Reconstruction-Induced φ0 Josephson Effect in Quantum Spin Hall Constrictions
Abstract
1. Introduction
2. Methods
- By means of etching, the topological edge channels are brought at a distance that is comparable with their localization length. Electrons can then tunnel between the upper and lower edge. This can happen in two ways [55,56,57]: via spin-preserving backscattering and via spin-flipping forward scattering.
- The constriction is made long with respect to the inverse Fermi momentum. This step is, to some extent, unavoidable: Currently, constrictions between helical edge states have only been performed in thick HgTe quantum wells, where the Dirac point is hidden in the bulk valence band [54]. The spin-preserving backscattering is hence irrelevant, and the only process remaining is the spin-flipping forward scattering [54], denoted by (with ) in Figure 1. Even alone, such process is in any case still time-reversal invariant.
- The third step is to induce edge reconstruction: As proposed in Ref. [58], if the potential confining the edge channels is soft, the spin up and spin down channels can separate in real space, thus creating an unbalance in the tunneling rates for spin up and spin down electrons (see Figure 1). Time-reversal symmetry is hence also broken, as well as inversion symmetry at the level of the full structure.
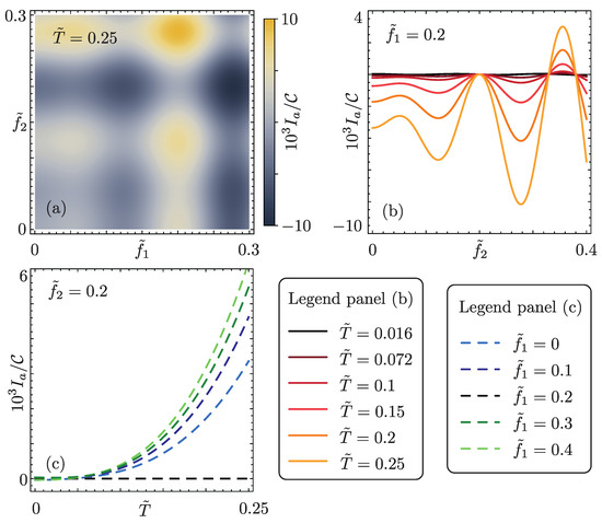
3. Results
| Coefficient | Corresponding |
4. Discussion
5. Conclusions
Author Contributions
Funding
Institutional Review Board Statement
Informed Consent Statement
Data Availability Statement
Acknowledgments
Conflicts of Interest
Abbreviations
| JJ | Josephson junction |
| 2D | two-dimensional |
| TI | topological insulator |
| SQUID | superconducting quantum interference device |
| CP | Cooper pair |
Appendix A. Main Steps to obtain Equation (14)
References
- Tinkham, M. Introduction to Superconductivity; McGraw-Hill: New York, NY, USA, 1996. [Google Scholar]
- Barone, A.; Paternò, G. Physics and Applications of the Josephson Effect; John Wiley & Sons, Ltd.: Hoboken, NJ, USA, 1982. [Google Scholar]
- Granata, C.; Vettoliere, A. Nano Superconducting Quantum Interference device: A powerful tool for nanoscale investigations. Phys. Rep. 2016, 614, 1–69. [Google Scholar] [CrossRef]
- Clarke, J.; Wilhelm, F.K. Superconducting quantum bits. Nature 2008, 453, 1031–1042. [Google Scholar] [CrossRef]
- Kitaev, A.Y. Unpaired Majorana fermions in quantum wires. Phys. Usp. 2001, 44, 131. [Google Scholar] [CrossRef]
- Albrecht, S.M.; Higginbotham, A.P.; Madsen, M.; Kuemmeth, F.; Jespersen, T.S.; Nygård, J.; Krogstrup, P.; Marcus, C.M. Exponential protection of zero modes in Majorana islands. Nature 2016, 531, 206–209. [Google Scholar] [CrossRef]
- Traverso Ziani, N.; Fleckenstein, C.; Vigliotti, L.; Trauzettel, B.; Sassetti, M. From fractional solitons to Majorana fermions in a paradigmatic model of topological superconductivity. Phys. Rev. B 2020, 101, 195303. [Google Scholar] [CrossRef]
- Clarke, D.J.; Alicea, J.; Shtengel, K. Exotic non-Abelian anyons from conventional fractional quantum Hall states. Nat. Commun. 2013, 4, 1348. [Google Scholar] [CrossRef]
- Fleckenstein, C.; Traverso Ziani, N.; Trauzettel, B. ℤ4 parafermions in Weakly Interacting Superconducting Constrictions at the Helical Edge of Quantum Spin Hall Insulators. Phys. Rev. Lett. 2019, 122, 066801. [Google Scholar] [CrossRef] [PubMed]
- Linder, J.; Robinson, J.W.A. Superconducting spintronics. Nat. Phys. 2015, 11, 307–315. [Google Scholar] [CrossRef]
- Fornieri, A.; Giazotto, F. Towards phase-coherent caloritronics in superconducting circuits. Nat. Nanotechnol. 2017, 12, 944–952. [Google Scholar] [CrossRef]
- Golubov, A.A.; Kupriyanov, M.Y.; Il’ichev, E. The current-phase relation in Josephson junctions. Rev. Mod. Phys. 2004, 76, 411. [Google Scholar] [CrossRef]
- Rasmussen, A.; Danon, J.; Suominen, H.; Nichele, F.; Kjaergaard, M.; Flensberg, K. Effects of spin-orbit coupling and spatial symmetries on the Josephson current in SNS junctions. Phys. Rev. B 2016, 93, 155406. [Google Scholar] [CrossRef]
- Liu, J.-F.; Chan, K.S. Relation between symmetry breaking and the anomalous Josephson effect. Phys. Rev. B 2010, 82, 125305. [Google Scholar] [CrossRef]
- Shukrinov, Y.M. Anomalous Josephson effect. Phys. Usp. 2022, 65, 317. [Google Scholar] [CrossRef]
- Buzdin, A. Direct coupling between magnetism and superconducting current in the Josephson ϕ0 junction. Phys. Rev. Lett. 2008, 101, 107005. [Google Scholar] [CrossRef]
- Baumgartner, C.; Fuchs, L.; Costa, A.; Picó-Cortés, J.; Reinhardt, S.; Gronin, S.; Gardner, G.C.; Lindemann, T.; Manfra, M.J.; Faria Junior, P.E.; et al. Effect of Rashba and Dresselhaus spin–orbit coupling on supercurrent rectification and magnetochiral anisotropy of ballistic Josephson junctions. J. Phys. Condens. Matter 2022, 34, 154005. [Google Scholar] [CrossRef]
- Goldobin, E.; Koelle, D.; Kleiner, R.; Mints, R.G. Josephson Junction with a Magnetic-Field Tunable Ground State. Phys. Rev. Lett. 2011, 107, 227001. [Google Scholar] [CrossRef]
- Silaev, M.A.; Tokatly, I.V.; Bergeret, F.S. Anomalous current in diffusive ferromagnetic Josephson junctions. Phys. Rev. B 2017, 95, 184508. [Google Scholar] [CrossRef]
- Szombati, D.B.; Nadj-Perge, S.; Car, D.; Plissard, S.R.; Bakkers, E.P.A.M.; Kouwenhoven, L.P. Josephson φ0-junction in nanowire quantum dots. Nat. Phys. 2016, 12, 568–572. [Google Scholar] [CrossRef]
- Assouline, A.; Feuillet-Palma, C.; Bergeal, N.; Zhang, T.; Mottaghizadeh, A.; Zimmers, A.; Lhuillier, E.; Eddrie, M.; Atkinson, P.; Aprili, M.; et al. Spin-Orbit induced phase-shift in Bi2Se3 Josephson junctions. Nat. Commun. 2019, 10, 126. [Google Scholar] [CrossRef]
- Mayer, W.; Dartiailh, M.C.; Yuan, J.; Wickramasinghe, K.S.; Rossi, E.; Shabani, J. Gate controlled anomalous phase shift in Al/InAs Josephson junctions. Nat. Commun. 2020, 11, 212. [Google Scholar] [CrossRef]
- Alidoust, M.; Hamzehpour, H. Spontaneous supercurrent and φ0 phase shift parallel to magnetized topological insulator interfaces. Phys. Rev. B 2017, 96, 165422. [Google Scholar] [CrossRef]
- Alidoust, M. Critical supercurrent and φ0 state for probing a persistent spin helix. Phys. Rev. B 2020, 101, 155123. [Google Scholar] [CrossRef]
- Zhang, Y.; Gu, Y.; Li, P.; Hu, J.; Jiang, K. General Theory of Josephson Diodes. Phys. Rev. X 2022, 12, 041013. [Google Scholar] [CrossRef]
- Hu, J.; Wu, C.; Dai, X. Proposed Design of a Josephson Diode. Phys. Rev. Lett. 2007, 99, 067004. [Google Scholar] [CrossRef]
- Fu, P.-H.; Xu, Y.; Lee, C.H.; Ang, Y.S.; Liu, J.-F. Gate-Tunable High-Efficiency Topological Josephson Diode. arXiv 2022, arXiv:2212.01980. [Google Scholar]
- Halterman, K.; Alidoust, M.; Smith, R.; Starr, S. Supercurrent diode effect, spin torques, and robust zero-energy peak in planar half-metallic trilayers. Phys. Rev. B 2022, 105, 104508. [Google Scholar] [CrossRef]
- Alidoust, M.; Willatzen, M.; Jauho, A.-P. Fraunhofer response and supercurrent spin switching in black phosphorus with strain and disorder. Phys. Rev. B 2018, 98, 184505. [Google Scholar] [CrossRef]
- Sickinger, H.; Lipman, A.; Weides, M.; Mints, R.G.; Kohlstedt, H.; Koelle, D.; Kleiner, R.; Goldobin, E. Experimental Evidence of a φ Josephson Junction. Phys. Rev. Lett. 2012, 109, 107002. [Google Scholar] [CrossRef]
- Strambini, E.; Iorio, A.; Durante, O.; Citro, R.; Sanz-Fernández, C.; Guarcello, C.; Tokatly, I.V.; Braggio, A.; Rocci, M.; Ligato, N.; et al. A Josephson phase battery. Nat. Nanotechnol. 2020, 15, 656–660. [Google Scholar] [CrossRef]
- Pal, S.; Benjamin, C. Quantized Josephson phase battery. EPL 2019, 126, 57002. [Google Scholar] [CrossRef]
- Virtanen, P.; Bergeret, F.S.; Strambini, E.; Giazotto, F.; Braggio, A. Majorana bound states in hybrid two-dimensional Josephson junctions with ferromagnetic insulators. Phys. Rev. B 2018, 98, 020501. [Google Scholar] [CrossRef]
- Guarcello, C.; Bergeret, F.S. Cryogenic Memory Element Based on an Anomalous Josephson Junction. Phys. Rev. Appl. 2020, 13, 034012. [Google Scholar] [CrossRef]
- Ando, F.; Miyasaka, Y.; Li, T.; Ishizuka, J.; Arakawa, T.; Shiota, Y.; Moriyama, T.; Yanase, Y.; Ono, T. Observation of superconducting diode effect. Nature 2020, 584, 373. [Google Scholar] [CrossRef] [PubMed]
- Pal, B.; Chakraborty, A.; Sivakumar, P.K.; Davydova, M.; Gopi, A.K.; Pandeya, A.K.; Krieger, J.A.; Zhang, Y.; Date, M.; Ju, S.; et al. Josephson diode effect from Cooper pair momentum in a topological semimetal. Nat. Phys. 2022, 18, 1228–1233. [Google Scholar] [CrossRef]
- Lin, J.-X.; Siriviboon, P.; Scammell, H.D.; Liu, S.; Rhodes, D.; Watanabe, K.; Taniguchi, T.; Hone, J.; Scheurer, M.S.; Li, J.I.A. Zero-field superconducting diode effect in small-twist-angle trilayer graphene. Nat. Phys. 2022, 18, 1221–1227. [Google Scholar] [CrossRef]
- Jiang, K.; Hu, J. Superconducting diode effects. Nat. Phys. 2022, 18, 1145–1146. [Google Scholar] [CrossRef]
- Cefalas, A.C.; Kollia, Z.; Spyropoulos-Antonakakis, N.; Gavriil, V.; Christofilos, D.; Kourouklis, G.; Semashko, V.V.; Pavlov, V.; Sarantopoulou, E. Surface profile gradient in amorphous Ta2O5 semi conductive layers regulates nanoscale electric current stability. Appl. Surf. Sci. 2017, 396, 1000–1019. [Google Scholar] [CrossRef]
- Hou, Y.; Nichele, F.; Chi, H.; Lodesani, A.; Wu, Y.; Ritter, M.F.; Haxell, D.Z.; Davydova, M.; Ilić, S.; Bergeret, F.S.; et al. Ubiquitous superconducting diode effect in superconductor thin films. arXiv 2022, arXiv:2205.09276. [Google Scholar]
- Souto, R.S.; Leijnse, M.; Schrade, C. Josephson Diode Effect in Supercurrent Interferometers. Phys. Rev. Lett. 2022, 129, 267702. [Google Scholar] [CrossRef]
- Chen, C.-Z.; He, J.J.; Ali, M.N.; Lee, G.-H.; Fong, K.C.; Law, K.T. Asymmetric Josephson effect in inversion symmetry breaking topological materials. Phys. Rev. B 2018, 98, 075430. [Google Scholar] [CrossRef]
- Wakatsuki, R.; Saito, Y.; Hoshino, S.; Itahashi, Y.M.; Ideue, T.; Ezawa, M.; Iwasa, Y.; Nagaosa, N. Nonreciprocal charge transport in noncentrosymmetric superconductors. Sci. Adv. 2017, 3, e1602390. [Google Scholar]
- Wu, H.; Wang, Y.; Xu, Y.; Sivakumar, P.K.; Pasco, C.; Filippozzi, U.; Parkin, S.S.P.; Zeng, Y.J.; McQueen, T.; Ali, M.N. The field-free Josephson diode in a van der Waals heterostructure. Nature 2022, 604, 653. [Google Scholar] [CrossRef] [PubMed]
- Alvarado, M.; Burset, P.; Yeyati, A.L. Intrinsic non-magnetic ϕ0 Josephson junctions in twisted bilayer graphene. arXiv 2023, arXiv:2303.07738. [Google Scholar]
- Kokkeler, T.H.; Golubov, A.A.; Bergeret, F.S. Field-free anomalous junction and superconducting diode effect in spin-split superconductor/topological insulator junctions. Phys. Rev. B 2022, 106, 214504. [Google Scholar] [CrossRef]
- Qi, X.-L.; Zhang, S.-C. Topological insulators and superconductors. Rev. Mod. Phys. 2011, 83, 1057. [Google Scholar] [CrossRef]
- Deacon, R.S.; Wiedenmann, J.; Bocquillon, E.; Domínguez, F.; Klapwijk, T.M.; Leubner, P.; Brüne, C.; Hankiewicz, E.M.; Tarucha, S.; Ishibashi, K.; et al. Josephson Radiation from Gapless Andreev Bound States in HgTe-Based Topological Junctions. Phys. Rev. X 2017, 7, 021011. [Google Scholar] [CrossRef]
- Vigliotti, L.; Calzona, A.; Traverso Ziani, N.; Bergeret, F.S.; Sassetti, M.; Trauzettel, B. Effects of the Spatial Extension of the Edge Channels on the Interference Pattern of a Helical Josephson Junction. Nanomaterials 2023, 13, 569. [Google Scholar] [CrossRef]
- Bernevig, B.A.; Hughes, T.L.; Zhang, S.-C. Quantum Spin Hall Effect and Topological Phase Transition in HgTe Quantum Wells. Science 2006, 314, 1757. [Google Scholar] [CrossRef]
- König, M.; Wiedmann, S.; Brüne, C.; Roth, A.; Buhmann, H.; Molenkamp, L.W.; Qi, X.-L.; Zhang, S.-C. Quantum Spin Hall Insulator State in HgTe Quantum Wells. Science 2007, 318, 766. [Google Scholar] [CrossRef]
- Roth, A.; Brüne, C.; Buhmann, H.; Molenkamp, L.W.; Maciejko, J.; Qi, X.-L.; Zhang, S.-C. Nonlocal Transport in the Quantum Spin Hall State. Science 2009, 325, 294–297. [Google Scholar] [CrossRef]
- Hasan, M.Z.; Kane, C.L. Colloquium: Topological insulators. Rev. Mod. Phys. 2010, 82, 3045–3067. [Google Scholar] [CrossRef]
- Strunz, J.; Wiedenmann, J.; Fleckenstein, C.; Lunczer, L.; Beugeling, W.; Müller, V.L.; Shekhar, P.; Traverso Ziani, N.; Shamim, S.; Kleinlein, J.; et al. Interacting topological edge channels. Nat. Phys. 2020, 16, 83–88. [Google Scholar] [CrossRef]
- Li, J.; Pan, W.; Bernevig, B.A.; Lutchyn, R.M. Detection of Majorana Kramers Pairs Using a Quantum Point Contact. Phys. Rev. Lett. 2016, 117, 046804. [Google Scholar] [CrossRef] [PubMed]
- Fleckenstein, C.; Traverso Ziani, N.; Calzona, A.; Sassetti, M.; Trauzettel, B. Formation and detection of Majorana modes in quantum spin Hall trenches. Phys. Rev. B 2021, 103, 125303. [Google Scholar] [CrossRef]
- Dolcetto, G.; Sassetti, M.; Schmidt, T.L. Edge Physics in two-dimensional topological insulators. Riv. Nuovo Cimento 2016, 39, 113. [Google Scholar]
- Wang, J.; Meir, Y.; Gefen, Y. Spontaneous Breakdown of Topological Protection in Two Dimensions. Phys. Rev. Lett. 2017, 118, 046801. [Google Scholar] [CrossRef]
- Dolcini, F.; Houzet, M.; Meyer, J.S. Topological Josephson ϕ0 junctions. Phys. Rev. B 2015, 92, 035428. [Google Scholar] [CrossRef]
- Dolcetto, G.; Cavaliere, F.; Ferraro, D.; Sassetti, M. Generating and controlling spin-polarized currents induced by a quantum spin Hall antidot. Phys. Rev. B 2013, 87, 085425. [Google Scholar] [CrossRef]
- Dolcetto, G.; Traverso Ziani, N.; Biggio, M.; Cavaliere, F.; Sassetti, M. Coulomb blockade microscopy of spin-density oscillations and fractional charge in quantum spin Hall dots. Phys. Rev. B 2013, 87, 235423. [Google Scholar] [CrossRef]
- Haidekker Galambos, T.; Hoffman, S.; Recher, P.; Klinovaja, J.; Loss, D. Superconducting Quantum Interference in Edge State Josephson Junctions. Phys. Rev. Lett. 2020, 125, 157701. [Google Scholar] [CrossRef]
- Vigliotti, L.; Calzona, A.; Trauzettel, B.; Sassetti, M.; Traverso Ziani, N. Anomalous flux periodicity in proximitised quantum spin Hall constrictions. New J. Phys. 2022, 24, 053017. [Google Scholar] [CrossRef]
- Virtanen, P.; Recher, P. Signatures of Rashba spin-orbit interaction in the superconducting proximity effect in helical Luttinger liquids. Phys. Rev. B 2012, 85, 035310. [Google Scholar] [CrossRef]
- Baxevanis, B.; Ostroukh, V.P.; Beenakker, C.W.J. Even-odd flux quanta effect in the Fraunhofer oscillations of an edge-channel Josephson junction. Phys. Rev. B 2015, 91, 041409. [Google Scholar] [CrossRef]
- Legg, H.F.; Laubscher, K.; Loss, D.; Klinovaja, J. Parity protected superconducting diode effect in topological Josephson junctions. arXiv 2023, arXiv:2301.13740. [Google Scholar]



Disclaimer/Publisher’s Note: The statements, opinions and data contained in all publications are solely those of the individual author(s) and contributor(s) and not of MDPI and/or the editor(s). MDPI and/or the editor(s) disclaim responsibility for any injury to people or property resulting from any ideas, methods, instructions or products referred to in the content. |
© 2023 by the authors. Licensee MDPI, Basel, Switzerland. This article is an open access article distributed under the terms and conditions of the Creative Commons Attribution (CC BY) license (https://creativecommons.org/licenses/by/4.0/).
Share and Cite
Vigliotti, L.; Cavaliere, F.; Passetti, G.; Sassetti, M.; Traverso Ziani, N. Reconstruction-Induced φ0 Josephson Effect in Quantum Spin Hall Constrictions. Nanomaterials 2023, 13, 1497. https://doi.org/10.3390/nano13091497
Vigliotti L, Cavaliere F, Passetti G, Sassetti M, Traverso Ziani N. Reconstruction-Induced φ0 Josephson Effect in Quantum Spin Hall Constrictions. Nanomaterials. 2023; 13(9):1497. https://doi.org/10.3390/nano13091497
Chicago/Turabian StyleVigliotti, Lucia, Fabio Cavaliere, Giacomo Passetti, Maura Sassetti, and Niccolò Traverso Ziani. 2023. "Reconstruction-Induced φ0 Josephson Effect in Quantum Spin Hall Constrictions" Nanomaterials 13, no. 9: 1497. https://doi.org/10.3390/nano13091497
APA StyleVigliotti, L., Cavaliere, F., Passetti, G., Sassetti, M., & Traverso Ziani, N. (2023). Reconstruction-Induced φ0 Josephson Effect in Quantum Spin Hall Constrictions. Nanomaterials, 13(9), 1497. https://doi.org/10.3390/nano13091497

