Next Article in Journal
Impact of Metal Source Structure on the Electrocatalytic Properties of Polyacrylonitrile-Derived Co-N-Doped Oxygen Reduction Reaction Catalysts
Previous Article in Journal
Plasma-Assisted Preparation of Reduced Graphene Oxide and Its Applications in Energy Storage
 
 
Font Type:
Arial Georgia Verdana
Font Size:
Aa Aa Aa
Line Spacing:
Column Width:
Background:
Article

Self-Powered Photodetectors with High Stability Based on Se Paper/P3HT:Graphene Heterojunction

School of Integrated Circuits, Jiangnan University, Wuxi 214122, China
*
Author to whom correspondence should be addressed.
Nanomaterials 2024, 14(23), 1923; https://doi.org/10.3390/nano14231923
Submission received: 3 November 2024 / Revised: 23 November 2024 / Accepted: 26 November 2024 / Published: 29 November 2024
(This article belongs to the Special Issue Graphene and 2D Material-Based Photodetectors)

Abstract

Photodetectors based on selenium (Se) have attracted significant attention because of their outstanding optoelectronic characteristics, including their rapid reactivity and high photoconductivity. However, the poor responsivity of pure Se limits their further development. In this study, a novel Se-P/P3HT:G photodetector was designed and fabricated by combining an organic semiconductor made of poly-3-hexylthiophene mixed with graphene (P3HT:G) with self-supporting Se paper (Se-P) via spin-coating process. The device possesses a dark current of around 4.23 × 10−12 A and self-powered characteristics at 300–900 nm. At zero bias voltage and 548 nm illumination, the Se-P/P3HT:G photodetector demonstrates a maximum photocurrent of 1.35 × 10−9 A (745% higher than that of Se-P at 0.1 V), a quick response time (16.2/27.6 ms), an on/off ratio of 292, and a maximum detectivity and responsivity of 6.47 × 1011 Jones and 34 mA W−1, respectively. Moreover, Se-P/P3HT:G exhibits superior environmental stability. After one month, the photocurrent value of the Se-P/P3HT:G device held steady at 91.4% of its initial value, and even following pre-treatment at 140 °C, the on/off ratio still remained 17 (at a retention rate of about 5.9%). The excellent thermal stability, environmental reliability, and optoelectronic performance of this heterojunction structure offer a useful pathway for the future advancement of high-performance optoelectronic devices.

1. Introduction

Photodetectors capable of discerning diverse and intricate environmental data have attracted significant attention across a range of fields, including medicine, space exploration, military operations, and scientific research [1,2,3,4]. Self-powered photodetectors present a variety of promising application prospects because of their exceptional flexibility, portability, and no external energy consumption. However, to obtain high-performance photodetectors, there are several challenges that need to be solved, such as a limited light response range, poor long-term stability, and difficulties integrating and producing them at a large scale [5,6,7,8,9,10,11]. Photodetectors use the built-in electric potential of heterojunctions, or Schottky junctions, to quickly separate electron–hole pairs. Compared to Schottky junctions, heterojunctions are more suited to photodetectors because they do not require frequent adjustments of the height and stability of the Schottky barrier throughout the material and manufacturing processes [12]. Doping is one of the most common methods for improving their optoelectronic performance. However, issues including restrictions on the implementation of doping, selecting appropriate dopants, and modifying the doping ratios still need to be resolved. Therefore, it is highly beneficial to look for appropriate materials and an inexpensive, user-friendly process for making self-powered, high-performance photodetectors.
Selenium (Se) is a p-type semiconductor with a boiling point of 684.9 °C and a low melting point of 217 °C, which makes it suitable for preparing nanostructures with different morphologies at low temperatures using chemical vapor deposition (CVD). The current of Se can be changed rapidly with illumination at different light intensities, so it can be used widely for photoelectric detection in the ultraviolet–visible spectrum [13,14]. The Se microtube photodetector reported by Hu et al. exhibited a maximum responsivity of 19 mA W−1 at 610 nm with the range of 300 to 700 nm [15]. The low responsivity of elemental Se limits its application because of high optical reflectance. Heterojunction structures combining Se and other semiconductors (organic and inorganic) have been used to harness self-powered characteristics with high photodetection properties. Organic semiconductor materials provide various advantages, including tunable band gaps, high solubility, ease of processing, a light weight, flexibility, and the ability to reduce incident light reflection to enhance the light absorption rate [16,17,18]. Organic semiconductors (PPy, PANI, PEDOT, and Spiro-MeOTAD) have been deposited onto low-dimensional Se microtubes to create self-powered photodetectors, exhibiting high switch ratios of about 156–1300, a responsivity of 5.5–120 mA W−1, and fast response times in the order of milliseconds [19,20,21,22,23,24,25,26,27,28]. However, in the above organic semiconductors, disadvantages such as a low carrier mobility, poor stability, susceptibility to environmental effects, and difficulty in processing may exist. Therefore, it is essential to choose organic materials with a high stability and high carrier mobility to improve their self-powered photodetection performance.
Poly(3-hexylthiophene) (P3HT) is the most researched polythiophene derivative, which is utilized in solar cells [29], thermoelectric devices [30], and photodetectors [31] because of its outstanding stability, broad bandgap, excellent hole transport capability, superior solubility, and processability. In the self-biased mode, ZnO/Pt/P3HT hybrid ultraviolet (UV) photodiodes exhibit a specific detectivity of 2 × 1012 Jones, photosensitivity of 46, and photoresponsivity of 14.8 mA W−1, respectively. These devices exhibit quick response times of only 45 ms, strong UV sensitivity, and low power consumption [32]. P3HT has superior adhesion and stability. Adding P3HT to a ZnO/CsSnBr3 heterojunction photodetector improved its specific detectivity to 1.40 × 1014 Jones and its responsivity to 1.56 A W−1 in self-driven mode and reduces the dark current due to the surface passivation effect of P3HT on CsSnBr3 [33]. Graphene exhibits a high carrier mobility and absorptivity. A Si:Ag/graphene infrared photodetector exhibited external quantum efficiency (EQE) values of 97.26% and 7.37% at 1310 nm and 1550 nm, respectively. This outstanding photoelectric performance is due to the high optical absorption of defects at a deep level caused by highly doped Ag impurities and the high mobility of graphene, which can effectively generate a photocurrent [34]. Graphene can improve the photoelectric performances of WO3 devices due to its ability to both absorb visible light and transfer photogenerated electrons. Compared to pure WO3 devices, the responsivity (0.253 A W−1) and specific detectivity (5.136 × 1011 Jones) of WO3/graphene increased by 53% and 52%, respectively [35]. Adding graphene to P3HT at a 50% ratio results in an expanded absorption spectrum in the UV–visible region and up to a 34% increase in the absorption area, attributed to the ability of graphene to capture light [36]. It is also possible to obtain greater conductivity and reduce the tangent losses [37]. A phototransistor fabricated by combining graphene with P3HT demonstrated a high hole mobility of up to 18 cm2 V−1 s−1, a responsivity of 18 A W−1 in the visible light range, and a short rise/fall response time of 2.2/2.3 ms, which was explained by the fast charge transfer from the P3HT to the graphene [38]. Therefore, P3HT:graphene (P3HT:G) may provide a promising pathway for the current photodetection industry.
In this work, self-supporting Se paper (Se-P) was prepared using the vapor deposition approach. Se-P/P3HT and Se-P/P3HT:G photodetectors were fabricated using spin- coating process as shown in Figure 1. P3HT:G was utilized to improve the mobility, light absorption, and generation of additional photogenerated carriers. In comparison to pure Se-P, the responsivity of Se-P/P3HT and Se-P/P3HT:G increased 2.7 times (from 8.68 mA W−1 to 23.6 mA W−1) and 3.9 times (from 8.68 mA W−1 to 34 mA W−1) over at 548 nm. The photoelectric characteristics of these two kinds of devices at zero bias and the corresponding physical mechanisms were systematically analyzed, with the corresponding energy band diagrams.

2. Materials and Methods

2.1. Preparation of Se-P

A ceramic boat filled with Se powder (A.R. 99%) was placed in the center of a tubular furnace, with high-purity nitrogen injected 2–3 times to remove the air from the furnace. A quartz tube was kept in a low-pressure environment before heating. Then, the temperature of the center of the tube furnace was boosted by 10 °C per minute to 260 °C, and this was held at 260 °C for 90 min before allowing the tube furnace to cool naturally to room temperature. A layer of Se was obtained on the inner wall of the quartz tube and the mica substrate at the end of the tube after adding new Se powder and repeating the above experimental steps four times. In the following step, the mica substrate or the quartz tube with the Se film was dried for two hours at 90 °C in a blast-drying oven. After that, the Se film was collected from the mica substrate or the tube wall at room temperature using tweezers.

2.2. Preparation of P3HT:G

Graphene nanosheets were dispersed in dimethyl sulfoxide (1 mg mL−1), isopropanol, and ethylene glycol mixed solutions and ultrasonicated for 24 h at 5 °C. A total of 25 μL of the graphene dispersion solution was added to 1 mL of P3HT solution and stirred for 12 h at room temperature to obtain a P3HT:G (at a weight ratio of about 1:0.025) mixed solution.

2.3. Preparation of Se-P/P3HT:G Heterojunctions

The Se-P (0.5 cm × 0.5 cm) was transferred onto a glass substrate. P3HT:G mixed solution was deposited onto the Se-P piece using the spin coating method at 1000 rpm for 30 s. Finally, Ag paste was deposited onto the Se-P and P3HT:G as their electrodes, respectively, followed by 10 min of thermal annealing in air at 50 °C.

2.4. Material Characterization

Samples were examined using a JSM-7000F (Japan Electronics Co., Ltd., Tokyo, Japan) scanning electron microscope (SEM) to determine their morphology and structure. A Bruker D8-A25X (Bruker Scientific Technology Co., Ltd., Karlsruhe, Germany) X-ray diffractometer (XRD) was used to obtain the X-ray diffraction patterns. A Varian Cary 500 UV-vis spectrophotometer (Agilent Technology Co., Ltd., Santa Clara, CA, USA) was used to measure the UV–visible absorption spectra, and a LabRam-1B Raman spectrometer was used to acquire the Raman spectra at an excitation wavelength of 632.8 nm. The optoelectronic properties of the heterojunctions were investigated using Keithley 4200-based semiconductor (Teck Technology Co., Ltd., Thousand Oaks, CA, USA) testing equipment at room temperature.

3. Results and Discussions

Good self-supporting Se-P was prepared using the CVD method, as seen in Figure 2a, with an area of about 1 cm2, which could readily be transferred onto the substrate. The Se-P exhibited a uniform, multilayer, porous surface (Figure 2b) formed of Se nanoribbons with lengths ranging from 3 to 8 μm (Figure 2c). This porous multilayer structure of the Se nanoribbons is a great carrier for depositing organic semiconductors. The P3HT:G mixed solution successfully attached to the surface of the Se-P (Figure 2d), which reduced the carrier transport distances. Graphene nanoflakes are clearly visible in Figure 2e, with their diameter and thickness varying from 300 nm to 1 μm and around 50 nm, respectively. The P3HT solution adhering to the graphene nanosheets is clearly embedded into the surface of the Se-P, as seen in the high-magnification SEM image in Figure 2f.
The XRD patterns of Se-P, graphene, and Se-P/P3HT:G are shown in Figure 3a. Se-P has high crystallinity and belongs to trigonal selenium (t-Se), which matches the standard PDF card JCPDS No. 65-1876. Peaks characteristic of graphene are located at 26.4° and 54.7°, respectively, which are consistent with the crystal faces of the (002) and (004) crystal planes. The P3HT:G layer reduces the intensity of the Se-P diffraction peaks beyond 40°. The primary diffraction peaks at the (100) and (011) crystal planes show no change in intensity, suggesting that the addition of P3HT:G has a slight influence on the crystallinity of Se-P. The Raman spectra of Se-P, graphene, P3HT, and Se-P/P3HT:G are shown in Figure 3b. The D-band (1340 cm−1, disordered C-C structure), 2D-band (2685 cm−1, double-resonant) and conventional G-band (1594 cm−1, sp2-hybridized carbon) of graphene are present. The number of layers and defect content of graphene can be calculated via the G/2D and D/G intensity ratios. The IG/2D and ID/G of graphene are approximately 0.61 and 0.1, respectively, indicating the presence of monolayer graphene [39]. P3HT contains the C-H stretching vibration at 2896 cm−1 [40], the C-C intra-ring stretch mode at 1379 cm−1, the symmetric C=C stretch mode at 1440 cm−1, the inter-ring C-C stretch at 1208 cm−1, and the C-S stretching vibration at 748 cm−1 [41]. The Raman spectrum of Se-P/P3HT:G shows the G and 2D bands of P3HT:G at 1596 and 2785 cm−1, respectively, since the C-C stretching vibration of P3HT suppresses the D peak. In addition, the G band shifts from 1593 cm−1 to 1596 cm−1, which also indicates that charge transfer has occurred between the P3HT and graphene [42]. The characteristic peak at 236.6 cm−1 corresponds to the Se-P bond. These findings indicate the successful fabrication of a Se-P/P3HT:G heterojunction structure.
The UV-vis absorption spectra of P3HT, graphene, P3HT:G, Se-P, and Se-P/P3HT:G are shown in Figure 3c. P3HT shows a wide range of absorption from 400 to 700 nm, culminating at about 600 nm, which corresponds to the π-π* transition of the P3HT conjugated system [43]. After adding graphene to P3HT, the P3HT chains unfold at the edges and flaws of the graphene surface [44]. The absorption peak of P3HT:G is shifted towards the infrared region, broadening the absorption spectrum, with a noticeable increase in the absorbance between 350 nm and 550 nm [45]. The absorption cutoff edge of Se-P/P3HT:G spreads from 670 nm (equal to P3HT:G) to 724 nm due to the capacity of Se-P to broaden the response range. The UV-vis absorption spectra depicted in Figure 3c can be used to calculate the bandgaps of the P3HT:G and Se-P shown in Figure 3d, which are 1.8 eV and 1.62 eV, respectively.
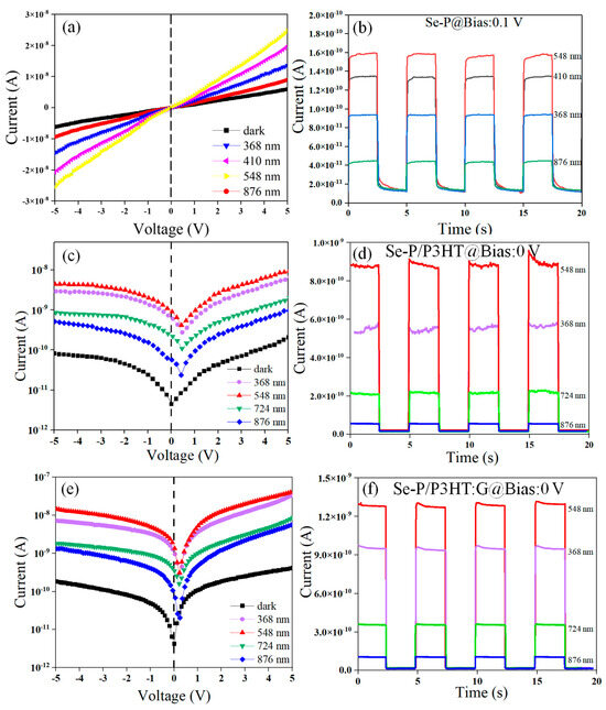
The current–voltage (I-V) curves of Se-P under darkness (0.10 mW cm−2) and illumination at 368 nm (0.52 mW cm−2), 410 nm (0.54 mW cm−2), 548 nm (1.31 mW cm−2), and 876 nm (0.32 mW cm−2) are shown in Figure 4a. Se-P exhibits the lowest current in darkness. The light current (Ilight) of Se-P gradually rises in the ultraviolet region (368 nm), reaches its maximum in the visible region (548 nm), and then drops to 10 nA at 876 nm under a 5 V bias, indicating good broadband photoelectronic performance. The I–V curves of Se-P at forward and reverse bias are both linear, indicating ohmic contact between the Ag electrode and the Se-P. The current–time (I-t) curves of Se-P under a 0.1 V bias at various wavelengths (Figure 4b) illustrate its good photoelectric properties. At 368 nm, 410 nm, 548 nm, and 876 nm, the photocurrent of Se-P is 93 pA, 134 pA, 160 pA, and 44 pA, respectively, while the dark current is roughly 12 pA, and the on/off (Ilight/Idark) ratios can be calculated to be 7.8, 11.1, 13.3, and 3.7, respectively.
The Se-P/P3HT heterojunction formed of P3HT deposited onto the surface of Se-P exhibits a dark current of approximately 4.37 × 10−12 A (Figure 4c) and an open-circuit voltage (Voc) value of 0.18 V. A built-in electric field is created that enables a photoresponse without the need for an external voltage, demonstrating the self-powered capability of the device. The I-V curves of the Se-P/P3HT photodetector in logarithmic coordinates present an asymmetric pattern. Although the Ilight values under a positive and negative bias voltage are different, the rectification ratio is relatively small, at about 2, which may be caused by the low barrier height of the ohmic contact and the different degrees of contact of the Ag electrode. The I-t curves of the Se-P/P3HT device in Figure 4d show the maximal photocurrent of 8.89 × 10−10 A at 548 nm light irradiation, with an on/off ratio of 203. Under 876 nm light irradiation, the photocurrent decreases to 7.63 × 10−11 A, with an on/off ratio of 17 due to the weak absorption beyond 700 nm. The Se-P/P3HT:G photodetector exhibits a decreased dark current of 4.23 × 10−12 A due to the high resistance of graphene and a built-in potential (Voc) of 0.2 V under illumination, demonstrating its self-powered capability (Figure 4e).The Ilight value of the Se-P/P3HT:G device at 548 nm and a 0 V bias is 1.36 × 10−9 A, with the on/off ratio increased to 292, implying the addition of graphene improves the carrier transport capability inside the P3HT:G active layer, leading to a rise in the photocurrent values (Figure 4f) [46]. The bigger built-in electric field the separation of electron–hole pairs more efficiently promotes, considerably increasing the photocurrent and decreasing the response time.
One of the most important features of any photodetector is its rise/fall time. Under illumination, the time it takes for a photodetector to climb from 10% to 90% of its saturated photocurrent is called the rise time, and the time it takes for it to drop from 90% of its saturated photocurrent to 10% is called the fall time. The rise and fall times of the Se-P (Figure 5a), Se-P/P3HT (Figure 5b), and Se-P/P3HT:G (Figure 5c) devices during one cycle are 45.8 ms/89.1 ms, 20.3 ms/28.6 ms, and 16.2 ms/27.6 ms under 548 nm illumination at zero bias, respectively. Because of the π–π stacking of graphene at various angles in the P3HT:G mixed layer, which favors the establishment of a continuous pathway for charge transport to increase the recombination rate of electrons and holes, the rise/fall time of the Se-P/P3HT:G device is 125%/104% faster compared to that of the Se-P/P3HT device. Furthermore, both the process of the drop in the current of carrier recombination under dark conditions and the process of an increase in current in the device’s response under illumination are linear.
To determine the optoelectronic capability of the devices, the key parameters responsivity (R), specific detectivity (D*), and external quantum efficiency (EQE) of the Se-P, Se-P/P3HT, and Se-P/P3HT:graphene are evaluated using the equations below:
R = I p h P S
D * = R 2 q I d / S 1 2
E Q E = R q λ h c
where Iph is the photocurrent, defined as Ilight − Id; Id is the dark current; P is the power density of incident light; S is the effective irradiated area of the devices; λ is the light wavelength; c is the speed of light; h is the Planck constant; and q is the electron charge.
The calculated R values for the Se-P, Se-P/P3HT, and Se-P/P3HT:G devices at 0 V bias increase and subsequently decrease as a function of wavelengths, as displayed in Figure 5d. The maximal responsivity values for Se-P/P3HT and Se-P/P3HT:G are 23.6 mA W−1 and 34 mA W−1, generated at 548 nm, which are higher than that of Se-P, at 8.68 mA W−1, respectively. Compared to the Se-P/P3HT (3.41 × 1011 Jones) device and the Se-P device (1.46 × 1010 Jones), the D* values of Se-P/P3HT:G, as shown in Figure 5e, are superior between 348 and 876 nm in wavelength at 0 V bias, with a maximum value of 6.47 × 1011 Jones at 548 nm, indicating its higher capability to detect optical signals under the influence of fixed noise. At 548 nm, the highest EQE values of the Se-P/P3HT and Se-P devices are 15.2% and 3.94%, which are 67.2% and 17.4% lower than those of the Se-P/P3HT:G device (22.6%), respectively. The built-in electric field quickly separates the numerous electron–hole pairs produced by the light absorption of P3HT:G, resulting in the maximum spectral responsiveness of Se-P/P3HT:G occurring at 548 nm. Nevertheless, because of the decreasing penetration depth of photon light and the recombination of the electron–hole carriers produced, the responsivity tends to decrease as the photoenergy increases beyond 548 nm. The Se-P/P3HT:G photodetector performs better in key parameters like R, D*, and EQE and displays a larger photocurrent, a greater on/off ratio, and a faster response speed when compared to Se-P/P3HT and Se-P. The Se-P/P3HT:G photodetector exhibits a relatively high specific detectivity and performs similarly to other photodetectors that have been previously described using Se micro/nanostructures or the organic materials P3HT and graphene, as listed in Table 1.
The UPS spectra of Se-P (a) and (b) P3HT: G are shown in Figure 6. Based on the formula Ev = −[21.20 − (Ecutoff − Eonset)], the valence band (Ev) of Se-P and the highest occupied molecular orbital (HOMO) of P3HT:G are calculated as −4.72 and −5 eV, respectively. According to the Eg of Se-P (1.62 eV) and P3HT:G (1.8 eV), which is consistent with the cutoff wavelength calculated from the UV-vis absorption spectra (Eg = 1240/λ, λ is the wavelength of light), the Ec of Se-P (3.1 eV) and the lowest occupied molecular orbital (LOMO) of P3HT:G (3.2 eV) can be calculated, resulting in a type-II heterojunction with Ag as the electron and hole transport electrodes. The Eg of P3HT is 1.9 eV, with an Ec of 2.8 eV and an Ev of 4.7 eV (Figure 6c). The energy band difference in Se-P and P3HT is ∆Ec = 0.30 eV and ∆Ev = 0.02 eV. The discrepancies in the valence and conduction bands of Se-P and P3HT:G are ∆Ev = 0.28 eV and ∆Ec = 0.1 eV, respectively, as depicted in Figure 6d. When the contact surface is balanced, a built-in electric field is created as a result of the majority of the carriers’ diffusion. The photogenerated carriers are separated by this built-in electric field, and the drift motion creates a continuous photocurrent. Under light, electrons transition from P3HT to Se-p, and holes migrate upward from Se-p to P3HT, forming a current at the electrode (Figure 6e). When light illuminates the heterojunction, the electrons in the Se-P and P3HT:G valence bands absorb the light energy, moving to the conduction band and leaving holes in the valence band. A continuous current is created when the photogenerated electrons migrate from the Se-P conduction band to the P3HT:G conduction band, and the holes migrate from the P3HT:G valence band to the Se-P valence band owing to the energy disparities between the conduction and valence bands on both sides. With a work function of about 4.5 eV [51], which lies between the HOMO (highest occupied molecular orbital) and the LUMO (lowest unoccupied molecular orbital) of the P3HT:G, graphene can function as an electron acceptor, combining with the electron donor P3HT to form a continuous electron pathway, which can enhance the conductivity with a negligible effect on the bandgap. When graphene is added to P3HT, the energy discrepancy between the two materials facilitates the transfer of holes from graphene to P3HT, creating a built-in field that equilibrates the Fermi level and causes the LUMO energy levels to drop and the HOMO energy levels to rise. Proper band alignment between graphene and P3HT significantly improves the photoresponse. Compared to the Se-P/P3HT photodetector, the Se-P/P3HT:G device exhibits self-powered properties, a higher photocurrent, and a faster response speed.
In organic-based electronics, environmental stability is still a major problem, even with high performance. To further investigate the performance, the I-t curves of the unpackaged Se-P/P3HT:G device when placed at room temperature for one day, one week, and one month at 548 nm under 0 V bias are depicted in Figure 7a. After one month, the Ilight (1.24 × 10−9 A) of the Se-P/P3HT:G photodetector still remains 91.4% of the initial photocurrent (1.36 × 10−9 A), suggesting that the device has excellent environmental stability and very little long-term performance degradation. However, if the device is left on for a long, extended period, Ilight becomes unstable and exhibits significant oscillations and current spikes. As shown in Figure 7b, the Se-P/P3HT:G device displays the highest Ilight (1.36 × 10−9 A) and the minimum Id (4.23 × 10−12 A) with an on/off ratio of around 292 under 548 nm illumination at zero bias and 25 °C. After pre-treatment at 0 °C, the concentration and mobility of the charge carriers of the Se-P/P3HT:G device are dropped, leading to a lower photocurrent and dark current. Because of the lower hole transport capabilities of P3HT beyond 25 °C, the reverse cutoff properties of the device (i.e., carriers may more readily traverse the barrier zone) are weakened as the temperature increases, resulting in the Ilight falling and the Id increasing. After pre-treatment at 140 °C, the Ilight (4.39 × 10−10 A) remains 32.2% of the original value at 25 °C, while the Id increases to around 2.57 × 10−11 A, with an on/off ratio of 17, but the response time extends to 214 ms/1.84 s due to the increase in the electron–hole recombination rate and the decrease in the carrier lifetime. Selecting suitable organic semiconductor materials at the optimal processing temperature for preparing photoelectric devices will be a potential method to solve the problem of photoelectric performance being affected by temperature changes in future work.

4. Conclusions

In conclusion, a novel Se-P/P3HT:G broadband photodetector was successfully fabricated with good self-powered properties and high environmental stability by depositing P3HT:G mixed solution onto Se-P using the spinning method. With a high on/off ratio of 292, exceptional responsivity (34 mA W−1), a great specific detectivity of 6.47 × 1011 Jones, and a quick response time (16.2 ms/27.6 ms) at 548 nm, the Se-P/P3HT:G photodetector has a distinguished performance under 0 V bias. In comparison to the Se-P/P3HT photodetector, the Se-P/P3HT:G photodetector exhibits a 144% increase in its responsivity and a two-fold enhancement in its specific detectivity under 0 V bias at 548 nm, showing that the addition of graphene can significantly increase the conductivity and built-in potential of the device. With a millisecond-level response time, the response speed satisfies the needs of the majority of applications. Therefore, this work presents a novel method for achieving a simple, inexpensive, stable photodetector, which may provide a new path for photodetectors in the future.

Author Contributions

Conceptualization; methodology; formal analysis; writing—original draft preparation; writing—review and editing; visualization: X.Y. Investigation; writing—review and editing: Y.H. Writing—review and editing: P.L. Methodology; formal analysis; writing—review and editing: S.F. Writing—review and editing: X.W. Writing—review and editing: Y.J. Writing—review and editing; supervision; project administration; funding acquisition: P.Y. All authors have read and agreed to the published version of the manuscript.

Funding

Prof. Wan provides equipment for photoelectric performance. This work was supported by the National Natural Science Foundation of China (No. 51802124) and Jiangsu Province (BK 20180626) and founded by Jiangsu Graduate Research and Practice Innovation Program (No. KYCX23-2560).

Data Availability Statement

The data are contained within the article.

Conflicts of Interest

The authors declare no conflicts of interest.

References

  1. Yan, T.; Li, Z.Q.; Cao, F.; Chen, J.X.; Wu, L.M.; Fang, X.S. An All-Organic Self-Powered Photodetector with Ultraflexible Dual-Polarity Output for Biosignal Detection. Adv. Mater. 2022, 34, 2201303. [Google Scholar] [CrossRef] [PubMed]
  2. Zhang, Q.Y.; Li, N.; Zhang, T.; Dong, D.M.; Yang, Y.T.; Wang, Y.H.; Dong, Z.A.; Shen, J.Y.; Zhou, T.H.; Liang, Y.L.; et al. Enhanced Gain and Detectivity of Unipolar Barrier Solar Blind Avalanche Photodetector via Lattice and Band Engineering. Nat. Commun. 2023, 14, 418. [Google Scholar] [CrossRef] [PubMed]
  3. Ren, H.; Chen, J.D.; Li, Y.Q.; Tang, J.X. Recent Progress in Organic Photodetectors and their Applications. Adv. Sci. 2021, 8, 2002418. [Google Scholar] [CrossRef] [PubMed]
  4. Jiang, J.Z.; Deng, Y.D.; Li, J.; Guo, M.; Sun, J.; Li, X.L.; Lou, Z.D.; Hou, Y.B.; Hu, Y.F.; Teng, F. Multifunctional Photodetector with Tunable Response Bandwidth and Polarization Sensitivity. Adv. Funct. Mater. 2024, 34, 2400175. [Google Scholar] [CrossRef]
  5. Qiao, H.; Huang, Z.; Ren, X.; Liu, S.; Zhang, Y.; Qi, X.; Zhang, H. Self-Powered Photodetectors Based on 2D materials. Adv. Opt. Mater. 2020, 8, 1900765. [Google Scholar] [CrossRef]
  6. Silva, J.P.; Vieira, E.M.; Gwozdz, K.; Kaim, A.; Goncalves, L.M.; MacManus-Driscoll, J.L.; Hoye, R.L.; Pereira, M. High-Performance Self-Powered Photodetectors Achieved through the Pyro-phototronic Effect in Si/SnOx/ZnO Heterojunctions. Nano Energy 2021, 89, 106347. [Google Scholar] [CrossRef]
  7. Al Fattah, M.F.; Khan, A.A.; Anabestani, H.; Rana, M.M.; Rassel, S.; Therrien, J.; Ban, D. Sensing of Ultraviolet Light: A Transition from Conventional to Self-Powered Photodetector. Nanoscale 2021, 13, 15526–15551. [Google Scholar] [CrossRef]
  8. Meng, J.; Li, Q.; Huang, J.; Pan, C.; Li, Z. Self-Powered Photodetector for Ultralow Power Density UV Sensing. Nano Today 2022, 43, 101399. [Google Scholar] [CrossRef]
  9. Ouyang, W.; Chen, J.; Shi, Z.; Fang, X. Self-powered UV photodetectors based on ZnO nanomaterials. Appl. Phys. Rev. 2021, 8, 031315. [Google Scholar] [CrossRef]
  10. Peng, M.F.; Wen, Z.; Sun, X.H. Recent Progress of Flexible Photodetectors Based on Low-Dimensional II–VI Semiconductors and Their Application in Wearable Electronics. Adv. Funct. Mater. 2023, 33, 2211548. [Google Scholar] [CrossRef]
  11. Chen, J.X.; Ouyang, W.X.; Yang, W.; He, J.H.; Fang, X.S. Recent Progress of Heterojunction Ultraviolet Photodetectors: Materials, Integrations, and Applications. Adv. Funct. Mater. 2020, 30, 1909909. [Google Scholar] [CrossRef]
  12. Zhao, Z.Y.; Du, B.J.; Xin, Y.; Ren, Z.H.; Xing, F.; Zhang, F. Excellent Ultraviolet Optical Limiting Properties of Se Nanosheets. Nanotechnology 2023, 34, 385705. [Google Scholar] [CrossRef] [PubMed]
  13. Huang, W.C.; Wang, M.M.; Hu, L.P.; Wang, C.; Xie, Z.J.; Zhang, H. Recent Advances in Semiconducting Monoelemental Selenium Nanostructures for Device Applications. Adv. Funct. Mater. 2020, 30, 2003301. [Google Scholar] [CrossRef]
  14. Qin, J.K.; Qiu, G.; Jian, J.; Zhou, H.; Yang, L.M.; Charnas, A.; Zemlyanov, D.Y.; Xu, C.Y.; Xu, X.F.; Wu, W.Z.; et al. Controlled Growth of a Large-Size 2D Selenium Nanosheet and Its Electronic and Optoelectronic Applications. ACS Nano 2017, 11, 10222–10229. [Google Scholar] [CrossRef]
  15. Hu, K.; Chen, H.Y.; Jiang, M.M.; Teng, F.; Zheng, L.X.; Fang, X.S. Broadband Photoresponse Enhancement of a High-Performance t-Se Microtube Photodetector by Plasmonic Metallic Nanoparticles. Adv. Funct. Mater. 2016, 26, 6641–6648. [Google Scholar] [CrossRef]
  16. Fuentes-Hernandez, C.; Chou, W.F.; Khan, T.M.; Diniz, L.; Lukens, J.; Larrain, F.A.; Rodriguez-Toro, V.A.; Kippelen, B. Large-Area Low-Noise Flexible Organic Photodiodes for Detecting Faint Visible Light. Science 2020, 370, 698–701. [Google Scholar] [CrossRef]
  17. Park, T.; Kim, D.; Shin, B.; Hur, J.; Yoo, H. Facile, Real-Time Identification of Blood Components with Self-Powered Organic-Inorganic Heterostructure Photodetectors. Adv. Opt. Mater. 2022, 10, 2102542. [Google Scholar] [CrossRef]
  18. Yang, D.Z.; Ma, D.G. Development of Organic Semiconductor Photodetectors: From Mechanism to Applications. Adv. Opt. Mater. 2019, 7, 1800522. [Google Scholar] [CrossRef]
  19. Feng, S.L.; Chen, R.P.; Wang, W.W.; Yu, P.P.; Jiang, Y.F. Novel Se Microtube/Spiro-MeOTAD Heterojunction Photodetector. Acta Opt. Sin. 2022, 42, 2023002. [Google Scholar]
  20. Reddy, B.K.S.; Veeralingam, S.; Borse, P.H.; Badhulika, S. High Responsivity Self-Powered Flexible Broadband Photodetector Based on Hybrid Selenium-PEDOT:PSS Junction. Org. Electron. 2022, 108, 106586. [Google Scholar] [CrossRef]
  21. Hao, Q.Y.; Liu, J.D.; Dong, W.L.; Yi, H.; Ke, Y.X.; Tang, S.S.; Qi, D.Y.; Zhang, W.J. Visible to Near-Infrared Photodetector with Novel Optoelectronic Performance Based on Graphene/S-doped InSe Heterostructure on h-BN Substrate. Nanoscale 2020, 12, 19259–19266. [Google Scholar] [CrossRef] [PubMed]
  22. Yoon, H.H.; Ahmed, F.; Dai, Y.Y.; Fernandez, H.A.; Cui, X.Q.; Bai, X.Y.; Li, D.; Du, M.D.; Lipsanen, H.; Sun, Z.P. Tunable Quantum Tunneling through a Graphene/Bi2Se3 Heterointerface for the Hybrid Photodetection Mechanism. ACS Appl. Mater. Interfaces 2021, 13, 58927–58935. [Google Scholar] [CrossRef] [PubMed]
  23. Saroj, R.K.; Guha, P.; Lee, S.; Yoo, D.; Lee, E.; Lee, J.; Kim, M.; Yi, G.C. Photodetector Arrays Based on MBE-Grown GaSe/Graphene Heterostructure. Adv. Opt. Mater. 2022, 10, 2200332. [Google Scholar] [CrossRef]
  24. Yu, P.P.; Du, Q.Y.; Zheng, T.X.; Wang, W.W.; Wan, X.; Jiang, Y.F. Reduced Graphene Oxide/Se Microtube p-p Heterojunction for Self-Powered UV-NIR Broadband Photodetectors. ACS Appl. Nano Mater. 2024, 7, 5103–5112. [Google Scholar] [CrossRef]
  25. Reddy, B.K.S.; Veeralingam, S.; Borse, P.H.; Badhulika, S. A Flexible, Rapid Response, Hybrid Inorganic–Organic SnSe 2–PEDOT: PSS Bulk Heterojunction Based High-Performance Broadband Photodetector. Mater. Chem. Front. 2022, 6, 341–351. [Google Scholar] [CrossRef]
  26. Chen, R.P.; Feng, S.L.; Zheng, T.X.; Yu, P.P.; Jiang, Y.F. Ag Nanowires Enhance Performance of Self-Powered Photodetector Based on Selenium Microtube/Polythiophene. Chin. J. Lumin. 2022, 43, 1273–1280. [Google Scholar] [CrossRef]
  27. Chen, G.X.; Zhou, Y.; Zhang, G.B.; Li, J.; Qi, X. Flexible, Self-Powered Bi2O2Se/Graphene Photoeletrochemical Photodetector Based on Solid-State Electrolytes. Ceram. Int. 2021, 47, 25255–25263. [Google Scholar] [CrossRef]
  28. Yu, P.P.; Hu, K.; Chen, H.Y.; Zheng, L.X.; Fang, X.S. Novel p-p Heterojunctions Self-Powered Broadband Photodetectors with Ultrafast Speed and High Responsivity. Adv. Funct. Mater. 2017, 27, 1703166. [Google Scholar] [CrossRef]
  29. Wu, J.J.; Gao, Y.P.; Zhou, Z.H.; Du, Y.H.; Liu, J.W.; Wang, J.J.; Wang, Q.; Zhou, K.K.; Xian, K.H.; Lin, Z.J.; et al. Constructing High-Performance Solar Cells and Photodetectors with a Doping-Free Polythiophene Hole Transport Material. Adv. Funct. Mater. 2024, 34, 2308584. [Google Scholar] [CrossRef]
  30. Tonga, M. A Rational Ternary Design of P3HT/Insulating Polymers-CNTs/P3HT for the Enhanced Thermoelectric Performances. Compos. Interfaces 2022, 29, 197–213. [Google Scholar] [CrossRef]
  31. Qi, X.H.; Ji, X.Q.; Yue, J.Y.; Li, L.; Wang, X.; Du, L.; Liu, Z.; Li, P.G.; Guo, Y.F.; Tang, W.H. A Self-Powered Deep-Ultraviolet Photodetector Based on a Hybrid Organic-Inorganic p-P3HT/n-Ga2O3 Heterostructure. Phys. Scr. 2022, 97, 075804. [Google Scholar] [CrossRef]
  32. Agrawal, J.; Lahane, T.K.; Dixit, T.; Singh, V. ZnO/Pt/P3HT Hetero-Junction Configuration for High Performance Self-Biased UV Detection. IEEE Electron Device Lett. 2023, 44, 809–812. [Google Scholar] [CrossRef]
  33. Sulaman, M.; Yang, S.Y.; Zhang, Z.H.; Imran, A.; Bukhtiar, A.; Ge, Z.H.; Tang, Y.; Jiang, Y.R.; Tang, L.B.; Zou, B.S. Lead-Free Tin-Based Perovskites Nanocrystals for High-Performance Self-Driven Bulk-Heterojunction Photodetectors. Mater. Today Phys. 2022, 27, 100829. [Google Scholar] [CrossRef]
  34. Wang, Z.J.; Yu, X.G.; Qiu, X.D.; Fu, J.W.; Yang, D.R. High-Responsivity Graphene/Hyperdoped-Silicon Heterostructure Infrared Photodetectors. Opt. Laser Technol. 2022, 153, 108291. [Google Scholar] [CrossRef]
  35. Yadav, P.V.K.; Ajitha, B.; Reddy, Y.A.K.; Reddy, V.R.M. Enhanced Performance of WO3 Photodetectors Through Hybrid Graphene-Layer Integration. ACS Appl. Electron. Mater. 2021, 3, 2056–2066. [Google Scholar] [CrossRef]
  36. Tienne, L.G.P.; Paula, T.P.; Marques, M.D.V. Preparation and Optical-Electronic Properties of Thin Films Comprising P3HT and Few-Layer Graphene Nanosheets. Mater. Sci. Eng. B-Adv. Funct. Solid-State Mater. 2023, 293, 116505. [Google Scholar] [CrossRef]
  37. Elashry, M.H.; Mohamed, F.; Sharmoukh, W.; Hameed, T.A.; Shalaby, R.M. An Investigation of Structural, Optical, and Electrical Properties of Poly(3-hexylthiophene)/Reduced Graphene Oxide Nanocomposites for Electronic and Optoelectronic Applications. Polym. Adv. Technol. 2024, 35, e6220. [Google Scholar] [CrossRef]
  38. Che, Y.L.; Cao, X.L.; Zhang, Y.T.; Yao, J.Q. Highly Responsive Graphene Phototransistor for Visible Light Enhanced by Poly(3-hexylthiophene). J. Appl. Phys. 2019, 125, 193102. [Google Scholar]
  39. Lin, Z.; Ye, X.H.; Han, J.P.; Chen, Q.; Fan, P.X.; Zhang, H.J.; Xie, D.; Zhu, H.W.; Zhong, M.L. Precise Control of the Number of Layers of Graphene by Picosecond Laser Thinning. Sci. Rep. 2015, 5, 11662. [Google Scholar] [CrossRef]
  40. Bkakri, R.; Kusmartseva, O.E.; Kusmartsev, F.V.; Song, M.; Bouazizi, A. Degree of Phase Separation Effects on the Charge Transfer Properties of P3HT: Graphene Nanocomposites. J. Lumines. 2015, 161, 264–270. [Google Scholar] [CrossRef]
  41. Shen, C.; Song, G.Q.; Zhu, X.L.; Wang, D.; Huang, L.; Sun, Z.H.; Wu, Y.P. An In-Depth Study of Heteroatom Boosted Anode for Potassium-Ion Batteries. Nano Energy 2020, 78, 105294. [Google Scholar] [CrossRef]
  42. Mohan, V.B.; Brown, R.; Jayaraman, K.; Bhattacharyya, D. Characterisation of Reduced Graphene Oxide: Effects of Reduction Variables on Electrical Conductivity. Mater. Sci. Eng. B-Adv. Funct. Solid-State Mater. 2015, 193, 49–60. [Google Scholar] [CrossRef]
  43. Dalton, A.B.; Stephan, C.; Coleman, J.N.; McCarthy, B.; Ajayan, P.M.; Lefrant, S.; Bernier, P.; Blau, W.J.; Byrne, H.J. Selective Interaction of a Semiconjugated Organic Polymer with Single-Wall Nanotubes. J. Phys. Chem. B 2000, 104, 10012–10016. [Google Scholar] [CrossRef]
  44. Sharma, N.; Gupta, S.K.; Negi, C.M.S. New Insights into the Impact of Graphene Oxide Incorporation on Molecular Ordering and Photophysical Properties of PTB7:C70 Blends. J. Mater. Sci.-Mater. Electron. 2020, 31, 22274–22283. [Google Scholar] [CrossRef]
  45. Mahakul, P.C.; Mahanandia, P. Structural, Morphological and Electrical Characterisation of rGO-P3HT Composite Film for Photovoltaic Applications. Int. J. Renew. Energy Res. 2018, 9, 181–190. [Google Scholar] [CrossRef]
  46. Yadav, A.; Upadhyaya, A.; Gupta, S.K.; Verma, A.S.; Negi, C.M.S. Poly-(3-hexylthiophene)/Graphene Composite Based Organic Photodetectors: The Influence of Graphene Insertion. Thin Solid Films 2019, 675, 128–135. [Google Scholar] [CrossRef]
  47. Ouyang, B.S.; Zhang, K.W.; Yang, Y. Self-Powered UV Photodetector Array Based on P3HT/ZnO Nanowire Array Heterojunction. Adv. Mater. Technol. 2017, 2, 1700208. [Google Scholar] [CrossRef]
  48. Shang, H.M.; Chen, H.Y.; Dai, M.J.; Hu, Y.X.; Gao, F.; Yang, H.H.; Xu, B.; Zhang, S.C.; Tan, B.Y.; Zhang, X.; et al. A Mixed-Dimensional 1D Se-2D InSe Van der Waals Heterojunction for High Responsivity Self-Powered Photodetectors. Nanoscale Horiz. 2020, 5, 564–572. [Google Scholar] [CrossRef]
  49. Zheng, L.X.; Deng, X.L.; Wang, Y.Z.; Chen, J.X.; Fang, X.S.; Wang, L.; Shi, X.W.; Zheng, H.J. Self-Powered Flexible TiO2 Fibrous Photodetectors: Heterojunction with P3HT and Boosted Responsivity and Selectivity by Au Nanoparticles. Adv. Funct. Mater. 2020, 30, 2001604. [Google Scholar] [CrossRef]
  50. Selamneni, V.; Kanungo, S.; Sahatiya, P. Large Area Growth of SnS2/Graphene on Cellulose Paper as a Flexible Broadband Photodetector and Investigating its Band Structure through First Principles Calculations. Mater. Adv. 2021, 2, 2373–2381. [Google Scholar] [CrossRef]
  51. Park, J.; Lee, W.H.; Huh, S.; Sim, S.H.; Kim, S.B.; Cho, K.; Hong, B.H.; Kim, K.S. Work-Function Engineering of Graphene Electrodes by Self-Assembled Monolayers for High-Performance Organic Field-Effect Transistors. J. Phys. Chem. Lett. 2011, 2, 841–845. [Google Scholar] [CrossRef]
Figure 1. Schematic illustration of the fabrication process for Se-P/P3HT:G heterojunction photodetectors.
Figure 1. Schematic illustration of the fabrication process for Se-P/P3HT:G heterojunction photodetectors.
Nanomaterials 14 01923 g001
Figure 2. (a) Photograph of Se-P, and SEM images of Se-P at low (b) and high (c) magnification. A SEM image of Se-P/P3HT:G (d), SEM images of a graphene nanoflake (e), and P3HT (f) in the Se-P/P3HT:G heterojunction.
Figure 2. (a) Photograph of Se-P, and SEM images of Se-P at low (b) and high (c) magnification. A SEM image of Se-P/P3HT:G (d), SEM images of a graphene nanoflake (e), and P3HT (f) in the Se-P/P3HT:G heterojunction.
Nanomaterials 14 01923 g002
Figure 3. (a) XRD patterns of Se-P, graphene, and Se-P/P3HT:G; (b) Raman spectra of Se-P, Graphene, P3HT, and Se-P/P3HT:G; (c) UV-vis absorption spectra of P3HT, graphene, P3HT:G, Se-P, and Se-P/P3HT:G; and (d) Eg of Se-P and P3HT:G.
Figure 3. (a) XRD patterns of Se-P, graphene, and Se-P/P3HT:G; (b) Raman spectra of Se-P, Graphene, P3HT, and Se-P/P3HT:G; (c) UV-vis absorption spectra of P3HT, graphene, P3HT:G, Se-P, and Se-P/P3HT:G; and (d) Eg of Se-P and P3HT:G.
Nanomaterials 14 01923 g003
Figure 4. Se-P I-V curves (a) and I-t curves (b) at various wavelengths; Se-P/P3HT I-V curves (c) and I-t curves (d) at various wavelengths; and Se-P/P3HT:G I-V curves (e) and I-t curves (f) at various wavelengths.
Figure 4. Se-P I-V curves (a) and I-t curves (b) at various wavelengths; Se-P/P3HT I-V curves (c) and I-t curves (d) at various wavelengths; and Se-P/P3HT:G I-V curves (e) and I-t curves (f) at various wavelengths.
Nanomaterials 14 01923 g004
Figure 5. Rise/fall times of the Se-P at 548 nm (1.31 mW cm−2) under 0.1 V (a) and Se-P/P3HT (b) and Se-P/P3HT:G (c) at 548 nm and 0 V bias in a single cycle. Responsivity (d), specific detectivity (e), and external quantum efficiency (f) of Se-P, Se-P/P3HT, and Se-P/P3HT:G versus the wavelength range of 348–876 nm at 0 V bias.
Figure 5. Rise/fall times of the Se-P at 548 nm (1.31 mW cm−2) under 0.1 V (a) and Se-P/P3HT (b) and Se-P/P3HT:G (c) at 548 nm and 0 V bias in a single cycle. Responsivity (d), specific detectivity (e), and external quantum efficiency (f) of Se-P, Se-P/P3HT, and Se-P/P3HT:G versus the wavelength range of 348–876 nm at 0 V bias.
Nanomaterials 14 01923 g005
Figure 6. UPS spectra of Se-P (a,b) P3HT:G. Energy band diagrams of Se-P/P3HT (c) and Se-P/P3HT:G (d) before contact and without light illumination. Energy band diagrams of Se-P/P3HT (e) and Se-P/P3HT:G (f) after contact under light illumination.
Figure 6. UPS spectra of Se-P (a,b) P3HT:G. Energy band diagrams of Se-P/P3HT (c) and Se-P/P3HT:G (d) before contact and without light illumination. Energy band diagrams of Se-P/P3HT (e) and Se-P/P3HT:G (f) after contact under light illumination.
Nanomaterials 14 01923 g006
Figure 7. At 548 nm and 0 V bias, I-t curves (a) of Se-P/P3HT:G device left for 1 day, 1 week, and 1 month and I-t curves (b) of Se-P/P3HT:G device after treatment at 0 °C, 25 °C, 70 °C, 100 °C, and 140 °C, respectively.
Figure 7. At 548 nm and 0 V bias, I-t curves (a) of Se-P/P3HT:G device left for 1 day, 1 week, and 1 month and I-t curves (b) of Se-P/P3HT:G device after treatment at 0 °C, 25 °C, 70 °C, 100 °C, and 140 °C, respectively.
Nanomaterials 14 01923 g007
Table 1. Comparison of the performance of Se-P/P3HT:G, Se-P/P3HT, and other heterojunction photodetectors at 0 V bias.
Table 1. Comparison of the performance of Se-P/P3HT:G, Se-P/P3HT, and other heterojunction photodetectors at 0 V bias.
PhotodetectorsLight (nm)R (mA W−1)D* (Jones)On/Off RatioRise/Fall TimeRefs.
Se-P/P3HT:G300–725346.47 × 101129216.2 ms/27.6 msThis work
Se-P/P3HT300–72523.63.41 × 101120345.8 ms/89.1 msThis work
Se/PEDOT300–7005.51.76 × 1010501.00 ms/9.78 ms[28]
Se/Spiro-MeOTAD350–80036.5 15622 ms/35 ms[19]
ZnO/Pt/P3HT250–70014.81.2 × 1012170045 ms/45 ms[32]
P3HT/ZnO NW 3651253.7 × 107 0.1 s/0.1 s [47]
InSe/Se300–700321.7 × 101150030 ms/37 ms[48]
TiO2/P3HT300–7000.0371.63 × 101016.80.72 s/0.5 s[49]
Au/TiO2/P3HT300–7000.252.9 × 10106.50.48 s/2.12 s[49]
SnS2/Graphene380–7806.981 × 1010 4.53 s/4.53 s[50]
Disclaimer/Publisher’s Note: The statements, opinions and data contained in all publications are solely those of the individual author(s) and contributor(s) and not of MDPI and/or the editor(s). MDPI and/or the editor(s) disclaim responsibility for any injury to people or property resulting from any ideas, methods, instructions or products referred to in the content.

Share and Cite

MDPI and ACS Style

Yu, X.; Huang, Y.; Li, P.; Feng, S.; Wan, X.; Jiang, Y.; Yu, P. Self-Powered Photodetectors with High Stability Based on Se Paper/P3HT:Graphene Heterojunction. Nanomaterials 2024, 14, 1923. https://doi.org/10.3390/nano14231923

AMA Style

Yu X, Huang Y, Li P, Feng S, Wan X, Jiang Y, Yu P. Self-Powered Photodetectors with High Stability Based on Se Paper/P3HT:Graphene Heterojunction. Nanomaterials. 2024; 14(23):1923. https://doi.org/10.3390/nano14231923

Chicago/Turabian Style

Yu, Xuewei, Yuxin Huang, Pengfan Li, Shiliang Feng, Xi Wan, Yanfeng Jiang, and Pingping Yu. 2024. "Self-Powered Photodetectors with High Stability Based on Se Paper/P3HT:Graphene Heterojunction" Nanomaterials 14, no. 23: 1923. https://doi.org/10.3390/nano14231923

APA Style

Yu, X., Huang, Y., Li, P., Feng, S., Wan, X., Jiang, Y., & Yu, P. (2024). Self-Powered Photodetectors with High Stability Based on Se Paper/P3HT:Graphene Heterojunction. Nanomaterials, 14(23), 1923. https://doi.org/10.3390/nano14231923

Note that from the first issue of 2016, this journal uses article numbers instead of page numbers. See further details here.

Article Metrics

Back to TopTop