.; Shan, C.W.; Zeng, J.; Dai, T.T.; Yang, Q.; Sun, X.W.; Li, G.Q.; et al. Uniform Molecular Adsorption Energy-Driven Homogeneous Crystallization and Dual-Interface Modification for High Efficiency and Thermal Stability in Inverted Perovskite Solar Cells. Adv. Funct. Mater. 2024, 34, 2408512. [Google Scholar] [CrossRef]
- Mousavi, S.; Shirazi, H.; Ranta, R.; Asghar, M.; Kasurinen, S.; Halme, J.; Vapaavuori, J. Addressing the efficiency loss and degradation of triple cation perovskite solar cells via integrated light managing encapsulation. Mater. Today Energy 2024, 46, 101707. [Google Scholar] [CrossRef]
- Wu, J.; Lan, J.; Wang, R.; Cheng, C.; Wang, W.; Deng, H.; Zheng, Q.; Wei, M.; Li, Y.; Cheng, S. Low-Temperature Encapsulation with Silicone Grease Enhances the Efficiency and Stability of Perovskite Solar Cells Efficiency via Pb0 Defect Passivation. Adv. Funct. Mater. 2025, 35, 2425979. [Google Scholar] [CrossRef]
- Tang, Y.; Zhang, Z.H.; Li, G.X.; Qin, C.C.; Su, Z.H.; Liu, H.R.; Yang, F.; Yang, Y.G.; Aldamasy, M.; Deng, L.L.; et al. Heat-Triggered Dynamic Self-Healing Framework for Variable-Temperature Stable Perovskite Solar Cells. Adv. Mater. 2025, 37, 2420378. [Google Scholar] [CrossRef] [PubMed]
- Li, Q.; Zheng, Y.C.; Wang, H.N.; Liu, X.Y.; Lin, M.Y.; Sui, X.Y.; Leng, X.S.; Liu, D.; Wei, Z.P.; Song, M.Y.; et al. Graphene-polymer reinforcement of perovskite lattices for durable solar cells. Science 2025, 387, 1069–1077. [Google Scholar] [CrossRef]
- Chen, J.R. A brief introduction to the practice of the U.S. Materials Genome Initiative. Glob. Sci. Technol. Econ. Outlook 2020, 35, 1–7. [Google Scholar] [CrossRef]
- Jacobsson, T.J.; Hultqvist, A.; García-Fernández, A. An open-access database and analysis tool for perovskite solar cells based on the FAIR data principles. Nat. Energy 2022, 7, 107–115. [Google Scholar] [CrossRef]
- Beard, E.J.; Cole, J.M. Perovskite- and Dye-Sensitized Solar-Cell Device Databases Auto-generated Using ChemDataExtractor. Sci. Data 2022, 9, 329. [Google Scholar] [CrossRef] [PubMed]
- Mondal, S.; Jain, A.; Maity, S. Exploring the potential of tin-based perovskite-silicon tandem solar cells through numerical analysis: A pathway to sustainable energy innovation. Sol. Energy Mater. Sol. Cell 2024, 271, 112869. [Google Scholar] [CrossRef]
- Zhu, C.; Liu, Y.; Wang, D.; Zhu, Z.; Zhou, P.; Tu, Y.; Yang, G.; Chen, H.; Zang, Y.; Du, J.; et al. Exploration of highly stable and highly efficient new lead-free halide perovskite solar cells by machine learning. Cell Rep. Phys. Sci. 2024, 5, 102321. [Google Scholar] [CrossRef]
- Zhang, Z.; Zhang, Y.; Liu, S. Integrative approach of machine learning and symbolic regression for stability prediction of multicomponent perovskite oxides and high-throughput screening. Comput. Mater. Sci. 2024, 236, 236112889. [Google Scholar] [CrossRef]
- Li, Y.; Zhu, R.; Wang, Y.; Feng, L.; Liu, L. Center-environment deep transfer machine learning across crystal structures: From spinel oxides to perovskite oxides. NPJ Comput. Mater. 2023, 9, 109. [Google Scholar] [CrossRef]
- Xu, J.; Chen, H.; Grater, L.; Liu, C.; Yang, Y.; Teale, S.; Maxwell, A.; Mahesh, S.; Wan, H.; Chang, Y.; et al. Anion optimization for bifunctional surface passivation in perovskite solar cells. Nat. Mater. 2023, 22, 1507–1514. [Google Scholar] [CrossRef]
- Wu, J.C.; Torresi, L.; Hu, M.M.; Reiser, P.; Zhang, J.Y.; Rohca, J.S.; Wang, L.Y.; Xie, Z.Q.; Zhang, K.C.; Park, B.; et al. Inverse design workflow discovers hole-transport materials tailored for perovskite solar cells. Science 2024, 386, 1256–1264. [Google Scholar] [CrossRef] [PubMed]
- Zong, L.Z.; Chao, G.R.; Wen, L.L.; Peng, H.; Yong, Z.Y. Machine Learning-Enabled Optical Architecture Design of Perovskite Solar Cells. J. Phys. Chem. Lett. 2024, 15, 3835–3842. [Google Scholar] [CrossRef]
- Dan, L.; Ernie, C.M.; Shafriza, N.B.; Liu, X.C.; Tang, J.; Cui, H.Y.; Su, H.L.; Xiao, Q.L.; Gong, S.Y. A machine learning model with crude estimation of property strategy for performance prediction of perovskite solar cells based on process optimization. APL Mater. 2024, 12, 121105. [Google Scholar] [CrossRef]
- Liu, W.; Meng, N.; Huo, X.; Lu, Y.; Zhang, Y.; Huang, X.; Liang, Z.; Zaho, S.; Qiao, B.; Liang, Z.Q.; et al. Machine learning enables intelligent screening of interface materials towards minimizing voltage losses for p-i-n type perovskite solar cells. J. Energy Chem. 2023, 83, 128–137. [Google Scholar] [CrossRef]
- Zi, C.M.; Shuang, P.; Jing, W.; Min, Y.G.; Chen, Y.H.; Xue, Q.F. Machine learning will revolutionize perovskite solar cells. Innovation 2024, 5, 100602. [Google Scholar] [CrossRef]
- Nagasawa, K.; Suzuki, S.; Yamamoto, T. Random forest-based machine learning screening method for polymer-fullerene organic photovoltaic conjugate molecular design. Sol. Mater. Sol. Cells 2021, 223, 111092. [Google Scholar]
- Qi, Z.; Han, W.; Qiang, Z.Q.; Ullah, A.; Zhong, X.Z.; Wei, Y.L.; Zhang, C.Y.; Xu, R.D.; Wolf, S.; Wang, K. Machine-Learning-Assisted Design of Buried-Interface Engineering Materials for High-Efficiency and Stable Perovskite Solar Cells. ACS Energy Lett. 2024, 9, 5924–5934. [Google Scholar] [CrossRef]



























Disclaimer/Publisher’s Note: The statements, opinions and data contained in all publications are solely those of the individual author(s) and contributor(s) and not of MDPI and/or the editor(s). MDPI and/or the editor(s) disclaim responsibility for any injury to people or property resulting from any ideas, methods, instructions or products referred to in the content. |
© 2025 by the authors. Licensee MDPI, Basel, Switzerland. This article is an open access article distributed under the terms and conditions of the Creative Commons Attribution (CC BY) license (https://creativecommons.org/licenses/by/4.0/).
Share and Cite
Gao, S.; Peng, R.; Ren, K.; Yu, L.; Jiang, Q.; Shen, Z.; Yue, S.; Wang, Z. Development of High-Efficiency Perovskite Solar Cells and Their Integration with Machine Learning. Nanomaterials 2025, 15, 1608. https://doi.org/10.3390/nano15211608
Gao S, Peng R, Ren K, Yu L, Jiang Q, Shen Z, Yue S, Wang Z. Development of High-Efficiency Perovskite Solar Cells and Their Integration with Machine Learning. Nanomaterials. 2025; 15(21):1608. https://doi.org/10.3390/nano15211608
Chicago/Turabian StyleGao, Shihao, Ruowen Peng, Kuankuan Ren, Lina Yu, Qi Jiang, Zhanwei Shen, Shizhong Yue, and Zhijie Wang. 2025. "Development of High-Efficiency Perovskite Solar Cells and Their Integration with Machine Learning" Nanomaterials 15, no. 21: 1608. https://doi.org/10.3390/nano15211608
APA StyleGao, S., Peng, R., Ren, K., Yu, L., Jiang, Q., Shen, Z., Yue, S., & Wang, Z. (2025). Development of High-Efficiency Perovskite Solar Cells and Their Integration with Machine Learning. Nanomaterials, 15(21), 1608. https://doi.org/10.3390/nano15211608

