Impact of Metal Source Structure on the Electrocatalytic Properties of Polyacrylonitrile-Derived Co-N-Doped Oxygen Reduction Reaction Catalysts
Abstract
1. Introduction
2. Materials and Methods
3. Results and Discussion
3.1. Catalyst Preparation and Characterisation
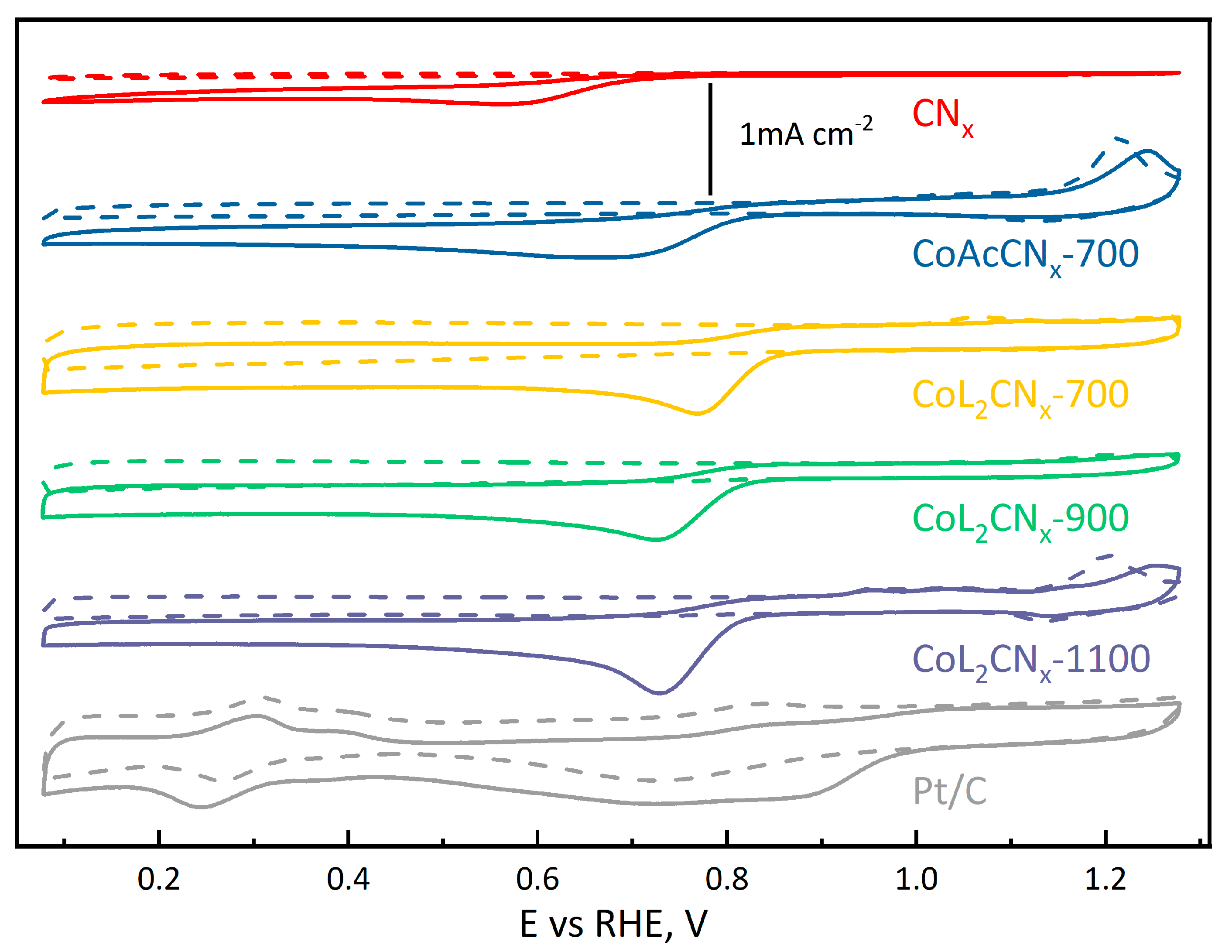
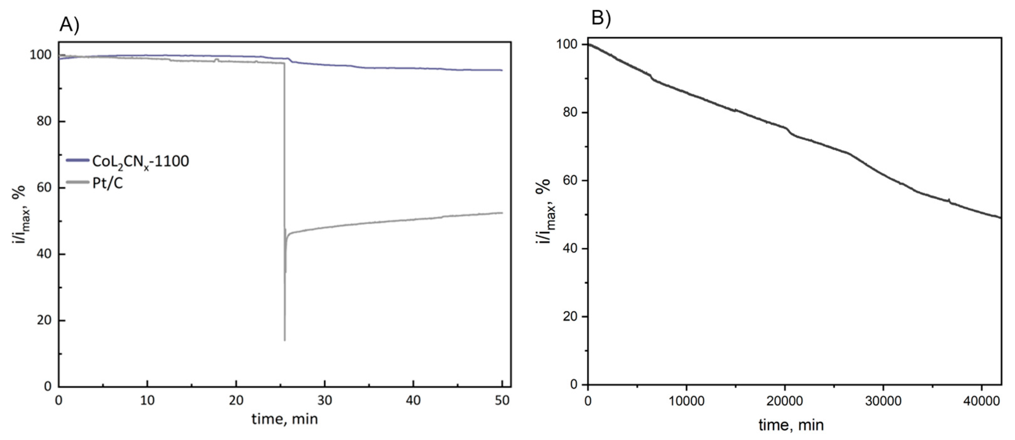
3.2. Electrocatalytic Properties
4. Conclusions
Supplementary Materials
Author Contributions
Funding
Data Availability Statement
Acknowledgments
Conflicts of Interest
References
- Li, Y.; Li, Q.; Wang, H.; Zhang, L.; Wilkinson, D.P.; Zhang, J. Recent Progresses in Oxygen Reduction Reaction Electrocatalysts for Electrochemical Energy Applications. Electrochem. Energy Rev. 2019, 2, 518–538. [Google Scholar] [CrossRef]
- Kodama, K.; Nagai, T.; Kuwaki, A.; Jinnouchi, R.; Morimoto, Y. Challenges in applying highly active Pt-based nanostructured catalysts for oxygen reduction reactions to fuel cell vehicles. Nat. Nanotechnol. 2021, 16, 140–147. [Google Scholar] [CrossRef] [PubMed]
- Xu, Z.; Zhao, H.; Liang, J.; Wang, Y.; Li, T.; Luo, Y.; Shi, X.; Lu, S.; Feng, Z.; Wu, Q.; et al. Noble-metal-free electrospun nanomaterials as electrocatalysts for oxygen reduction reaction. Mater. Today Phys. 2020, 15, 100280. [Google Scholar] [CrossRef]
- Ma, R.; Lin, G.; Zhou, Y.; Liu, Q.; Zhang, T.; Shan, G.; Yang, M.; Wang, J. A review of oxygen reduction mechanisms for metal-free carbon-based electrocatalysts. npj Comput. Mater. 2019, 5, 78. [Google Scholar] [CrossRef]
- Wang, L.; Fu, L.; Li, J.; Zeng, X.; Xie, H.; Huang, X.; Wang, H.; Tang, Y. On an easy way to prepare highly efficient Fe/N-co-doped carbon nanotube/nanoparticle composite for oxygen reduction reaction in Al–air batteries. J. Mater. Sci. 2018, 53, 10280–10291. [Google Scholar] [CrossRef]
- Niu, H.; Xia, C.; Huang, L.; Zaman, S.; Maiyalagan, T.; Guo, W.; You, B.; Xia, B.Y. Rational design and synthesis of one-dimensional platinum-based nanostructures for oxygen-reduction electrocatalysis. Chin. J. Catal. 2022, 43, 1459–1472. [Google Scholar] [CrossRef]
- Wei, X.; Wang, R.-Z.; Zhao, W.; Chen, G.; Chai, M.-R.; Zhang, L.; Zhang, J. Recent research progress in PEM fuel cell electrocatalyst degradation and mitigation strategies. EnergyChem 2021, 3, 100061. [Google Scholar] [CrossRef]
- Hornberger, E.; Bergmann, A.; Schmies, H.; Kühl, S.; Wang, G.; Drnec, J.; Sandbeck, D.J.S.; Ramani, V.; Cherevko, S.; Mayrhofer, K.J.J.; et al. In Situ Stability Studies of Platinum Nanoparticles Supported on Ruthenium−Titanium Mixed Oxide (RTO) for Fuel Cell Cathodes. ACS Catal. 2018, 8, 9675–9683. [Google Scholar] [CrossRef]
- Yuan, K.; Lützenkirchen-Hecht, D.; Li, L.; Shuai, L.; Li, Y.; Cao, R.; Qiu, M.; Zhuang, X.; Leung, M.K.H.; Chen, Y.; et al. Boosting Oxygen Reduction of Single Iron Active Sites via Geometric and Electronic Engineering: Nitrogen and Phosphorus Dual Coordination. J. Am. Chem. Soc. 2020, 142, 2404–2412. [Google Scholar] [CrossRef]
- Zhou, K.-Y.; Chen, G.-Y.; Liu, J.-A.; Zhang, Z.-P.; Sun, P.; Zhang, W.-Z.; Niu, F.; Zhang, W.-X.; Liang, J.-C. Cobalt nanoparticles encapsulated in N-doped graphene nanoshells as an efficient cathode electrocatalyst for a mechanical rechargeable zinc–air battery. RSC Adv. 2016, 6, 90069–90075. [Google Scholar] [CrossRef]
- Zhang, G.; Li, C.; Liu, J.; Zhou, L.; Liu, R.; Han, X.; Huang, H.; Hu, H.; Liu, Y.; Kang, Z. One-step conversion from metal–organic frameworks to Co3O4@N-doped carbon nanocomposites towards highly efficient oxygen reduction catalysts. J. Mater. Chem. A 2014, 2, 8184–8189. [Google Scholar] [CrossRef]
- Ma, S.; Goenaga, G.A.; Call, A.V.; Liu, D.-J. Cobalt Imidazolate Framework as Precursor for Oxygen Reduction Reaction Electrocatalysts. Chemistry 2011, 17, 2063–2067. [Google Scholar] [CrossRef] [PubMed]
- Chen, S.; Cheng, J.; Ma, L.; Zhou, S.; Xu, X.; Zhi, C.; Zhang, W.; Zhi, L.; Zapien, J.A. Light-weight 3D Co-N-doped hollow carbon spheres as efficient electrocatalysts for rechargeable zinc-air batteries. Nanoscale 2018, 10, 10412–10419. [Google Scholar] [CrossRef]
- Yang, X.; Mi, H.; Ren, X.; Zhang, P.; Li, Y. Co/CoP Nanoparticles Encapsulated Within N, P-Doped Carbon Nanotubes on Nanoporous Metal-Organic Framework Nanosheets for Oxygen Reduction and Oxygen Evolution Reactions. Nanoscale Res. Lett. 2020, 15, 82. [Google Scholar] [CrossRef]
- Liu, W.; Zhang, L.; Yan, W.; Liu, X.; Yang, X.; Miao, S.; Wang, W.; Wang, A.; Zhang, T. Single-atom dispersed Co–N–C catalyst: Structure identification and performance for hydrogenative coupling of nitroarenes. Chem. Sci. 2016, 7, 5758–5764. [Google Scholar] [CrossRef]
- Yadav, K.K.; Singh, H.; Rana, S.; Sunaina; Sammi, H.; Nishanthi, S.T.; Wadhwa, R.; Khan, N.; Jha, M. Utilization of waste coir fibre architecture to synthesize porous graphene oxide and their derivatives: An efficient energy storage material. J. Clean. Prod. 2020, 276, 124240. [Google Scholar] [CrossRef]
- Cruz-Martinez, H.; Guerra-Cabrera, W.; Flores-Rojas, E.; Ruiz-Villalobos, D.; Rojas-Chavez, H.; Pena-Castaneda, Y.A.; Medina, D.I. Pt-Free Metal Nanocatalysts for the Oxygen Reduction Reaction Combining Experiment and Theory: An Overview. Molecules 2021, 26, 6689. [Google Scholar] [CrossRef]
- Qian, Y.; Du, P.; Wu, P.; Cai, C.; Gervasio, D.F. Chemical Nature of Catalytic Active Sites for the Oxygen Reduction Reaction on Nitrogen-Doped Carbon-Supported Non-Noble Metal Catalysts. J. Phys. Chem. C 2016, 120, 9884–9896. [Google Scholar] [CrossRef]
- Cong, K.; Radtke, M.; Stumpf, S.; Schröter, B.; McMillan, D.G.G.; Rettenmayr, M.; Ignaszak, A. Electrochemical stability of the polymer-derived nitrogen-doped carbon: An elusive goal? Mater. Renew. Sustain. Energy 2015, 4, 5. [Google Scholar] [CrossRef]
- Jiang, Z.; Yu, J.; Huang, T.; Sun, M. Recent Advance on Polyaniline or Polypyrrole-Derived Electrocatalysts for Oxygen Reduction Reaction. Polymers 2018, 10, 1397. [Google Scholar] [CrossRef] [PubMed]
- Osmieri, L. Transition Metal–Nitrogen–Carbon (M–N–C) Catalysts for Oxygen Reduction Reaction. Insights on Synthesis and Performance in Polymer Electrolyte Fuel Cells. ChemEngineering 2019, 3, 16. [Google Scholar] [CrossRef]
- Saha, B.; Schatz, G.C. Carbonization in Polyacrylonitrile (PAN) Based Carbon Fibers Studied by ReaxFF Molecular Dynamics Simulations. J. Phys. Chem. B 2012, 116, 4684–4692. [Google Scholar] [CrossRef]
- Sazanov, Y.N.; Fedorova, G.N.; Gubanova, G.N.; Sukhanova, T.E. Low-temperature carbonization of polyacrylonitrile and its copolymers. Mendeleev Commun. 2014, 24, 239–241. [Google Scholar] [CrossRef]
- Kumar, R.; Sahoo, S.; Joanni, E.; Singh, R.K.; Maegawa, K.; Tan, W.K.; Kawamura, G.; Kar, K.K.; Matsuda, A. Heteroatom doped graphene engineering for energy storage and conversion. Mater. Today 2020, 39, 47–65. [Google Scholar] [CrossRef]
- Deng, H.; Li, Q.; Liu, J.; Wang, F. Active sites for oxygen reduction reaction on nitrogen-doped carbon nanotubes derived from polyaniline. Carbon 2017, 112, 219–229. [Google Scholar] [CrossRef]
- Ha, Y.; Fei, B.; Yan, X.; Xu, H.; Chen, Z.; Shi, L.; Fu, M.; Xu, W.; Wu, R. Atomically Dispersed Co-Pyridinic N-C for Superior Oxygen Reduction Reaction. Adv. Energy Mater. 2020, 10, 2002592. [Google Scholar] [CrossRef]
- Gao, J.; Hu, Y.; Wang, Y.; Lin, X.; Hu, K.; Lin, X.; Xie, G.; Liu, X.; Reddy, K.M.; Yuan, Q.; et al. MOF Structure Engineering to Synthesize Co-N-C Catalyst with Richer Accessible Active Sites for Enhanced Oxygen Reduction. Small 2021, 17, 2104684. [Google Scholar] [CrossRef]
- Yu, K.; Shi, P.-H.; Fan, J.-C.; Min, Y.-L.; Xu, Q.-J. Porous Fe, Co, and N-co-doped carbon nanofibers as high-efficiency oxygen reduction catalysts. J. Nanoparticle Res. 2019, 21, 230. [Google Scholar] [CrossRef]
- Wu, M.; Liu, Z.; Wang, G.; Liu, H.; Ma, J. Electrostatic Spinning Strategy to Prepare Cage-like PAN-Fiber Network-Wrapped Co–N–C Structures for the Oxygen Reduction Reaction. ACS Appl. Energy Mater. 2022, 5, 14155–14163. [Google Scholar] [CrossRef]
- Peng, W.; Chen, Z.; Jin, J.; Yang, S.; Zhang, J.; Li, G. Interconnected Hollow Porous Polyacrylonitrile-Based Electrolyte Membrane for a Quasi-Solid-State Flexible Zinc–Air Battery with Ultralong Lifetime. ACS Appl. Mater. Interfaces 2022, 14, 31792–31802. [Google Scholar] [CrossRef] [PubMed]
- Muuli, K.; Sokka, A.; Mooste, M.; Lilloja, J.; Gudkova, V.; Käärik, M.; Otsus, M.; Kikas, A.; Kisand, V.; Tamm, A.; et al. Iron and cobalt phthalocyanine embedded electrospun carbon nanofiber-based catalysts for anion exchange membrane fuel cell cathode. J. Catal. 2023, 422, 117–130. [Google Scholar] [CrossRef]
- Li, C.; Wu, M.; Liu, R. High-performance bifunctional oxygen electrocatalysts for zinc-air batteries over mesoporous Fe/Co-N-C nanofibers with embedding FeCo alloy nanoparticles. Appl. Catal. B Environ. 2019, 244, 150–158. [Google Scholar] [CrossRef]
- Khayyam, H.; Jazar, R.N.; Nunna, S.; Golkarnarenji, G.; Badii, K.; Fakhrhoseini, S.M.; Kumar, S.; Naebe, M. PAN precursor fabrication, applications and thermal stabilization process in carbon fiber production: Experimental and mathematical modelling. Prog. Mater. Sci. 2020, 107, 100575. [Google Scholar] [CrossRef]
- Nunna, S.; Blanchard, P.; Buckmaster, D.; Davis, S.; Naebe, M. Development of a cost model for the production of carbon fibres. Heliyon 2019, 5, e02698. [Google Scholar] [CrossRef] [PubMed]
- Zhao, C.-X.; Liu, J.-N.; Wang, J.; Ren, D.; Li, B.-Q.; Zhang, Q. Recent advances of noble-metal-free bifunctional oxygen reduction and evolution electrocatalysts. Chem. Soc. Rev. 2021, 50, 7745–7778. [Google Scholar] [CrossRef]
- Kazem-Rostami, M. Factors influencing the thermal stability of azo and bisazo compounds. J. Therm. Anal. Calorim. 2020, 140, 613–623. [Google Scholar] [CrossRef]
- Wang, D.; Pan, X.; Yang, P.; Li, R.; Xu, H.; Li, Y.; Meng, F.; Zhang, J.; An, M. Transition Metal and Nitrogen Co-Doped Carbon-based Electrocatalysts for the Oxygen Reduction Reaction: From Active Site Insights to the Rational Design of Precursors and Structures. ChemSusChem 2021, 14, 33–55. [Google Scholar] [CrossRef] [PubMed]
- Mochizuki, K.; Fujimoto, M. Bivalent Cobalt Complexes with 1-(2-Pyridylazo)-2-naphthol and Analogous Ligands. Bull. Chem. Soc. Jpn. 2006, 58, 1520–1523. [Google Scholar] [CrossRef]
- Brunauer, S.; Emmett, P.H.; Teller, E. Adsorption of Gases in Multimolecular Layers. J. Am. Chem. Soc. 1938, 60, 309–319. [Google Scholar] [CrossRef]
- Barrett, E.P.; Joyner, L.G.; Halenda, P.P. The Determination of Pore Volume and Area Distributions in Porous Substances. I. Computations from Nitrogen Isotherms. J. Am. Chem. Soc. 1951, 73, 373–380. [Google Scholar] [CrossRef]
- Doña Rodríguez, J.M.; Herrera Melián, J.A.; Pérez Peña, J. Determination of the Real Surface Area of Pt Electrodes by Hydrogen Adsorption Using Cyclic Voltammetry. J. Chem. Educ. 2000, 77, 1195. [Google Scholar] [CrossRef]
- Liu, H.; Zeng, S.; He, M.; He, P.; Jia, L.; Dong, F.; Yang, D.; Gao, J.; Wang, S.; Zhang, T.; et al. Remarkably enhanced activity of 4A zeolite modified Pt/reduced graphene oxide electrocatalyst towards methanol electrooxidation in alkaline medium. Ionics 2019, 25, 5131–5140. [Google Scholar] [CrossRef]
- Szepcsik, B.; Pukánszky, B. The mechanism of thermal stabilization of polyacrylonitrile. Thermochim. Acta 2019, 671, 200–208. [Google Scholar] [CrossRef]
- Yoo, Y.; Park, J.; Kim, M.-S.; Kim, W. Development of 2.8 V Ketjen black supercapacitors with high rate capabilities for AC line filtering. J. Power Sources 2017, 360, 383–390. [Google Scholar] [CrossRef]
- Sing, K.S.W. Reporting physisorption data for gas/solid systems with special reference to the determination of surface area and porosity (Recommendations 1984). Pure Appl. Chem. 1985, 57, 603–619. [Google Scholar] [CrossRef]
- Sebastian, F.L.; Zorn, N.F.; Settele, S.; Lindenthal, S.; Berger, F.J.; Bendel, C.; Li, H.; Flavel, B.S.; Zaumseil, J. Absolute Quantification of sp3 Defects in Semiconducting Single-Wall Carbon Nanotubes by Raman Spectroscopy. J. Phys. Chem. Lett. 2022, 13, 3542–3548. [Google Scholar] [CrossRef]
- Yang, Y.; Zeng, R.; Xiong, Y.; DiSalvo, F.J.; Abruña, H.D. Cobalt-Based Nitride-Core Oxide-Shell Oxygen Reduction Electrocatalysts. J. Am. Chem. Soc. 2019, 141, 19241–19245. [Google Scholar] [CrossRef] [PubMed]
- Chang, K.; Zhu, Q.; Qi, L.; Guo, M.; Gao, W.; Gao, Q. Synthesis and Properties of Nitrogen-Doped Carbon Quantum Dots Using Lactic Acid as Carbon Source. Materials 2022, 15, 466. [Google Scholar] [CrossRef]
- Artyushkova, K.; Kiefer, B.; Halevi, B.; Knop-Gericke, A.; Schlogl, R.; Atanassov, P. Density functional theory calculations of XPS binding energy shift for nitrogen-containing graphene-like structures. Chem. Commun. 2013, 49, 2539–2541. [Google Scholar] [CrossRef]
- Li, X.; Xu, N.; Li, H.; Wang, M.; Zhang, L.; Qiao, J. 3D hollow sphere Co3O4/MnO2-CNTs: Its high-performance bi-functional cathode catalysis and application in rechargeable zinc-air battery. Green Energy Environ. 2017, 2, 316–328. [Google Scholar] [CrossRef]
- Qian, Y.; Liu, Z.; Zhang, H.; Wu, P.; Cai, C. Active Site Structures in Nitrogen-Doped Carbon-Supported Cobalt Catalysts for the Oxygen Reduction Reaction. ACS Appl. Mater. Interfaces 2016, 8, 32875–32886. [Google Scholar] [CrossRef] [PubMed]
- Zhang, R.; Tahir, M.; Ding, S.; Qadeer, M.A.; Li, H.; Zeng, Q.-X.; Gao, R.; Wang, L.; Zhang, X.; Pan, L.; et al. Promotion of Nitrogen Reserve and Electronic Regulation in Bamboo-like Carbon Tubules by Cobalt Nanoparticles for Highly Efficient ORR. ACS Appl. Energy Mater. 2020, 3, 2323–2330. [Google Scholar] [CrossRef]
- Chen, P.; Xu, K.; Fang, Z.; Tong, Y.; Wu, J.; Lu, X.; Peng, X.; Ding, H.; Wu, C.; Xie, Y. Metallic Co4N Porous Nanowire Arrays Activated by Surface Oxidation as Electrocatalysts for the Oxygen Evolution Reaction. Angew. Chem. (Int. Ed. Engl.) 2015, 54, 14710–14714. [Google Scholar] [CrossRef]
- Zhang, S.; Miran, M.S.; Ikoma, A.; Dokko, K.; Watanabe, M. Protic Ionic Liquids and Salts as Versatile Carbon Precursors. J. Am. Chem. Soc. 2014, 136, 1690–1693. [Google Scholar] [CrossRef] [PubMed]
- Weng, C.-C.; Ren, J.-T.; Hu, Z.-P.; Yuan, Z.-Y. Nitrogen-Doped Defect-Rich Graphitic Carbon Nanorings with CoOx Nanoparticles as Highly Efficient Electrocatalyst for Oxygen Electrochemistry. ACS Sustain. Chem. Eng. 2018, 6, 15811–15821. [Google Scholar] [CrossRef]
- Zhou, W.; Liu, Y.; Liu, H.; Wu, D.; Zhang, G.; Jiang, J. Co/N-Doped hierarchical porous carbon as an efficient oxygen electrocatalyst for rechargeable Zn–air battery. RSC Adv. 2021, 11, 15753–15761. [Google Scholar] [CrossRef]
- Huang, B.; Liu, Y.; Xie, Z. Biomass derived 2D carbons via a hydrothermal carbonization method as efficient bifunctional ORR/HER electrocatalysts. J. Mater. Chem. A 2017, 5, 23481–23488. [Google Scholar] [CrossRef]
- Wang, X.-R.; Liu, J.-Y.; Liu, Z.-W.; Wang, W.-C.; Luo, J.; Han, X.-P.; Du, X.-W.; Qiao, S.-Z.; Yang, J. Identifying the Key Role of Pyridinic-N–Co Bonding in Synergistic Electrocatalysis for Reversible ORR/OER. Adv. Mater. 2018, 30, 1800005. [Google Scholar] [CrossRef]
- Paulus, U.A.; Schmidt, T.J.; Gasteiger, H.A.; Behm, R.J. Oxygen reduction on a high-surface area Pt/Vulcan carbon catalyst: A thin-film rotating ring-disk electrode study. J. Electroanal. Chem. 2001, 495, 134–145. [Google Scholar] [CrossRef]
- Liu, P.; Yao, Y.; Zhang, S.; Liu, L.; Zeng, S.; Li, Z.; Jiang, S.; Zhang, Q.; Zeng, X.; Zou, J. Cobalt and nitrogen doped porous carbon nanofibers as an efficient electrocatalyst for high performance oxygen reduction reaction. J. Mater. Sci. Mater. Electron. 2020, 31, 7596–7605. [Google Scholar] [CrossRef]
- Awin, E.W.; Miled, M.B.; Comminges, C.; Habrioux, A.; Bernard, S.; Schafföner, S.; Motz, G. Unveiling the potential of ultra-low load Co on porous carbon-rich SiCN(O) fibre mats towards oxygen electrocatalysis in alkaline medium. Int. J. Hydrogen Energy 2024, 88, 956–964. [Google Scholar] [CrossRef]
- Mooste, M.; Kibena-Põldsepp, E.; Vassiljeva, V.; Kikas, A.; Käärik, M.; Kozlova, J.; Kisand, V.; Külaviir, M.; Cavaliere, S.; Leis, J.; et al. Electrospun Polyacrylonitrile-Derived Co or Fe Containing Nanofibre Catalysts for Oxygen Reduction Reaction at the Alkaline Membrane Fuel Cell Cathode. ChemCatChem 2020, 12, 4568–4581. [Google Scholar] [CrossRef]
- Chen, S.; Zhang, M.; Zou, P.; Sun, B.; Tao, S. Historical development and novel concepts on electrolytes for aqueous rechargeable batteries. Energy Environ. Sci. 2022, 15, 1805–1839. [Google Scholar] [CrossRef]
- Hai, X.; Zhao, X.; Guo, N.; Yao, C.; Chen, C.; Liu, W.; Du, Y.; Yan, H.; Li, J.; Chen, Z.; et al. Engineering Local and Global Structures of Single Co Atoms for a Superior Oxygen Reduction Reaction. ACS Catal. 2020, 10, 5862–5870. [Google Scholar] [CrossRef]
- Chen, Y.; Gao, R.; Ji, S.; Li, H.; Tang, K.; Jiang, P.; Hu, H.; Zhang, Z.; Hao, H.; Qu, Q.; et al. Atomic-Level Modulation of Electronic Density at Cobalt Single-Atom Sites Derived from Metal–Organic Frameworks: Enhanced Oxygen Reduction Performance. Angew. Chem. Int. Ed. 2021, 60, 3212–3221. [Google Scholar] [CrossRef]
- Luo, X.; Zhao, S.; Luo, Z.; Li, S.; Zhao, X.; Fang, Q.; Wei, X.; Wang, H.; Wang, C.; Zhu, Z.; et al. Synergies of Ru/Co nanoparticles and Co single atoms active sites toward efficient electrocatalysis of oxygen reduction reaction for Zn-Air battery. Chem. Eng. J. 2023, 463, 142184. [Google Scholar] [CrossRef]















| Label | Co Precursor | Tcarb, °C |
|---|---|---|
| CNx | - | 700 |
| CoAcCNx-700 | Co(OAc)2·4H2O | 700 |
| CoL2CNx-700 | CoL2 | 700 |
| CoL2CNx-900 | CoL2 | 900 |
| CoL2CNx-1100 | CoL2 | 1100 |
| Sample | CoAcCNx-700 | CoL2CNx-700 | CoL2CNx-900 | CoL2CNx-1100 |
|---|---|---|---|---|
| Surface area (BET/double layer capacity), m2 × g−1 | 71.6/80 | 440.3/250 | 210.3/150 | 150.2/120 |
| Smicro, m2 × g−1 | 44.1 | 231.8 | 112.3 | 86.4 |
| Vpore, cc × g−1 | 0.12 | 0.79 | 0.34 | 0.22 |
| Average pore diameter, nm | 3.45 | 3.71 | 3.50 | 3.85 |
| Micropore percentage, % | 61.6 | 52.6 | 53.4 | 57.5 |
| Sample | Bragg Angle (°) | d002 (nm) | 2θ (°) | β (Radian × 10−2) | DCo (nm) |
|---|---|---|---|---|---|
| CoAcCNx-700 | 25.79 | 0.345 | 44.46 | 3.09 | 22.4 |
| CoL2CNx-700 | 25.95 | 0.344 | 44.10 | 4.77 | 18.8 |
| CoL2CNx-900 | 25.94 | 0.343 | 44.12 | 4.17 | 23.0 |
| CoL2CNx-1100 | 25.87 | 0.345 | 44.22 | 4.25 | 24.2 |
| Sample | CoAcCNx-700 | CoL2CNx-700 | CoL2CNx-900 | CoL2CNx-1100 |
|---|---|---|---|---|
| Tcarb | 700 | 700 | 900 | 1100 |
| C, at.% | 84.0 | 84.3 | 93.3 | 95.44 |
| N, at.% | 4.5 | 2.92 | 1.28 | 0.63 |
| O, at.% | 9.9 | 12.75 | 4.94 | 3.7 |
| Co, at.% | 1.5 | 0.44 | 0.44 | 0.26 |
| Material | CNx | CoAcCNx-700 | CoL2CNx-700 | CoL2CNx-900 | CoL2CNx-1100 | Pt/C |
|---|---|---|---|---|---|---|
| E, V | 0.69 | 0.82 | 0.85 | 0.82 | 0.83 | 0.96 |
| 1/ik, cm2/mA | 196.9 | 39.1 | 90.9 | 73.9 | 21.9 | 0.5 |
| η, mV | 542 | 407 | 383 | 412 | 404 | 267 (295) |
| Sample | Precursor | Tpyrolysis, (K) | Eonset, (V vs. RHE), 0.1 M KOH | Tafel Plot Slope (mV × dec−1) | Ref. |
|---|---|---|---|---|---|
| CoL2CNx-1100 | Co complex of 1-(2-pyridylazo)-2-naphthol) | 1100 | 0.83 | 45.0 | This work |
| Co–N-CNFs-0.2-800 | Co/Zn PAN@BZIFs | 800 | 0.96 | 60.2 | [60] |
| FeCo/N-C CNFs | Zn(Ac)2·2H2O, Co(Ac)2·4H2O, FeCl3·6H2O | 800 | 0.99 | 80.0 | [28] |
| MN4-PAN-A | Fe(II)phthalocyanine, Co(II)phthalocyanine | 900 | 0.90 | 71.2 | [31] |
| Co–SiCN(O)-700 * | Co(NO3)2·6H2O | 700 | 0.83 | - | [61] |
| Co-PAN-A1000 | Co(OAc)2 | 1000 | 0.91 | - | [62] |
| Co-N-C@PAN (PAN@ZIF-67) | CoCl2 | 800 | 1.05 | 72.4 | [29] |
| Co-N-C (ZIF-67 NPs) | CoCl2 | 800 | 0.91 | 80.8 | [29] |
| NiFe@C@Co CNFs | Ni(OAc)2,Fe(acac)3, Zn(Ac)2, Co(NO3)2·6H2O | 800 | 0.94 | 57.0 | [63] |
| CoN-CS-800 | Zn(NO3)2·6H2O, Co(NO3)3·9H2O | 800 | 0.88 | 93.0 | [30] |
| FeCo@MNC | Co(NO3)2·6H2O, FeCl3·6H2O | 900 | - | 66.0 | [32] |
| Co−N−C(A) | Co-ZIF-8 | 900 | 1.01 | 59 | [27] |
| Co−N3C1@GC | Co/Zn-ZIF@ZIF-6 | 900 | 0.91 | 46 | [64] |
| Co1−N3PS/HC | Co-ZIF-8@PZS | 950 | 1.00 | 31 | [65] |
| Co-pyridinic N−C | Co-ZIF-8@Lys | 1100 | 0.99 | 98 | [26] |
| RuCo@Co−N−C | RuCo-ZIFs | 700 | - | 51 | [66] |
Disclaimer/Publisher’s Note: The statements, opinions and data contained in all publications are solely those of the individual author(s) and contributor(s) and not of MDPI and/or the editor(s). MDPI and/or the editor(s) disclaim responsibility for any injury to people or property resulting from any ideas, methods, instructions or products referred to in the content. |
© 2024 by the authors. Licensee MDPI, Basel, Switzerland. This article is an open access article distributed under the terms and conditions of the Creative Commons Attribution (CC BY) license (https://creativecommons.org/licenses/by/4.0/).
Share and Cite
Kalnin, A.; Kharisova, K.; Lukyanov, D.; Filippova, S.; Li, R.; Yang, P.; Levin, O.; Alekseeva, E. Impact of Metal Source Structure on the Electrocatalytic Properties of Polyacrylonitrile-Derived Co-N-Doped Oxygen Reduction Reaction Catalysts. Nanomaterials 2024, 14, 1924. https://doi.org/10.3390/nano14231924
Kalnin A, Kharisova K, Lukyanov D, Filippova S, Li R, Yang P, Levin O, Alekseeva E. Impact of Metal Source Structure on the Electrocatalytic Properties of Polyacrylonitrile-Derived Co-N-Doped Oxygen Reduction Reaction Catalysts. Nanomaterials. 2024; 14(23):1924. https://doi.org/10.3390/nano14231924
Chicago/Turabian StyleKalnin, Arseniy, Ksenia Kharisova, Daniil Lukyanov, Sofia Filippova, Ruopeng Li, Peixia Yang, Oleg Levin, and Elena Alekseeva. 2024. "Impact of Metal Source Structure on the Electrocatalytic Properties of Polyacrylonitrile-Derived Co-N-Doped Oxygen Reduction Reaction Catalysts" Nanomaterials 14, no. 23: 1924. https://doi.org/10.3390/nano14231924
APA StyleKalnin, A., Kharisova, K., Lukyanov, D., Filippova, S., Li, R., Yang, P., Levin, O., & Alekseeva, E. (2024). Impact of Metal Source Structure on the Electrocatalytic Properties of Polyacrylonitrile-Derived Co-N-Doped Oxygen Reduction Reaction Catalysts. Nanomaterials, 14(23), 1924. https://doi.org/10.3390/nano14231924

