Fano Resonance in Near-Field Thermal Radiation of Two-Dimensional Van der Waals Heterostructures
Abstract
1. Introduction
2. Theoretical Formalism
Optical Properties
3. Results and Discussion
3.1. Energy Transmission Coefficient and Dispersion Relation
3.2. Effect of Chemical Potential of Graphene
3.3. Spectra and Heat Flux
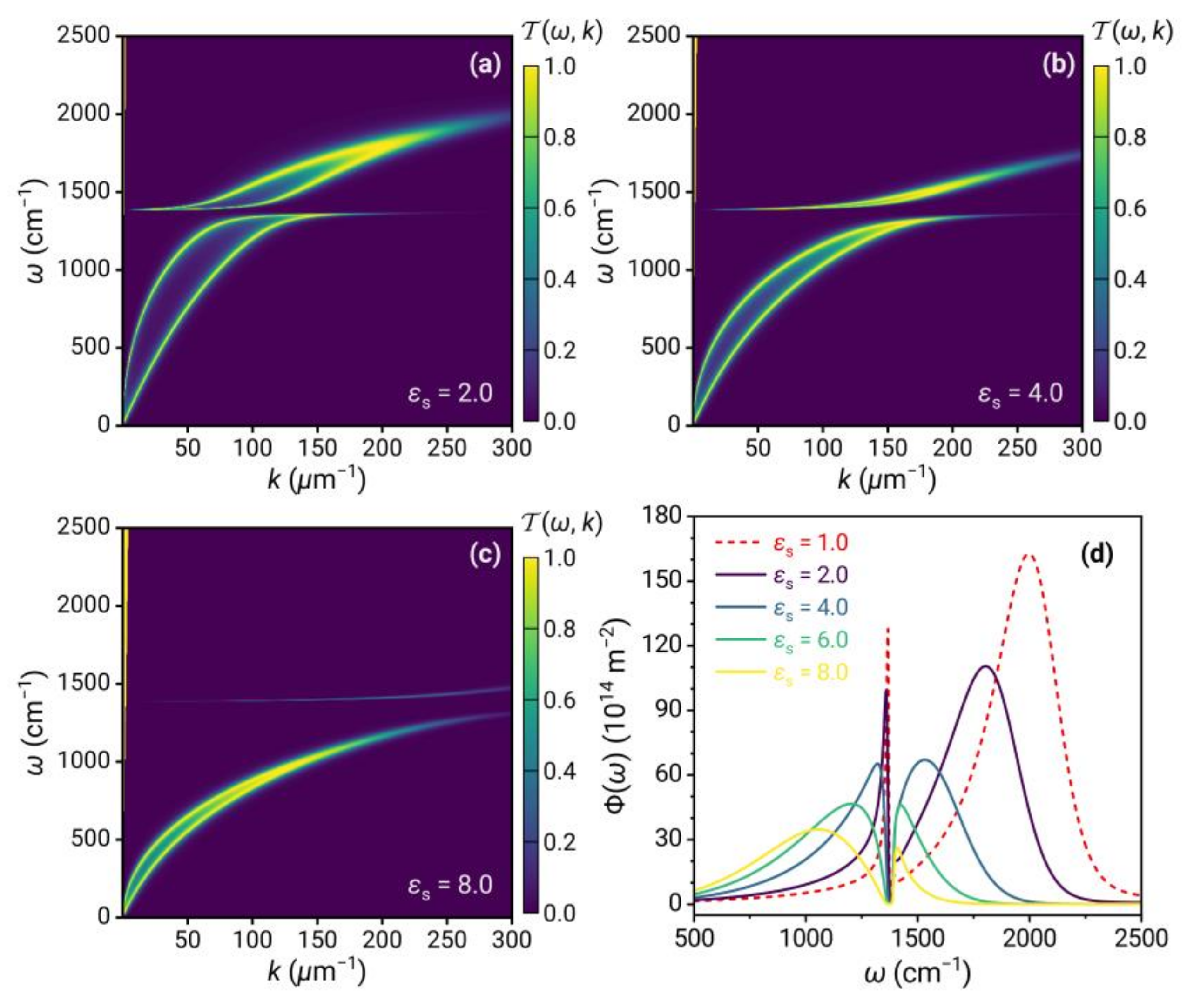
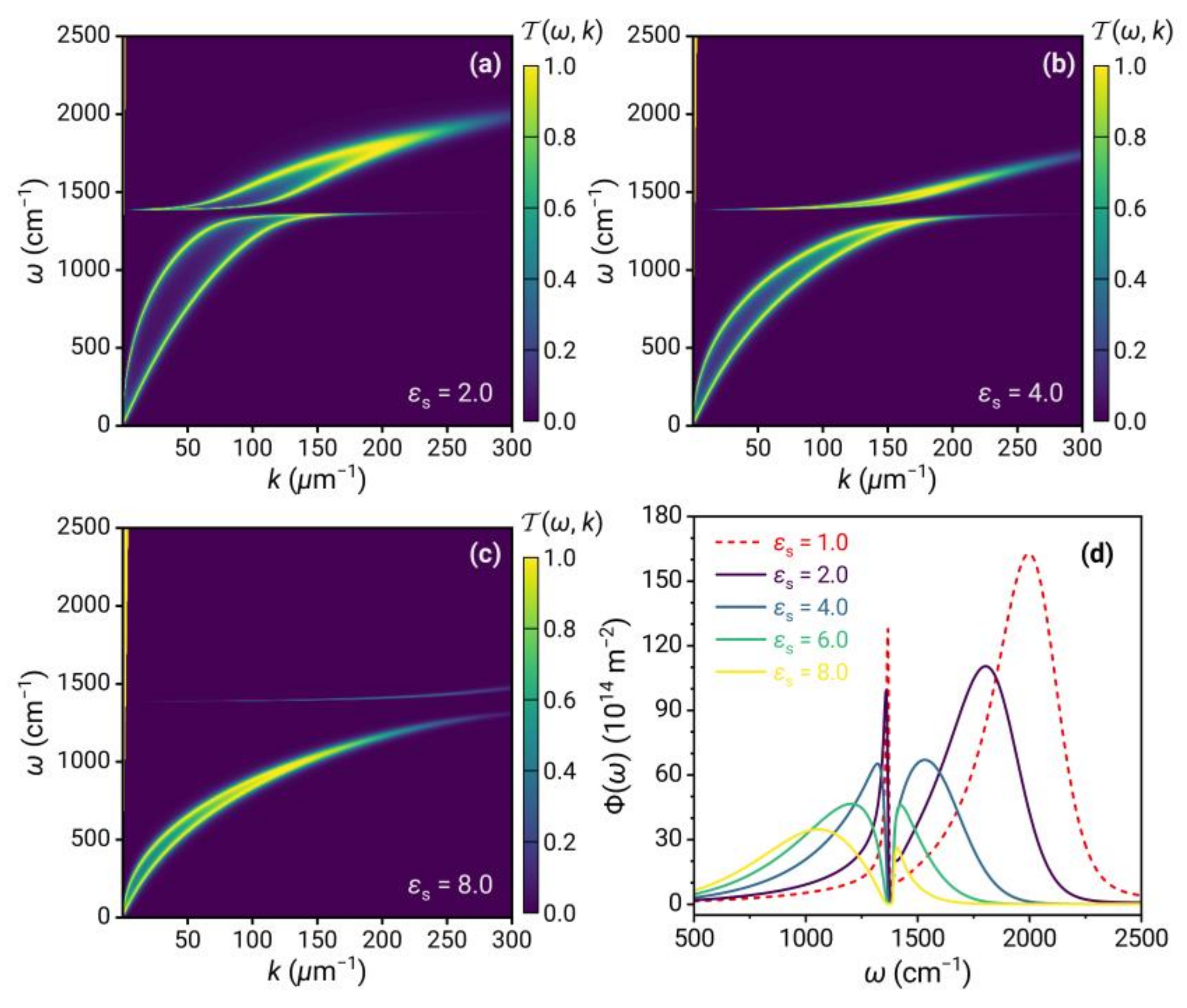
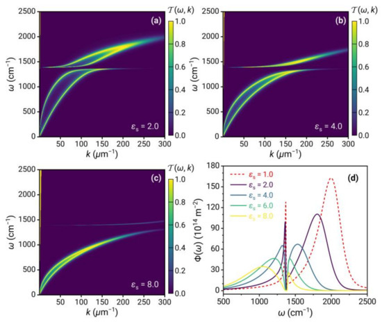
3.4. Effect of the Substrate
3.5. Discussion
4. Conclusions
Author Contributions
Funding
Institutional Review Board Statement
Informed Consent Statement
Data Availability Statement
Conflicts of Interest
References
- Joulain, K.; Mulet, J.-P.; Marquier, F.; Carminati, R.; Greffet, J.-J. Surface Electromagnetic Waves Thermally Excited: Radiative Heat Transfer, Coherence Properties and Casimir Forces Revisited in the near Field. Surf. Sci. Rep. 2005, 57, 59–112. [Google Scholar] [CrossRef]
- Volokitin, A.I.; Persson, B.N.J. Near-Field Radiative Heat Transfer and Noncontact Friction. Rev. Mod. Phys. 2007, 79, 1291–1329. [Google Scholar] [CrossRef]
- Basu, S.; Zhang, Z.M.; Fu, C.J. Review of Near-Field Thermal Radiation and Its Application to Energy Conversion. Int. J. Energy Res. 2009, 33, 1203–1232. [Google Scholar] [CrossRef]
- Guha, B.; Otey, C.; Poitras, C.B.; Fan, S.; Lipson, M. Near-Field Radiative Cooling of Nanostructures. Nano Lett. 2012, 12, 4546–4550. [Google Scholar] [CrossRef]
- Latella, I.; Biehs, S.-A.; Ben-Abdallah, P. Smart Thermal Management with Near-Field Thermal Radiation [Invited]. Opt. Express 2021, 29, 24816. [Google Scholar] [CrossRef]
- Otey, C.R.; Lau, W.T.; Fan, S. Thermal Rectification through Vacuum. Phys. Rev. Lett. 2010, 104, 154301. [Google Scholar] [CrossRef]
- Biehs, S.-A.; Messina, R.; Venkataram, P.S.; Rodriguez, A.W.; Cuevas, J.C.; Ben-Abdallah, P. Near-Field Radiative Heat Transfer in Many-Body Systems. Rev. Mod. Phys. 2021, 93, 025009. [Google Scholar] [CrossRef]
- Pendry, J.B. Radiative Exchange of Heat between Nanostructures. J. Phys. Condens. Matter 1999, 11, 6621–6633. [Google Scholar] [CrossRef]
- De Wilde, Y.; Formanek, F.; Carminati, R.; Gralak, B.; Lemoine, P.-A.; Joulain, K.; Mulet, J.-P.; Chen, Y.; Greffet, J.-J. Thermal Radiation Scanning Tunnelling Microscopy. Nature 2006, 444, 740–743. [Google Scholar] [CrossRef]
- Kittel, A.; Müller-Hirsch, W.; Parisi, J.; Biehs, S.-A.; Reddig, D.; Holthaus, M. Near-Field Heat Transfer in a Scanning Thermal Microscope. Phys. Rev. Lett. 2005, 95, 224301. [Google Scholar] [CrossRef]
- Challener, W.A.; Peng, C.; Itagi, A.V.; Karns, D.; Peng, W.; Peng, Y.; Yang, X.; Zhu, X.; Gokemeijer, N.J.; Hsia, Y.-T.; et al. Heat-Assisted Magnetic Recording by a near-Field Transducer with Efficient Optical Energy Transfer. Nat. Photon. 2009, 3, 220–224. [Google Scholar] [CrossRef]
- Whale, M.D.; Cravalho, E.G. Modeling and Performance of Microscale Thermophotovoltaic Energy Conversion Devices. IEEE Trans. Energy Convers. 2002, 17, 130–142. [Google Scholar] [CrossRef]
- Narayanaswamy, A.; Chen, G. Surface Modes for near Field Thermophotovoltaics. Appl. Phys. Lett. 2003, 82, 3544–3546. [Google Scholar] [CrossRef]
- Bhatt, G.R.; Zhao, B.; Roberts, S.; Datta, I.; Mohanty, A.; Lin, T.; Hartmann, J.-M.; St-Gelais, R.; Fan, S.; Lipson, M. Integrated Near-Field Thermo-Photovoltaics for Heat Recycling. Nat. Commun. 2020, 11, 2545. [Google Scholar] [CrossRef] [PubMed]
- Mittapally, R.; Lee, B.; Zhu, L.; Reihani, A.; Lim, J.W.; Fan, D.; Forrest, S.R.; Reddy, P.; Meyhofer, E. Near-Field Thermophotovoltaics for Efficient Heat to Electricity Conversion at High Power Density. Nat. Commun. 2021, 12, 4364. [Google Scholar] [CrossRef] [PubMed]
- Mittapally, R.; Majumder, A.; Reddy, P.; Meyhofer, E. Near-Field Thermophotovoltaic Energy Conversion: Progress and Opportunities. Phys. Rev. Appl. 2023, 19, 037002. [Google Scholar] [CrossRef]
- Volokitin, A.I.; Persson, B.N.J. Near-Field Radiative Heat Transfer between Closely Spaced Graphene and Amorphous SiO2. Phys. Rev. B 2011, 83, 241407. [Google Scholar] [CrossRef]
- Ilic, O.; Jablan, M.; Joannopoulos, J.D.; Celanovic, I.; Buljan, H.; Soljačić, M. Near-Field Thermal Radiation Transfer Controlled by Plasmons in Graphene. Phys. Rev. B 2012, 85, 155422. [Google Scholar] [CrossRef]
- Van Zwol, P.J.; Thiele, S.; Berger, C.; de Heer, W.A.; Chevrier, J. Nanoscale Radiative Heat Flow Due to Surface Plasmons in Graphene and Doped Silicon. Phys. Rev. Lett. 2012, 109, 264301. [Google Scholar] [CrossRef]
- Messina, R.; Hugonin, J.-P.; Greffet, J.-J.; Marquier, F.; De Wilde, Y.; Belarouci, A.; Frechette, L.; Cordier, Y.; Ben-Abdallah, P. Tuning the Electromagnetic Local Density of States in Graphene-Covered Systems via Strong Coupling with Graphene Plasmons. Phys. Rev. B 2013, 87, 085421. [Google Scholar] [CrossRef]
- Liu, X.; Zhang, R.Z.; Zhang, Z. Near-Perfect Photon Tunneling by Hybridizing Graphene Plasmons and Hyperbolic Modes. ACS Photonics 2014, 1, 785–789. [Google Scholar] [CrossRef]
- Rodriguez-López, P.; Tse, W.-K.; Dalvit, D.A.R. Radiative Heat Transfer in 2D Dirac Materials. J. Phys. Condens. Matter 2015, 27, 214019. [Google Scholar] [CrossRef] [PubMed]
- Jiang, J.-H.; Wang, J.-S. Caroli Formalism in Near-Field Heat Transfer between Parallel Graphene Sheets. Phys. Rev. B 2017, 96, 155437. [Google Scholar] [CrossRef]
- Yu, R.; Manjavacas, A.; García de Abajo, F.J. Ultrafast Radiative Heat Transfer. Nat. Commun. 2017, 8, 2. [Google Scholar] [CrossRef]
- Yang, J.; Du, W.; Su, Y.; Fu, Y.; Gong, S.; He, S.; Ma, Y. Observing of the Super-Planckian near-Field Thermal Radiation between Graphene Sheets. Nat. Commun. 2018, 9, 4033. [Google Scholar] [CrossRef]
- Zhang, Y.; Yi, H.-L.; Tan, H.-P. Near-Field Radiative Heat Transfer between Black Phosphorus Sheets via Anisotropic Surface Plasmon Polaritons. ACS Photonics 2018, 5, 3739–3747. [Google Scholar] [CrossRef]
- Shen, J.; Guo, S.; Liu, X.; Liu, B.; Wu, W.; He, H. Super-Planckian Thermal Radiation Enabled by Coupled Quasi-Elliptic 2D Black Phosphorus Plasmons. Appl. Therm. Eng. 2018, 144, 403–410. [Google Scholar] [CrossRef]
- Peng, J.; Zhang, G.; Li, B. Thermal Management in MoS2 Based Integrated Device Using Near-Field Radiation. Appl. Phys. Lett. 2015, 107, 133108. [Google Scholar] [CrossRef]
- Geim, A.K.; Grigorieva, I.V. Van Der Waals Heterostructures. Nature 2013, 499, 419–425. [Google Scholar] [CrossRef]
- Iqbal, N.; Zhang, S.; Choudhury, P.K.; Jin, Y.; Ma, Y. Super-Planckian Thermal Radiation between 2D Phononic HBN Monolayers. Int. J. Therm. Sci. 2022, 172, 107315. [Google Scholar] [CrossRef]
- Svetovoy, V.B.; van Zwol, P.J.; Chevrier, J. Plasmon Enhanced Near-Field Radiative Heat Transfer for Graphene Covered Dielectrics. Phys. Rev. B 2012, 85, 155418. [Google Scholar] [CrossRef]
- Zhao, B.; Zhang, Z.M. Enhanced Photon Tunneling by Surface Plasmon–Phonon Polaritons in Graphene/HBN Heterostructures. J. Heat Transf. 2017, 139, 022701. [Google Scholar] [CrossRef]
- Tielrooij, K.-J.; Hesp, N.C.H.; Principi, A.; Lundeberg, M.B.; Pogna, E.A.A.; Banszerus, L.; Mics, Z.; Massicotte, M.; Schmidt, P.; Davydovskaya, D.; et al. Out-of-Plane Heat Transfer in van Der Waals Stacks through Electron–Hyperbolic Phonon Coupling. Nat. Nanotech. 2018, 13, 41–46. [Google Scholar] [CrossRef]
- Shi, K.; Sun, Y.; Chen, Z.; He, N.; Bao, F.; Evans, J.; He, S. Colossal Enhancement of Near-Field Thermal Radiation Across Hundreds of Nanometers between Millimeter-Scale Plates through Surface Plasmon and Phonon Polaritons Coupling. Nano Lett. 2019, 19, 8082–8088. [Google Scholar] [CrossRef]
- Thomas, N.H.; Sherrott, M.C.; Broulliet, J.; Atwater, H.A.; Minnich, A.J. Electronic Modulation of Near-Field Radiative Transfer in Graphene Field Effect Heterostructures. Nano Lett. 2019, 19, 3898–3904. [Google Scholar] [CrossRef] [PubMed]
- Shi, K.; Chen, Z.; Xing, Y.; Yang, J.; Xu, X.; Evans, J.S.; He, S. Near-Field Radiative Heat Transfer Modulation with an Ultrahigh Dynamic Range through Mode Mismatching. Nano Lett. 2022, 22, 7753–7760. [Google Scholar] [CrossRef]
- Liu, X.; Xuan, Y. Super-Planckian Thermal Radiation Enabled by Hyperbolic Surface Phonon Polaritons. Sci. China Technol. Sci. 2016, 59, 1680–1686. [Google Scholar] [CrossRef]
- Liu, X.; Shen, J.; Xuan, Y. Pattern-Free Thermal Modulator via Thermal Radiation between Van Der Waals Materials. J. Quant. Spectrosc. Radiat. Transf. 2017, 200, 100–107. [Google Scholar] [CrossRef]
- Wu, X.; Fu, C. Hyperbolic Volume and Surface Phonon Polaritons Excited in an Ultrathin Hyperbolic Slab: Connection of Dispersion and Topology. Nanoscale Microscale Thermophys. Eng. 2021, 25, 64–71. [Google Scholar] [CrossRef]
- Wu, X.; Fu, C. Near-Field Radiative Heat Transfer between Uniaxial Hyperbolic Media: Role of Volume and Surface Phonon Polaritons. J. Quant. Spectrosc. Radiat. Transf. 2021, 258, 107337. [Google Scholar] [CrossRef]
- Michel, K.H.; Verberck, B. Phonon Dispersions and Piezoelectricity in Bulk and Multilayers of Hexagonal Boron Nitride. Phys. Rev. B 2011, 83, 115328. [Google Scholar] [CrossRef]
- Sohier, T.; Gibertini, M.; Calandra, M.; Mauri, F.; Marzari, N. Breakdown of Optical Phonons’ Splitting in Two-Dimensional Materials. Nano Lett. 2017, 17, 3758–3763. [Google Scholar] [CrossRef] [PubMed]
- Rivera, N.; Christensen, T.; Narang, P. Phonon Polaritonics in Two-Dimensional Materials. Nano Lett. 2019, 19, 2653–2660. [Google Scholar] [CrossRef] [PubMed]
- Li, N.; Guo, X.; Yang, X.; Qi, R.; Qiao, T.; Li, Y.; Shi, R.; Li, Y.; Liu, K.; Xu, Z.; et al. Direct Observation of Highly Confined Phonon Polaritons in Suspended Monolayer Hexagonal Boron Nitride. Nat. Mater. 2021, 20, 43–48. [Google Scholar] [CrossRef] [PubMed]
- Luk’yanchuk, B.; Zheludev, N.I.; Maier, S.A.; Halas, N.J.; Nordlander, P.; Giessen, H.; Chong, C.T. The Fano Resonance in Plasmonic Nanostructures and Metamaterials. Nat. Mater. 2010, 9, 707–715. [Google Scholar] [CrossRef] [PubMed]
- Limonov, M.F.; Rybin, M.V.; Poddubny, A.N.; Kivshar, Y.S. Fano Resonances in Photonics. Nat. Photon. 2017, 11, 543–554. [Google Scholar] [CrossRef]
- Pérez-Rodríguez, J.E.; Pirruccio, G.; Esquivel-Sirvent, R. Fano Interference for Tailoring Near-Field Radiative Heat Transfer. Phys. Rev. Mater. 2017, 1, 062201. [Google Scholar] [CrossRef]
- Castillo-López, S.G.; Pirruccio, G.; Villarreal, C.; Esquivel-Sirvent, R. Near-Field Radiative Heat Transfer between High-Temperature Superconductors. Sci. Rep. 2020, 10, 16066. [Google Scholar] [CrossRef]
- Moncada-Villa, E.; Fernández-Hurtado, V.; García-Vidal, F.J.; García-Martín, A.; Cuevas, J.C. Magnetic Field Control of Near-Field Radiative Heat Transfer and the Realization of Highly Tunable Hyperbolic Thermal Emitters. Phys. Rev. B 2015, 92, 125418. [Google Scholar] [CrossRef]
- Biehs, S.-A.; Ben-Abdallah, P.; Rosa, F.S.S.; Joulain, K.; Greffet, J.-J. Nanoscale Heat Flux between Nanoporous Materials. Opt. Express 2011, 19, A1088. [Google Scholar] [CrossRef]
- Fei, Z.; Iwinski, E.G.; Ni, G.X.; Zhang, L.M.; Bao, W.; Rodin, A.S.; Lee, Y.; Wagner, M.; Liu, M.K.; Dai, S.; et al. Tunneling Plasmonics in Bilayer Graphene. Nano Lett. 2015, 15, 4973–4978. [Google Scholar] [CrossRef] [PubMed]
- Falkovsky, L.A. Optical Properties of Graphene. J. Phys. Conf. Ser. 2008, 129, 012004. [Google Scholar] [CrossRef]
- Garrido Alzar, C.L.; Martinez, M.A.G.; Nussenzveig, P. Classical Analog of Electromagnetically Induced Transparency. Am. J. Phys. 2002, 70, 37–41. [Google Scholar] [CrossRef]
- Kamenetskii, E.; Sadreev, A.; Miroshnichenko, A. (Eds.) Fano Resonances in Optics and Microwaves: Physics and Applications; Springer Series in Optical Sciences; Springer International Publishing: Cham, Germany, 2018; Volume 219, ISBN 978-3-319-99730-8. [Google Scholar]
- Yan, H.; Low, T.; Guinea, F.; Xia, F.; Avouris, P. Tunable Phonon-Induced Transparency in Bilayer Graphene Nanoribbons. Nano Lett. 2014, 14, 4581–4586. [Google Scholar] [CrossRef]
- Argentero, G.; Mittelberger, A.; Reza Ahmadpour Monazam, M.; Cao, Y.; Pennycook, T.J.; Mangler, C.; Kramberger, C.; Kotakoski, J.; Geim, A.K.; Meyer, J.C. Unraveling the 3D Atomic Structure of a Suspended Graphene/HBN van Der Waals Heterostructure. Nano Lett. 2017, 17, 1409–1416. [Google Scholar] [CrossRef]
- Papadakis, G.T.; Ciccarino, C.J.; Fan, L.; Orenstein, M.; Narang, P.; Fan, S. Deep-Subwavelength Thermal Switch via Resonant Coupling in Monolayer Hexagonal Boron Nitride. Phys. Rev. Appl. 2021, 15, 054002. [Google Scholar] [CrossRef]
- Ge, L.; Xu, Z.; Cang, Y.; Gong, K. Modulation of Near-Field Radiative Heat Transfer between Graphene Sheets by Strain Engineering. Opt. Express 2019, 27, A1109. [Google Scholar] [CrossRef]
- Juraschek, D.M.; Narang, P. Highly Confined Phonon Polaritons in Monolayers of Perovskite Oxides. Nano Lett. 2021, 21, 5098–5104. [Google Scholar] [CrossRef]









Disclaimer/Publisher’s Note: The statements, opinions and data contained in all publications are solely those of the individual author(s) and contributor(s) and not of MDPI and/or the editor(s). MDPI and/or the editor(s) disclaim responsibility for any injury to people or property resulting from any ideas, methods, instructions or products referred to in the content. |
© 2023 by the authors. Licensee MDPI, Basel, Switzerland. This article is an open access article distributed under the terms and conditions of the Creative Commons Attribution (CC BY) license (https://creativecommons.org/licenses/by/4.0/).
Share and Cite
Wu, H.; Liu, X.; Zhu, K.; Huang, Y. Fano Resonance in Near-Field Thermal Radiation of Two-Dimensional Van der Waals Heterostructures. Nanomaterials 2023, 13, 1425. https://doi.org/10.3390/nano13081425
Wu H, Liu X, Zhu K, Huang Y. Fano Resonance in Near-Field Thermal Radiation of Two-Dimensional Van der Waals Heterostructures. Nanomaterials. 2023; 13(8):1425. https://doi.org/10.3390/nano13081425
Chicago/Turabian StyleWu, Huihai, Xiaochuan Liu, Keyong Zhu, and Yong Huang. 2023. "Fano Resonance in Near-Field Thermal Radiation of Two-Dimensional Van der Waals Heterostructures" Nanomaterials 13, no. 8: 1425. https://doi.org/10.3390/nano13081425
APA StyleWu, H., Liu, X., Zhu, K., & Huang, Y. (2023). Fano Resonance in Near-Field Thermal Radiation of Two-Dimensional Van der Waals Heterostructures. Nanomaterials, 13(8), 1425. https://doi.org/10.3390/nano13081425
