Improved Vth Stability and Gate Reliability of GaN-Based MIS-HEMTs by Employing Alternating O2 Plasma Treatment
Abstract
1. Introduction
2. Device Structure and Fabrication Process
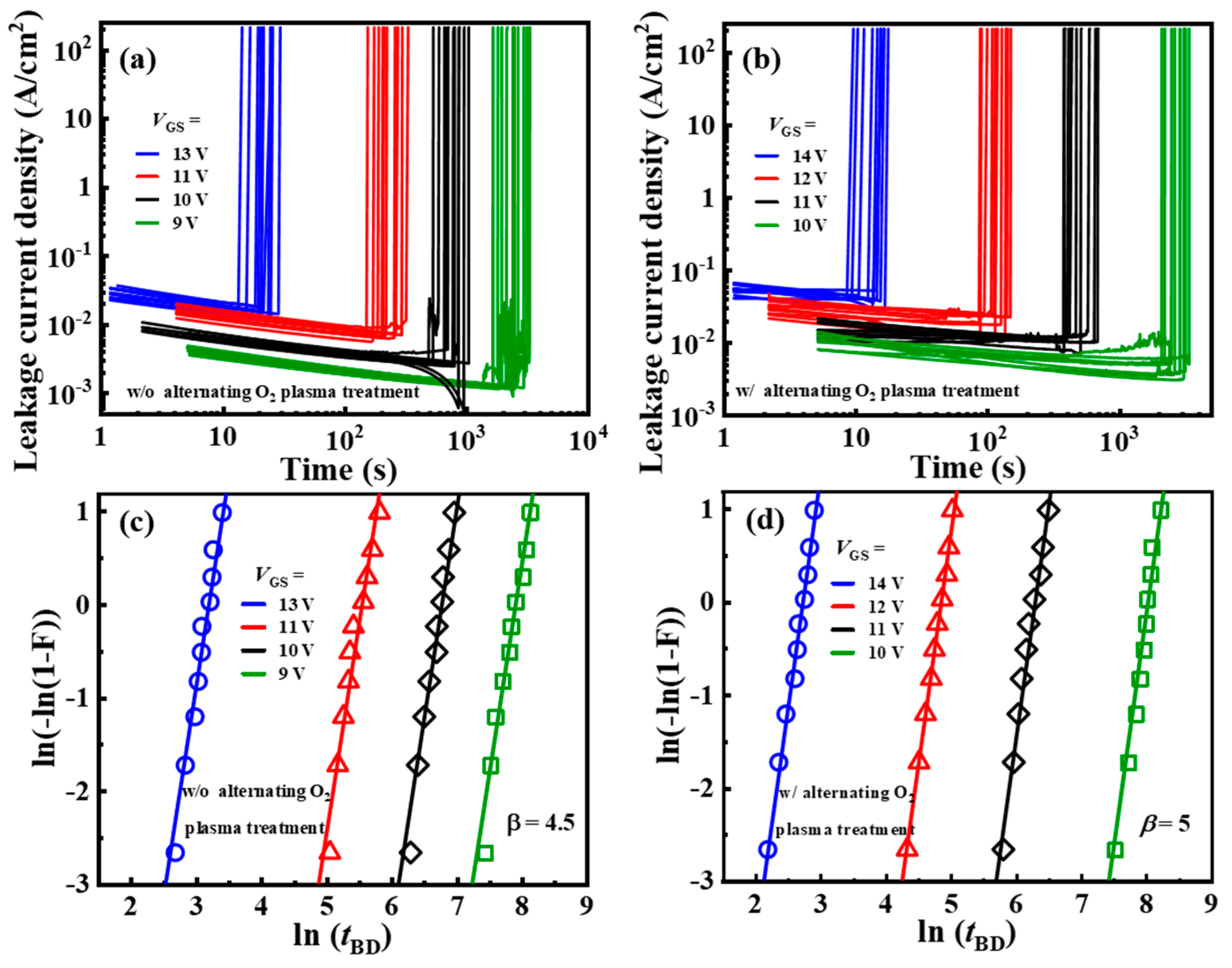
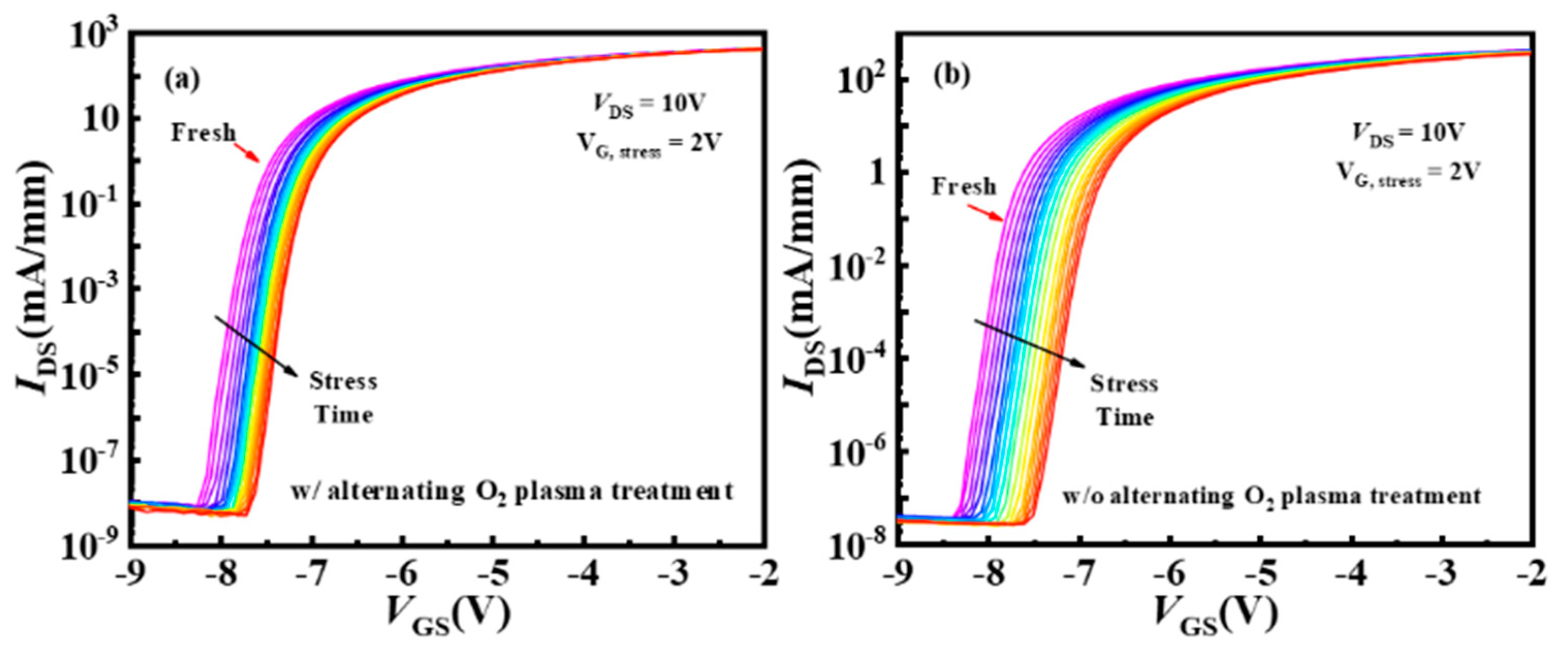
3. Results and Discussion
4. Conclusions
Author Contributions
Funding
Data Availability Statement
Conflicts of Interest
References
- Zhou, Q.; Liu, L.; Zhang, A.B.; Chen, B.W.; Jin, Y.; Shi, Y.Y.; Wang, Z.H.; Chen, W.J.; Zhang, B. 7.6 V Threshold Voltage High-Performance Normally-Off Al2O3/GaN MOSFET Achieved by Interface Charge Engineering. IEEE Electron. Device Lett. 2016, 37, 165–168. [Google Scholar] [CrossRef]
- Abermann, S.; Pozzovivo, G.; Kuzmik, J.; Strasser, G.; Pogany, D.; Carlin, J.F.; Grandjean, N.; Bertagnolli, E. MOCVD of HfO2 and ZrO2 high-k gate dielectrics for InAlN/AlN/GaN MOS-HEMTs. Semicond. Sci. Technol. 2007, 22, 1272–1275. [Google Scholar] [CrossRef]
- De Jaeger, B.; Van Hove, M.; Wellekens, D.; Kang, X.; Liang, H.; Mannaert, G.; Geens, K.; Decoutere, S. Au-free CMOS-compatible AlGaN/GaN HEMT processing on 200 mm Si substrates. In Proceedings of the 24th International Symposium on Power Semiconductor Devices and ICs (ISPSD), Bruges, Belgium, 3–7 June 2012; pp. 49–52. [Google Scholar]
- Van Hove, M.; Boulay, S.; Bahl, S.R.; Stoffels, S.; Kang, X.; Wellekens, D.; Geens, K.; Delabie, A.; Decoutere, S. CMOS Process-Compatible High-Power Low-Leakage AlGaN/GaN MISHEMT on Silicon. IEEE Electron. Device Lett. 2012, 33, 667–669. [Google Scholar] [CrossRef]
- Chen, K.J.; Haberlen, O.; Lidow, A.; Tsai, C.L.; Ueda, T.; Uemoto, Y.; Wu, Y.F. GaN-on-Si Power Technology: Devices and Applications. IEEE Trans. Electron. Devices 2017, 64, 779–795. [Google Scholar] [CrossRef]
- Dutta, G.; DasGupta, N.; DasGupta, A. Low-Temperature ICP-CVD SiNx as Gate Dielectric for GaN-Based MIS-HEMTs. IEEE Trans. Electron. Devices 2016, 63, 4693–4701. [Google Scholar] [CrossRef]
- Nabatame, T.; Maeda, E.; Inoue, M.; Yuge, K.; Hirose, M.; Shiozaki, K.; Ikeda, N.; Ohishi, T.; Ohi, A. Hafnium silicate gate dielectrics in GaN metal oxide semiconductor capacitors. Appl. Phys. Express 2019, 12, 011009. [Google Scholar] [CrossRef]
- Zhu, J.-J.; Ma, X.-H.; Xie, Y.; Hou, B.; Chen, W.-W.; Zhang, J.-C.; Hao, Y. Improved Interface and Transport Properties of AlGaN/GaN MIS-HEMTs with PEALD-Grown AlN Gate Dielectric. IEEE Trans. Electron. Devices 2015, 62, 512–518. [Google Scholar] [CrossRef]
- Freedsman, J.J.; Kubo, T.; Egawa, T. High Drain Current Density E-Mode Al2O3/AlGaN/GaN MOS-HEMT on Si With Enhanced Power Device Figure-of-Merit (4 × 108 V2 Ω−1cm−2). IEEE Trans. Electron. Devices 2013, 60, 3079–3083. [Google Scholar] [CrossRef]
- Huang, S.; Yang, S.; Roberts, J.; Chen, K.J. Threshold Voltage Instability in Al2O3/GaN/AlGaN/GaN Metal-Insulator-Semiconductor High-Electron Mobility Transistors. Jpn. J. Appl. Phys. 2011, 50, 110202. [Google Scholar] [CrossRef]
- Ye, P.D.; Yang, B.; Ng, K.K.; Bude, J.; Wilk, G.D.; Halder, S.; Hwang, J.C.M. GaN metal-oxide-semiconductor high-electron-mobility-transistor with atomic layer deposited Al2O3 as gate dielectric. Appl. Phys. Lett. 2005, 86, 063501. [Google Scholar] [CrossRef]
- Kubo, T.; Freedsman, J.J.; Iwata, Y.; Egawa, T. Electrical properties of GaN-based metal-insulator-semiconductor structures with Al2O3 deposited by atomic layer deposition using water and ozone as the oxygen precursors. Semicond. Sci. Technol. 2014, 29, 045004. [Google Scholar] [CrossRef]
- Kang, M.-J.; Eom, S.-K.; Kim, H.-S.; Lee, C.-H.; Cha, H.-Y.; Seo, K.-S. Normally-off recessed-gate AlGaN/GaN MOS-HFETs with plasma enhanced atomic layer deposited AlOxNy gate insulator. Semicond. Sci. Technol. 2019, 34, 055018. [Google Scholar] [CrossRef]
- Liu, C.; Wang, H.X.; Yang, S.; Lu, Y.Y.; Liu, S.H.; Tang, Z.K.; Jiang, Q.M.; Huang, S.; Chen, K.J. Normally-off GaN MIS-HEMT with Improved Thermal Stability in DC and Dynamic Performance. In Proceedings of the 27th International Symposium on Power Semiconductor Devices and ICs (ISPSD), Hong Kong, China, 10–14 May 2015; pp. 213–216. [Google Scholar]
- Lagger, P.; Ostermaier, C.; Pobegen, G.; Pogany, D. Towards Understanding the Origin of Threshold Voltage Instability of AlGaN/GaN MIS-HEMTs. In Proceedings of the IEEE International Electron Devices Meeting (IEDM), San Francisco, CA, USA, 10–13 December 2012. [Google Scholar]
- Tokuda, H.; Asubar, J.T.; Kuzuhara, M. AlGaN/GaN metal-insulator-semiconductor high-electron mobility transistors with high on/off current ratio of over 5 × 1010 achieved by ozone pretreatment and using ozone oxidant for Al2O3 gate insulator. Jpn. J. Appl. Phys. 2016, 55, 120305. [Google Scholar] [CrossRef]
- Shibata, T.; Uenuma, M.; Yamada, T.; Yoshitsugu, K.; Higashi, M.; Nishimura, K.; Uraoka, Y. Effects of carbon impurity in ALD-Al2O3 film on HAXPES spectrum and electrical properties of Al2O3/AlGaN/GaN MIS structure. Jpn. J. Appl. Phys. 2022, 61, 065502. [Google Scholar] [CrossRef]
- Schiliro, E.; Fiorenza, P.; Greco, G.; Monforte, F.; Condorelli, G.G.; Roccaforte, F.; Giannazzo, F.; Lo Nigro, R. Early Growth Stages of Aluminum Oxide (Al2O3) Insulating Layers by Thermal- and Plasma-Enhanced Atomic Layer Deposition on AlGaN/GaN Heterostructures. ACS Appl. Electron. Mater. 2022, 4, 406–415. [Google Scholar] [CrossRef]
- Jinesh, K.B.; van Hemmen, J.L.; van de Sanden, M.C.M.; Roozeboom, F.; Klootwijk, J.H.; Besling, W.F.A.; Kessels, W.M.M. Dielectric Properties of Thermal and Plasma-Assisted Atomic Layer Deposited Al2O3 Thin Films. J. Electrochem. Soc. 2011, 158, G21–G26. [Google Scholar] [CrossRef]
- Wang, H.-C.; Hsieh, T.-E.; Lin, Y.-C.; Luc, Q.H.; Liu, S.-C.; Wu, C.-H.; Dee, C.F.; Majlis, B.Y.; Chang, E.Y. AlGaN/GaN MIS-HEMTs With High Quality ALD-Al2O3 Gate Dielectric Using Water and Remote Oxygen Plasma as Oxidants. IEEE J. Electron. Devices Soc. 2018, 6, 110–115. [Google Scholar] [CrossRef]
- Tajima, M.; Kotani, J.; Hashizume, T. Effects of Surface Oxidation of AlGaN on DC Characteristics of AlGaN/GaN High-Electron-Mobility Transistors. Jpn. J. Appl. Phys. 2009, 48, 020203. [Google Scholar] [CrossRef]
- Wang, Q.; Pan, M.; Zhang, P.; Wang, L.; Yang, Y.; Xie, X.; Huang, H.; Hu, X.; Xu, M. O2 Plasma Alternately Treated ALD-Al2O3 as Gate Dielectric for High Performance AlGaN/GaN MIS-HEMTs. IEEE Access 2024, 12, 16089–16094. [Google Scholar] [CrossRef]
- Ozaki, S.; Ohki, T.; Kanamura, M.; Okamoto, N.; Kikkawa, T. Effect of Atomic-Layer-Deposition Method on Threshold Voltage Shift in AlGaN/GaN Metal-Insulator-Semiconductor High Electron Mobility Transistors. Jpn. J. Appl. Phys. 2013, 52, 11NG04. [Google Scholar] [CrossRef]
- Guo, H.; Shao, P.; Zeng, C.; Bai, H.; Wang, R.; Pan, D.; Chen, P.; Chen, D.; Lu, H.; Zhang, R.; et al. Improved LPCVD-SiNx/AlGaN/GaN MIS-HEMTs by using in-situ MOCVD-SiNx as an interface sacrificial layer. Appl. Surf. Sci. 2022, 590, 153086. [Google Scholar] [CrossRef]
- Hori, Y.; Mizue, C.; Hashizume, T. Process Conditions for Improvement of Electrical Properties of Al2O3/n-GaN Structures Prepared by Atomic Layer Deposition. Jpn. J. Appl. Phys. 2010, 49, 080201. [Google Scholar] [CrossRef]
- Hua, M.Y.; Liu, C.; Yang, S.; Liu, S.H.; Fu, K.; Dong, Z.H.; Cai, Y.; Zhang, B.S.; Chen, K.J. Characterization of Leakage and Reliability of SiNx Gate Dielectric by Low-Pressure Chemical Vapor Deposition for GaN-based MIS-HEMTs. IEEE Trans. Electron. Devices 2015, 62, 3215–3222. [Google Scholar] [CrossRef]
- Zhang, Z.L.; Yu, G.H.; Zhang, X.D.; Deng, X.G.; Li, S.M.; Fan, Y.M.; Sun, S.C.; Song, L.; Tan, S.X.; Wu, D.D.; et al. Studies on High-Voltage GaN-on-Si MIS-HEMTs Using LPCVD Si3N4 as Gate Dielectric and Passivation Layer. IEEE Trans. Electron. Devices 2016, 63, 731–738. [Google Scholar] [CrossRef]
- Wu, T.L.; Marcon, D.; Zahid, M.B.; Van Hove, M.; Decoutere, S.; Groeseneken, G. Comprehensive Investigation of On-State Stress on D-Mode AlGaN/GaN MIS-HEMTs. In Proceedings of the IEEE International Reliability Physics Symposium (IRPS), Anaheim, CA, USA, 14–18 April 2013. [Google Scholar]
- Bisi, D.; Chan, S.H.; Tahhan, M.; Koksaldi, O.S.; Keller, S.; Meneghini, M.; Meneghesso, G.; Zanoni, E.; Mishra, U.K. Quality and Reliability of in-situ Al2O3 MOS capacitors for GaN-based Power Devices. In Proceedings of the 28th International Symposium on Power Semiconductor Devices and ICs (ISPSD), Prague, Czech Republic, 12–16 June 2016; pp. 119–122. [Google Scholar]
- Yang, S.; Liu, S.; Liu, C.; Tang, Z.; Lu, Y.; Chen, K.J. Thermally Induced Threshold Voltage Instability of III-Nitride MIS-HEMTs and MOSC-HEMTs: Underlying Mechanisms and Optimization Schemes. In Proceedings of the 60th Annual IEEE International Electron Devices Meeting (IEDM), San Francisco, CA, USA, 15–17 December 2014. [Google Scholar]
- Husna, F.; Lachab, M.; Sultana, M.; Adivarahan, V.; Fareed, Q.; Khan, A. High-Temperature Performance of AlGaN/GaN MOSHEMT With SiO2 Gate Insulator Fabricated on Si (111) Substrate. IEEE Trans. Electron. Devices 2012, 59, 2424–2429. [Google Scholar] [CrossRef]
- Meneghesso, G.; Meneghini, M.; De Santi, C.; Ruzzarin, M.; Zanoni, E. Positive and negative threshold voltage instabilities in GaN-based transistors. Microelectron. Reliab. 2018, 80, 257–265. [Google Scholar] [CrossRef]








Disclaimer/Publisher’s Note: The statements, opinions and data contained in all publications are solely those of the individual author(s) and contributor(s) and not of MDPI and/or the editor(s). MDPI and/or the editor(s) disclaim responsibility for any injury to people or property resulting from any ideas, methods, instructions or products referred to in the content. |
© 2024 by the authors. Licensee MDPI, Basel, Switzerland. This article is an open access article distributed under the terms and conditions of the Creative Commons Attribution (CC BY) license (https://creativecommons.org/licenses/by/4.0/).
Share and Cite
Xie, X.; Wang, Q.; Pan, M.; Zhang, P.; Wang, L.; Yang, Y.; Huang, H.; Hu, X.; Xu, M. Improved Vth Stability and Gate Reliability of GaN-Based MIS-HEMTs by Employing Alternating O2 Plasma Treatment. Nanomaterials 2024, 14, 523. https://doi.org/10.3390/nano14060523
Xie X, Wang Q, Pan M, Zhang P, Wang L, Yang Y, Huang H, Hu X, Xu M. Improved Vth Stability and Gate Reliability of GaN-Based MIS-HEMTs by Employing Alternating O2 Plasma Treatment. Nanomaterials. 2024; 14(6):523. https://doi.org/10.3390/nano14060523
Chicago/Turabian StyleXie, Xinling, Qiang Wang, Maolin Pan, Penghao Zhang, Luyu Wang, Yannan Yang, Hai Huang, Xin Hu, and Min Xu. 2024. "Improved Vth Stability and Gate Reliability of GaN-Based MIS-HEMTs by Employing Alternating O2 Plasma Treatment" Nanomaterials 14, no. 6: 523. https://doi.org/10.3390/nano14060523
APA StyleXie, X., Wang, Q., Pan, M., Zhang, P., Wang, L., Yang, Y., Huang, H., Hu, X., & Xu, M. (2024). Improved Vth Stability and Gate Reliability of GaN-Based MIS-HEMTs by Employing Alternating O2 Plasma Treatment. Nanomaterials, 14(6), 523. https://doi.org/10.3390/nano14060523

