Preparation of Zwitterionic Sulfobetaines and Study of Their Thermal Properties and Nanostructured Self-Assembling Features
Abstract
1. Introduction
2. Materials and Methods
2.1. Materials
2.2. Synthesis of Zwitterionic Monomers and Amphiphilic Zwitterionic Polymers
2.2.1. Preparation of Zwitterionic Monomers
Synthesis of Sulfobetaine 1-Vinylimidazole
Synthesis of Sulfobetaine 2-Vinylpyridine
Synthesis of Sulfobetaine 4-Vinylpyridine
2.2.2. Preparation of Zwitterionic Polymers
Polymerization of DMAPMAPS
Polymerization of SB1VI
Polymerization of SB2VP
Polymerization of SB4VP
3. Polymer Characterization
3.1. NMR Characterization
3.2. FTIR Measurement
3.3. CHNS Measurement
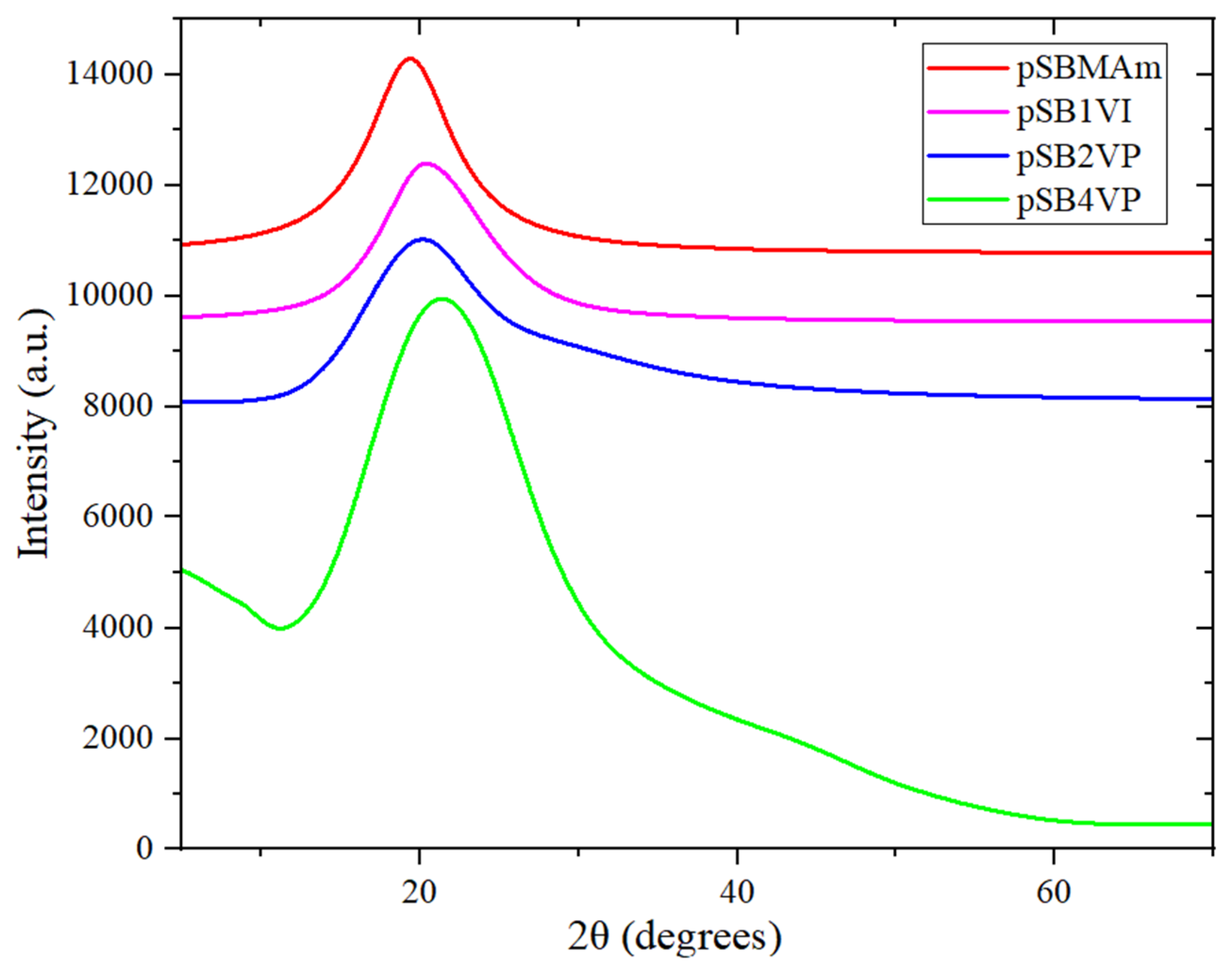
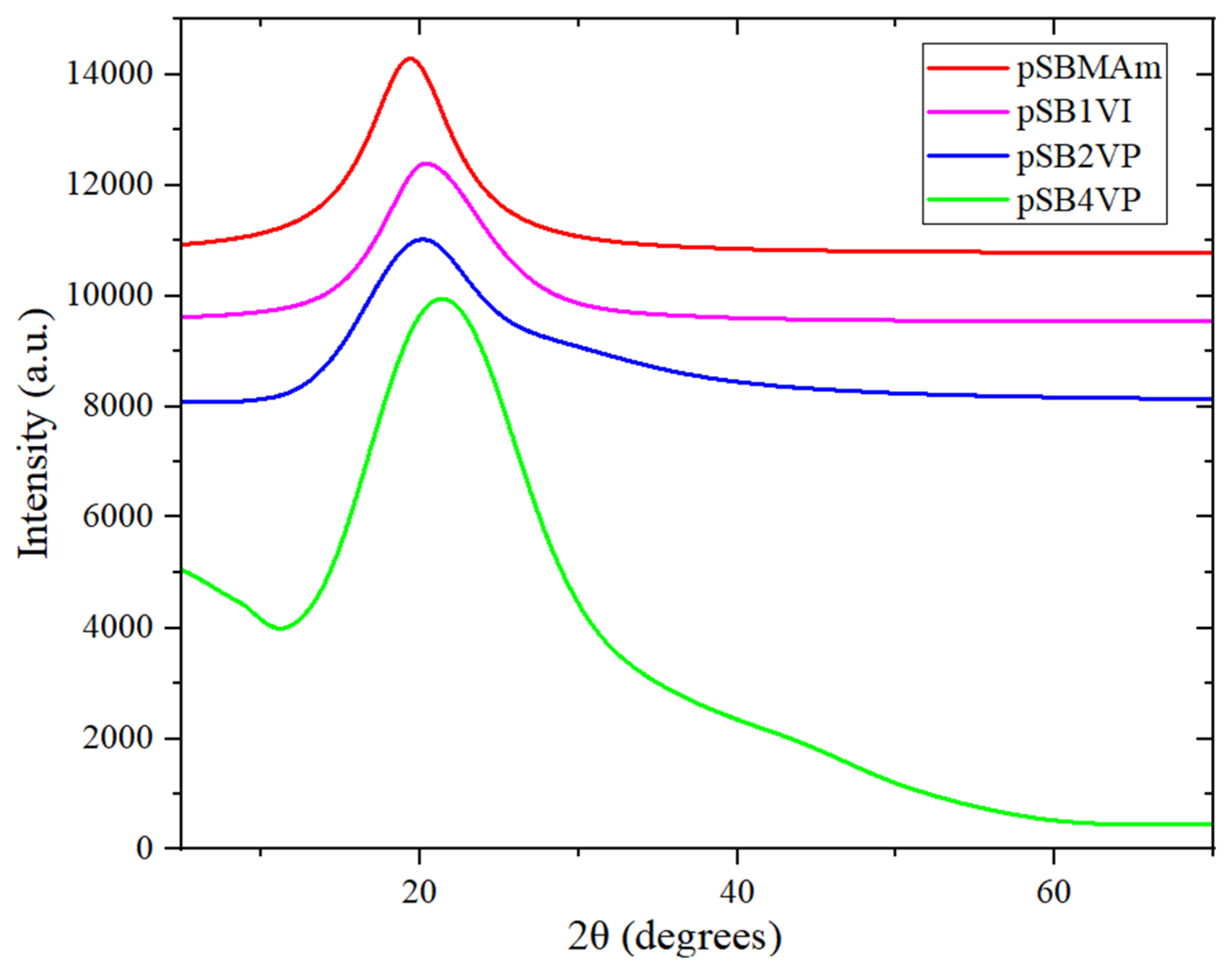
3.4. XRD Measurement
3.5. Characterization of Self-Assembled Morphology
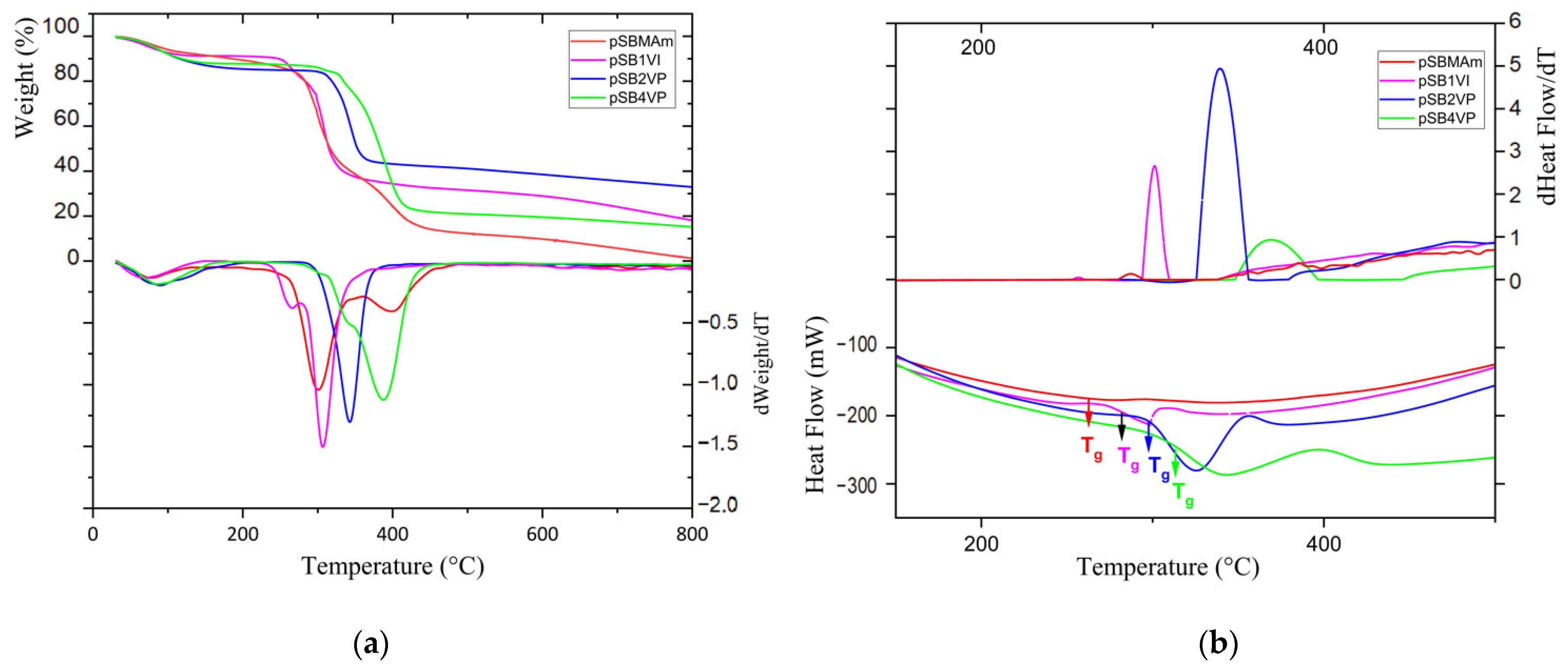
3.6. Thermal Stability of Synthesized Sulfobetaine
3.7. Characterization of Molecular Weight
4. Results and Discussion
4.1. Monomer and Polymer Characterization
4.2. Structural Characterization
4.3. Thermal Analysis
4.4. Self-Assembly and Molecular Weight Analysis


5. Conclusions
Author Contributions
Funding
Data Availability Statement
Conflicts of Interest
References
- Zhang, M.; Yu, P.; Xie, J.; Li, J. Recent Advances of Zwitterionic-Based Topological Polymers for Biomedical Applications. J. Mater. Chem. B 2022, 10, 2338–2356. [Google Scholar] [CrossRef]
- Racovita, S.; Trofin, M.-A.; Loghin, D.F.; Zaharia, M.-M.; Bucatariu, F.; Mihai, M.; Vasiliu, S. Polybetaines in Biomedical Applications. Int. J. Mol. Sci. 2021, 22, 9321. [Google Scholar] [CrossRef] [PubMed]
- Pintossi, D.; Saakes, M.; Borneman, Z.; Nijmeijer, K. Tailoring the surface chemistry of anion exchange membranes with zwitterions: Toward antifouling RED membranes. ACS Appl. Mater. Interfaces 2021, 13, 18348–18357. [Google Scholar] [CrossRef]
- Wang, X.; Tian, L.; Wang, Y.; Chen, Q. Zwitterionic Polymers in Drug Delivery: A Review. Wiley Interdiscip. Rev. Nanomed. Nanobiotechnol. 2022, 14, e1739. [Google Scholar] [CrossRef]
- Ziemann, E.; Coves, T.; Levin, O.; Bernstein, R. Zwitterion polymer brushes on porous membranes: Characterization, tribology, performance, and the effect of electrolyte anions. ACS Appl. Polym. Mater. 2020, 2, 4613–4625. [Google Scholar] [CrossRef]
- Lau, S.K.; Yong, W.F. Recent Progress of Zwitterionic Materials as Antifouling Membranes for Ultrafiltration, Nanofiltration, and Reverse Osmosis. ACS Appl. Polym. Mater. 2021, 3, 4390–4412. [Google Scholar] [CrossRef]
- Schönemann, E.; Koc, J.; Karthäuser, J.F.; Özcan, O.; Schanzenbach, D.; Schardt, L.; Laschewsky, A. Sulfobetaine methacrylate polymers of unconventional polyzwitterion architecture and their antifouling properties. Biomacromolecules 2021, 22, 1494–1508. [Google Scholar] [CrossRef] [PubMed]
- Zhengis, A.; Amrenova, Y.; Yergesheva, A.; Kanzhigitova, D.; Imekova, G.; Toktarbay, Z.; Toktarbaiuly, O.; Abutalip, M.; Nuraje, N. Structural Studies and Applications of Sulfobetaine-Based Polybetaines at Interfaces. Eur. J. Chem. 2024, 29, 24–32. [Google Scholar] [CrossRef]
- Ishihara, K. Biomimetic Materials Based on Zwitterionic Polymers Toward Human-Friendly Medical Devices. Sci. Technol. Adv. Mater. 2022, 23, 498–524. [Google Scholar] [CrossRef] [PubMed]
- Lv, W.; Wang, Y.; Fu, H.; Liang, Z.; Huang, B.; Jiang, R.; Wu, J.; Zhao, Y. Recent Advances of Multifunctional Zwitterionic Polymers for Biomedical Application. Acta Biomater. 2024, 181, 19–45. [Google Scholar] [CrossRef] [PubMed]
- Ghosh, R.; Wong, W.W.; Reimers, T.; Radzanowski, A.; Ruiz, J.C.; Coughlin, E.B. Amphiphilic–Zwitterionic Block Polymers. Polym. Chem. 2024, 15, 622–630. [Google Scholar] [CrossRef]
- Wen, P.; Ke, W.; Dirisala, A.; Toh, K.; Tanaka, M.; Li, J. Stealth and pseudo-stealth nanocarriers. Adv. Drug Deliv. Rev. 2023, 198, 114895. [Google Scholar] [CrossRef]
- Wang, C.; Surat’Man, N.E.B.; Chang, J.J.; Ong, Z.L.; Li, B.; Fan, X.; Loh, X.J.; Li, Z. Polyelectrolyte Hydrogels for Tissue Engineering and Regenerative Medicine. Chem. Asian J. 2022, 17, e202200604. [Google Scholar] [CrossRef]
- Clark, J.A.; Prabhu, V.M.; Douglas, J.F. Molecular Dynamics Simulation of the Influence of Temperature and Salt on the Dynamic Hydration Layer in a Model Polyzwitterionic Polymer PAEDAPS. J. Phys. Chem. B 2023, 127, 8185–8198. [Google Scholar] [CrossRef] [PubMed]
- Lin, C.H.; Luo, S.C. Zwitterionic Conducting Polymers: From Molecular Design, Surface Modification, and Interfacial Phenomenon to Biomedical Applications. Langmuir 2022, 38, 7383–7399. [Google Scholar] [CrossRef] [PubMed]
- Deng, L.; Li, S.; Qin, Y.; Zhang, L.; Chen, H.; Chang, Z.; Hu, Y. Fabrication of antifouling thin-film composite nanofiltration membrane via surface grafting of polyethyleneimine followed by zwitterionic modification. J. Membr. Sci. 2021, 619, 118564. [Google Scholar] [CrossRef]
- Saha, B.; Boykin, J.; Chung, H. Unveiling the Architectural Impact on the Salt-Tunable Adhesion Performance and Toughness of Polyzwitterions. J. Am. Chem. Soc. 2024, 146, 23467–23475. [Google Scholar] [CrossRef]
- Qu, K.; Yuan, Z.; Wang, Y.; Song, Z.; Gong, X.; Zhao, Y.; Mu, Q.; Zhan, Q.; Xu, W.; Wang, L. Structures, Properties, and Applications of Zwitterionic Polymers. ChemPhysMater 2022, 1, 294–309. [Google Scholar] [CrossRef]
- Lin, W.; Wei, X.; Liu, S.; Zhang, J.; Yang, T.; Chen, S. Recent Advances in Mechanical Reinforcement of Zwitterionic Hydrogels. Gels 2022, 8, 580. [Google Scholar] [CrossRef]
- Liu, C.; Li, F.; Li, G.; Li, P.; Hu, A.; Cui, Z.; Cong, Z.; Niu, J. Zwitterionic Hydrogel Electrolyte with Tunable Mechanical and Electrochemical Properties for a Wearable Motion and Thermal Sensor. ACS Appl. Mater. Interfaces 2022, 14, 9608–9617. [Google Scholar] [CrossRef]
- Wang, Y.; He, C.; Chen, C.; Dong, W.; Yang, X.; Wu, Y.; Kong, Q.; Yan, B. Thermoresponsive Self-Healing Zwitterionic Hydrogel as an In Situ Gelling Wound Dressing for Rapid Wound Healing. ACS Appl. Mater. Interfaces 2022, 14, 55342–55353. [Google Scholar] [CrossRef] [PubMed]
- Wu, B.; Wang, N.; Lei, J.-H.; Shen, Y.; An, Q.-F. Intensification of mass transfer for zwitterionic amine monomers in interfacial polymerization to fabricate monovalent salt/antibiotics separation membrane. J. Membr. Sci. 2022, 643, 120050. [Google Scholar] [CrossRef]
- Roberts, J. Nuclear magnetic resonance. J. Am. Chem. Soc. 1958, 80, 501. [Google Scholar]
- Clark, A.; Rosenbaum, M.; Biswas, Y.; Asatekin, A.; Cebe, P. Heat Capacity and Index of Refraction of Polyzwitterions. Polymer 2022, 256, 125176. [Google Scholar] [CrossRef]
- Clark, A.; Taylor, M.E.; Panzer, M.J.; Cebe, P. Interactions Between Ionic Liquid and Fully Zwitterionic Copolymers Probed Using Thermal Analysis. Thermochim. Acta 2020, 691, 178710. [Google Scholar] [CrossRef]
- Yuan, Z.; Li, B.; Gu, W.; Luozhong, S.; Li, R.; Jiang, S. Mitigating the immunogenicity of AAV-mediated gene therapy with an immunosuppressive phosphoserine-containing zwitterionic peptide. J. Am. Chem. Soc. 2022, 144, 20507–20513. [Google Scholar] [CrossRef]
- Han, P.X.; Kou, Y.; Asatekin, A. Zwitterionic copolymer self-assembly for fouling resistant, high flux membranes with size-based small molecule selectivity. J. Membr. Sci. 2015, 493, 755–765. [Google Scholar] [CrossRef]
- Ziemba, C.; Khavkin, M.; Priftis, D.; Acar, H.; Mao, J.; Benami, M.; Gottlieb, M.; Tirrell, M.V.; Kaufman, Y.; Herzberg, M. Antifouling properties of a self-assembling glutamic acid-lysine zwitterionic polymer surface coating. Langmuir 2018, 35, 1699–1713. [Google Scholar] [CrossRef]
- Zhang, Y.; Liu, Y.; Ren, B.; Zhang, D.; Xie, S.; Chang, Y.; Yang, J.; Wu, J.; Xu, L.; Zheng, J. Fundamentals and applications of zwitterionic antifouling polymers. J. Phys. D 2019, 52, 403001. [Google Scholar] [CrossRef]
- Abutalip, M.; Mahmood, A.; Rakhmetullayeva, R.; Shakhvorostov, A.; Dauletov, Y.; Kudaibergenov, S.; Nuraje, N. Reversible Addition? Fragmentation Chain-Transfer Polymerization of Amphiphilic Polycarboxybetaines and Their Molecular Interactions. Langmuir 2019, 35, 8389–8397. [Google Scholar] [CrossRef]
- Zhao, X.; Abutalip, M.; Afroz, K.; Nuraje, N. Hydrophobically modified polycarboxybetaine: From living radical polymerization to self-assembly. Langmuir 2018, 35, 1606–1612. [Google Scholar] [CrossRef] [PubMed]
- Bengani-Lutz, P.; Converse, E.; Cebe, P.; Asatekin, A. Self-assembling zwitterionic copolymers as membrane selective layers with excellent fouling resistance: Effect of zwitterion chemistry. ACS Appl. Mater. Interfaces 2017, 9, 20859–20872. [Google Scholar] [CrossRef]
- Clark, A.; Biswas, Y.; Taylor, M.E.; Asatekin, A.; Panzer, M.J.; Schick, C.; Cebe, P. Glass-forming ability of polyzwitterions. Macromolecules 2021, 54, 10126–10134. [Google Scholar] [CrossRef]
- Loukopoulos, E.; Abdul-Sada, A.; Viseux, E.M.; Lykakis, I.N.; Kostakis, G.E. Structural diversity and catalytic properties in a family of Ag(I)-benzotriazole based coordination compounds. Cryst. Growth Des. 2018, 18, 5638–5651. [Google Scholar] [CrossRef]
- Goswami, K.G.; Mete, S.; Chaudhury, S.S.; Sar, P.; Ksendzov, E.; Das Mukhopadhyay, C.; Kostjuk, S.V.; De, P. Self-assembly of amphiphilic copolymers with sequence-controlled alternating hydrophilic–hydrophobic pendant side chains. ACS Appl. Polym. Mater. 2020, 2, 2035–2045. [Google Scholar] [CrossRef]
- Cebe, P.; Hu, X.; Kaplan, D.L.; Zhuravlev, E.; Wurm, A.; Arbeiter, D.; Schick, C. Beating the heat-fast scanning melts silk beta sheet crystals. Sci. Rep. 2013, 3, 1130. [Google Scholar] [CrossRef] [PubMed]
- Gao, L.; Shi, L.; An, Y.; Zhang, W.; Shen, X.; Guo, S.; He, B. Formation of spindlelike aggregates and flowerlike arrays of polystyrene-b-poly (acrylic acid) micelles. Langmuir 2004, 20, 4787–4790. [Google Scholar] [CrossRef] [PubMed]
- Mao, H.; Song, Y.; Qian, D.; Liu, D.; Wu, S.; Zhang, Y.; Hisaeda, Y.; Song, X.-M. One-Step Preparation of Flower-Like Poly(styrene-co-zwitterionic ionic liquid) Microspheres with Hierarchical Structures for Supported Acidic Heterogeneous Catalysts. RSC Adv. 2015, 5, 91654–91664. [Google Scholar] [CrossRef]
- Kaner, P.; Rubakh, E.; Asatekin, A. Zwitterion-Containing Polymer Additives for Fouling Resistant Ultrafiltration Membranes. J. Membr. Sci. 2017, 533, 141–159. [Google Scholar] [CrossRef]
- Venault, A.; Lai, M.W.; Jhong, J.F.; Yeh, C.C.; Yeh, L.C.; Chang, Y. Superior Bioinert Capability of Zwitterionic Poly(4-vinylpyridine propylsulfobetaine) Withstanding Clinical Sterilization for Extended Medical Applications. ACS Appl. Mater. Interfaces 2018, 10, 17771–17783. [Google Scholar] [CrossRef] [PubMed]
- Kudaibergenov, S.E. Polyampholytes in Advanced Polymer Science and Emerging Technologies; Taylor & Francis: London, UK, 2024. [Google Scholar] [CrossRef]
- Zhang, J.; Qian, S.; Chen, L.; Wu, M.; Cai, Y.; Mou, X.; Feng, J. Antifouling and antibacterial zwitterionic hydrogels as soft contact lens against ocular bacterial infections. Eur. Polym. J. 2022, 167, 111037. [Google Scholar] [CrossRef]








| Functional Groups (cm−1)/Polymers | SBMAm [36] | pSBMAm | SB1VI [37] | pSB1VI | SB2VP [38] | pSB2VP | SB4VP [39] | pSB4VP |
|---|---|---|---|---|---|---|---|---|
| C-H | - | - | 3108 | 3070 | 3040 | 3040 | 3050 | 3050 |
| C=C | 1610 | - | 1648 | 1648 | 1640 | 1640 | 1590 | 1640 |
| C-N | - | - | 1554 | 1554 | 1310 | 1310 | 1490 | 1460 |
| N-H | 3300 | 3335 | - | - | - | - | - | - |
| C=O | 1650 | 1640 | - | - | - | - | - | - |
| S=O | 1190 1035 | 1166 1032 | 1173 1032 | 1162 1031 | 1190 1030 | 1190 1030 | 1170 1030 | 1170 1030 |
| Polymers | %NE.A. a | %SE.A. a | %HE.A. a | %Ncalc. b | %Scalc. b | %Hcalc. b | %Ccalc. b |
|---|---|---|---|---|---|---|---|
| pSBMAm | 7.31 | 10.52 | 8.20 | 9.51 | 10.89 | 8.22 | 48.95 |
| pSB1VI | 10.54 | 15.29 | 6.35 | 12.95 | 14.83 | 5.59 | 44.02 |
| pSB2VP | 6.27 | 11.72 | 5.24 | 6.16 | 13.98 | 5.71 | 52.39 |
| pSB4VP | 5.36 | 12.15 | 6.59 | 6.16 | 13.98 | 5.71 | 52.39 |
| PZI | Stage | TGA Range (°C) | Mass Loss (%) | Evolved Moiety | Td ± 0.5 (°C) | Tg ± 0.5 (°C) |
|---|---|---|---|---|---|---|
| pSBMAm | I | ~30–180 | 8 | Solvent | 301.03 | 276.52 |
| II | ~283–359 | 44 | Polymer | |||
| III | ~368–400 | 16 | Zwitterionic group [38] | |||
| pSB1VI | I | ~30–200 | 11 | Solvent | 306.93 | 280.11 |
| II | ~297–355 | 36 | Polymer | |||
| pSB2VP | I | ~30–205 | 15 | Solvent | 342.53 | 297.04 |
| II | ~315–361 | 36 | Polymer | |||
| pSB4VP | I | ~30–200 | 13 | Solvent | 387.14 | 313.69 |
| II | ~327–429 | 56 | Polymer |
| PZI\MW | Mn, Da | Mw | Mz | Mp | PĐI |
|---|---|---|---|---|---|
| pSBMAm | 197.241 | 304.020 | 430.360 | 305.276 | 1.541 |
| pSB2VP | 35.810 | 60.822 | 206.875 | 41.394 | 1.698 |
Disclaimer/Publisher’s Note: The statements, opinions and data contained in all publications are solely those of the individual author(s) and contributor(s) and not of MDPI and/or the editor(s). MDPI and/or the editor(s) disclaim responsibility for any injury to people or property resulting from any ideas, methods, instructions or products referred to in the content. |
© 2025 by the authors. Licensee MDPI, Basel, Switzerland. This article is an open access article distributed under the terms and conditions of the Creative Commons Attribution (CC BY) license (https://creativecommons.org/licenses/by/4.0/).
Share and Cite
Amrenova, Y.; Zhengis, A.; Yergesheva, A.; Abutalip, M.; Nuraje, N. Preparation of Zwitterionic Sulfobetaines and Study of Their Thermal Properties and Nanostructured Self-Assembling Features. Nanomaterials 2025, 15, 58. https://doi.org/10.3390/nano15010058
Amrenova Y, Zhengis A, Yergesheva A, Abutalip M, Nuraje N. Preparation of Zwitterionic Sulfobetaines and Study of Their Thermal Properties and Nanostructured Self-Assembling Features. Nanomaterials. 2025; 15(1):58. https://doi.org/10.3390/nano15010058
Chicago/Turabian StyleAmrenova, Yenglik, Arshyn Zhengis, Arailym Yergesheva, Munziya Abutalip, and Nurxat Nuraje. 2025. "Preparation of Zwitterionic Sulfobetaines and Study of Their Thermal Properties and Nanostructured Self-Assembling Features" Nanomaterials 15, no. 1: 58. https://doi.org/10.3390/nano15010058
APA StyleAmrenova, Y., Zhengis, A., Yergesheva, A., Abutalip, M., & Nuraje, N. (2025). Preparation of Zwitterionic Sulfobetaines and Study of Their Thermal Properties and Nanostructured Self-Assembling Features. Nanomaterials, 15(1), 58. https://doi.org/10.3390/nano15010058

