Phonon-Induced Wake Potential in a Graphene–Insulator –Graphene Structure
Abstract
1. Introduction
2. Theoretical Model
3. Results and Discussion
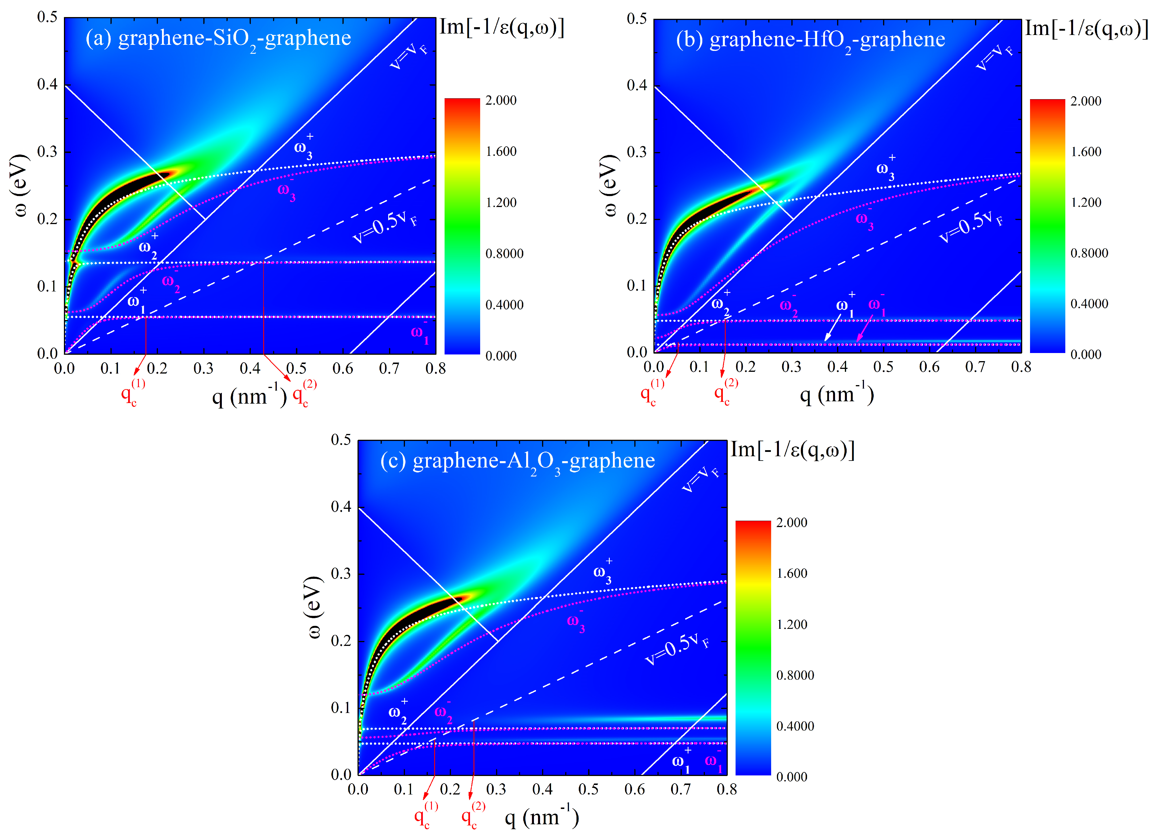
3.1. The Loss Function
3.2. The Wake Potential
4. Conclusions
Supplementary Materials
Author Contributions
Funding
Data Availability Statement
Acknowledgments
Conflicts of Interest
References
- Novoselov, K.S.; Geim, A.K.; Morozov, S.V.; Jiang, D.; Zhang, Y.; Dubonos, S.V.; Grigorieva, I.V.; Firsov, A.A. Electric Field Effect in Atomically Thin Carbon Films. Science 2004, 306, 666–669. [Google Scholar] [CrossRef] [PubMed]
- Novoselov, K.S.; Geim, A.K.; Morozov, S.V.; Jiang, D.; Katsnelson, M.I.; Grigorieva, I.V.; Dubonos, S.V.; Firsov, A.A. Two-Dimensional Gas of Massless Dirac Fermions in Graphene. Nature 2005, 438, 197–200. [Google Scholar] [CrossRef] [PubMed]
- Zhang, Y.; Tan, Y.W.; Stormer, H.L.; Kim, P. Experimental Observation of the Quantum Hall Effect and Berry’s Phase in Graphene. Nature 2005, 438, 201–204. [Google Scholar] [CrossRef] [PubMed]
- Despoja, V.; Radović, I.; Karbunar, L.; Kalinić, A.; Mišković, Z.L. Wake Potential in Graphene-Insulator-Graphene Composite Systems. Phys. Rev. B 2019, 100, 035443. [Google Scholar] [CrossRef]
- Jablan, M.; Buljan, H.; Soljačić, M. Plasmonics in Graphene at Infrared Frequencies. Phys. Rev. B 2009, 80, 245435. [Google Scholar] [CrossRef]
- Bonaccorso, F.; Sun, Z.; Hasan, T.; Ferrari, A.C. Graphene Photonics and Optoelectronics. Nat. Photon. 2010, 4, 611–622. [Google Scholar] [CrossRef]
- Vakil, A.; Engheta, N. Transformation Optics Using Graphene. Science 2011, 332, 1291–1294. [Google Scholar] [CrossRef]
- Low, T.; Avouris, P. Graphene Plasmonics for Terahertz to Mid-Infrared Applications. ACS Nano 2014, 8, 1086–1101. [Google Scholar] [CrossRef]
- Gupta, B.D.; Pathak, A.; Semwal, V. Carbon-Based Nanomaterials for Plasmonic Sensors: A Review. Sensors 2019, 19, 3536. [Google Scholar] [CrossRef]
- Maiti, D.; Tong, X.; Mou, X.; Yang, K. Carbon-Based Nanomaterials for Biomedical Applications: A Recent Study. Front. Pharmacol. 2019, 9, 1401. [Google Scholar] [CrossRef]
- Omar, N.A.S.; Fen, Y.W.; Saleviter, S.; Daniyal, W.M.E.M.M.; Anas, N.A.A.; Ramdzan, N.S.M.; Roshidi, M.D.A. Development of a Graphene-Based Surface Plasmon Resonance Optical Sensor Chip for Potential Biomedical Application. Materials 2019, 12, 1928. [Google Scholar] [CrossRef] [PubMed]
- Li, Z.; Zhang, W.; Xing, F. Graphene Optical Biosensors. Int. J. Mol. Sci. 2019, 20, 2461. [Google Scholar] [CrossRef] [PubMed]
- Chen, H.; Zhuo, F.; Zhou, J.; Liu, Y.; Zhang, J.; Dong, S.; Liu, X.; Elmarakbi, A.; Duan, H.; Fu, Y. Advances in Graphene-Based Flexible and Wearable Strain Sensors. Chem. Eng. J. 2023, 464, 142576. [Google Scholar] [CrossRef]
- Santra, S.; Bose, A.; Mitra, K.; Adalder, A. Exploring Two Decades of Graphene: The Jack of All Trades. Appl. Mater. Today 2024, 36, 102066. [Google Scholar] [CrossRef]
- Tang, C.; Zeng, Y.; Cai, P.; Deng, J.; Yan, Z.; Gu, P.; Huang, Z.; Ji, Y. Narrow-Band Absorption Enhancement and Modulation of Single Layer Graphene by Surface Plasmon Polaritons in Near-Infrared Region. Phys. B 2024, 695, 416521. [Google Scholar] [CrossRef]
- Yan, H.; Li, X.; Chandra, B.; Tulevski, G.; Wu, Y.; Freitag, M.; Zhu, W.; Avouris, P.; Xia, F. Tunable Infrared Plasmonic Devices Using Graphene/Insulator Stacks. Nat. Nanotechnol. 2012, 7, 330–334. [Google Scholar] [CrossRef] [PubMed]
- Gomez-Diaz, J.S.; Moldovan, C.; Capdevila, S.; Romeu, J.; Bernard, L.S.; Magrez, A.; Ionescu, A.M.; Perruisseau-Carrier, J. Self-Biased Reconfigurable Graphene Stacks for Terahertz Plasmonics. Nat. Commun. 2015, 6, 6334. [Google Scholar] [CrossRef]
- Francescato, Y.; Giannini, V.; Yang, J.; Huang, M.; Maier, S.A. Graphene Sandwiches as a Platform for Broadband Molecular Spectroscopy. ACS Photonics 2014, 1, 437–443. [Google Scholar] [CrossRef]
- Marinković, T.; Radović, I.; Borka, D.; Mišković, Z.L. Probing the Plasmon-Phonon Hybridization in Supported Graphene by Externally Moving Charged Particles. Plasmonics 2015, 10, 1741–1749. [Google Scholar] [CrossRef]
- Despoja, V.; Djordjević, T.; Karbunar, L.; Radović, I.; Mišković, Z.L. Ab Initio Study of the Electron Energy Loss Function in a Graphene-Sapphire-Graphene Composite System. Phys. Rev. B 2017, 96, 075433. [Google Scholar] [CrossRef]
- Ferrari, A.C.; Balandin, A.A. Phononics of Graphene, Layered Materials, and Heterostructures. Appl. Phys. Lett. 2023, 122, 070401. [Google Scholar] [CrossRef]
- Politano, A. On the Fate of High-Resolution Electron Energy Loss Spectroscopy (HREELS), a Versatile Probe to Detect Surface Excitations: Will the Phoenix Rise Again? Phys. Chem. Chem. Phys. 2021, 23, 26061–26069. [Google Scholar] [CrossRef] [PubMed]
- Brongersma, H.H.; Draxler, M.; de Ridder, M.; Bauer, P. Surface Composition Analysis by Low-Energy Ion Scattering. Surf. Sci. Rep. 2007, 62, 63–109. [Google Scholar] [CrossRef]
- Colen, J.; Kolomeisky, E.B. Kelvin–Froude Wake Patterns of a Traveling Pressure Disturbance. Eur. J. Mech. B Fluids 2021, 85, 400–412. [Google Scholar] [CrossRef]
- García de Abajo, F.J.; Echenique, P.M. Wake Potential in the Vicinity of a Surface. Phys. Rev. B 1992, 46, 2663–2675. [Google Scholar] [CrossRef]
- Wang, Y.N.; Ma, T.C. Wake Potential of a Charged Particle in a Strongly Coupled Two-Dimensional Electron Gas. Phys. Rev. B 1995, 52, 16395–16399. [Google Scholar] [CrossRef]
- Shi, X.; Lin, X.; Gao, F.; Xu, H.; Yang, Z.; Zhang, B. Caustic Graphene Plasmons with Kelvin Angle. Phys. Rev. B 2015, 92, 081404. [Google Scholar] [CrossRef]
- Chaves, A.J.; Peres, N.M.R.; Smirnov, G.; Asger Mortensen, N. Hydrodynamic Model Approach to the Formation of Plasmonic Wakes in Graphene. Phys. Rev. B 2017, 96, 195438. [Google Scholar] [CrossRef]
- Kolomeisky, E.B.; Straley, J.P. Kelvin-Mach Wake in a Two-Dimensional Fermi Sea. Phys. Rev. Lett. 2018, 120, 226801. [Google Scholar] [CrossRef]
- Kalinić, A.; Radović, I.; Karbunar, L.; Despoja, V.; Mišković, Z.L. Wake Effect in Interactions of Ions with Graphene-Sapphire-Graphene Composite System. Phys. E 2021, 126, 114447. [Google Scholar] [CrossRef]
- Radović, I.; Borka Jovanović, V.; Borka, D.; Mišković, Z.L. Interactions of Slowly Moving Charges with Graphene: The Role of Substrate Phonons. Nucl. Instrum. Methods B 2012, 279, 165–168. [Google Scholar] [CrossRef]
- Marinković, T.; Radović, I.; Borka, D.; Mišković, Z.L. Wake Effect in the Interaction of Slow Correlated Charges with Supported Graphene Due to Plasmon-Phonon Hybridization. Phys. Lett. A 2015, 379, 377–381. [Google Scholar] [CrossRef]
- Bai, X.J.; Zhang, Y.Y.; Mišković, Z.L.; Radović, I.; Li, C.Z.; Song, Y.H. The Effects of Pseudomagnetic Fields on Plasmon-Phonon Hybridization in Supported Graphene Probed by a Moving Charged Particle. Plasmonics 2021, 16, 1089–1098. [Google Scholar] [CrossRef]
- Lucas, A.A.; Šunjić, M.; Benedek, G. Multiple Excitation of Fuchs–Kliewer Phonons by Ne+ ions Back-Scattered by the LiF(100) Surface at Grazing Incidence. J. Phys. Condens. Matter 2013, 25, 355009. [Google Scholar] [CrossRef]
- Radtke, G.; Taverna, D.; Menguy, N.; Pandolfi, S.; Courac, A.; Le Godec, Y.; Krivanek, O.L.; Lovejoy, T.C. Polarization Selectivity in Vibrational Electron-Energy-Loss Spectroscopy. Phys. Rev. Lett. 2019, 123, 256001. [Google Scholar] [CrossRef]
- Lagos, M.J.; Bicket, I.C.; Mousavi, M.S.S.; Botton, G.A. Advances in Ultrahigh-Energy Resolution EELS: Phonons, Infrared Plasmons and Strongly Coupled Modes. Microscopy 2022, 71 (Suppl. S1), i174–i199. [Google Scholar] [CrossRef]
- Liu, M.; Yin, X.; Zhang, X. Double-Layer Graphene Optical Modulator. Nano Lett. 2012, 12, 1482–1485. [Google Scholar] [CrossRef]
- Yao, W.; Tang, L.; Nong, J.; Wang, J.; Yang, J.; Jiang, Y.; Shi, H.; Wei, X. Electrically Tunable Graphene Metamaterial with Strong Broadband Absorption. Nanotechnology 2021, 32, 075703. [Google Scholar] [CrossRef] [PubMed]
- Ye, L.; Yuan, K.; Zhu, C.; Zhang, Y.; Zhang, Y.; Lai, K. Broadband High-Efficiency Near-Infrared Graphene Phase Modulators Enabled by Metal-Nanoribbon Integrated Hybrid Plasmonic Waveguides. Nanophotonics 2022, 11, 613–623. [Google Scholar] [CrossRef]
- Ben Maad, Y.; Ajlani, H.; Durnez, A.; Madouri, A.; Oueslati, M.; Meftah, A. Characterizing Graphene/HfO2 and HfO2/Graphene Interfaces Through Raman Spectroscopy Analysis. Opt. Quant. Electron. 2023, 55, 1275. [Google Scholar] [CrossRef]
- Fei, Z.; Andreev, G.O.; Bao, W.; Zhang, L.M.; McLeod, A.S.; Wang, C.; Stewart, M.K.; Zhao, Z.; Dominguez, G.; Thiemens, M.; et al. Infrared Nanoscopy of Dirac Plasmons at the Graphene-SiO2 Interface. Nano Lett. 2011, 11, 4701–4705. [Google Scholar] [CrossRef] [PubMed]
- Hwang, E.H.; Das Sarma, S. Dielectric Function, Screening, and Plasmons in Two-Dimensional Graphene. Phys. Rev. B 2007, 75, 205418. [Google Scholar] [CrossRef]
- Wunsch, B.; Stauber, T.; Sols, F.; Guinea, F. Dynamical Polarization of Graphene at Finite Doping. New J. Phys. 2006, 8, 318. [Google Scholar] [CrossRef]
- Fischetti, M.V.; Neumayer, D.A.; Cartier, E.A. Effective Electron Mobility in Si Inversion Layers in Metal-Oxide-Semiconductor Systems with a High-κ Insulator: The Role of Remote Phonon Scattering. J. Appl. Phys. 2001, 90, 4587–4608. [Google Scholar] [CrossRef]
- Frederick, B.G.; Apai, G.; Rhodin, T.N. Surface Phonons in Thin Aluminum Oxide Films: Thickness, Beam-Energy, and Symmetry-Mixing Effects. Phys. Rev. B 1991, 44, 1880–1890. [Google Scholar] [CrossRef] [PubMed]
- Ong, Z.Y.; Fischetti, M.V. Theory of Interfacial Plasmon-Phonon Scattering in Supported Graphene. Phys. Rev. B 2012, 86, 165422. [Google Scholar] [CrossRef]
- Winter, H. Collisions of Atoms and Ions with Surfaces under Grazing Incidence. Phys. Rep. 2002, 367, 387–582. [Google Scholar] [CrossRef]
- Crozier, P.A. Vibrational and Valence Aloof Beam EELS: A Potential Tool for Nondestructive Characterization of Nanoparticle Surfaces. Ultramicroscopy 2017, 180, 104–114. [Google Scholar] [CrossRef]



| SiO2 | HfO2 | Al2O3 | |
|---|---|---|---|
| 3.90 | 22.00 | 12.53 | |
| 3.05 | 6.58 | 7.27 | |
| 2.50 | 5.03 | 3.20 | |
| 55.60 | 12.40 | 48.18 | |
| 138.10 | 48.35 | 71.41 | |
| 5.37 | 2.32 | 1.74 | |
| 8.95 | 3.10 | 6.82 |
| SiO2 | HfO2 | Al2O3 | |
|---|---|---|---|
| 55.60 | 12.40 | 48.18 | |
| 138.10 | 48.35 | 71.41 | |
| 57.70 | 17.76 | 54.00 | |
| 141.80 | 51.40 | 86.53 |
| (a) SiO2 | (b) HfO2 | (c) Al2O3 | |
|---|---|---|---|
| 0.175 | 0.052 | 0.168 | |
| 0.43 | 0.155 | 0.25 |
| (a) SiO2 | (b) HfO2 | (c) Al2O3 | |
|---|---|---|---|
| 36 | 121 | 37.5 | |
| 14.5 | 40.5 | 25 |
Disclaimer/Publisher’s Note: The statements, opinions and data contained in all publications are solely those of the individual author(s) and contributor(s) and not of MDPI and/or the editor(s). MDPI and/or the editor(s) disclaim responsibility for any injury to people or property resulting from any ideas, methods, instructions or products referred to in the content. |
© 2024 by the authors. Licensee MDPI, Basel, Switzerland. This article is an open access article distributed under the terms and conditions of the Creative Commons Attribution (CC BY) license (https://creativecommons.org/licenses/by/4.0/).
Share and Cite
Kalinić, A.; Radović, I.; Karbunar, L.; Despoja, V.; Mišković, Z.L. Phonon-Induced Wake Potential in a Graphene–Insulator –Graphene Structure. Nanomaterials 2024, 14, 1951. https://doi.org/10.3390/nano14231951
Kalinić A, Radović I, Karbunar L, Despoja V, Mišković ZL. Phonon-Induced Wake Potential in a Graphene–Insulator –Graphene Structure. Nanomaterials. 2024; 14(23):1951. https://doi.org/10.3390/nano14231951
Chicago/Turabian StyleKalinić, Ana, Ivan Radović, Lazar Karbunar, Vito Despoja, and Zoran L. Mišković. 2024. "Phonon-Induced Wake Potential in a Graphene–Insulator –Graphene Structure" Nanomaterials 14, no. 23: 1951. https://doi.org/10.3390/nano14231951
APA StyleKalinić, A., Radović, I., Karbunar, L., Despoja, V., & Mišković, Z. L. (2024). Phonon-Induced Wake Potential in a Graphene–Insulator –Graphene Structure. Nanomaterials, 14(23), 1951. https://doi.org/10.3390/nano14231951

