Counteractive Effects of Copper Nanoparticles and Betacellulin on Ovarian Cells
Abstract
1. Introduction
2. Materials and Methods
2.1. Instrumentation
2.2. Preparation of Copper Nanoparticle Suspension
2.3. Isolation and Culture of Granulosa Cells
2.4. Assessment of CuNP Accumulation by Cells
2.5. Cell Viability Assay
2.6. BrdU Assay
2.7. TUNEL Assay
2.8. Immunocytochemical Analysis of the Presence of Proliferation and Apoptosis Markers
2.9. Enzyme-Linked Immunosorbent Assay (ELISA)
2.10. Statistical Analysis
3. Results
3.1. Preparation and Characterization of CuNPs
3.2. Incorporation of CuNPs in Porcine Ovarian Granulosa Cells Cultured with CuNPs
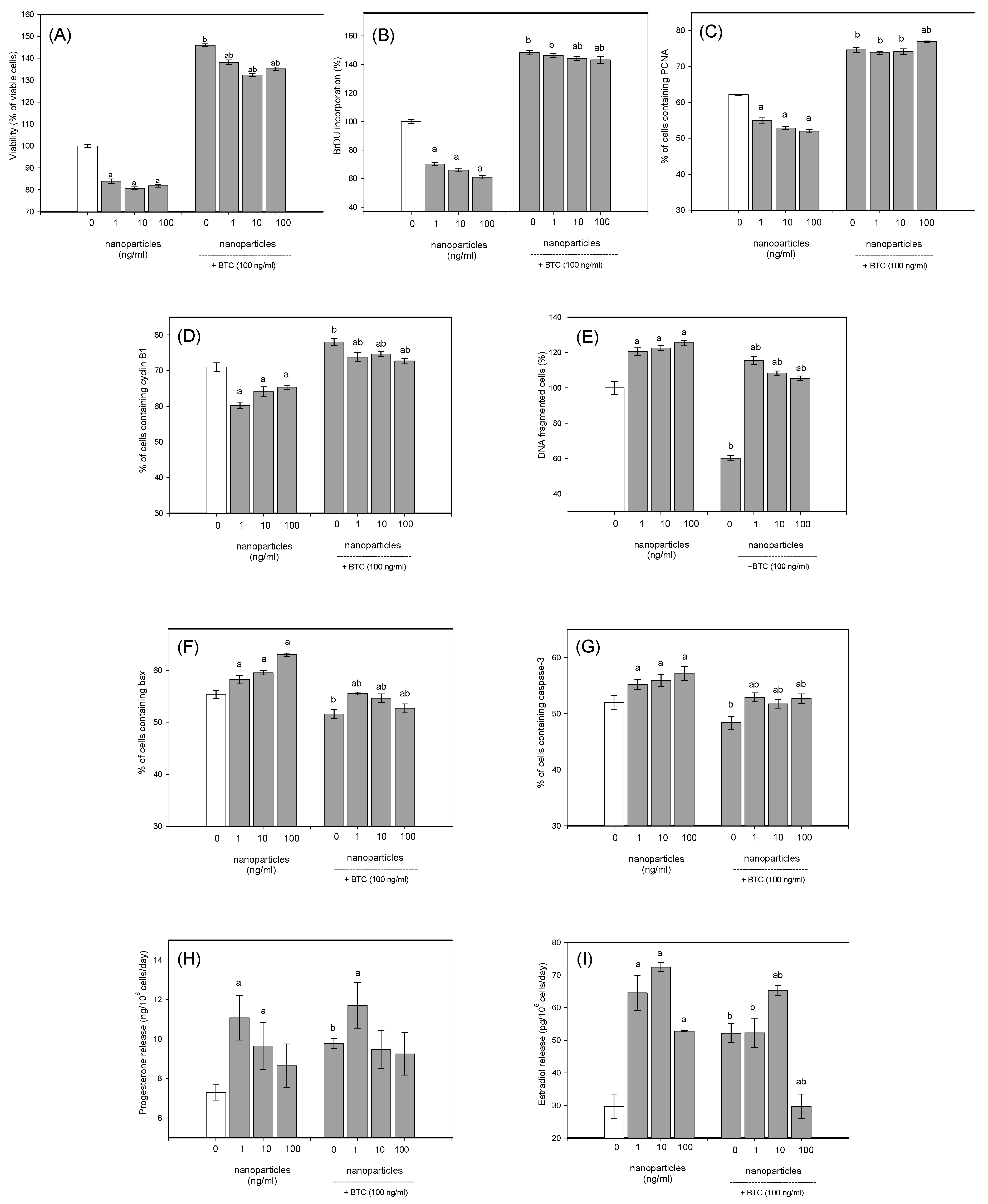
3.3. CuNPs’ Effect on Ovarian Cell Functions
3.4. BTC’s Effect on Ovarian Cell Functions
3.5. BTC Prevents CuNPs’ Effect on Ovarian Cell Functions
3.6. CuNPs Prevent BTC’s Effect on Ovarian Cell Functions
4. Discussion
4.1. CuNPs’ Effect on Ovarian Cell Functions
4.2. BTC’s Effect on Ovarian Cell Functions
4.3. BTC’s Prevention of CuNPs’ Effect on Ovarian Cell Functions
4.4. CuNPs’ Prevention of BTC’s Effect on Ovarian Cell Functions
5. Conclusions
Author Contributions
Funding
Institutional Review Board Statement
Data Availability Statement
Acknowledgments
Conflicts of Interest
References
- Sharif, M.; Rahman, M.A.; Ahmed, B.; Abbas, R.Z.; Hassan, F.U. Copper nanoparticles as growth promoter, antioxidant and anti-bacterial agents in poultry nutrition: Prospects and future implications. Biol. Trace Elem. Res. 2021, 199, 3825–3836. [Google Scholar] [CrossRef] [PubMed]
- Luque-Jacobo, C.M.; Cespedes-Loayza, A.L.; Echegaray-Ugarte, T.S.; Cruz-Loayza, J.L.; Cruz, I.; de Carvalho, J.C.; Goyzueta-Mamani, L.D. Biogenic synthesis of copper nanoparticles: A systematic review of their features and main applications. Molecules 2023, 28, 4838. [Google Scholar] [CrossRef] [PubMed]
- Woźniak-Budych, M.J.; Staszak, K.; Staszak, M. Copper and copper-based nanoparticles in medicine-perspectives and challenges. Molecules 2023, 28, 6687. [Google Scholar] [CrossRef] [PubMed]
- Roychoudhury, S.; Nath, S.; Massanyi, P.; Stawarz, R.; Kacaniova, M.; Kolesarova, A. Copper-induced changes in reproductive functions: In vivo and in vitro effects. Physiol Res. 2016, 65, 11–22. [Google Scholar] [CrossRef] [PubMed]
- Sirotkin, A.V.; Radosová, M.; Tarko, A.; Martín-García, I.; Alonso, F. Effect of morphology and support of copper nanoparticles on basic ovarian granulosa cell functions. Nanotoxicology 2020, 14, 683–695. [Google Scholar] [CrossRef]
- Sirotkin, A.V.; Radosová, M.; Tarko, A.; Fabova, Z.; Martín-García, I.; Alonso, F. Abatement of the stimulatory effect of copper nanoparticles supported on titania on ovarian cell functions by some plants and phytochemicals. Nanomaterials 2020, 10, 1859. [Google Scholar] [CrossRef]
- Sirotkin, A.V.; Loncová, B.; Fabová, Z.; Bartušová, M.; Martín-García, I.; Harrath, A.H.; Alonso, F. Copper nanoparticles supported on charcoal and betacellulin—Two novel stimulators of ovarian granulosa cell functions and their functional interrelationships. Theriogenology 2024, 218, 137–141. [Google Scholar] [CrossRef]
- Naz, S.; Gul, A.; Zia, M. Toxicity of copper oxide nanoparticles: A review study. IET Nanobiotechnol. 2020, 14, 1–13. [Google Scholar] [CrossRef]
- Sajjad, H.; Sajjad, A.; Haya, R.T.; Khan, M.M.; Zia, M. Copper oxide nanoparticles: In vitro and in vivo toxicity, mechanisms of action and factors influencing their toxicology. Comp. Biochem. Physiol. C Toxicol. Pharmacol. 2023, 271, 109682. [Google Scholar] [CrossRef]
- Yang, J.; Hu, S.; Rao, M.; Hu, L.; Lei, H.; Wu, Y.; Wang, Y.; Ke, D.; Xia, W.; Zhu, C.H. Copper nanoparticle-induced ovarian injury, follicular atresia, apoptosis, and gene expression alterations in female rats. Int. J. Nanomedicine 2017, 12, 5959–5971. [Google Scholar] [CrossRef]
- Zhang, C.H.; Wang, Y.; Sun, Q.Q.; Xia, L.L.; Hu, J.J.; Cheng, K.; Wang, X.; Fu, X.X.; Gu, H. Copper nanoparticles show obvious in vitro and in vivo reproductive toxicity via erk mediated signaling pathway in female mice. Int. J. Biol. Sci. 2018, 14, 1834–1844. [Google Scholar] [CrossRef] [PubMed]
- Luo, J.; Zhang, M.; Deng, Y.; Li, H.; Bu, Q.; Liu, R.; Yu, J.; Liu, S.; Zeng, Z.; Sun, W.; et al. Copper nanoparticles lead to reproductive dysfunction by affecting key enzymes of ovarian hormone synthesis and metabolism in female rats. Ecotoxicol. Environ. Saf. 2023, 254, 114704. [Google Scholar] [CrossRef] [PubMed]
- Park, J.Y.; Su, Y.Q.; Ariga, M.; Law, E.; Jin, S.L.; Conti, M. EGF-like growth factors as mediators of LH action in the ovulatory follicle. Science 2004, 303, 682–684. [Google Scholar] [CrossRef] [PubMed]
- Shimada, M.; Hernandez-Gonzalez, I.; Gonzalez-Robayna, I.; Richards, J.S. Paracrine and autocrine regulation of epidermal growth factor-like factors in cumulus oocyte complexes and granulosa cells: Key roles for prostaglandin synthase 2 and progesterone receptor. Mol. Endocrinol. 2006, 20, 1352–1365. [Google Scholar] [CrossRef] [PubMed]
- Procházka, R.; Petlach, M.; Nagyová, E.; Nemcová, L. Effect of epidermal growth factor-like peptides on pig cumulus cell expansion, oocyte maturation, and acquisition of developmental competence in vitro: Comparison with gonadotropins. Reproduction 2011, 141, 425–435. [Google Scholar] [CrossRef]
- Fang, L.; Cheng, J.C.; Chang, H.M.; Sun, Y.P.; Leung, P.C. EGF-like growth factors induce COX-2-derived PGE2 production through ERK1/2 in human granulosa cells. J. Clin. Endocrinol. Metab. 2013, 98, 4932–4941. [Google Scholar] [CrossRef]
- Ashkenazi, H.; Cao, X.; Motola, S.; Popliker, M.; Conti, M.; Tsafriri, A. Epidermal growth factor family members: Endogenous mediators of the ovulatory response. Endocrinology 2005, 146, 77–84. [Google Scholar] [CrossRef]
- Woods, D.C.; Haugen, M.J.; Johnson, A.L. Opposing actions of TGFbeta and MAP kinase signaling in undifferentiated hen granulosa cells. Biochem. Biophys. Res. Commun. 2005, 336, 450–457. [Google Scholar] [CrossRef]
- Zhao, J.; Klausen, C.; Yi, Y.; Cheng, J.C.; Chang, H.M.; Leung, P.C.K. Betacellulin enhances ovarian cancer cell migration by up-regulating Connexin43 via MEK-ERK signaling. Cell. Signal. 2020, 65, 109439. [Google Scholar] [CrossRef]
- Loncová, B.; Fabová, Z.; Sirotkin, A.V. Role of kisspeptin-10 and betacellulin in control of feline ovarian cell functions. Reprod. Biol. 2023, 23, 100762. [Google Scholar] [CrossRef]
- Alonso, F.; Yus, M. New synthetic methodologies based on active transition metals. Pure Appl. Chem. 2008, 80, 1005–1012. [Google Scholar] [CrossRef]
- Alonso, F.; Moglie, Y.; Radivoy, G.; Yus, M. Unsupported copper nanoparticles in the 1,3-dipolar cycloaddition of terminal alkynes and azides. Eur. J. Org. Chem. 2010, 2010, 1875–1884. [Google Scholar] [CrossRef]
- Abdulkin, P.; Moglie, Y.; Knappett, B.R.; Jefferson, D.A.; Yus, M.; Alonso, F.; Wheatley, A.E.H. New routes to Cu(I)/Cu nanocatalysts for the multicomponent click synthesis of 1,2,3-triazoles. Nanoscale 2013, 5, 342–350. [Google Scholar] [CrossRef] [PubMed]
- Ligasová, A.; Frydrych, I.; Koberna, K. Basic methods of cell cycle analysis. Int. J. Mol. Sci. 2023, 24, 3674. [Google Scholar] [CrossRef] [PubMed]
- Moldovan, G.L.; Pfander, B.; Jentsch, S. PCNA, the maestro of the replication fork. Cell 2007, 129, 665–679. [Google Scholar] [CrossRef]
- Dai, Y.; Jin, F.; Wu, W.; Kumar, S.K. Cell cycle regulation and hematologic malignancies. Blood Sci. 2019, 1, 34–43. [Google Scholar] [CrossRef]
- Mirzayans, R.; Murray, D. Do TUNEL and other apoptosis assays detect cell death in preclinical studies? Int. J. Mol. Sci. 2020, 21, 9090. [Google Scholar] [CrossRef]
- Spitz, A.Z.; Gavathiotis, E. Physiological and pharmacological modulation of BAX. Trends Pharmacol. Sci. 2022, 43, 206–220. [Google Scholar] [CrossRef]
- Sirotkin, A.V. Regulators of Ovarian Functions; Nova Science Publishers: New York, NY, USA, 2014; ISBN 978-1-61668-040-4. [Google Scholar]
- Chou, C.H.; Chen, M.J. The effect of steroid hormones on ovarian follicle development. Vitam. Horm. 2018, 107, 155–175. [Google Scholar] [CrossRef]
- Conway, J.R.; Adeleye, A.S.; Gardea-Torresdey, J.; Keller, A.A. Aggregation, dissolution, and transformation of copper nanoparticles in natural waters. Environ. Sci. Technol. 2015, 49, 2749–2756. [Google Scholar] [CrossRef]
- Gomes, S.I.; Murphy, M.; Nielsen, M.T.; Kristiansen, S.M.; Amorim, M.J.; Scott-Fordsmand, J.J. Cu-nanoparticles ecotoxicity—Explored and explained? Chemosphere 2015, 139, 240–245. [Google Scholar] [CrossRef] [PubMed]
- Yang, L.; He, Z.; Li, X.; Jiang, Z.; Xuan, F.; Tang, B.; Bian, X. Behavior and toxicity assessment of copper nanoparticles in aquatic environment: A case study on red swamp crayfish. J. Environ. Manag. 2022, 313, 114986. [Google Scholar] [CrossRef] [PubMed]
- Yang, Q.; Liu, Y.; Qiu, Y.; Wang, Z.; Li, H. Dissolution kinetics and solubility of copper oxide nanoparticles as affected by soil properties and aging time. Environ. Sci. Pollut. Res. Int. 2022, 29, 40674–40685. [Google Scholar] [CrossRef] [PubMed]
- Hunter, R.J. Zeta Potential in Colloid Science: Principles and Applications; Academic Press: London, UK, 1981; ISBN 978-0-12-361961-7. [Google Scholar]
- Mardiansyah, D.; Badloe, T.; Triyana, K.; Mehmood, M.Q.; Raeis-Hosseini, N.; Lee, Y.; Sabarman, H.; Kim, K.; Rho, J. Effect of temperature on the oxidation of Cu nanowires and development of an easy to produce, oxidation-resistant transparent conducting electrode using a PEDOT:PSS coating. Sci. Rep. 2018, 8, 10639. [Google Scholar] [CrossRef] [PubMed]
- NIST X-Ray Photoelectron Spectroscopy Database. Available online: https://srdata.nist.gov/xps/ (accessed on 3 March 2024).
- Wang, Y.; Biradar, A.V.; Wang, G.; Sharma, K.K.; Duncan, C.T.; Rangan, S.; Asefa, T. Controlled synthesis of water-dispersible faceted crystalline copper nanoparticles and their catalytic properties. Chem. Eur. J. 2010, 16, 10735–10743. [Google Scholar] [CrossRef] [PubMed]
- Diaz-Droguett, D.E.; Espinoza, R.; Funzalida, V.M. Copper nanoparticles grown under hydrogen: Study on the surface oxide. Appl. Surf. Sci. 2011, 257, 4597–4602. [Google Scholar] [CrossRef]
- Lu, H.; Wang, G.; Zhou, Y.; Wotango, A.S.; Wu, J.; Meng, Q.; Li, P. Concentration optimization of localized Cu0 and Cu+ on Cu-based electrodes for improving electrochemical generation of ethanol from carbon dioxide. Int. J. Mol. Sci. 2022, 23, 9373. [Google Scholar] [CrossRef]







Disclaimer/Publisher’s Note: The statements, opinions and data contained in all publications are solely those of the individual author(s) and contributor(s) and not of MDPI and/or the editor(s). MDPI and/or the editor(s) disclaim responsibility for any injury to people or property resulting from any ideas, methods, instructions or products referred to in the content. |
© 2024 by the authors. Licensee MDPI, Basel, Switzerland. This article is an open access article distributed under the terms and conditions of the Creative Commons Attribution (CC BY) license (https://creativecommons.org/licenses/by/4.0/).
Share and Cite
Sirotkin, A.V.; Romero-Navarro, P.; Loncová, B.; Fabová, Z.; Bartušová, M.; Harrath, A.H.; Alonso, F. Counteractive Effects of Copper Nanoparticles and Betacellulin on Ovarian Cells. Nanomaterials 2024, 14, 1965. https://doi.org/10.3390/nano14231965
Sirotkin AV, Romero-Navarro P, Loncová B, Fabová Z, Bartušová M, Harrath AH, Alonso F. Counteractive Effects of Copper Nanoparticles and Betacellulin on Ovarian Cells. Nanomaterials. 2024; 14(23):1965. https://doi.org/10.3390/nano14231965
Chicago/Turabian StyleSirotkin, Alexander V., Paula Romero-Navarro, Barbora Loncová, Zuzana Fabová, Michaela Bartušová, Abdel Halim Harrath, and Francisco Alonso. 2024. "Counteractive Effects of Copper Nanoparticles and Betacellulin on Ovarian Cells" Nanomaterials 14, no. 23: 1965. https://doi.org/10.3390/nano14231965
APA StyleSirotkin, A. V., Romero-Navarro, P., Loncová, B., Fabová, Z., Bartušová, M., Harrath, A. H., & Alonso, F. (2024). Counteractive Effects of Copper Nanoparticles and Betacellulin on Ovarian Cells. Nanomaterials, 14(23), 1965. https://doi.org/10.3390/nano14231965

