Development of In Situ Methods for Preparing La-Mn-Co-Based Compounds over Carbon Xerogel for Oxygen Reduction Reaction in an Alkaline Medium
Abstract
1. Introduction
2. Experimental
2.1. Materials and Reagents
2.2. Synthesis Procedure
2.3. Characterization Techniques
2.4. Electrochemical Characterization
3. Results and Discussion
3.1. Structural Characterization
3.2. Surface Morphology and Textural Characterization
3.3. Surface Characterization
3.4. Electrochemical Characterization
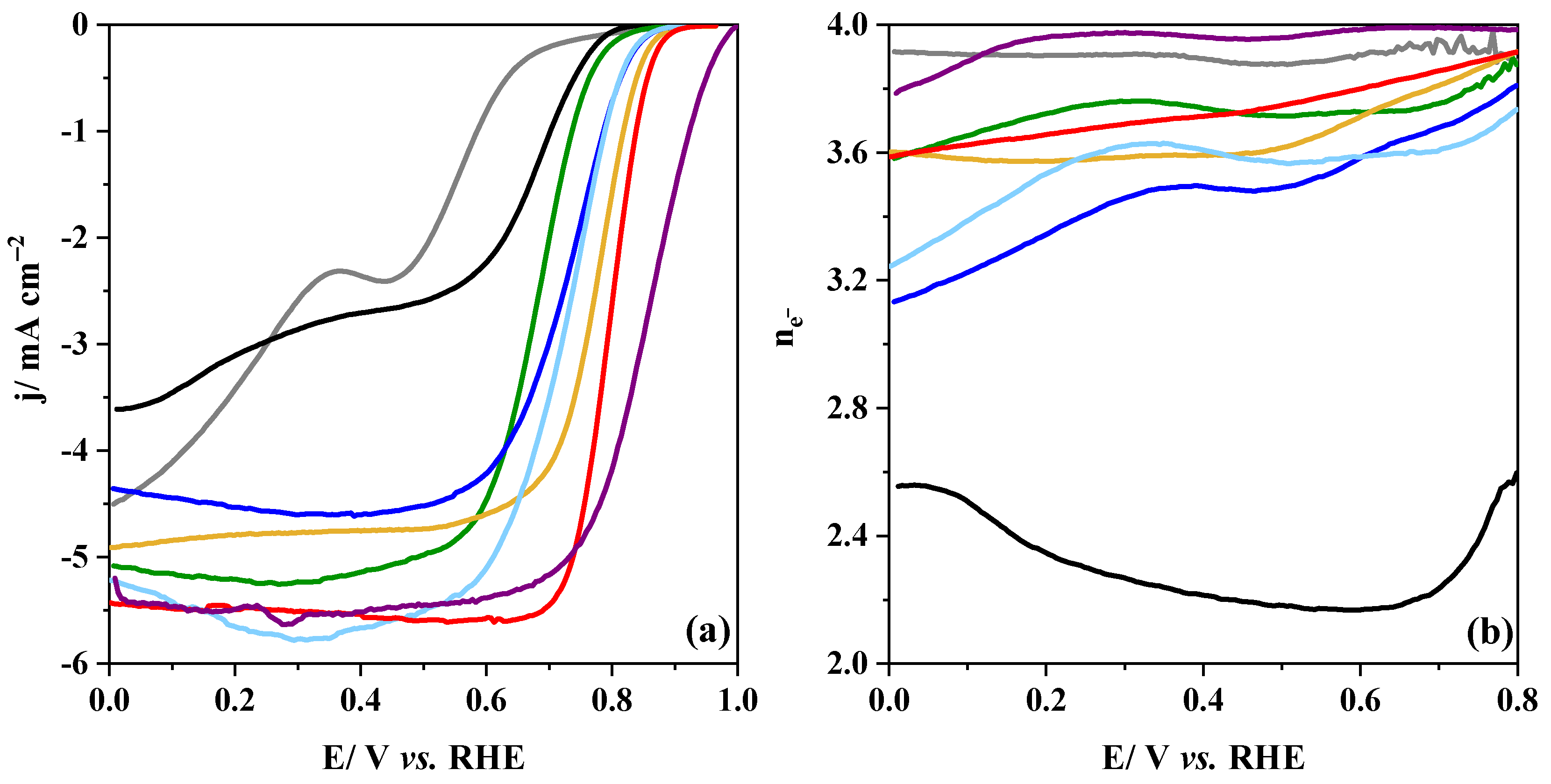
3.5. Catalytic Activity Towards ORR
4. Conclusions
Supplementary Materials
Author Contributions
Funding
Data Availability Statement
Acknowledgments
Conflicts of Interest
References
- Aminudin, M.; Kamarudin, S.; Lim, B.; Majilan, E.; Masdar, M.; Shaari, N. An overview: Current progress on hydrogen fuel cell vehicles. Int. J. Hydrogen Energy 2023, 48, 4371–4388. [Google Scholar] [CrossRef]
- Fan, L.; Tu, Z.; Chan, S.H. Recent development of hydrogen and fuel cell technologies: A review. Energy Rep. 2021, 7, 8421–8446. [Google Scholar] [CrossRef]
- Chen, Z.; Waje, M.; Li, W.; Yan, Y. Supportless Pt and PtPd Nanotubes as Electrocatalysts for Oxygen-Reduction Reactions. Angew. Chem. Int. Ed. 2007, 46, 4060–4063. [Google Scholar] [CrossRef]
- Zadick, A.; Dubau, L.; Sergent, N.; Berthomé, G.; Chatenet, M. Huge Instability of Pt/C Catalysts in Alkaline Medium. ACS Catal. 2015, 5, 4819–4824. [Google Scholar] [CrossRef]
- Beltrán-Gastélum, M.; Salazar-Gastélum, M.; Félix-Navarro, R.; Pérez-Sicairos, S.; Reynoso-Soto, E.; Lin, S.; Flores-Hernández, J.; Romero-Castañón, T.; Albarrán-Sánchez, I.; Paraguay-Delgado, F. Evaluation of Pt Au/MWCNT (Multiwalled Carbon Nanotubes) electrocatalyst performance as cathode of a proton exchange membrane fuel cell. Energy 2016, 109, 446–455. [Google Scholar] [CrossRef]
- Shao, M.; Chang, Q.; Dodelet, J.-P.; Chenitz, R. Recent Advances in Electrocatalysts for Oxygen Reduction Reaction. Chem. Rev. 2016, 116, 3594–3657. [Google Scholar] [CrossRef]
- Ge, X.; Sumboja, A.; Wuu, D.; An, T.; Li, B.; Goh, F.W.T.; Hor, T.S.A.; Zong, Y.; Liu, Z. Oxygen Reduction in Alkaline Media: From Mechanisms to Recent Advances of Catalysts. ACS Catal. 2015, 5, 4643–4667. [Google Scholar] [CrossRef]
- Zhu, L.; Ran, R.; Tadé, M.; Wang, W.; Shao, Z. Perovskite materials in energy storage and conversion. Asia Pac. J. Chem. Eng. 2016, 11, 338–369. [Google Scholar] [CrossRef]
- Xu, X.; Pan, Y.; Zhong, Y.; Ran, R.; Shao, Z. Ruddlesden–Popper perovskites in electrocatalysis. Mater. Horiz. 2020, 7, 2519–2565. [Google Scholar] [CrossRef]
- Flores-Lasluisa, J.; Huerta, F.; Cazorla-Amorós, D.; Morallón, E. Transition metal oxides with perovskite and spinel structures for electrochemical energy production applications. Environ. Res. 2022, 214, 113731. [Google Scholar] [CrossRef]
- Ashok, A.; Kumar, A.; Bhosale, R.R.; Almomani, F.; Malik, S.S.; Suslov, S.; Tarlochan, F. Combustion synthesis of bifunctional LaMO3 (M = Cr, Mn, Fe, Co, Ni) perovskites for oxygen reduction and oxygen evolution reaction in alkaline media. J. Electroanal. Chem. 2018, 809, 22–30. [Google Scholar] [CrossRef]
- Suntivich, J.; Gasteiger, H.A.; Yabuuchi, N.; Nakanishi, H.; Goodenough, J.B.; Shao-Horn, Y. Design principles for oxygen-reduction activity on perovskite oxide catalysts for fuel cells and metal–air batteries. Nat. Chem. 2011, 3, 546–550. [Google Scholar] [CrossRef]
- Sunarso, J.; Torriero, A.A.J.; Zhou, W.; Howlett, P.C.; Forsyth, M. Oxygen reduction reaction activity of La-based perovskite oxides in alkaline medium: A thin-film rotating ring-disk electrode study. J. Phys. Chem. C 2012, 116, 5827–5834. [Google Scholar] [CrossRef]
- Flores-Lasluisa, J.X.; Huerta, F.; Cazorla-Amorós, D.; Morallon, E. Carbon Material and Cobalt-Substitution Effects in the Electrochemical Behavior of LaMnO3 for ORR and OER. Nanomaterials 2020, 10, 2394. [Google Scholar] [CrossRef]
- Liu, X.; Gong, H.; Wang, T.; Guo, H.; Song, L.; Xia, W.; Gao, B.; Jiang, Z.; Feng, L.; He, J. Cobalt-Doped Perovskite-Type Oxide LaMnO3 as Bifunctional Oxygen Catalysts for Hybrid Lithium-Oxygen Batteries. Chem. Asian J. 2018, 13, 528–535. [Google Scholar] [CrossRef] [PubMed]
- Lv, Y.; Li, Z.; Yu, Y.; Yin, J.; Song, K.; Yang, B.; Yuan, L.; Hu, X. Copper/cobalt-doped LaMnO3 perovskite oxide as a bifunctional catalyst for rechargeable Li-O2 batteries. J. Alloys Compd. 2019, 801, 19–26. [Google Scholar] [CrossRef]
- García-Rodríguez, M.; Cazorla-Amorós, D.; Morallón, E. Enhanced lanthanum-stabilized low crystallinity metal oxide electrocatalysts with superior activity for oxygen reactions. Electrochim. Acta 2024, 479, 143858. [Google Scholar] [CrossRef]
- Ge, X.; Goh, F.W.T.; Li, B.; Hor, T.S.A.; Zhang, J.; Xiao, P.; Wang, X.; Zong, Y.; Liu, Z. Efficient and durable oxygen reduction and evolution of a hydrothermally synthesized La(Co0.55Mn0.45)0.99O3−δ nanorod/graphene hybrid in alkaline media. Nanoscale 2015, 7, 9046–9054. [Google Scholar] [CrossRef] [PubMed]
- Kéranguéven, G.; Royer, S.; Savinova, E. Synthesis of efficient Vulcan–LaMnO3 perovskite nanocomposite for the oxygen reduction reaction. Electrochem. Commun. 2015, 50, 28–31. [Google Scholar] [CrossRef]
- Liu, J.; Jin, X.; Song, W.; Wang, F.; Wang, N.; Song, Y. Facile preparation of modified carbon black-LaMnO3 hybrids and the effect of covalent coupling on the catalytic activity for oxygen reduction reaction. Chin. J. Catal. 2014, 35, 1173–1188. [Google Scholar] [CrossRef]
- Jaimes-Paez, C.; Vences-Alvarez, E.; Salinas-Torres, D.; Morallón, E.; Rangel-Mendez, J.; Cazorla-Amorós, D. Microwave-assisted synthesis of carbon-supported Pt nanoparticles for their use as electrocatalysts in the oxygen reduction reaction and hydrogen evolution reaction. Electrochim. Acta 2023, 464, 142871. [Google Scholar] [CrossRef]
- Zhu, Y.; Zhou, W.; Shao, Z. Perovskite/Carbon Composites: Applications in Oxygen Electrocatalysis. Small 2017, 13, 1603793. [Google Scholar] [CrossRef] [PubMed]
- Hu, J.; Wang, L.; Shi, L.; Huang, H. Oxygen reduction reaction activity of LaMn1-xCoxO3-graphene nanocomposite for zinc-air battery. Electrochim. Acta 2015, 161, 115–123. [Google Scholar] [CrossRef]
- Poux, T.; Napolskiy, F.; Dintzer, T.; Kéranguéven, G.; Istomin, S.Y.; Tsirlina, G.; Antipov, E.; Savinova, E. Dual role of carbon in the catalytic layers of perovskite/carbon composites for the electrocatalytic oxygen reduction reaction. Catal. Today 2012, 189, 83–92. [Google Scholar] [CrossRef]
- Mattick, V.F.; Jin, X.; White, R.E.; Huang, K. Understanding the role of carbon in alkaline oxygen electrocatalysis: A case study on La0.6Sr0.4CoO3-δ/Vulcan carbon composite electrocatalyst. Int. J. Hydrogen Energy 2019, 44, 2760–2769. [Google Scholar] [CrossRef]
- García-Rodríguez, M.; Flores-Lasluisa, J.; Cazorla-Amorós, D.; Morallón, E. Metal oxide Perovskite-Carbon composites as electrocatalysts for zinc-air batteries. Optimization of ball-milling mixing parameters. J. Colloid Interface Sci. 2023, 630, 269–280. [Google Scholar] [CrossRef] [PubMed]
- Liu, K.; Li, J.; Wang, Q.; Wang, X.; Qian, D.; Jiang, J.; Li, J.; Chen, Z. Designed synthesis of LaCoO3/N-doped reduced graphene oxide nanohybrid as an efficient bifunctional electrocatalyst for ORR and OER in alkaline medium. J. Alloys Compd. 2017, 725, 260–269. [Google Scholar] [CrossRef]
- Hu, J.; Shi, Z.; Su, C.; Lu, B.; Shao, Z.; Huang, H. Anchoring perovskite LaMnO3 nanoparticles on biomass−derived N, P co−doped porous carbon for efficient oxygen reduction. Electrochim. Acta 2018, 274, 40–48. [Google Scholar] [CrossRef]
- Li, T.; Liu, J.; Jin, X.; Wang, F.; Song, Y. Composition-dependent electro-catalytic activities of covalent carbon-LaMnO3 hybrids as synergistic catalysts for oxygen reduction reaction. Electrochim. Acta 2016, 198, 115–126. [Google Scholar] [CrossRef]
- Shi, W.; Dong, X.; Luo, Y.; Wang, R.; Wang, G.; Chen, J.; Liu, C.; Zhang, J. Regulation of the B Site at La(Ni0.1)MnO3 Perovskite Decorated with N-Doped Carbon for a Bifunctional Electrocatalyst in Zn–Air Batteries. Ind. Eng. Chem. Res. 2023, 62, 2687–2697. [Google Scholar] [CrossRef]
- Gu, W.; Song, Y.; Liu, J.; Wang, F. Lanthanum-Based Compounds: Electronic Band-Gap-Dependent Electrocatalytic Materials for Oxygen Reduction Reaction. Chem. A Eur. J. 2017, 23, 10126–10132. [Google Scholar] [CrossRef] [PubMed]
- Wang, N.; Liu, J.; Gu, W.; Song, Y.; Wang, F. Toward synergy of carbon and La2O3 in their hybrid as an efficient catalyst for the oxygen reduction reaction. RSC Adv. 2016, 6, 77786–77795. [Google Scholar] [CrossRef]
- Qian, Y.; Liu, Z.; Zhang, H.; Wu, P.; Cai, C. Active Site Structures in Nitrogen-Doped Carbon-Supported Cobalt Catalysts for the Oxygen Reduction Reaction. ACS Appl. Mater. Interfaces 2016, 8, 32875–32886. [Google Scholar] [CrossRef]
- Tang, C.; Wang, B.; Wang, H.; Zhang, Q. Defect Engineering toward Atomic Co–Nx–C in Hierarchical Graphene for Rechargeable Flexible Solid Zn-Air Batteries. Adv. Mater. 2017, 29, 1–7. [Google Scholar] [CrossRef]
- Amiinu, I.S.; Liu, X.; Pu, Z.; Li, W.; Li, Q.; Zhang, J.; Tang, H.; Zhang, H.; Mu, S. From 3D ZIF Nanocrystals to Co–Nx/C Nanorod Array Electrocatalysts for ORR, OER, and Zn–Air Batteries. Adv. Funct. Mater. 2018, 28, 1704638. [Google Scholar] [CrossRef]
- Li, X.; Li, C.; Xie, Y.; Pan, S.; Luo, F.; Yang, Z. Anion effect on oxygen reduction reaction activity of nitrogen doped carbon nanotube encapsulated cobalt nanoparticles. Appl. Surf. Sci. 2024, 648, 158975. [Google Scholar] [CrossRef]
- Shi, H.; Yin, X.; Hua, Y.; Gao, Z. MnO nanoparticles loaded on three-dimensional N-doped carbon as highly efficient electrocatalysts for the oxygen reduction reaction in alkaline media. Int. J. Hydrogen Energy 2022, 47, 20507–20517. [Google Scholar] [CrossRef]
- Mishra, V.; Mohapatra, B.D.; Ghosh, T.K.; Rao, G.R. Effect of MnO Content on the Oxygen Reduction Activity of MnO/C Nanostructures. Electrocatalysis 2023, 14, 788–799. [Google Scholar] [CrossRef]
- Chen, C.; Tang, Z.; Li, J.; Du, C.; Ouyang, T.; Xiao, K.; Liu, Z. MnO Enabling Highly Efficient and Stable Co-Nx/C for Oxygen Reduction Reaction in both Acidic and Alkaline Media. Adv. Funct. Mater. 2023, 33, 2210143. [Google Scholar] [CrossRef]
- Wang, L.; Huang, J.; Hu, X.; Huang, Z.; Gao, M.; Yao, D.; Isimjan, T.T.; Yang, X. Synergistic vacancy engineering of Co/MnO@NC catalyst for superior oxygen reduction reaction in liquid/solid zinc-air batteries. J. Colloid Interface Sci. 2024, 660, 989–996. [Google Scholar] [CrossRef]
- Niu, Y.; Jiang, G.; Gong, S.; Liu, X.; Shangguan, E.; Li, L.; Chen, Z. Engineering of heterointerface of ultrathin carbon nanosheet-supported CoN/MnO enhances oxygen electrocatalysis for rechargeable Zn–air batteries. J. Colloid Interface Sci. 2024, 656, 346–357. [Google Scholar] [CrossRef]
- Guo, X.; Yuan, Y.; Li, S.; Wang, J.; Bai, Z.; Yang, L. Controllable synthesis of Co/MnO heterointerfaces embedded in graphitic carbon for rechargeable Zn–air battery. Int. J. Hydrogen Energy 2023, 48, 26805–26816. [Google Scholar] [CrossRef]
- Li, K.; Cheng, R.; Xue, Q.; Zhao, T.; Wang, F.; Fu, C. Construction of a Co/MnO Mott–Schottky Heterostructure to Achieve Interfacial Synergy in the Oxygen Reduction Reaction for Aluminum–Air Batteries. ACS Appl. Mater. Interfaces 2023, 15, 9150–9159. [Google Scholar] [CrossRef]
- Peng, L.; Peng, X.; Zhu, Z.; Xu, Q.; Luo, K.; Ni, Z.; Yuan, D. Efficient MnO and Co nanoparticles coated with N-doped carbon as a bifunctional electrocatalyst for rechargeable Zn-air batteries. Int. J. Hydrogen Energy 2023, 48, 19126–19136. [Google Scholar] [CrossRef]
- Xu, X.; Zhong, Y.; Wajrak, M.; Bhatelia, T.; Jiang, S.P.; Shao, Z. Grain boundary engineering: An emerging pathway toward efficient electrocatalysis. InfoMat 2024, e12608. [Google Scholar] [CrossRef]
- Abdelghafar, F.; Xu, X.; Guan, D.; Lin, Z.; Hu, Z.; Ni, M.; Huang, H.; Bhatelia, T.; Jiang, S.P.; Shao, Z. New Nanocomposites Derived from Cation-Nonstoichiometric Bax(Co, Fe, Zr, Y)O3−δ as Efficient Electrocatalysts for Water Oxidation in Alkaline Solution. ACS Mater. Lett. 2024, 6, 2985–2994. [Google Scholar] [CrossRef]
- Lee, D.U.; Park, H.W.; Park, M.G.; Ismayilov, V.; Chen, Z. Synergistic Bifunctional Catalyst Design based on Perovskite Oxide Nanoparticles and Intertwined Carbon Nanotubes for Rechargeable Zinc–Air Battery Applications. ACS Appl. Mater. Interfaces 2015, 7, 902–910. [Google Scholar] [CrossRef]
- Job, N.; Berthon-Fabry, S.; Lambert, S.; Chatenet, M.; Maillard, F.; Brigaudet, M.; Pirard, J.-P. Carbon xerogels as supports for catalysts and electrocatalysts. In Proceedings of the International World Carbon Conference 2009, Biarritz, France, 14–19 June 2009; Available online: http://orbi.ulg.ac.be/handle/2268/12011 (accessed on 17 June 2024).
- Abdelwahab, A.; Carrasco-Marín, F.; Pérez-Cadenas, A.F. Binary and ternary 3D nanobundles metal oxides functionalized carbon xerogels as electrocatalysts toward oxygen reduction reaction. Materials 2020, 13, 3531. [Google Scholar] [CrossRef]
- Álvarez-Manuel, L.; Alegre, C.; Sebastián, D.; Napal, P.F.; Moreno, C.; Bailón-García, E.; Carrasco-Marín, F.; Lázaro, M.J. Effect of Carbon Xerogel Activation on Fe−N−C Catalyst Activity in Fuel Cells. ChemElectroChem 2023, 11, e202300549. [Google Scholar] [CrossRef]
- Gabe, A.; Ruiz-Rosas, R.; González-Gaitán, C.; Morallón, E.; Cazorla-Amorós, D. Modeling of oxygen reduction reaction in porous carbon materials in alkaline medium. Effect of microporosity. J. Power Sources 2019, 412, 451–464. [Google Scholar] [CrossRef]
- Job, N.; Pirard, R.; Marien, J.; Pirard, J.-P. Porous carbon xerogels with texture tailored by pH control during sol–gel process. Carbon 2004, 42, 619–628. [Google Scholar] [CrossRef]
- Figueiredo, J.L.; Pereira, M.F. Synthesis and functionalization of carbon xerogels to be used as supports for fuel cell catalysts. J. Energy Chem. 2013, 22, 195–201. [Google Scholar] [CrossRef]
- Flores-Lasluisa, J.X.; Huerta, F.; Cazorla-Amorós, D.; Morallon, E. Structural and morphological alterations induced by cobalt substitution in LaMnO3 perovskites. J. Colloid Interface Sci. 2019, 556, 658–666. [Google Scholar] [CrossRef] [PubMed]
- Chevallier, F.; Aymard, L.; Tarascon, J.-M. Influence of Oxygen and Hydrogen Milling Atmospheres on the Electrochemical Properties of Ballmilled Graphite. J. Electrochem. Soc. 2001, 148, A1216–A1224. [Google Scholar] [CrossRef]
- Job, N.; Théry, A.; Pirard, R.; Marien, J.; Kocon, L.; Rouzaud, J.-N.; Béguin, F.; Pirard, J.-P. Carbon aerogels, cryogels and xerogels: Influence of the drying method on the textural properties of porous carbon materials. Carbon 2005, 43, 2481–2494. [Google Scholar] [CrossRef]
- Piedboeuf, M.-L.C.; Léonard, A.F.; Traina, K.; Job, N. Influence of the textural parameters of resorcinol–formaldehyde dry polymers and carbon xerogels on particle sizes upon mechanical milling. Colloids Surf. A Physicochem. Eng. Asp. 2015, 471, 124–132. [Google Scholar] [CrossRef]
- Thommes, M.; Kaneko, K.; Neimark, A.V.; Olivier, J.P.; Rodriguez-Reinoso, F.; Rouquerol, J.; Sing, K.S.W. Physisorption of gases, with special reference to the evaluation of surface area and pore size distribution (IUPAC Technical Report). Pure Appl. Chem. 2015, 87, 1051–1069. [Google Scholar] [CrossRef]
- Xing, W.; Yin, G.; Zhang, J. Rotating Electrode Methods and Oxygen Reduction Electrocatalysts; Elsevier: Amsterdam, The Netherlands, 2014. [Google Scholar] [CrossRef]
- Du, C.; Tan, Q.; Yin, G.; Zhang, J. Rotating Disk Electrode Method. In Rotating Electrode Methods and Oxygen Reduction Electrocatalysts; Elsevier B.V.: Amsterdam, The Netherlands, 2014; pp. 171–198. [Google Scholar] [CrossRef]
- Jia, L.; Gao, J.; Fang, W.; Li, Q. Influence of copper content on structural features and performance of pre-reduced LaMn1-xCuxO3 (0 ≤ x < 1) catalysts for methanol synthesis from CO2/H2. J. Rare Earths 2010, 28, 747–751. [Google Scholar] [CrossRef]
- Yetri, Y.; Afza, V.Y.Y.; Julsam; Ganumba, O.; Sunitra, E. Effect of Electrolyte Concentration on Characteristics of Activated Carbon of Cocoa Peel. In IOP Conference Series: Earth and Environmental Science; Institute of Physics: Philadelphia, PA, USA, 2023. [Google Scholar] [CrossRef]
- Enger, B.C.; Walmsley, J.; Svenum, I.-H.; Tolchard, J.R.; Yang, J.; Myrstad, R.; Gjervan, T.; Khan, A.A.; Mutairi-Al, A.; Karim, K. Effects of Sulphur on a Co/Mn-based Catalyst for Fischer–Tropsch Reactions. Catal. Lett. 2018, 148, 2980–2991. [Google Scholar] [CrossRef]
- Gurunathan, P.; Ette, P.M.; Lakshminarasimhan, N.; Ramesha, K. A Convenient Synthesis Route for Co3O4 Hollow Microspheres and Their Application as a High Performing Anode in Li-Ion Batteries. ACS Omega 2017, 2, 7647–7657. [Google Scholar] [CrossRef]
- Jiang, Y.; Yang, S.; Hua, Z.; Huang, H. Sol–gel autocombustion synthesis of metals and metal alloys. Angew. Chem. Int. Ed. 2009, 48, 8529–8531. [Google Scholar] [CrossRef] [PubMed]
- Zhang, W.; Zong, L.; Fan, K.; Cui, L.; Zhang, Q.; Zhao, J.; Wang, L.; Feng, S. Enabling highly efficient electrocatalytic oxygen reduction and evolution reaction by established strong MnO/Co-support interaction. J. Alloys Compd. 2021, 874, 159965. [Google Scholar] [CrossRef]
- Liang, Y.; Li, Y.; Wang, H.; Zhou, J.; Wang, J.; Regier, T.; Dai, H. Co3O4 nanocrystals on graphene as a synergistic catalyst for oxygen reduction reaction. Nat. Mater. 2011, 10, 780–786. [Google Scholar] [CrossRef] [PubMed]
- Dimitrakopoulos, G.; Koo, B.; Yildiz, B.; Ghoniem, A.F. Highly Durable C2 Hydrocarbon Production via the Oxidative Coupling of Methane Using a BaFe0.9Zr0.1O3−δ Mixed Ionic and Electronic Conducting Membrane and La2O3 Catalyst. ACS Catal. 2021, 11, 3638–3661. [Google Scholar] [CrossRef]
- Patkowski, W.; Zybert, M.; Ronduda, H.; Albrecht, A.; Moszyński, D.; Fidler, A.; Dłużewski, P.; Mierzwa, B.; Raróg-Pilecka, W. Toward green ammonia synthesis—Exploring the influence of lanthanide oxides as supports on the cobalt catalysts properties. J. CO2 Util. 2024, 80, 102699. [Google Scholar] [CrossRef]
- Kim, S.J.; Han, W.K.; Kang, S.G.; Han, M.S.; Cheong, Y.H. Formation of Lanthanum Hydroxide and Oxide via Precipitation. Solid State Phenom. 2008, 135, 23–26. [Google Scholar] [CrossRef]
- Waseda, Y.; Matsubara, E.; Shinoda, K. X-ray Diffraction Crystallography; Springer: Berlin/Heidelberg, Germany, 2011. [Google Scholar] [CrossRef]
- Flores-Lasluisa, J.; García-Rodríguez, M.; Cazorla-Amorós, D.; Morallón, E. In-situ synthesis of encapsulated N-doped carbon metal oxide nanostructures for Zn-air battery applications. Carbon 2024, 225, 119147. [Google Scholar] [CrossRef]
- Canal-Rodríguez, M.; Menéndez, J.A.; Arenillas, A. Carbon Xerogels: The Bespoke Nanoporous Carbons. In Porosity-Process, Technologies and Applications; InTech: Vienna, Austria, 2018. [Google Scholar] [CrossRef]
- Rey-Raap, N.; Arenillas, A.; Menéndez, J.A. A visual validation of the combined effect of pH and dilution on the porosity of carbon xerogels. Microporous Mesoporous Mater. 2016, 223, 89–93. [Google Scholar] [CrossRef][Green Version]
- O’Connell, M.; Norman, A.; Hüttermann, C.; Morris, M. Catalytic oxidation over lanthanum-transition metal perovskite materials. Catal. Today 1999, 47, 123–132. [Google Scholar] [CrossRef]
- Sunding, M.; Hadidi, K.; Diplas, S.; Løvvik, O.; Norby, T.; Gunnæs, A. XPS characterisation of in situ treated lanthanum oxide and hydroxide using tailored charge referencing and peak fitting procedures. J. Electron Spectrosc. Relat. Phenom. 2011, 184, 399–409. [Google Scholar] [CrossRef]
- Flores-Lasluisa, J.; Huerta, F.; Cazorla-Amorós, D.; Morallón, E. Manganese oxides/LaMnO3 perovskite materials and their application in the oxygen reduction reaction. Energy 2022, 247, 123456. [Google Scholar] [CrossRef]
- Li, M.; Lei, W.; Yu, Y.; Yang, W.; Li, J.; Chen, D.; Xu, S.; Feng, M.; Li, H. High-performance asymmetric supercapacitors based on monodisperse MnO nanocrystals with high energy densities. Nanoscale 2018, 10, 15926–15931. [Google Scholar] [CrossRef] [PubMed]
- Berenguer, R.; Valdés-Solís, T.; Fuertes, A.B.; Quijada, C.; Morallón, E. Cyanide and Phenol Oxidation on Nanostructured Co3O4 Electrodes Prepared by Different Methods. J. Electrochem. Soc. 2008, 155, K110–K115. [Google Scholar] [CrossRef][Green Version]
- Zou, D.; Yi, Y.; Song, Y.; Guan, D.; Xu, M.; Ran, R.; Wang, W.; Zhou, W.; Shao, Z. The BaCe0.16Y0.04Fe0.8O3−δ nanocomposite: A new high-performance cobalt-free triple-conducting cathode for protonic ceramic fuel cells operating at reduced temperatures. J. Mater. Chem. A Mater. 2022, 10, 5381–5390. [Google Scholar] [CrossRef]
- Quílez-Bermejo, J.; Morallón, E.; Cazorla-Amorós, D. Oxygen-reduction catalysis of N-doped carbons prepared via heat treatment of polyaniline at over 1100 °C. Chem. Commun. 2018, 54, 4441–4444. [Google Scholar] [CrossRef] [PubMed]
- Zhao, Y.; Liu, T.; Shi, Q.; Yang, Q.; Li, C.; Zhang, D.; Zhang, C. Perovskite oxides La0.4Sr0.6CoxMn1-xO3 (x = 0, 0.2, 0.4) as an effective electrocatalyst for lithium—Air batteries. Green Energy Environ. 2018, 3, 78–85. [Google Scholar] [CrossRef]
- Ryabova, A.S.; Napolskiy, F.S.; Poux, T.; Istomin, S.Y.; Bonnefont, A.; Antipin, D.M.; Baranchikov, A.Y.; Levin, E.E.; Abakumov, A.M.; Kéranguéven, G.; et al. Rationalizing the Influence of the Mn(IV)/Mn(III) Red-Ox Transition on the Electrocatalytic Activity of Manganese Oxides in the Oxygen Reduction Reaction. Electrochim. Acta 2016, 187, 161–172. [Google Scholar] [CrossRef]
- Shinagawa, T.; Garcia-Esparza, A.T.; Takanabe, K. Insight on Tafel slopes from a microkinetic analysis of aqueous electrocatalysis for energy conversion. Sci. Rep. 2015, 5, 13801. [Google Scholar] [CrossRef]







| Sample | Carbon Content a | SBET b | VDR c | Vmeso d | VTotal e |
|---|---|---|---|---|---|
| wt.% | (m2 g−1) | (cm3 g−1) | (cm3 g−1) | (cm3 g−1) | |
| P | 0 | 15 | 0.01 | 0.02 | 0.03 |
| CX | 100 | 710 | 0.28 | 0.28 | 0.56 |
| P + CX | 50 | 325 | 0.13 | 0.18 | 0.31 |
| CX_P-N2 | 82 | 400 | 0.17 | 0.19 | 0.36 |
| CX_P-O2 | 80 | 390 | 0.16 | 0.24 | 0.40 |
| P_CX-5.6 | 88 | 650 | 0.27 | 0.60 | 0.87 |
| P_CX-5.3 | 89 | 620 | 0.26 | 0.36 | 0.62 |
| Sample | BTotal/A a | Co/BTotal b | Mn4+/Mn3+ | Co3+/Co2+ | OC/OL c | OC-O-M/OL d | Co-Nx/NTotal e |
|---|---|---|---|---|---|---|---|
| P | 0.62 | 0.24 | 0.37 | 1.97 | 0.90 | 0.00 | - |
| P + CX | 0.55 | 0.24 | 0.48 | 1.24 | 1.20 | 0.21 | - |
| CX_P_N2 | 0.25 | - | 0.50 | - | 5.80 | 1.67 | 0.15 |
| CX_P_O2 | 0.41 | 0.30 | 0.63 | 1.54 | 5.30 | 1.40 | 0.19 |
| P_CX_5.6 | 0.59 | - | 0.45 | - | 3.00 | 1.65 | - |
| P_CX_5.3 | 0.69 | - | 0.53 | - | 2.70 | 1.64 | - |
| Sample | a | b | c | Tafel Slope d |
|---|---|---|---|---|
| V vs. RHE | - | mA cm−2 | mV dec−1 | |
| P | 0.78 | 3.93 | −2.36 | 160 |
| CX | 0.79 | 2.23 | −2.70 | 60 |
| P + CX | 0.82 | 3.75 | −5.14 | 80 |
| CX_P_N2 | 0.89 | 3.86 | −5.56 | 47 |
| CX_P_O2 | 0.87 | 3.81 | −4.76 | 53 |
| P_CX_5.6 | 0.85 | 3.68 | −4.58 | 57 |
| P_CX_5.3 | 0.85 | 3.61 | −5.67 | 57 |
| Pt/C | 0.98 | 3.98 | −5.51 | 60 |
Disclaimer/Publisher’s Note: The statements, opinions and data contained in all publications are solely those of the individual author(s) and contributor(s) and not of MDPI and/or the editor(s). MDPI and/or the editor(s) disclaim responsibility for any injury to people or property resulting from any ideas, methods, instructions or products referred to in the content. |
© 2024 by the authors. Licensee MDPI, Basel, Switzerland. This article is an open access article distributed under the terms and conditions of the Creative Commons Attribution (CC BY) license (https://creativecommons.org/licenses/by/4.0/).
Share and Cite
Flores-Lasluisa, J.X.; Carré, B.; Caucheteux, J.; Compère, P.; Léonard, A.F.; Job, N. Development of In Situ Methods for Preparing La-Mn-Co-Based Compounds over Carbon Xerogel for Oxygen Reduction Reaction in an Alkaline Medium. Nanomaterials 2024, 14, 1362. https://doi.org/10.3390/nano14161362
Flores-Lasluisa JX, Carré B, Caucheteux J, Compère P, Léonard AF, Job N. Development of In Situ Methods for Preparing La-Mn-Co-Based Compounds over Carbon Xerogel for Oxygen Reduction Reaction in an Alkaline Medium. Nanomaterials. 2024; 14(16):1362. https://doi.org/10.3390/nano14161362
Chicago/Turabian StyleFlores-Lasluisa, Jhony Xavier, Bryan Carré, Joachim Caucheteux, Philippe Compère, Alexandre F. Léonard, and Nathalie Job. 2024. "Development of In Situ Methods for Preparing La-Mn-Co-Based Compounds over Carbon Xerogel for Oxygen Reduction Reaction in an Alkaline Medium" Nanomaterials 14, no. 16: 1362. https://doi.org/10.3390/nano14161362
APA StyleFlores-Lasluisa, J. X., Carré, B., Caucheteux, J., Compère, P., Léonard, A. F., & Job, N. (2024). Development of In Situ Methods for Preparing La-Mn-Co-Based Compounds over Carbon Xerogel for Oxygen Reduction Reaction in an Alkaline Medium. Nanomaterials, 14(16), 1362. https://doi.org/10.3390/nano14161362

